Pairing Superfluid–Insulator Transition Induced by Atom–Molecule Conversion in Bosonic Mixtures in Optical Lattice
Abstract
1. Introduction
2. Model
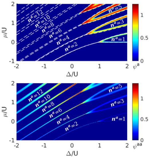
3. The Effects of AMC and Detuning on Ground-State Phase Diagram
3.1. AMC-Induced Pair-Superfluid
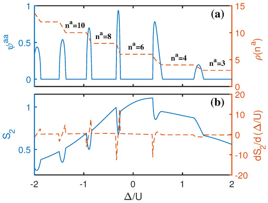
3.2. Detuning Causes Pair SF-MI Transitions
4. The Signature of Phase Transitions
5. Conclusions and Discussion
Author Contributions
Funding
Data Availability Statement
Acknowledgments
Conflicts of Interest
References
- Will, S.; Best, T.; Schneider, U.; Hackermüller, L.; Lxuxhmann, D.-S.; Bloch, I. Time-resolved observation of coherent multi-body interactions in quantum phase revivals. Nature 2010, 465, 197. [Google Scholar] [CrossRef]
- Soltan-Panahi, P.; Lühmann, D.-S.; Struck, J.; Windpassinger, P.; Sengstock, K. Quantum phase transition to unconventional multi-orbital superfluidity in optical lattices. Nat. Phys. 2012, 8, 71. [Google Scholar] [CrossRef]
- Bloch, I.; Greiner, M. The superfluid-to-Mott insulator transition and the birth of experimental quantum simulation. Nat. Rev. Phys. 2022, 4, 739. [Google Scholar] [CrossRef]
- Best, T.; Will, S.; Schneider, U.; Hackermüller, L.; van Oosten, D.; Bloch, I.; Lxuxhmann, D.-S. Role of Interactions in 87Rb-40K Bose-Fermi Mixtures in a 3D Optical Lattice. Phys. Rev. Lett. 2009, 102, 030408. [Google Scholar] [CrossRef] [PubMed]
- Lühmann, D.-S.; Bongs, K.; Sengstock, K.; Pfannkuche, D. Self-Trapping of Bosons and Fermions in Optical Lattices. Phys. Rev. Lett. 2008, 101, 050402. [Google Scholar] [CrossRef]
- Lutchyn, R.M.; Tewari, S.; Sarma, S.D. Loss of superfluidity by fermions in the boson Hubbard model on an optical lattice. Phys. Rev. A 2009, 79, 011606. [Google Scholar] [CrossRef]
- Mering, A.; Fleischhauer, M. Multiband and nonlinear hopping corrections to the three-dimensional Bose-Fermi-Hubbard model. Phys. Rev. A 2011, 83, 063630. [Google Scholar] [CrossRef]
- Jürgensen, O.; Sengstock, K.; Lxuxhmann, D.-S. Density-induced processes in quantum gas mixtures in optical lattices. Phys. Rev. A 2012, 86, 043623. [Google Scholar] [CrossRef]
- Radzihovsky, L.; Park, J.; Weichman, P.B. Superfluid transitions in bosonic atom-molecule mixtures near a Feshbach resonance. Phys. Rev. Lett. 2004, 92, 160402. [Google Scholar] [CrossRef]
- Duine, R.A.; Stoof, H.T.C. Atom—Molecule coherence in Bose gases. Phys. Rep. 2004, 396, 115. [Google Scholar] [CrossRef]
- Zhang, Z.; Chen, L.; Yao, K.-X.; Chin, C. Transition from an atomic to a molecular Bose-Einstein condensate. Nature 2021, 592, 708. [Google Scholar] [CrossRef] [PubMed]
- Syassen, N.; Bauer, D.M.; Lettner, M.; Dietze, D.; Volz, T.; Dürr, S.; Rempe, G. Atom-Molecule Rabi Oscillations in a Mott Insulator. Phys. Rev. Lett. 2007, 99, 033201. [Google Scholar] [CrossRef] [PubMed]
- Olsen, M.L.; Perreault, J.D.; Cumby, T.D.; Jin, D.S. Coherent atom-molecule oscillations in a Bose-Fermi mixture. Phys. Rev. A 2009, 80, 030701. [Google Scholar] [CrossRef]
- Abdullaev, F.K.; ögren, M.; Yuldashev, J.S. Matter waves in atomic-molecular condensates with Feshbach resonance management. Phys. Rev. E 2021, 104, 024222. [Google Scholar] [CrossRef]
- Romans, M.W.J.; Duine, R.A.; Sachdev, S.; Stoof, H.T.C. Quantum Phase Transition in an Atomic Bose Gas with a Feshbach Resonance. Phys. Rev. Lett. 2004, 93, 020405. [Google Scholar] [CrossRef] [PubMed]
- Radzihovsky, L.; Weichman, P.B.; Park, J.I. Superfluidity and phase transitions in a resonant Bose gas. Ann. Phys. 2008, 323, 2376. [Google Scholar] [CrossRef][Green Version]
- Ejima, S.; Bhaseen, M.J.; Hohenadler, M.; Essler, F.H.L.; Fehske, H.; Simons, B.D. Ising deconfinement transition between Feshbach-resonant superfluids. Phys. Rev. Lett. 2011, 106, 015303. [Google Scholar] [CrossRef]
- Bhaseen, M.J.; Ejima, S.; Essler, F.H.L.; Fehske, H.; Hohenadler, M.; Simons, B.D. Discrete symmetry breaking transitions between paired superfluids. Phys. Rev. A 2012, 85, 033636. [Google Scholar] [CrossRef]
- Dickerscheid, D.B.M.; Khawaja, U.A.; van Oosten, D.; Stoof, H.T.C. Feshbach resonances in an optical lattice. Phys. Rev. A 2005, 71, 043604. [Google Scholar] [CrossRef]
- Rousseau, V.G.; Denteneer, P.J.H. Quantum phases of mixtures of atoms and molecules on optical lattices. Phys. Rev. A 2008, 77, 013609. [Google Scholar] [CrossRef]
- VRousseau, G.; Denteneer, P.J.H. Feshbach-Einstein Condensates. Phys. Rev. Lett. 2009, 102, 015301. [Google Scholar] [CrossRef] [PubMed]
- Parny, L.D.D.; Rousseau, V.G.; Roscilde, T. Feshbach-Stabilized Insulator of Bosons in Optical Lattices. Phys. Rev. Lett. 2015, 114, 195302. [Google Scholar] [CrossRef]
- Sengupta, K.; Dupuis, N. Mott insulator to superfluid transition of ultracold bosons in an optical lattice near a Feshbach resonance. Europhys. Lett. 2005, 70, 586. [Google Scholar] [CrossRef]
- Timmermans, E.; Tommasini, P.; Hussein, M.; Kerman, A. Feshbach resonances in atomic Bose-Einstein condensates. Phys. Rep. 1999, 315, 199. [Google Scholar] [CrossRef]
- Kóler, T.; Gxoxal, K. Production of cold molecules via magnetically tunable Feshbach resonances. Rev. Mod. Phys. 2006, 78, 1311. [Google Scholar] [CrossRef]
- Chin, C.; Grimm, R.; Julienne, P.; Tiesinga, E. Feshbach resonances in ultracold gases. Rev. Mod. Phys. 2010, 82, 1225. [Google Scholar] [CrossRef]
- Rousseau, V.G.; Hettiarachchilage, K.; Jarrell, M.; Moreno, J.; Sheehy, D.E. Using off-diagonal confinement as a cooling method. Phys. Rev. A 2010, 82, 063631. [Google Scholar] [CrossRef]
- Sun, J.; Zhao, P.; Hu, Z.; Jin, S.; Liao, R.; Liu, X.-J.; Chen, X. Observation of 2D Mott insulator and π-superfluid quantum phase transition in shaking optical lattice. arXiv 2023, arXiv:2306.04477. [Google Scholar]
- Hettiarachchilage, K.; Rousseau, V.G.; Tam, K.-M.; Jarrell, M.; Moreno, J. Phase diagram of the Bose-Hubbard model on a ring-shaped lattice with tunable weak links. Phys. Rev. A 2013, 87, 051607. [Google Scholar] [CrossRef]
- Zhou, X.F.; Zhang, Y.S.; Guo, G.C. Pair tunneling of bosonic atoms in an optical lattice. Phys. Rev. A 2009, 80, 013605. [Google Scholar] [CrossRef]
- Schmidt, K.P.; Dorier, J.; Laüchli, A.; Mila, F. Single-particle versus pair condensation of hard-core bosons with correlated hopping. Phys. Rev. B 2006, 74, 174508. [Google Scholar] [CrossRef]
- Bonnes, L.; Wessel, S. Pair superfluidity of three-body constrained bosons in two dimensions. Phys. Rev. Lett. 2011, 106, 185302. [Google Scholar] [CrossRef] [PubMed]
- Mazza, L.; Rizzi, M.; Lewenstein, M.; Cirac, J.I. Emerging bosons with three-body interactions from spin-1 atoms in optical lattices. Phys. Rev. A 2010, 82, 043629. [Google Scholar] [CrossRef]
- Eckholt, M.; García-Ripoll, J.J. Pair condensation of bosonic atoms induced by optical lattices. Phys. Rev. A 2008, 77, 063603. [Google Scholar] [CrossRef]
- Lebreuilly, J.; Aron, C.; Mora, C. Stabilizing Arrays of Photonic Cat States via Spontaneous Symmetry Breaking. Phys. Rev. Lett. 2019, 122, 120402. [Google Scholar] [CrossRef]
- Hu, A.; Mathey, L.; Williams, C.J.; Clark, C.W. Noise correlations of one-dimensional Bose mixtures in optical lattices. Phys. Rev. A 2010, 81, 063602. [Google Scholar] [CrossRef]
- Grémaud, B.; Batrouni, G.G. Pairing and Pair Superfluid Density in One-Dimensional Two-Species Fermionic and Bosonic Hubbard Models. Phys. Rev. Lett. 2021, 127, 025301. [Google Scholar] [CrossRef]
- Sellin, K.; Babaev, E. Superfluid drag in the two-component Bose-Hubbard model. Phys. Rev. B 2018, 97, 094517. [Google Scholar] [CrossRef]
- Hu, A.; Mathey, L.; Danshita, I.; Tiesinga, E.; Williams, C.J.; Clark, A.C.W. Counterflow and paired superfluidity in one-dimensional Bose mixtures in optical lattices. Phys. Rev. A 2009, 80, 023619. [Google Scholar] [CrossRef]
- Hu, A.; Mathey, L.; Tiesinga, E.; Danshita, I.; Williams, C.J.; Clark, A.C.W. Detecting paired and counterflow superfluidity via dipole oscillations. Phys. Rev. A 2011, 84, 041609. [Google Scholar] [CrossRef]
- Osborne, T.J.; Nielsen, M.A. Entanglement in a simple quantum phase transition. Phys. Rev. A 2002, 66, 032110. [Google Scholar] [CrossRef]
- Vidal, G.; Latorre, J.I.; Rico, E.; Kitaev, A. Entanglement in Quantum Critical Phenomena. Phys. Rev. Lett. 2003, 90, 227902. [Google Scholar] [CrossRef] [PubMed]
- Latorre, J.I.; Rico, E.; Vidal, G. Ground state entanglement in quantum spin chains. Quantum Inf. Comput. 2004, 4, 48. [Google Scholar]
- Carrasco, J.A.; Finkel, F.; González-López, A.; Rodríguez, M.A.; Tempesta, P. Generalized isotropic Lipkin-Meshkov-Glick models: Ground state entanglement and quantum entropies. J. Stat. Mech. 2016, 2016, 033114. [Google Scholar] [CrossRef]
- Gu, S.-J.; Deng, S.-S.; Li, Y.-Q.; Lin, H.-Q. Entanglement and Quantum Phase Transition in the Extended Hubbard Model. Phys. Rev. Lett. 2004, 93, 086402. [Google Scholar] [CrossRef]
- Anfossi, A.; Giorda, P.; Montorsi, A.; Traversa, F. Two- Point Versus Multipartite Entanglement in Quantum Phase Transitions. Phys. Rev. Lett. 2005, 95, 056402. [Google Scholar] [CrossRef]
- Anfossi, A.; Boschi, C.D.E.; Montorsi, A.; Ortolani, F. Single-site entanglement at the superconductor-insulator transition in the Hirsch model. Phys. Rev. B 2006, 73, 085113. [Google Scholar] [CrossRef]
- You, W.-L. The scaling of entanglement entropy in a honeycomb lattice on a torus. J. Phys. A 2014, 47, 255301. [Google Scholar] [CrossRef]
- Buonsante, P.; Vezzani, A. Ground-State Fidelity and Bipartite Entanglement in the Bose-Hubbard Model. Phys. Rev. Lett. 2007, 98, 110601. [Google Scholar] [CrossRef]
- Läuchli, A.M.; Kollath, C. Spreading of correlations and entanglement after a quench in the one-dimensional Bose- Hubbard model. J. Stat. Mech. 2008, 2008, P05018. [Google Scholar] [CrossRef]
- Silva-Valencia, J.; Souza, A.M.C. First Mott lobe of bosons with local two- and three-body interactions. Phys. Rev. A 2011, 84, 065601. [Google Scholar] [CrossRef]
- Pino, M.; Prior, J.; Somoza, A.M.; Jaksch, D.; Clark, S.R. Reentrance and entanglement in the one-dimensional Bose-Hubbard model. Phys. Rev. A 2012, 86, 023631. [Google Scholar] [CrossRef]
- Alba, V.; Haque, M.; Läuchli, A.M. Entanglement Spectrum of the Two-Dimensional Bose-Hubbard Model. Phys. Rev. Lett. 2013, 110, 260403. [Google Scholar] [CrossRef] [PubMed]
- Frérot, I.; Roscilde, T. Entanglement Entropy Across the Superfluid-Insulator Transition: A Signature of Bosonic Criticality. Phys. Rev. Lett. 2016, 116, 190401. [Google Scholar] [CrossRef]
- Zhang, L.; Qin, X.; Ke, Y.; Lee, C. Cluster mean-field signature of entanglement entropy in bosonic superfluid-insulator transitions. Phys. Rev. A 2016, 94, 023634. [Google Scholar] [CrossRef]
- Islam, R.; Ma, R.; Preiss, P.M.; Tai, M.E.; Lukin, A.; Rispoli, M.; Greiner, M. Measuring entanglement entropy in a quantum many-body system. Nature 2015, 528, 77. [Google Scholar] [CrossRef]
- Chen, B.L.; Kou, S.P.; Zhang, Y.; Chen, S. Quantum phases of the Bose-Hubbard model in optical superlattices. Phys. Rev. A 2010, 81, 053608. [Google Scholar] [CrossRef]
- Rousseau, V.G.; Arovas, D.P.; Rigol, M.; Hebert, F.; Batrouni, G.G.; Scalettar, R.T. Exact study of the one-dimensional boson Hubbard model with a superlattice potential. Phys. Rev. B 2006, 73, 174516. [Google Scholar] [CrossRef]
- Batrouni, G.G.; Hébert, F.; Scalettar, R.T. Supersolid Phases in the One-Dimensional Extended Soft-Core Bosonic Hubbard Model. Phys. Rev. Lett. 2006, 97, 087209. [Google Scholar] [CrossRef]
- Bloch, I.; Dalibard, J.; Zwerger, W. Many-body physics with ultracold gases. Rev. Mod. Phys. 2008, 80, 885. [Google Scholar] [CrossRef]
- Thompson, S.T.; Hodby, E.; Wieman, C.E. Ultracold Molecule Production via a Resonant Oscillating Magnetic Field. Phys. Rev. Lett. 2005, 95, 190404. [Google Scholar] [CrossRef] [PubMed]





Disclaimer/Publisher’s Note: The statements, opinions and data contained in all publications are solely those of the individual author(s) and contributor(s) and not of MDPI and/or the editor(s). MDPI and/or the editor(s) disclaim responsibility for any injury to people or property resulting from any ideas, methods, instructions or products referred to in the content. |
© 2023 by the authors. Licensee MDPI, Basel, Switzerland. This article is an open access article distributed under the terms and conditions of the Creative Commons Attribution (CC BY) license (https://creativecommons.org/licenses/by/4.0/).
Share and Cite
Deng, H.; Tan, Z.; Kong, C.; Ye, F.; Zhong, H. Pairing Superfluid–Insulator Transition Induced by Atom–Molecule Conversion in Bosonic Mixtures in Optical Lattice. Symmetry 2023, 15, 1715. https://doi.org/10.3390/sym15091715
Deng H, Tan Z, Kong C, Ye F, Zhong H. Pairing Superfluid–Insulator Transition Induced by Atom–Molecule Conversion in Bosonic Mixtures in Optical Lattice. Symmetry. 2023; 15(9):1715. https://doi.org/10.3390/sym15091715
Chicago/Turabian StyleDeng, Haiming, Zhi Tan, Chao Kong, Fuqiu Ye, and Honghua Zhong. 2023. "Pairing Superfluid–Insulator Transition Induced by Atom–Molecule Conversion in Bosonic Mixtures in Optical Lattice" Symmetry 15, no. 9: 1715. https://doi.org/10.3390/sym15091715
APA StyleDeng, H., Tan, Z., Kong, C., Ye, F., & Zhong, H. (2023). Pairing Superfluid–Insulator Transition Induced by Atom–Molecule Conversion in Bosonic Mixtures in Optical Lattice. Symmetry, 15(9), 1715. https://doi.org/10.3390/sym15091715

