Abstract
Carbohydrate-based macrocycles can be enantioselective catalysts in certain reactions. Previously, it was proven that the carbohydrate moiety could affect the catalytic activity of the monoaza-15-crown-5 type macrocycles derived from sugars. According to our experiments so far, the most effective enantioselective catalysts were the d-glucose- and the d-galactose-based crown ethers. To obtain more information about the effect of the carbohydrate unit, a rare monosaccharide, d-idose was incorporated into the monoaza-15-crown-5 structure. The key intermediates were methyl 4,6-O-benzylidene-α-d-idopyranoside and methyl 4,6-O-benzylidene-β-d-idopyranoside, which were synthesized from d-galactose. The efficiency of the idopyranoside-based crown compounds synthesized was investigated in asymmetric phase transfer reactions. In liquid-liquid biphasic reactions the highest enantioselectivity was 81% ee, while in solid-liquid phase systems the highest asymmetric induction was 67% ee. It was observed that the enantiodiscrimination was strongly dependent on the configuration of the anomeric center, on the side arm of the nitrogen, and on the structure of the substrate.
1. Introduction
Modern synthetic organic chemical procedures are commonly based on catalytic approaches and the usage of the available methods has certainly been enticing to chemists in the last few decades. Among these techniques, two very powerful, catalysis-based approaches are phase transfer catalysis and organocatalysis. The procedure when two reactants of a chemical reaction are in different phases, with an added catalyst that transfers one compound between the phases, is called phase transfer catalysis (PTC). Enantioselective phase transfer catalysis [1,2] is a widely applied concept, the goal being the simple and efficient synthesis of enantioenriched or enantiopure compounds, which omits the often-tedious procedure of the post-reaction resolution of stereoisomers. Crown ethers that contain one or more asymmetric centers can promote enantioselective reactions [3]. Their usage as selector molecules in chiral stationary phases has been prevalent in recent years as well [4].
The other often-applied technique, which was mentioned before, is organocatalysis. In this approach, a variety of organic molecules are used as catalysts in a chemical reaction that, otherwise would not go to completion. These can be small organic compounds such as l-proline or N,N-dimethylpyridin-4-amine [5], or in other cases larger compounds can function as organocatalysts, e.g., quinine [5,6]. In recent years, monosaccharide derivatives have been successfully tried out as organocatalysts [7], and a large group of molecules have also been used and tested as organocatalysts in medicinal chemical research [5].
In the past few decades, a multitude of carbohydrate-based crown ethers have been synthesized by our research group. In terms of enantioselectivity the most effective catalysts in our experiments so far were the d-glucose- [8] and the d-galactose-based [9] crown ethers. It has been described previously [9] that the selectivity depends on several factors: Apart from the chemical structure of the lariat ether’s R group shown in Figure 1 and the protecting groups that are attached to the carbohydrate backbone, the most important factor is the conformation and the absolute configuration of the sugar moiety. We considered using less studied and infrequent monosaccharides to prepare azacrown ethers to expand the pool of experimental data.
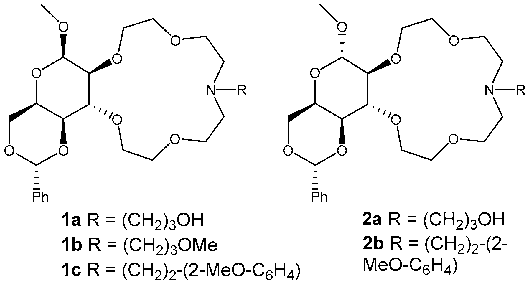
Figure 1.
Methyl 4,6-O-benzylidene-β-d- (1a–c) and methyl 4,6-O-benzylidene-α-d-idopyranoside-based (2a–b) monoaza-15-crown-5 lariat ethers.
d-Idose is a rare monosaccharide that is not found in nature in its free form [10]. l-Iduronic acid is a component of some glycosaminoglycans [11], but other than this the hexose or its derivatives can be seldom encountered in the environment. However, it is chemically accessible, and it can be prepared from the abundantly available d-galactose or d-glucose. It is also interesting to note that galactose and idose are in a way related, the difference between them is the inversion of the configuration at C-2 and C-3. This change in configuration grants a more flexible structure to the idose molecule [12] resulting in different interaction possibilities than other monosaccharides. In this paper we describe the preparation of some idose-based lariat ethers (1a–c, 2a–b, Figure 1) and their application in enantioselective syntheses.
2. Materials and Methods
2.1. General
Chemicals were purchased from Merck KGaA (Darmstadt, Germany). Preparative and analytical thin-layer chromatography (TLC) was performed on silica gel plates (60 GF-254, Merck), while column chromatography was carried out using 70–230 mesh silica gel and Brockman II neutral aluminium oxide. Visualization of compounds on the TLC plates was performed with 254 nm UV light, iodine vapor or 5 v/v% sulfuric acid/ethanol stain. Melting points were determined using a Stuart SMP10 apparatus and were uncorrected. NMR spectra were recorded on a Bruker (Billerica, MA, USA) DRX-500 or Bruker-300 instrument. The enantiomeric excess was determined on a PerkinElmer Series 200 liquid chromatography system using different columns. In all cases, isocratic elution was applied with a mobile phase flow rate of 0.8 mL/min. The temperature was 20 °C, and the wavelength of the detector was 254 nm.
For X-ray crystallography, suitable crystals of methyl-4,6-O-benzylidene-β-d-idopyranoside (6) were mounted on a loop. Intensity data were collected on a R-RAXIS-RAPID diffractometer using monochromator, Mo-Kα radiation, λ = 0.71075Å at 298(2) K for compound 6. Crystal Clear [13] (developed by Rigaku Company, Woodlands, TX, USA) software was used for data collection and refinement. Numerical absorption corrections [14] were applied to the data. The structures were solved via direct methods. Anisotropic full-matrix least-squares refinements were performed on F2 for all non-hydrogen atoms. Hydrogen atoms bonded to C atoms were placed in calculated positions and refined in a riding-model approximation. The computer programs used for the structure solution, refinement and analysis of the structure were Shelx [15,16], Sir2014 [17], Platon [18], Olex2 [19] and Wingx [20]. Program Mercury [21] was used for the graphical representation. The crystal data, data collection, and refinement parameters are summarized in Table S4 in the Supporting Information. CCDC 2276749 contains the supplementary crystallographic data for this paper. These data can be obtained free of charge from the Cambridge Crystallographic Data Center.
2.2. Syntheses of Sugar-Based Azacrown Ethers
2.2.1. Methyl-4,6-O-benzylidene-β-d-galactopyranoside-2,3-ditosylate (4)
Methyl-4,6-O-benzylidene-β-d-galactopyranoside (3) (44.07 g, 156 mmol) was dissolved in 115 mL of dry pyridine. To this solution, tosyl chloride (89.30 g, 468 mmol) dissolved in 180 mL of dry CHCl3 -—was added dropwise, at such a rate that the internal temperature did not exceed 40 °C. The reaction was then stirred at 40 °C for 30 h, at which point it was complete according to thin-layer chromatography (TLC) (Dichloromethane (DCM)-MeOH 100:2). A total of 50 mL of ice-cold water was added to the mixture and after a short burst of stirring, the mixture was left to stand for an hour. Then, it was extracted with 650 mL of chloroform–diethyl ether 1:1 in multiple portions. The organic phase was then washed with 1 M HCl (4 × 150 mL), once with 150 mL of 10% sodium carbonate solution and once with water. The organic phase was dried with sodium sulfate, filtered, and concentrated in vacuum. The crude product—a yellowish foam—was dissolved in toluene and concentrated two times to remove traces of pyridine. During the process, compound 4 crystallized from the solution as a white solid, which was filtered.
Yield: 85% (78.7 g), white solid. Mp.: 178–180 °C
1H NMR (500 MHz, CDCl3) δ 7.78–7.77 (d, J = 6.3 Hz, 2H, ArH), 7.77–7.76 (d, J = 6.3 Hz, 2H, ArH), 7.44–7.38 (m, 2H, ArH), 7.38–7.32 (m, 3H, ArH), 7.31–7.22 (m, 4H, ArH), 5.33 (s, 1H, ArCH), 4.85 (dd, J = 9.9, 7.7 Hz, 1H, H-2), 4.64 (dd, J = 9.9, 3.7 Hz, 1H, H-3), 4.43 (d, J = 3.6 Hz, 1H, H-4), 4.29–4.20 (m, 2H, H-6a, H-1), 3.99 (dd, J = 12.5, 1.8 Hz, 1H, H-6b), 3.42 (s, 1H, H-5), 3.18 (s, 3H, OCH3), 2.41 (s, 3H, ArCH3), 2.39 (s, 3H, ArCH3).
13C NMR (126 MHz, CDCl3) δ 145.11 (ArCS), 144.40 (ArCS), 137.04 (ArCCH), 134.51 (ArC), 133.29 (ArC), 129.73 (ArC), 129.33 (ArC), 129.06 (ArC), 128.25 (ArC), 128.11 (ArC), 128.10 (ArC), 126.26 (ArC), 101.39 (ArCH), 100.97 (C-1OMe), 77.08 (CH), 76.22 (CH), 74.18 (CH), 68.52 (C-6), 65.92 (CH), 56.88 (OCH3), 21.70 (ArCCH3), 21.64 (ArCCH3).
2.2.2. Methyl-2,3-anhydro-4,6-O-benzylidene-β-d-talopyranoside (5)
Methyl-4,6-O-benzylidene-β-d-galactopyranoside-2,3-ditosylate (4) (73.70 g, 125 mmol) was dissolved in 1170 mL of dry 1,4-dioxane. Meanwhile, 220 mL of 3 M NaOMe solution in MeOH was freshly prepared in a separate round-bottom flask. When all the starting material dissolved in the dioxane, the NaOMe solution was added at once with vigorous stirring and the mixture was allowed to react for 4 h. During this time a yellowish-white precipitate was formed. After 4 hours, the reaction was stopped by pouring it into ice-cold water while stirring. The precipitate was filtered and kept, and the aqueous phase was extracted with chloroform (3 × 100 mL). The organic phase was then dried with sodium sulfate, filtered, and concentrated. The two crude fractions were combined and purified by recrystallization from MeOH. A multitude of crystallizations was necessary to purify all the crude product, since the solubility in MeOH, even at the boiling point, was quite low; around 200 mL of boiling MeOH was necessary to dissolve 1 g of crude anhydro sugar 5. Thus, the MeOH used was recovered and reused after each crystallization.
Yield: 62% (20.28 g), white fluffy solid. Mp.: 241–243 °C
1H NMR (500 MHz, DMSO-d6) δ 7.43–7.31 (m, 5H, ArH), 5.60 (s, 1H, ArCH), 4.76 (s, 1H, H-1), 4.31 (dd, J = 5.3, 2.6 Hz, 1H, H-4), 4.11 (dd, J = 12.9, 2.8 Hz, 1H, H-6a), 4.03 (d, J = 12.8 Hz, 1H, H-6b), 3.48 (t, J = 4.6 Hz, 1H, H-5), 3.43 (s, 3H, OCH3), 3.34–3.31 (m, 1H, H-3), 3.16 (d, J = 4.0 Hz, 1H, H-2).
13C NMR (126 MHz, DMSO-d6) δ 138.83 (ArCCH), 129.14 (ArC), 128.43 (ArC), 126.60 (ArC), 99.78 (ArCH), 99.46 (C-1OMe), 69.07 (C-6), 68.17 (CH), 67.74 (CH), 56.42 (OCH3), 51.20 (CH), 49.90 (CH).
2.2.3. Methyl-4,6-O-benzylidene-β-d-idopyranoside (6)
Anhydro sugar 5 (21.01 g, 80 mmol) was suspended in 630 mL of 2 M KOH solution, and this mixture was refluxed for 22 h. As the reaction proceeded, the mixture became more and more homogeneous. After completion of the reaction, the reaction mixture was carefully neutralized with 3 M sulfuric acid maintaining the internal temperature between 0–10 °C. The neutral aqueous phase was then extracted seven times with 80 mL of diethyl ether. The combined organic phase was dried using sodium sulfate, filtered, and concentrated. The crude product was purified by recrystallization from EtOH. Since the yield was low, to the ethanolic mother liquor diisopropyl ether was added, and the mixture was concentrated. During this step, crystals started to form in the flask: these were filtered, their mother liquor was concentrated, and the residue was recrystallized from EtOH. The crystalline fractions obtained this way were of sufficient purity according to TLC (DCM-MeOH 10:1).
Yield: 58% (13.06 g), white, crystalline solid. Mp.: 156–160 °C
1H NMR (500 MHz, CD3OD) δ 7.51–7.43 (m, 2H, ArH), 7.39–7.30 (m, 3H, ArH), 5.57 (s, 1H, ArCH), 4.72 (d, J = 1.1 Hz, 1H, H-1), 4.28 (dd, J = 12.6, 1.6 Hz, 1H, H-6a), 4.15 (dd, J = 12.6, 1.9 Hz, 1H, H-6b), 3.98 (d, J = 2.3 Hz, 2H, H-3, H-4), 3.80 (s, 1H, H-2), 3.55 (s, 3H, OCH3), 3.53 (br s, 1H, H-5).
13C NMR (126 MHz, CD3OD) δ 141.97 (ArCCH), 132.66 (ArC), 131.78 (ArC), 129.79 (ArC), 105.11 (ArCH), 103.90 (C-1OMe), 79.41 (CH), 73.30 (C-6), 73.28 (CH), 73.05 (CH), 70.59 (CH), 59.66 (OCH3).
2.2.4. Methyl-4,6-O-benzylidene-2,3-bis-O-[(2-chloroethoxy) ethyl]-β-d-idopyranoside (7)
A two-necked round-bottom flask was fitted with a mechanical stirrer and was charged with methyl-4,6-O-benzylidene-β-d-idopyranoside (6) (13.06 g, 46 mmol) and bis(2-chloroethyl) ether (163 mL, 1390 mmol). To the resulting suspension, tetrabutylammonium hydrogensulfate (15.71 g, 46 mmol) and 50 m/m% NaOH solution (163 mL) were added. The resulting mixture was stirred vigorously for 12 h, after which it was diluted with water (250 mL) and dichloromethane (250 mL). The phases were separated, and the aqueous layer was extracted with dichloromethane (4 × 100 mL). Then the combined organic phase was washed with water (3 × 100 mL), dried over Na2SO4, and concentrated. The excess bis(2-chloroethyl) ether was removed by vacuum distillation and the crude product (23.03 g) was purified by column chromatography on silica gel (460 g) with gradient elution—DCM-MeOH 100:1 → 100:2.
Yield: 81% (18.64 g), colorless oil.
1H NMR (500 MHz, CDCl3) δ 7.58–7.53 (m, 2H, ArH), 7.38–7.33 (m, 3H, ArH), 5.51 (s, 1H, ArCH), 4.69 (d, J = 1.6 Hz, 1H, H-1), 4.38 (dd, J = 12.5, 1.5 Hz, 1H, H-6a), 4.10 (dd, J = 12.5, 2.1 Hz, 1H, H-6b), 4.01–3.92 (m, 2H, CH2Cl), 3.88 (dd, J = 3.9, 2.0 Hz, 1H, H-5), 3.86–3.73 (m, 5H, OCH2, H-2, CH2Cl), 3.75–3.64 (m, 9H, 4 × OCH2, H-3), 3.59 (dd, J = 3.9, 1.5 Hz, 1H, H-4), 3.57 (s, 3H, OCH3), 3.47 (t, J = 5.6 Hz, 2H, OCH2).
13C NMR (126 MHz, CDCl3) δ 138.23 (ArCCH), 128.94 (ArC), 128.02 (ArC), 126.61 (ArC), 101.26 (ArCH), 100.36 (C-1OMe), 77.70 (CH), 75.31 (CH), 73.46 (CH), 71.51 (OCH2), 71.48 (OCH2), 71.39 (OCH2), 70.82 (OCH2), 70.56 (OCH2), 69.91 (OCH2), 69.79 (C-6), 66.53 (CH), 56.60 (OCH3), 43.30 (CH2Cl), 42.89 (CH2Cl).
2.2.5. Methyl-4,6-O-benzylidene-2,3-bis-O-[(2-iodoethoxy) ethyl]-β-d-idopyranoside (8)
Bis-chloro compound 7 (18.64 g, 38 mmol) was dissolved in 180 mL of dry acetone along with 22.56 g (151 mmol) of dry sodium iodide and a small amount of dry sodium carbonate. This mixture was refluxed for 40 h while simultaneously, a white precipitate appeared. This was then filtered from the mixture and the acetone was distilled off. The crude product was dissolved in a mixture of 200 mL of dichloromethane and 150 mL of water, and the phases were separated. The aqueous phase was extracted with 50 mL of dichloromethane; then the combined organic phase was washed with water (3 × 50 mL), dried over sodium sulfate, filtered, and concentrated.
Yield: 93% (23.68 g), yellow oil.
1H NMR (500 MHz, CDCl3) δ 7.56–7.54 (m, 2H, ArH), 7.40–7.33 (m, 3H, ArH), 5.52 (s, 1H, ArCH), 4.70 (d, J = 1.6 Hz, 1H, H-1), 4.38 (dd, J = 12.5, 1.6 Hz, 1H, H-6a), 4.10 (dd, J = 12.5, 2.1 Hz, 1H, H-6b), 4.02–3.98 (m, 1H, H-2), 3.98–3.92 (m, 1H, H-3), 3.92–3.86 (m, 1H, H-5), 3.83–3.77 (m, 5H, 2 × OCH2, H-4), 3.74–3.65 (m, 8H, 4 × OCH2), 3.57 (s, 3H, OCH3), 3.29 (t, J = 6.6 Hz, 2H, CH2I), 3.12 (t, J = 6.6 Hz, 2H, CH2I).
13C NMR (126 MHz, CDCl3) δ 138.20 (ArCCH), 128.97 (ArC), 128.05 (ArC), 126.63 (ArC), 101.26 (ArCH), 100.32 (C-1OMe), 77.66 (CH), 75.28 (CH), 73.46 (CH), 71.96 (OCH2), 71.89 (OCH2), 71.31 (OCH2), 70.48 (OCH2), 70.13 (OCH2), 69.96 (OCH2), 69.79 (C-6), 66.52 (CH), 56.63 (OCH3), 4.12 (CH2I), 2.99 (CH2I).
2.2.6. Methyl-4,6-O-benzylidene-2,3-dideoxy-β-d-idopyranosido[2,3-h]-N-[3-hydroxypropyl]-1,4,7,10-tetraoxa-13-azacyclopentadecane (1a)
Bis-iodo compound 8 (3.00 g, 4 mmol) was dissolved in dry acetonitrile (50 mL) under Ar. To this solution, 2.80 g (26 mmol) of dry sodium carbonate was added. Next, 337 µL (4 mmol) of 3-aminopropanol was added, and the mixture was refluxed for 48 h. It was then filtered, and the solvent was distilled off. The residue was dissolved in dichloromethane (50 mL) and washed with water (3 × 30 mL). The combined aqueous phase was extracted once with dichloromethane, and then, the combined organic phase was dried over sodium sulfate, filtered, and concentrated. The crude product (2.7 g) was purified by chromatography (aluminium oxide, 82 g). Elution was isocratic with dichloromethane-MeOH 100:0.5.
Yield: 42% (0.92 g), yellow–orange viscous oil.
1H NMR (500 MHz, CDCl3) δ 7.59–7.53 (m, 2H ArH), 7.37–7.31 (m, 3H, ArH), 5.51 (s, 1H, ArCH), 4.74 (s, 1H, H-1), 4.33 (d, J = 12.5 Hz, 1H, H-6a), 4.07 (dd, J = 12.6, 4.6 Hz, 2H, H-6b, H-5), 4.02–3.97 (m, 1H, H-3), 3.95 (s, 1H, H-2), 3.89–3.73 (m, 6H, 3 × OCH2), 3.72–3.57 (m, 9H, 4 × OCH2, H-4), 3.55 (s, 3H, OCH3), 2.88–2.72 (m, 2H, NCH2), 2.72–2.60 (m, 4H, 2 × NCH2), 1.76–1.60 (m, 2H, CH2CH2CH2).
13C NMR (126 MHz, CDCl3) δ 138.33 (ArCCH), 128.88 (ArC), 128.03 (ArC), 126.70 (ArC), 101.24 (ArCH), 99.61 (C-1OMe), 78.11 (CH), 76.23 (CH), 74.27 (CH), 71.83 (OCH2), 70.98 (OCH2), 70.88 (OCH2), 69.93(OCH2), 69.43 (C-6), 69.28 (OCH2), 69.14 (OCH2), 66.02 (CH), 64.08 (CH2OH), 56.07 (OCH3), 55.84 (NCH2), 54.56 (NCH2), 54.18 (NCH2), 28.42 (CH2CH2CH2).
2.2.7. Methyl-4,6-O-benzylidene-2,3-dideoxy-β-d-idopyranosido[2,3-h]-N-[3-methoxypropyl]-1,4,7,10-tetraoxa-13-azacyclopentadecane (1b)
Synthesis was carried out according to the previous procedure (Section 2.2.6) with the following quantities: 3.00 g (4 mmol) of bis-iodo compound 8 dissolved in 50 mL of dry acetonitrile, 2.81 g (26 mmol) of dry sodium carbonate, and 450 µL (4 mmol) of 3-methoxypropylamine.
After work-up, the crude product (2.7 g) was purified by column chromatography (85 g of silica gel) with gradient elution (dichloromethane-MeOH 100:4 → 100:4.5).
Yield: 15% (0.33 g), yellow-orange viscous oil.
1H NMR (500 MHz, CD3OD) δ 7.60–7.53 (m, 2H, ArH), 7.38–7.33 (m, 3H, ArH), 5.61 (s, 1H, ArCH), 4.76 (d, J = 1.8 Hz, 1H, H-1), 4.25 (d, J = 13.3 Hz, 1H, H-6a), 4.17 (dd, J = 12.6, 2.0 Hz, 1H, H-6b), 4.11 (d, J = 1.9 Hz, 1H, H-5), 4.07–4.02 (m, 1H, H-3), 3.99–3.88 (m, 2H, H-2, H-4), 3.85–3.61 (m, 14H, 7 × OCH2), 3.55 (s, 3H, OCH3), 3.53–3.43 (m, 2H, NCH2), 3.35 (s, 3H, OCH3), 3.30–2.94 (m, 4H, 2 × NCH2), 1.95–1.91 (m, 2H, CH2CH2CH2).
13C NMR (126 MHz, CD3OD) δ 138.58 (ArCCH), 128.56 (ArC), 127.65 (ArC), 126.38 (ArC), 101.13 (ArCH), 99.85 (C-1OMe), 78.04 (CH), 76.25 (CH), 73.63 (CH), 71.65 (OCH2), 70.63 (OCH2), 70.45 (OCH2), 69.38 (C-6), 68.63 (CH2OH), 66.30 (CH), 57.92 (OCH3), 55.13 (OCH3), 53.78 (NCH2), 27.57 (CH2CH2CH2).
2.2.8. Methyl-4,6-O-benzylidene-2,3-dideoxy-β-d-idopyranosido[2,3-h]-N-[2-(2-methoxyphenyl)ethyl]-1,4,7,10-tetraoxa-13-azacyclopentadecane (1c)
Synthesis was carried out according to the previous procedure (Section 2.2.6) with the following quantities: 4.00 g (6 mmol) of bis-iodo compound 8 dissolved in 66 mL of dry acetonitrile, 3.75 g (35 mmol) of dry sodium carbonate, and 864 µL (6 mmol) of 2-(2-methoxyphenyl)ethylamine.
After work-up, the crude product (4.2 g) was purified by column chromatography (150 g of silica gel) with gradient elution (dichloromethane-MeOH 100:3 → 100:4)
Yield: 30% (1.02 g), yellow–orange viscous oil.
1H NMR (500 MHz, CDCl3) δ 7.61–7.51 (m, 2H, ArH), 7.36–7.30 (m, 3H, ArH), 7.27–7.17 (m, 2H, ArH), 6.91 (t, J = 7.4 Hz, 1H, ArH), 6.86 (d, J = 8.2 Hz, 1H, ArH), 5.52 (s, 1H, ArCH), 4.74 (s, 1H, H-1), 4.32 (d, J = 12.5 Hz, 1H, H-6a), 4.08 (dd, J = 12.6, 2.0 Hz, 1H, H-6b), 3.99–3.96 (m, 3H, H-2, H-3, H-5), 3.86–3.76 (m, 8H, 2 × OCH2, OCH3, H-4), 3.71–3.65 (m, 8H, 4 × OCH2), 3.53 (s, 3H, OCH3), 3.45–2.73 (m, 8H, 3 × NCH2, NCH2CH2Ar).
13C NMR (126 MHz, CDCl3) δ 157.32 (ArCCH), 138.18 (ArCCH), 130.86 (ArC), 129.06 (ArC), 128.15 (ArC), 126.63 (ArC), 120.97 (ArC), 110.48 (ArCH), 101.28 (C-1OMe), 78.08 (CH), 74.78 (CH), 74.72 (CH) 71.88 (OCH2) 70.86 (OCH2), 69.87 (OCH2), 69.11 (C-6), 65.83 (CH), 55.90 (OCH3), 55.43 (NCH2), 29.37 (NCH2CH2Ar).
2.2.9. Methyl-4,6-O-benzylidene-α-d-galactopyranoside-2,3-ditosylate (10)
The synthesis of the α analogue was performed similarly to that of the aforementioned β analogue. Thus, methyl 4,6-O-benzylidene-α-d-galactopyranoside (9) (12.83 g, 45 mmol) was dissolved in 33 mL of dry pyridine, and to this solution 24.99 g (131 mmol) tosyl chloride in 50 mL of dry chloroform was added dropwise, while the internal temperature was kept under 40 °C. The reaction mixture was then stirred at 40 °C for 30 h. Work-up procedures were identical as described in Section 2.2.1. The crude product was recrystallized from CHCl3–hexane to afford the pure product.
Yield: 75% (20.11 g), white solid. Mp.: 177–179 °C
1H NMR (300 MHz, CDCl3) δ 7.75–7.65 (m, 4H, ArH), 7.49–7.32 (m, 5H, ArH), 7.26 (m, 4H, ArH), 5.36 (s, 1H, ArCH), 5.00 (dd, J = 8.1, 4.5 Hz, 2H, H-3, H-4), 4.83 (dd, J = 10.3, 3.4 Hz, 1H, H-2), 4.45 (d, J = 3.6 Hz, 1H, H-1), 4.24 (d, J = 12.7 Hz, 1H, H-6a), 4.02 (d, J = 12.6 Hz, 1H, H-6b), 3.70 (s, 1H, H-5), 3.37 (s, 3H, OCH3), 2.44 (s, 3H, ArCH3), 2.41 (s, 3H, ArCH3).
13C NMR (75 MHz, CDCl3) δ 145.02 (ArC), 144.92 (ArC), 137.15 (ArC), 133.75 (ArC), 132.88 (ArC), 129.71 (ArC), 129.68 (ArC), 129.04 (ArC), 128.26 (ArC), 128.09 (ArC), 127.80 (ArC), 126.06 (ArC), 100.53 (ArCH), 98.45 (C-1OMe), 74.86 (CH), 74.39 (CH), 73.44 (CH), 68.75 (CH), 62.09 (CH), 56.01 (OCH3), 21.71 (ArCH3).
2.2.10. Methyl-4,6-O-benzylidene-α-d-idopyranoside (12)
Ditosylate 10 (20.11 g, 34 mmol) was dissolved in dry dimethyl sulfoxide (320 mL), and then 60 mL of freshly prepared 3 M NaOMe solution in MeOH was added by stirring. The reaction mixture was allowed to react for 5 h, and then it was poured into 1 L of ice water while stirring. After some time, a beige solid precipitated which was filtered. This was a mixture of methyl 4,6-O-benzylidene-2,3-anhydro-d-gulopyranoside and methyl 4,6-O-benzylidene-2,3-anhydro-d-talopyranodside and was used in the next step without purification.
The crude mixture of anhydro sugars was suspended in 250 mL of 5 M potassium hydroxide solution and was kept at reflux until complete conversion was achieved. The solution was then neutralized to phenolphthalein with 50% acetic acid. The product precipitated at this point and was filtered and washed with water. Recrystallization was performed from CHCl3–hexane.
Yield: 80% (7.71 g), white solid. Mp.: 145–149 °C
1H NMR (500 MHz, CD3OD) δ 7.50–7.44 (m, 2H, ArH), 7.37–7.31 (m, 3H, ArH), 5.59 (s, 1H, ArCH), 4.71 (s, 1H, H-1), 4.61 (s, 2H, OH), 4.24–4.14 (m, 2H, H-6a, H-6b), 4.06 (s, 1H, H-4), 3.88 (s, 1H, H-3), 3.81–3.78 (m, 1H, H-5), 3.56–3.52 (m, 1H, H-2), 3.42 (s, 3H, OCH3).
13C NMR (126 MHz, CD3OD) δ 142.05 (ArCCH), 132.61 (ArC), 131.76 (ArC), 129.81 (ArC), 106.72 (ArCH), 104.79 (C-1OMe), 80.66 (CH), 73.62 (CH), 73.26 (C-6), 72.49 (CH), 64.06 (CH), 58.48 (OCH3).
2.2.11. Methyl-4,6-O-benzylidene-2,3-bis-O-[(2-chloroethoxy)ethyl]-α-d-idopyranoside (13)
A two-necked, round-bottom flask equipped with a mechanical stirrer was charged with methyl-4,6-O-benzylidene-α-d-idopyranoside (12) (7.71 g, 27 mmol) and bis(2-chloroethyl) ether (96.0 mL, 820 mmol). To the resulting suspension, tetrabutylammonium hydrogensulfate (9.27 g, 27 mmol) and 50 m/m% NaOH solution (96 mL) were added. The resulting mixture was stirred vigorously for 10 h, after which it was diluted with water (250 mL) and dichloromethane (250 mL). The phases were separated, and the organic phase was washed with water (3 × 100 mL), dried over Na2SO4, and concentrated. The excess bis(2-chloroethyl) ether was then removed by vacuum distillation. The crude product (10.86 g) solidified after cooling, so attempts were made to purify it by recrystallization. The use of EtOH-hexane and diisopropyl ether were both unsuccessful, the product that crystallized was still impure according to TLC and NMR analysis. Thus, the material was purified by column chromatography on silica gel (300 g) with gradient elution—dichloromethane-MeOH 100:1 → 100:3.
Yield: 30% (4.03 g), off-white semi-solid.
1H NMR (500 MHz, CDCl3) δ 7.53–7.47 (m, 2H, ArH), 7.38–7.31 (m, 3H, ArH), 5.53 (s, 1H, ArCH), 4.73 (d, J = 4.7 Hz, 1H, H-1), 4.27 (d, J = 12.8 Hz, 1H, H-6a), 4.16–4.07 (m, 2H, H-6b, H-2), 3.97–3.59 (m, 17H, 6 × OCH2, H-3, H-4, H-5, CH2Cl), 3.59–3.55 (m, 2H, CH2Cl), 3.42 (s, 3H, OCH3).
13C NMR (126 MHz, CDCl3) δ 137.93 (ArCCH), 128.94 (ArC), 128.14 (ArC), 126.21 (ArC), 102.78 (ArCH), 100.24 (C-1OMe), 80.95 (CH), 79.07 (CH), 78.20 (CH), 71.35 (OCH2), 71.34 (OCH2), 71.28 (OCH2), 70.73 (OCH2), 70.69 (OCH2), 70.67 (OCH2), 69.26 (C-6), 61.97 (CH), 55.43 (OCH3), 42.92 (CH2Cl), 42.84 (CH2Cl).
2.2.12. Methyl-4,6-O-benzylidene-2,3-bis-O-[(2-iodoethoxy) ethyl]-α-d-idopyranoside (14)
Bis-chloro podant 13 (4.03 g, 8 mmol) was dissolved in 40 mL of dry acetone along with 4.88 g (33 mmol) of dry sodium iodide and a small amount of dry sodium carbonate. The reaction mixture was refluxed for 40 h while simultaneously, a white precipitate appeared. This was then filtered from the mixture, and acetone was distilled off. The crude product was dissolved in a mixture of 50 mL dichloromethane and 50 mL of water, and the phases were separated. The aqueous phase was extracted with 20 mL of dichloromethane, and then the combined organic phase was washed with water (3 × 30 mL), dried over sodium sulfate, filtered, and concentrated.
Yield: 96% (5.27 g), light-brown solid. Mp.: 77–80 °C.
1H NMR (500 MHz, CDCl3) δ 7.53–7.47 (m, 2H, ArH), 7.38–7.31 (m, 3H, ArH), 5.54 (s, 1H, ArCH), 4.73 (d, J = 4.8 Hz, 1H, H-1), 4.28 (d, J = 12.9 Hz, 1H, H-6a), 4.17–4.10 (m, 2H, H-6b, H-2), 3.88–3.76 (m, 5H, OCH2, H-3, H-4, H-5), 3.76–3.71 (m, 4H, 2-OCH2), 3.71–3.60 (m, 6H, 3-OCH2), 3.42 (s, 3H OCH3), 3.23 (t, J = 5.6 Hz, 2H, CH2I), 3.20 (t, J = 5.6 Hz, 2H, CH2I).
13C NMR (126 MHz, CDCl3) δ 137.91 (ArCCH), 128.95 (ArC), 128.16 (ArC), 126.22 (ArC), 102.81 (ArCH), 100.22 (C-1OMe), 81.03 (CH), 79.15 (CH), 78.28 (CH), 71.94 (OCH2), 71.90 (OCH2), 71.35 (OCH2), 70.79 (OCH2), 70.31 (OCH2), 70.27 (OCH2), 69.24 (C-6), 62.02 (CH), 55.47 (OCH3), 3.29 (CH2I), 3.13 (CH2I).
2.2.13. Methyl-4,6-O-benzylidene-2,3-dideoxy-α-d-idopyranosido[2,3-h]-N-[3-hydroxypropyl]-1,4,7,10-tetraoxa-13-azacyclopentadecane (2a)
Bis-iodo podant 14 (2.60 g, 4 mmol) was dissolved in dry acetonitrile (38 mL) under Ar. To this solution, 2.44 g (23 mmol) of dry sodium carbonate, then 295 µL (4 mmol) of 3-aminopropanol were added, and the mixture was refluxed for 35 h. It was then filtered, and the solvent was distilled off. The residue was dissolved in dichloromethane (50 mL) and washed with water (3 × 30 mL). The aqueous phase was extracted once with dichloromethane and the combined organic phase was dried over sodium sulfate, filtered, and concentrated. The crude product (2.54 g) was purified by column chromatography on aluminium oxide (50 g) using isocratic elution with dichloromethane–MeOH 100:2.
Yield: 68% (1.31 g), orange–white solid. Mp.: 97–101 °C
1H NMR (500 MHz, CDCl3) δ 7.51–7.46 (m, 2H, ArH), 7.37–7.30 (m, 3H, ArH), 5.52 (s, 1H, ArCH), 4.69 (d, J = 5.4 Hz, 1H, H-1), 4.27 (d, J = 12.9 Hz, 1H, H-6a), 4.17–4.08 (m, 2H, H-2, H-3), 3.95–3.51 (m, 17H, H-6b, H-4, H-5, 7 × OCH2), 3.41 (s, 3H, OCH3), 2.87–2.73 (m, 2H, NCH2), 2.71–2.63 (m, 4H, 2 × NCH2), 1.72–1.58 (m, 2H, CH2CH2CH2OH).
13C NMR (126 MHz, CDCl3) δ 137.90 (ArCCH), 128.87 (ArC), 128.11 (ArC), 126.17 (ArC), 103.49 (ArCH), 99.92 (C-1OMe), 81.24 (CH), 79.49 (CH), 79.38 (CH), 71.39 (OCH2), 70.38 (OCH2), 70.34 (OCH2), 70.26 (OCH2), 69.14 (C-6), 69.04 (OCH2), 64.27 (OCH2), 62.47 (CH), 56.95 (NCH2), 55.31 (OCH3), 54.57 (NCH2), 54.44 (NCH2), 28.46 (CH2CH2CH2).
2.2.14. Methyl-4,6-O-benzylidene-2,3-dideoxy-α-d-idopyranosido[2,3-h]-N-[2-(2-methoxyphenyl)ethyl]-1,4,7,10-tetraoxa-13-azacyclopentadecane (2b)
Synthesis was carried out according to the previous procedure (Section 2.2.13) with the same quantities, except for the amine; 560 µL (4 mmol) of 2-(2-methoxyphenyl)ethylamine was used.
After work-up, the crude product (2.47 g) was purified by column chromatography (50 g of silica gel) with isocratic elution (dichloromethane-MeOH 100:5).
Yield: 62% (1.35 g), light-brown solid. Mp.: 118–121 °C
1H NMR (500 MHz, CDCl3) δ 7.55–7.50 (m, 2H, ArH), 7.41–7.34 (m, 3H, ArH), 7.23–7.12 (m, 2H, ArH), 6.92–6.82 (m, 2H, ArH), 5.56 (s, 1H, ArCH), 4.75 (d, J = 5.4 Hz, 1H, H-1), 4.32 (d, J = 12.9 Hz, 1H, H-6a), 4.21–4.11 (m, 2H, H-6b, H-5), 3.98–3.91 (m, 2H, H-3, H-4), 3.90–3.84 (m, 2H, OCH2), 3.83 (s, 3H, ArOCH3), 3.78–3.58 (m, 10H, 5 × OCH2), 3.50 (dd, J = 10.1, 5.4 Hz, 1H, H-2), 3.46 (s, 3H, OCH3), 2.99–2.73 (m, 8H, 3 × NCH2, ArCH2).
13C NMR (126 MHz, CDCl3) δ 157.51 (ArCOMe), 137.89 (ArC), 130.38 (ArC), 128.89 (ArC), 128.13 (ArC), 127.27 (ArC), 126.17 (ArC), 120.43 (ArC), 110.24 (ArC), 103.57 (ArCH), 99.94 (C-1OMe), 81.35 (CH), 79.54 (CH), 79.47 (CH), 71.38 (OCH2), 70.53 (OCH2), 70.43 (OCH2), 70.32 (OCH2), 69.14 (C-6), 62.49 (CH), 56.83 (NCH2), 55.31 (OCH3), 55.23 (OCH3), 54.22 (NCH2), 54.15 (NCH2), 28.08 (ArCH2).
2.3. Asymmetric Syntheses
2.3.1. Diethyl 2-acetamido-2-(2-nitro-1-phenylethyl) Malonate (17)
Diethyl acetamidomalonate (16) (0.163 g, 0.75 mmol), β-nitrostyrene (15) (0.075 g, 0.5 mmol) and the appropriate crown catalyst (10 mol%) were dissolved in a 2.5 mL, 4:1 mixture of dry Et2O and dry THF. The THF was added first and then the mixture was diluted with the appropriate amount of Et2O. After a short period of stirring, anhydrous Na2CO3 (0.11 g, 1 mmol) was added, and the mixture was stirred at room temperature. The reaction was monitored by TLC (hexane–ethyl-acetate 4:1). After completion, the mixture was concentrated, and the residue was dissolved in dichloromethane and filtered. The filtrate was washed with 10% aqueous HCl (3 × 5 mL), and then dried (Na2CO3 and Na2SO4). The crude product obtained after evaporating the solvent was purified by preparative TLC (hexane –ethyl-acetate 3:1) to give an off-white solid with an Mp of 135–136 °C. Yields and ee values can be observed in Table 1.
Table 1.
Effect of crown ethers 1a–c and 2a–b in the Michael-addition reaction of β-nitrostyrene (15).
1H NMR (500 MHz, CDCl3), δ 7.31–7.28 (m, 3H, ArH), 7.22–7.18 (m, 2H, ArH), 6.89 (br s, NH), 5.54–5.48 (m, 1H, PhCH), 4.73–4.66 (m, 2H, OCH2), 4.34–4.23 (m, 2H, OCH2), 4.20–4.13 (m, 1H, CH2NO2), 4.08–4.01 (m, 1H, CH2NO2), 2.12 (s, 3H, COCH3), 1.27 (t, J = 7 Hz, 3H, CH3CH2), 1.25 (t, J = 7 Hz, 3H, CH3CH2)
13C NMR (75 MHz, CDCl3), δ 170.10 (COCH3), 166.43 (C(O)O), 165.71 (C(O)O), 133.78 (ArC), 128.75 (ArC), 128.70 (ArC), 128.69 (ArC), 76.83 (HNCCO), 67.21 (CNO2), 63.56 (CH2CH3), 62.75 (CH2CH3), 48.30 (PhCCNO2), 22.97 (COCH3), 13.84 (CH2CH3), 13.76 (CH2CH3).
2.3.2. Diethyl 2,2-dicyano-3-phenylcyclopropane-1,1-dicarboxylate (20)
Benzylidenemalononitrile (18) (0.077 g, 0.5 mmol), diethyl bromomalonate (19) (130 µL, 0.75 mmol) and the appropriate crown ether (10 mol%) were dissolved in a 2.5 mL, 4:1 mixture of dry Et2O and dry THF. The THF was added first, and then the mixture was diluted with the appropriate amount of Et2O. Then, dry Na2CO3 (0.11 g, 1 mmol) was added. The reaction mixture was stirred at room temperature. After completion of the reaction, the mixture was concentrated, and the residue was dissolved in dichloromethane and filtered. The filtrate was washed with 10% aqueous HCl (3 × 5 mL) and then dried (Na2CO3 and Na2SO4) and concentrated. The crude product was purified by preparative TLC using hexane–ethyl-acetate (5:1) as the eluent to give a yellow oil. Yields and ee values can be observed in Table 2.
Table 2.
Effect of crown ethers 1a–c and 2a–b in the cyclopropanation of benzylidenemalononitrile (18).
1H NMR (300 MHz, CDCl3), δ 7.45–7.35 (m, 5H, ArH), 4.43 (q, J = 7.2 Hz, 2H, OCH2), 4.30–4.18 (m, 2H, OCH2), 3.96 (s, 1H, ArCH), 1.39 (t, J = 7.2 Hz, 3H, CH2CH3), 1.19 (t, J = 7.2 Hz, 3H, CH2CH3)
13C NMR (75 MHz, CDCl3), δ 163.05 (COOC2H5), 161.06 (COOC2H5), 129.67 (ArC), 129.10 (ArC), 128.76 (ArC), 127.31 (ArC), 111.86 (CN), 109.71 (CN), 64.50 (CH2CH3), 63.62 (CH2CH3), 46.39 (OCCCO), 40.08 (PhCH), 16.32 (NCCCN), 13.97 (CH2CH3), 13.60 (CH2CH3).
2.3.3. Triethyl 2-cyano-3-phenylcyclopropane-1,1,2-tricarboxylate (22a)
Benzylidenecyanoacetic acid ethyl ester (21a) (0.101 g, 0.5 mmol), diethyl bromomalonate (19) (130 µL, 0.75 mmol), and the appropriate crown ether (10 mol%) were dissolved in dry dichloromethane (3 mL), and anhydrous Na2CO3 (0.11 g, 1 mmol) was added. The reaction mixture was stirred at room temperature. The reaction was monitored by TLC (hexane–EtOAc 4:1). After completion of the reaction, the mixture was filtered, and the filtrate was concentrated. The crude product was purified by preparative TLC using hexane–EtOAc mixture (5:1) as the eluent, giving a yellow oil. Yields and ee values can be observed in Table 3.
Table 3.
Effect of crown ethers 1a–c and 2a–b in the cyclopropanation of ethyl 2-cyano-3-arylacrylates (21a–d).
1H NMR (500 MHz, CDCl3) δ 7.41–7.31 (m, 5H, ArH), 4.42–4.21 (m, 4H, OCH2CH3), 4.14 (qd, J = 7.1, 2.0 Hz, 2H, OCH2CH3), 3.94 (s, 1H, ArCH), 1.39 (t, J = 7.1 Hz, 3H, OCH2CH3), 1.31 (t, J = 7.1 Hz, 3H, OCH2CH3), 1.10 (t, J = 7.1 11 Hz, 3H, OCH2CH3)
13C NMR (75 MHz, CDCl3) δ 164.52 (COOCH2), 164.05 (COOCH2), 162.74 (COOCH2), 129.90 (ArC), 128.93 (ArC), 128.84 (ArC), 128.77(ArC), 112.94 (CN), 64.33 (OCH2CH3), 63.17 (OCH2CH3), 63.02 (OCH2CH3), 48.07 (OCCCO), 39.37 (ArCH), 30.91 (NCCCO), 14.18 (OCH2CH3), 14.08 (OCH2CH3), 13.77 (OCH2CH3).
2.3.4. Triethyl 3-(2-chlorophenyl)-2-cyanocyclopropane-1,1,2-tricarboxylate (22b)
Ethyl 3-(2-chlorophenyl)-2-cyanoacrylate (21b) (0.118 g, 0.5 mmol), diethyl bromomalonate (19) (130 µL, 0.75 mmol), and the appropriate crown ether (10 mol%) were dissolved in dry dichloromethane (3 mL), and anhydrous Na2CO3 (0.11 g, 1 mmol) was added. The reaction mixture was stirred at room temperature. The reaction was monitored by TLC (hexane–EtOAc 4:1). After completion of the reaction, the mixture was filtered, and the filtrate was concentrated. The crude product was purified by preparative TLC using hexane–EtOAc mixture (5:1) as the eluent, giving a yellow oil. Yields and ee values can be observed in Table 3.
1H NMR (500 MHz, CDCl3) δ 7.45–7.37 (m, 2H, ArH), 7.33–7.25 (m, 2H, ArH), 4.45–4.23 (m, 4H, OCH2CH3), 4.19 (q, J = 7.3 Hz, 2H, OCH2CH3), 3.86 (s, 1H, ArCH), 1.39 (t, J = 7.3 Hz, 3H, OCH2CH3), 1.30 (t, J = 7.2 Hz, 3H, OCH2CH3), 1.16 (t, J = 7.2 Hz, 3H, OCH2CH3).
13C NMR (126 MHz, CDCl3) δ 164.22 (COOCH2), 163.62 (COOCH2), 162.71 (COOCH2), 135.17 (ArCCl), 130.20 (ArC), 129.95 (ArC), 129.90 (ArC), 128.04 (ArC), 126.88 (ArC), 112.57 (CN), 64.25 (OCH2CH3), 63.15 (OCH2CH3), 62.75 (OCH2CH3), 47.61 (OCCCO), 38.30 (ArCH), 31.49 (NCCCO), 14.04 (OCH2CH3), 13.89 (OCH2CH3), 13.60 (OCH2CH3).
2.3.5. Triethyl 3-(3-chlorophenyl)-2-cyanocyclopropane-1,1,2-tricarboxylate (22c)
Ethyl 3-(3-chlorophenyl)-2-cyanoacrylate (21c) (0.118 g, 0.5 mmol), diethyl bromomalonate (19) (130 µL, 0.75 mmol), and the appropriate crown ether (10 mol%) were dissolved in dry dichloromethane (3 mL), and anhydrous Na2CO3 (0.11 g, 1. mmol) was added. The reaction mixture was stirred at room temperature. The reaction was monitored by TLC (hexane–EtOAc 4:1). After completion of the reaction, the mixture was filtered, and the filtrate was concentrated. The crude product was purified by preparative TLC using hexane–EtOAc mixture (5:1) as the eluent, giving a yellow oil. Yields and ee values can be observed in Table 3.
1H NMR (500 MHz, CDCl3) δ 7.35 (s, 1H, ArH), 7.33–7.28 (m, 3H, ArH), 4.42–4.21 (m, 4H, OCH2CH3), 4.21–4.12 (m, 2H, OCH2CH3), 3.87 (s, 1H, ArCH), 1.38 (t, J = 7.1 Hz, 3H, OCH2CH3), 1.30 (t, J = 7.1 Hz, 3H, OCH2CH3), 1.14 (t, J = 7.1 Hz, 3H, OCH2CH3).13C NMR (126 MHz, CDCl3) δ 164.07 (COOCH2), 163.61 (COOCH2), 162.32 (COOCH2), 134.65 (ArCCl), 131.64 (ArC), 130.11 (ArC), 128.97 (ArC), 128.92 (ArC), 126.89 (ArC), 112.42, (CN) 64.34 (OCH2CH3), 63.26 (OCH2CH3), 63.00 (OCH2CH3), 47.66 (OCCCO), 38.31 (ArCH), 30.64 (NCCCO), 13.99 (OCH2CH3), 13.89 (OCH2CH3), 13.70 (OCH2CH3).
2.3.6. Triethyl 3-(4-chlorophenyl)-2-cyanocyclopropane-1,1,2-tricarboxylate (22d)
Ethyl 3-(4-chlorophenyl)-2-cyanoacrylate (21d) (0.118 g, 0.5 mmol), diethyl bromomalonate (19) (130 µL, 0.75 mmol), and the appropriate crown ether (10 mol%) were dissolved in dry dichloromethane (3 mL), and anhydrous Na2CO3 (0.11 g, 1 mmol) was added. The reaction mixture was stirred at room temperature. The reaction was monitored by TLC (hexane–EtOAc 4:1). After completion of the reaction, the mixture was filtered, and the filtrate was concentrated. The crude product was purified by preparative TLC using hexane–EtOAc mixture (5:1) as the eluent, giving a yellow oil. Yields and ee values can be observed in Table 3.
1H NMR (500 MHz, CDCl3) δ 7.35–7.31 (m, 4H, ArH), 4.42–4.19 (m, 4H, OCH2CH3), 4.15 (q, J = 7.1 Hz, 2H, OCH2CH3), 3.86 (s, 1H, ArCH), 1.38 (t, J = 7.1 Hz, 3H, OCH2CH3), 1.30 (t, J = 7.1 Hz, 3H, OCH2CH3), 1.13 (t, J = 7.0 Hz, 3H, OCH2CH3).
13C NMR (126 MHz, CDCl3) δ 164.11 (COOCH2), 163.67 (COOCH2), 162.36 (COOCH2), 134.75 (ArCCl), 130.09 (2 × ArC), 129.05 (2 × ArC), 128.22 (ArC), 112.56 (CN), 64.31 (OCH2CH3), 63.20 (OCH2CH3), 62.96 (OCH2CH3), 47.76 (OCCCO), 38.39 (ArCH), 30.73 (NCCCO), 13.99 (OCH2CH3), 13.89 (OCH2CH3), 13.69 (OCH2CH3).
2.3.7. Diethyl 1′,3′-dioxo-3-phenyl-1′,3′-dihydrospiro[cyclopropane-1,2′-indene]-2,2-dicarboxylate (24a)
Benzylidene-1,3-indanedione (23a) (0.117 g, 0.5 mmol), diethyl bromomalonate (19) (130 µL, 0.75 mmol), and the appropriate crown ether (10 mol%) were dissolved in a mixture of dry diethyl ether–tetrahydrofurane 4:1 (3 mL), and anhydrous Na2CO3 (0.11 g, 1 mmol) was added. The THF was added first, and then the mixture was diluted with the appropriate amount of Et2O. The reaction mixture was stirred at room temperature. The reaction was monitored by TLC (hexane–EtOAc 4:1). After completion of the reaction, the mixture was filtered, and the filtrate was concentrated. The crude product was purified by preparative TLC using hexane–EtOAc mixture (5:1) as the eluent, resulting in a pale-yellow oil. Yields and ee values can be observed in Table 4.
Table 4.
Effect of crown ethers 1a–c and 2a–b in the cyclopropanation of arylidene-indane-1,3-diones (23a–23d).
1H NMR (500 MHz, CDCl3) δ 8.04–7.93 (m, 2H, ArH), 7.88–7.81 (m, 2H, ArH), 7.35–7.25 (m, 5H, ArH), 4.40–4.25 (m, 2H, OCH2), 4.25–4.15 (m, 2H, OCH2), 4.16 (s, 1H, PhCH), 1.31 (t, J = 7.2 Hz, 3H, CH3), 1.18 (t, J = 7.2 Hz, 3H, CH3).
13C NMR (75 MHz, CDCl3), δ 194.69 (ArCO), 191.41 (ArCO), 164.37 (COOC2H5), 162.53 (COOC2H5), 143.10 (ArC), 141.24 (ArC), 135.58 (ArC), 135.25 (ArC), 130.17 (ArC), 127.86 (ArC), 123.18 (ArC), 62.89 (CH2CH3), 62.39 (CH2CH3), 51.74 (ArOCCCOAr), 45.23(OOCCCOO), 42.35 (PhCH), 13.98 (CH2CH3), 13.71 (CH2CH3).
2.3.8. Diethyl 3-(4-nitrophenyl)-1′,3′-dioxo-1′,3′-dihydrospiro[cyclopropane-1,2′-indene]-2,2-dicarboxylate (24b)
2-(4-Nitrobenzylidene)-1H-indene-1,3(2H)-dione (23b) (0.140 g, 0.5 mmol), diethyl bromomalonate (19) (130 µL, 0.75 mmol), and the appropriate crown ether (10 mol%) were dissolved in a mixture of dry diethyl ether–tetrahydrofurane 4:1 (3 mL), and anhydrous Na2CO3 (0.11 g, 1 mmol) was added. The THF was added first and then the mixture was diluted with the appropriate amount of Et2O. The reaction mixture was stirred at room temperature. The reaction was monitored by TLC (hexane–EtOAc 4:1). After completion of the reaction, the mixture was filtered, and the filtrate was concentrated. The crude product was purified by preparative TLC using hexane–EtOAc mixture (5:1) as the eluent, resulting in an orange oil. Yields and ee values can be observed in Table 4.
1H NMR (500 MHz, CDCl3), δ 8.15 (d, J = 8.5 Hz, 2H, ArH), 8.07–8.02 (m, 1H, ArH), 8.02–7.97 (m, 1H, ArH), 7.93–7.88 (m, 2H, ArH), 7.52 (d, J = 8.5 Hz, 2H, ArH), 4.37–4.28 (m, 2H, OCH2), 4.23–4.14 (m, 2H, OCH2), 4.17 (s, 1H, ArCH), 1.32 (t, J = 7 Hz, 3H, CH2CH3), 1.17 (t, J = 7 Hz, 3H, CH2CH3).
13C NMR (75 MHz, CDCl3), δ 193.71 (ArCO), 191.57 (ArCO), 163.74 (COOC2H5), 162.16 (COOC2H5), 147.38 (ArC), 142.89 (ArC), 141.44 (ArC), 137.87 (ArC), 135.78 (ArC), 131.37 (ArC), 123.38 (ArC), 123.03 (ArC), 63.24 (CH2CH3), 62.73 (CH2CH3), 51.33 (ArOCCCOAr), 44.94 (OOCCCOO), 40.47 (ArCH), 14.00 (CH2CH3), 13.73 (CH2CH3).
2.3.9. Diethyl 3-(4-methoxyphenyl)-1′,3′-dioxo-1′,3′-dihydrospiro[cyclopropane-1,2′-indene]-2,2-dicarboxylate (24c)
2-(4-Methoxybenzylidene)-1H-indene-1,3(2H)-dione (23c) (0.132 g, 0.5 mmol), diethyl bromomalonate (19) (130 µL, 0.75 mmol), and the appropriate crown ether (10 mol %) were dissolved in a mixture of dry diethyl ether–tetrahydrofurane 4:1 (3 mL), and anhydrous Na2CO3 (0.11 g, 1 mmol) was added. The THF was added first, and then the mixture was diluted with the appropriate amount of Et2O. The reaction mixture was stirred at room temperature. The reaction was monitored by TLC (hexane–EtOAc 4:1). After completion of the reaction, the mixture was filtered, and the filtrate was concentrated. The crude product was purified by preparative TLC using hexane–EtOAc mixture (5:1) as the eluent, resulting in a yellow oil. Yields and ee values can be observed in Table 4.
1H NMR (500 MHz, CDCl3), δ 8.02–7.98 (m, 1H, ArH), 7.97–7.93 (m, 1H, ArH), 7.86–7.81 (m, 2H, ArH), 7.25 (d, J = 8.5 Hz, 2H, ArH), 6.82 (d, J = 8.5 Hz, 2H, ArH), 4.36–4.26 (m, 2H, OCH2), 4.26–4.16 (m, 2H, OCH2), 4.10 (s, 1H, ArCH), 3.78 (s, 3H, ArOCH3), 1.31 (t, J = 7 Hz, 3H, CH2CH3), 1.21 (t, J = 7 Hz, 3H, CH2CH3).
13C NMR (75 MHz, CDCl3), δ 194.79 (ArCO), 191.57 (ArCO), 164.47 (COOC2H5), 162.75 (COOC2H5), 156.88 (ArC), 142.93 (ArC), 135.88 (ArC), 135.72 (ArC), 125.14 (ArC), 123.11 (ArC), 114.66 (ArC), 62.77 (CH2CH3), 62.38 (CH2CH3), 55.64 (ArOCH3), 51.83 (ArOCCCOAr), 45.20 (OOCCCOO), 41.47 (ArCH), 13.91 (CH2CH3), 13.52 (CH2CH3).
2.3.10. Diethyl 1′,3′-dioxo-3-(4-methylphenyl)-1′,3′-dihydrospiro[cyclopropane-1,2′-indene]-2,2-dicarboxylate (24d)
2-(4-Methylbenzylidene)-1H-indene-1,3(2H)-dione (23d) (0.124 g, 0.5 mmol), diethyl bromomalonate (19) (130 µL, 0.75 mmol), and the appropriate crown ether (10 mol%) were dissolved in a mixture of dry diethyl ether–tetrahydrofurane 4:1 (3 mL), and anhydrous Na2CO3 (0.11 g, 1 mmol) was added. The THF was added first, and then the mixture was diluted with the appropriate amount of Et2O. The reaction mixture was stirred at room temperature. The reaction was monitored by TLC (hexane–EtOAc 4:1). After completion of the reaction, the mixture was filtered, and the filtrate was concentrated. The crude product was purified by preparative TLC using hexane–EtOAc mixture (5:1) as the eluent, resulting in a pale-yellow oil. Yields and ee values can be observed in Table 4.
1H NMR (500 MHz, CDCl3), δ 8.02–7.98 (m, 1H, ArH), 7.97–7.93 (m, 1H, ArH), 7.87–7.81 (m, 2H, ArH), 7.21 (d, J = 7.5 Hz, 2H, ArH), 7.09 (d, J = 7.5 Hz, 2H, ArH), 4.36–4.26 (m, 2H, OCH2), 4.26–4.17 (m, 2H, OCH2), 4.12 (s, 1H, ArCH), 2.31 (s, 3H, ArCH3), 1.31 (t, J = 7 Hz, 3H, CH2CH3), 1.20 (t, J = 7 Hz, 3H, CH2CH3)
13C NMR (75 MHz, CDCl3), δ 194.65 (ArCO), 191.58 (ArCO), 164.52 (COOC2H5), 162.76 (COOC2H5), 142.91 (ArC), 139.78 (ArC), 135.60 (ArC), 133.48 (ArC), 127.65 (ArC), 125.04 (ArC), 123.22 (ArC), 62.76 (CH2CH3), 62.40 (CH2CH3), 51.81 (ArOCCCOAr), 45.20 (OOCCCOO), 41.42 (ArCH), 20.49 (ArCH3), 13.93 (CH2CH3), 13.60 (CH2CH3)
2.3.11. Diethyl 2-cyano-3-phenyl-2-(phenylsulfonyl) cyclopropane-1,1-dicarboxylate (26)
3-Phenyl-2-(phenylsulfonyl) acrylonitrile (25) (0.134 g, 0.5 mmol) was dissolved in dry dichloromethane (3 mL), and to this solution, 130 µL (0.75 mmol) of diethyl bromomalonate (19) along with the appropriate crown ether (10 mol%) were added. To start the reaction, 0.11 g (1 mmol) of sodium carbonate was added, and the mixture was stirred at room temperature. The progress of the reaction was monitored by TLC (hexane–EtOAc 4:1). After completion, the mixture was filtered and diluted with dichloromethane. The organic solution was washed with 10% HCl (3 × 10 mL), dried using Na2SO4, filtered again and concentrated. Crude product was purified by preparative TLC using hexane–EtOAc 5:1 as the eluent to obtain an off-white solid. Yields and ee values can be observed in Table 5.
Table 5.
Effect of crown ethers 1a–1c and 2a–b in the cyclopropanation of (E)-3-phenyl-2-(phenylsulfonyl)acrylonitrile (25).
1H NMR (500 MHz, CDCl3) δ 8.13 (dd, J = 8.5, 1.3 Hz, 2H, ArH), 7.81 (tt, J = 7.5, 1.2 Hz, 1H, ArH), 7.68 (t, J = 7.9 Hz, 2H, ArH), 7.31 (dd, J = 4.9, 2.0 Hz, 3H, ArH), 7.17–7.11 (m, 2H, ArH), 4.50–4.37 (m, 2H, OCH2), 4.16 (s, 1H, PhCH), 4.13 (qd, J = 7.1, 2.6 Hz, 2H, OCH2), 1.42 (t, J = 7.1 Hz, 3H, CH3), 1.10 (t, J = 7.1 Hz, 3H, CH3).
13C NMR (75 MHz, CDCl3) δ 162.94 (ArCO), 162.06 (ArCO), 136.12 (ArC), 135.59 (ArC), 130.13 (ArC), 129.59 (ArC), 128.98 (ArC), 128.94 (ArC), 128.65 (ArC), 128.27 (ArC), 111.52 (CN), 63.55 (OCH2CH3), 63.46 (OCH2CH3), 48.24 (NCCS), 47.58 (OCCCO), 36.95 (PhCH), 13.82 (OCH2CH3), 13.60 (OCH2CH3).
2.3.12. (2R,3S)-Phenyl(3-phenyloxirane-2-yl) Methanone (29) via Darzens-Condensation
Phenacyl chloride (27) (0.077 g, 0.5 mmol), benzaldehyde (28) (76 µL, 0.75 mmol) and the appropriate crown catalyst (10 mol%) were dissolved in toluene (1.5 mL). Then, 30% aqueous NaOH solution (0.5 mL) was added, and the mixture was stirred at room temperature. The reaction was monitored by TLC (hexane–ethyl-acetate 10:1). After completion of the reaction, the mixture was diluted with toluene (7 mL) and water (3 mL), and the phases were separated. The organic layer was washed with 10% aqueous HCl solution (3 × 10 mL), dried (Na2CO3 and Na2SO4), filtered, and concentrated in vacuum. The crude product was purified by preparative TLC (hexane–ethyl-acetate 10:1) to give a yellowish-white powder. Yields and ee values can be observed in Table 6.
Table 6.
Effect of crown ethers 1a–c and 2a–b in the Darzens condensation of 2-chloroacetophenone (27).
1H NMR (CDCl3, 500 MHz), δ 7.97–7.94 (m, 2H, ArH), 7.60–7.56 (m, 1H, ArH), 7.46–7.44 (m, 2H, ArH), 7.38–7.32 (m, 5H), 4.26 (d, J = 1.9 Hz, 1H, COCH), 4.05 (d, J = 1.9 Hz, 1H, ArCH)
13C NMR (CDCl3, 75 MHz), δ 193.06 (C=O), 135.48 (ArC), 133.97 (ArC), 129.04 (ArC), 128.86 (ArC), 128.76 (ArC), 128.33 (ArC), 125.78 (ArC), 61.00 (OCCO), 59.34 (PhCO).
2.3.13. (2R,3S)-Phenyl(3-phenyloxirane-2-yl) Methanone (29) via Epoxidation
trans-Chalcone (30) (0.104 g, 0.5 mmol) and the appropriate crown catalyst (10 mol%) were dissolved in toluene (3 mL), and then 5.5 M tert-butylhydroperoxide solution (0.25 mL, in decane) and 20% aqueous NaOH solution (0.5 mL) were added. The mixture was stirred at room temperature. The reaction was monitored by TLC (hexane–ethyl-acetate 10:1). After completion, the reaction mixture was diluted with toluene (7 mL) and water (3 mL), and the phases were separated. The organic layer was washed with 10% aqueous HCl solution (3 × 10 mL), dried (Na2CO3 and Na2SO4), filtered, and concentrated in vacuum. The crude product was purified by preparative TLC (hexane–ethyl-acetate 10:1) to give a yellowish-white powder. Yields and ee values can be observed in Table 7.
Table 7.
Effect of crown ethers 1a–c and 2a–b in the epoxidation reaction of trans-chalcone (30).
1H NMR (CDCl3, 500 MHz), δ 7.97–7.94 (m, 2H, ArH), 7.60–7.56 (m, 1H, ArH), 7.46–7.44 (m, 2H, ArH), 7.38–7.32 (m, 5H), 4.26 (d, J = 1.9 Hz, 1H, COCH), 4.05 (d, J = 1.9 Hz, 1H, ArCH)
13C NMR (CDCl3, 75 MHz), δ 193.06 (C=O), 135.48 (ArC), 133.97 (ArC), 129.04 (ArC), 128.86 (ArC), 128.76 (ArC), 128.33 (ArC), 125.78 (ArC), 61.00 (OCCO), 59.34 (PhCO).
3. Results and Discussion
3.1. Synthesis of Macrocycles
3.1.1. Synthesis of β-d-idopyranoside-Based Macrocycles
Macrocycles 1a–c (β-series) were the first to be prepared. The preparation of the key intermediate—methyl-4,6-O-benzylidene-β-d-galactopyranoside (3)—was performed through multiple steps from commercially available d-galactose using known methods.
Briefly, d-galactose was peracetylated with acetic anhydride/sodium acetate [22], which was then activated for glycosylation using hydrogen bromide dissolved in glacial acetic acid [23]. Next, the acetobromo-galactoside was reacted with anhydrous methanol under Königs-Knorr conditions to afford the corresponding tetraacetate [24] which was then subjected to Zemplén deacetylation [25]. The resulting methyl-β-d-galactoside then underwent transacetalation with benzaldehyde dimethyl acetal in DMF to furnish 3 [26].
The free hydroxy groups in galactopyranoside 3 were then subjected to excess tosyl chloride in chloroform/pyridine, resulting in 2,3-ditosylate 4 in an 85% yield (Scheme 1) [27]. Compound 4 was then reacted with a 3 M sodium methoxide/methanol solution in dry 1,4-dioxane to facilitate the formation of an oxirane ring at positions 2 and 3 [28]. According to the literature, this reaction proceeds with an intramolecular SN2 mechanism [29]: The reaction starts with the cleavage of an S-O bond in one of the sulfonic ester groups resulting in an oxyanion, which can then directly attack the neighboring carbon atom. Since there is still another tosylate group attached to this atom, which is a good leaving group, the formation of the oxirane ring is allowed. Basically, the new ring could form in two possible configurations, but in the case of the β anomer, only one stereoisomer, the talo configuration, was observed. Crystallization of the crude anhydro sugar from methanol provided methyl-2,3-anhydro-4,6-O-benzylidene-β-d-talopyranoside (5) in a 62% yield.
Scheme 1.
Synthesis of methyl-4,6-O-benzylidene-β-d-idopyranoside (6).
In the next reaction anhydro talopyranoside 5 was boiled in 2 M KOH for 22 h to allow the ring opening to occur, yielding selectively methyl-4,6-O-benzylidene-β-d-idopyranoside (6) (58%) in accordance with the Fürst–Plattner rule (Scheme 1). After the synthesis of this compound, macrocyclization was carried out in three steps, a well-tried sequence in our research group. First, compound 6 was O-alkylated with bis(2-chloroethyl) ether under phase-transfer conditions, providing bischloro podand 7 in an 81% yield. Bischloro derivative 7 was then activated via halogen exchange using anhydrous sodium iodide in dry acetone. Bisiodo compound 8 was prepared in a 93% yield, which–in the last step—reacted with the corresponding primary amine, resulting in the monoaza 15-crown-5 ethers 1a–c, as shown in Scheme 2.
Scheme 2.
Synthesis of methyl-β-d-idopyranoside-based macrocycles 1a–c.
3.1.2. Synthesis of α-d-idopyranoside-Based Macrocycles
After the previous successful preparation of the idose-based macrocycles 1a–c, attempts were made to synthesize a few crown ethers derived from methyl α-d-idopyranoside. The conversion of galactose was achieved by the same method that was previously described, with a few modifications. Methyl-4,6-O-benzylidene-α-d-galactopyranoside (9) was prepared from d-galactose in two steps: Acetalation was carried out in methanol in the presence of strongly acidic cation exchange resin (Dowex WX-8), affording methyl-α-d-galactoside [30], which was then reacted with benzaldehyde in the presence of anhydrous zinc chloride to furnish compound 9 [31].
Benzylidene derivative 9 was then tosylated with the same method as in the case of compound 3 (Scheme 3). After recrystallization from chloroform–hexane the 2,3-ditosylate 10 was isolated with a yield of 75%. Compound 10 was subjected to a 3 M sodium methoxide/methanol solution. According to a literature method [28], in this reaction, anhydrous dimethyl sulfoxide was used, which was the main difference compared to the procedure used to synthesize anhydrosugar 5. After 5 h, the mixture was poured into ice-water, which resulted in the precipitation of a beige solid. 1H-NMR spectroscopy confirmed that this solid was a mixture of anhydro gulo- and talopyranosides; however, quantification and exact analysis could not be performed due to overlapping peaks in the spectrum. The anhydro sugar mixture was then boiled in a 5 M potassium hydroxide solution. Due to the trans-diaxial effect, the ring opening was stereoselective, regardless of the configuration of the epoxide ring. Thus, the product was uniform and possessed the d-ido configuration; it was methyl-4,6-O-benzylidene-α-d-idopyranoside (12) (Scheme 3). From this point on, macrocyclization was performed the same way as in the case of the β compounds. In the end, two new macrocycles were synthesized that possessed a methyl-α-d-idopyranoside unit with yields of 68% (2a) and 62% (2b) (Scheme 4).
Scheme 3.
Synthesis of methyl-4,6-O-benzylidene-α-d-idopyranoside (12).
Scheme 4.
Synthesis of methyl-α-d-idopyranoside-based macrocycles 2a-b.
3.2. Asymmetric Syntheses
The newly synthesized crown ethers were tested in a multitude of model reactions, five of which were solid–liquid and two of which were liquid–liquid biphasic reactions. After completion—as indicated by TLC—and the work-up, the crude products were purified by preparative TLC, and the enantiomeric excesses were determined by chiral HPLC.
The first of the solid–liquid reactions to discuss is the Michael–addition of diethyl acetamidomalonate (16) to trans-β-nitrostyrene (15) (Scheme 5).
Scheme 5.
Michael-addition of diethyl acetamidomalonate (16) to β-nitrostyrene (15).
In the presence of the idose-based catalysts, chiral compound 17 was synthesized in a 33–62% yield. Out of the five applied catalysts 1a–c and 2a–b, the ones containing an alpha idose moiety (2a–b) generated only a negligible enantiomeric excess (6–9%, Table 1, entries 1–2), as was the case of crown ether 1c (5%, Table 1, entry 5). Lariat ether 1a from the β series, bearing a hydroxypropyl side chain provided the best result with an ee of 38%, although the yield of product 17 was low (33%, Table 1, entry 3). The longest reaction times to achieve full conversion were observed in the presence of catalysts 2a–b—containing an α-idopyranoside unit (144–168 h, Table 1, entries 1–2)—while in the case of the catalysts 1a–c, the reaction times were shorter (27–48 h, Table 1, entries 3–5). In this Michael reaction, the new catalysts were, at best, moderately selective.
Another solid–liquid reaction, the cyclopropanation of benzylidenemalononitrile (18) was examined in the presence of crown ethers 1a–c and 2a–b (Scheme 6). The reaction takes place according to a Michael-initiated ring closure (MIRC) mechanism, where diethyl bromomalonate (19) is first deprotonated by a base, after which the Michael-addition occurs. The reaction is then finished with a ring closure and the elimination of the leaving group (Br−).
Scheme 6.
MIRC-reaction of benzylidenemalononitrile (18) and diethyl bromomalonate (19).
The cyclopropanation of 18 proceeded with excellent yields (79–95%) regardless of which catalyst was used. There was a greater difference in the reaction times needed to achieve full conversion. In the case of crown ethers 2a–b, significantly more time was required for complete conversion (91–96 h, Table 2, entries 1–2) than in the case of their β analogue (crown ethers 1a–c) (18–24 h, Table 2, entries 3–5). Enantioselectivities generated by crown ethers 1a–c were superior compared to those achieved with the α-idopyranoside-based catalysts 2a–b. As in the previous reaction, the replacement of the hydroxypropyl side arm to a 2-(2-methoxyphenyl)ethyl group resulted in a decreased ee value (12%, Table 2, entry 2), while the reaction time was elongated. Interestingly, in the case of the β-idopyranoside-based macrocycles 1a–c, the ee values (26–33% ee) and yields (85–95%) were similar (Table 2, entries 3–5). These results show that the side arm does not affect the catalytic activity of crown ethers 1a–c in this cyclopropanation.
When 2-cyano-3-arylacrylates (21a–d) were used in the MIRC reaction (Scheme 7) instead of benzylidenemalononitrile (18), neither the side arm nor the anomeric configuration significantly influenced the results, although the ee values were higher than in the previous cyclopropanation. The products 21a–d were obtained with complete diastereoselectivity, just as previously observed [3]. It seems that in the case of the crown ethers in which the position of the anomeric methyl group was axial (Table 3, entries 1–2), the reaction times were shorter compared to the β-analogues (Table 3, entries 3–5).
Scheme 7.
MIRC-reaction of substituted cyanoacrylates (21a–d) and diethyl bromomalonate (19).
As in a previous publication [3], we investigated if the substitution of the aromatic ring had any positive or negative effects on the enantioselectivity. Thus, the cyclopropanation of chloro-substituted arylacrylates (21b–d) was examined using crown ether 1c as the catalyst. (Scheme 7). The substitution caused an increase in reaction times in all three cases. The yields did not change significantly; however, the presence of the Cl atom had a strong effect on the enantioselectivity. Meta-substitution increased (64%, Table 3, entry 7), while para-substitution decreased (47%, Table 3, entry 8) the enantiomeric excess. The proximity of the bulky chlorine atom to the reaction center resulted in the lowest asymmetric induction (22%, Table 3, entry 6).
Next, the MIRC reaction between 2-benzylidene-indane-1,3-dione (23a) and diethyl bromomalonate (19) was inspected (Scheme 8). The product of this reaction (24a) is also noteworthy because it is a chiral spiro compound with reactive groups attached.
Scheme 8.
MIRC reaction of arylidene-indane-1,3-diones (23a–23d) and diethyl bromomalonate (19).
In the case of all catalysts (1a–c and 2a–b), a complete conversion was reached in 21–23 h, regardless of the anomeric configuration, which is quite surprising, since significant differences were experienced in other solid-liquid reactions. In the presence of the β-idopyranoside-based crown ethers 1a–c, product 24a was obtained in excellent yields (94–98%, Table 4, entries 3–5). In terms of enantioselectivity, catalyst 1b bearing a methoxypropyl side chain was the most efficient (67% ee, Table 4, entry 4). The reaction was also performed with substituted derivatives of compound 23a. The benzylidene unit was para-substituted in three different ways—with nitro (23b, Table 4, entry 6), methoxy (23c, Table 4, entry 7), and methyl groups (23d, Table 4, entry 8). Interestingly, all investigated substitutions had negative effects on the asymmetric induction, despite not being close to the reaction center.
The last MIRC reaction examined was the cyclopropanation of (E)-3-phenyl-2-(phenylsulfonyl)acrylonitrile (25) (Scheme 9). Compound 25 is structurally similar to substrates 18 and 21a and was successfully used in our research group to investigate the catalytic activity of other sugar-based crown ethers. Just like in our previous work [32], the reaction proceeded with complete diastereoselectivity, and only one pair of enantiomers was observed (it is not known which diastereomers).
Scheme 9.
MIRC-reaction of (E)-3-phenyl-2-(phenylsulfonyl)acrylonitrile (25) and diethyl bromomalonate (19).
The presence of the bulky phenylsulfonyl group was not favorable in terms of asymmetric induction since all ee values were rather low (Table 5, entries 1–5). In this reaction, again, neither the side chain of the macrocycle nor the configuration of the anomeric center had an impact on the enantiomeric excess. In the MIRC reaction examined, the presence of a carbonyl group in the unsaturated substrate seemed to be necessary to achieve greater enantiodifferentiation, since using compounds 21a and 23a resulted in higher ee values, than applying derivatives 18 or 25.
To further investigate the catalytic activity, the idose-based crown ethers 1a–c and 2a–b were applied in two liquid–liquid biphasic reactions in which an aqueous base—sodium hydroxide solution—was used.
Darzens condensation of phenacyl chloride (27) and benzaldehyde (28) was examined in the presence of crown compounds 1a–c and 2a–b (Scheme 10). This reaction proved to be diastereoselective when applying phase transfer conditions and other carbohydrate-based lariat ethers [8]. In this case, the trans isomer of chiral epoxyketone 29 was formed only.
Scheme 10.
Darzens condensation of 2-chloroacetophenone (27) and benzaldehyde (28).
Using crown derivatives 1a–c and 2a–b, a complete conversion was achieved within one hour. An interesting trend was observed; It seems that in order to generate any reasonable amount of enantiomeric excess, the catalyst had to possess a free hydroxy group in the side chain (54% ee and 39% ee, Table 6, entries 1 and 3). Changing this functional group to a methoxypropyl or a 2-(2-methoxyphenyl)ethyl group greatly reduced the enantioselectivity (Table 6, entries 2, 4, and 5). The β-idopyranoside-based crown ethers 1b–c had a worse performance in this reaction, whereas in previous solid–liquid experiments, they were usually superior.
Another liquid–liquid two-phase reaction was the epoxidation of trans-chalcone (30) (Scheme 11), which was reacted with tert-butyl hydroperoxide under basic conditions to afford epoxyketone 29.
Scheme 11.
Epoxidation of trans-chalcone (30).
In the presence of the β-crown compounds 1a–c, the reaction required reasonably less time to complete (Table 7, entries 3, 5, and 6), as both α-crown ethers 2a–b required 120 h to reach full conversion (Table 7, entries 1–2). There was a huge difference in the selectivity between the two α-crown ethers 2a–b (81% and 4%, respectively, Table 7, entries 1–2). Interestingly the same tendency could be observed in the case of the β-analogues: In the presence of a hydroxypropyl side chain containing crown 1a, the ee value measured was 74%, while the modification of the side chain caused a drastic decrease in selectivity. We wanted to improve upon the selectivity by cooling down the reaction mixture to 0 °C, which lengthened the process itself, unfortunately; however, the enantioselectivity remained the same (Table 7, entry 4).
As can be seen from the results, the idopyranoside-based crown ethers are not the best enantioselective catalysts, a higher enantiomeric excess was measured only in a few cases (the highest value was 81%) and lower ee values were more frequent. Previously, a macrocycle derived from d-altrose with an analogous structure to 2a was synthesized by our group and it was determined via computational methods that the energy barrier between the diasteromeric complexes in the reaction in Scheme 11 is low (a 3% ee was measured) [33]. In general, it was an ineffective chiral catalyst. However, in the case of crown ethers synthesized from d-mannose, d-galactose, and d-glucose, which have a similar structure to 2a, the enantioselectivity generated in the same reaction was higher (82%, 53% and 96% respectively). In idopyranosides, the transition from the 4C1 to the 1C4 conformation is easier due to the lower energy barrier between the two forms. Furthermore, a skew-boat form (0S2) can be stable in appropriate conditions [12]. In glucopyranosides, the favored conformation is 4C1, in which the groups of C-2, C-3, and C-4 are equatorial. When idopyranosides take the 1C4 form, substituents on C-2, C-3, and C-4 also occupy the equatorial position. In 4,6-O-benzylidene galactopyranosides, the two six-membered rings are annulated in the cis position. 4,6-O-Benzylidene idopyranosides are the same in this aspect, while in the case of analogues from glucopyranosides and mannopyranosides, the two rings are trans-annulated. Since idose is the C-4 epimer of altrose, and there are several similarities between the benzylidene derivatives of the monosaccharides mentioned as well, it was unclear whether the configuration of C-3, the conformation of the sugar moiety itself, or the annulation is crucial for the asymmetric induction. The results obtained show that in the case of the epoxidation (Scheme 11), good enantioselectivity could be achieved when the C-3 and C-4 substituents of the sugar unit could occupy equatorial positions. If we look at the results of the other six reactions, in those cases, other factors may be crucial for the enantiodifferentiation. Due to the lack of sufficient experimental data, those reactions are not discussed.
In conclusion, the new idose-based crown ethers 1a–c and 2a–b proved to be efficient phase transfer catalysts in the model reactions investigated, but their enantiodifferentiation ability was modest, at best. The reason for this may be the high conformational flexibility of the idose, but in some cases it is assumed that this made it possible to achieve greater asymmetric induction. Comparing the macrocycles 1a–c in which the methoxy group is in the β-position on the anomeric center to their α analogues (2a–b), it can be established that in the liquid–liquid biphasic reactions, macrocycles 2a–b were slightly more effective. The opposite was observed in the case of solid–liquid reactions, in which crown ethers 1a–c generated higher enantioselectivity. Furthermore, the side arm strongly affected the catalytic activity as it was experienced before.
3.3. Absolute Configuration of Methyl-4,6-O-benzylidene-β-d-idopyranoside (6)
During the synthetic work, idose derivative 6 was obtained as a solid. After a few attempts, suitable-sized crystals were obtained, which were subjected to X-ray diffraction analysis in order to determine their absolute configuration. Interestingly, it was found that two independent molecules are present within the asymmetric unit. These two molecules differ slightly in their conformation within the phenyl rings. The ORTEP representation of idose derivative 6 can be seen in Figure 2. X-ray measurement proved that the configuration of C-2 and C-3 is the opposite of those in d-galactose, justifying the idopyranoside structure. For more information see the Supplementary Materials.
Figure 2.
ORTEP-style representation of the asymmetric unit in the crystals of compound 6.
Supplementary Materials
The following supporting information can be downloaded at: https://www.mdpi.com/article/10.3390/sym15091714/s1.
Author Contributions
Supervision, Z.R.; investigation, I.O., D.U., B.M. and T.H. writing—original draft preparation, I.O.; writing—review and editing, Z.R. and I.O. All authors have read and agreed to the published version of the manuscript.
Funding
This work was supported by the National Research, Development and Innovation Office-NKFIH (Grant No. OTKA FK 138037) Zs. Rapi is grateful for the János Bolyai Research Scholarship of the Hungarian Academy of Sciences.
Data Availability Statement
The data presented in this study are available on request from the corresponding author.
Conflicts of Interest
The authors declare no conflict of interest.
References
- Shirakawa, S.; Maruoka, K. Recent Developments in Asymmetric Phase-Transfer Reactions. Angew. Chem. Int. Edit. 2013, 52, 4312–4348. [Google Scholar] [CrossRef]
- Albanese, D.C.M.; Penso, M. New Trends in Asymmetric Phase Transfer Catalysis. Eur. J. Org. Chem. 2023, 26, e202300224. [Google Scholar] [CrossRef]
- Orbán, I.; Varga, B.; Bagi, P.; Holczbauer, T.; Rapi, Z. Enantioselective Cyclopropanation of 2-Cyano-3-arylacrylates Using Carbohydrate-Based Crown Ethers. Eur. J. Org. Chem. 2022, 2022, e202200112. [Google Scholar] [CrossRef]
- Berkecz, R.; Nemeti, G.; Peter, A.; Ilisz, I. Liquid Chromatographic Enantioseparations Utilizing Chiral Stationary Phases Based on Crown Ethers and Cyclofructans. Molecules 2021, 26, 19. [Google Scholar] [CrossRef]
- Sahoo, B.M.; Banik, B.K. Organocatalysis: Trends of Drug Synthesis in Medicinal Chemistry. Curr. Organocatalysis 2019, 6, 92–105. [Google Scholar] [CrossRef]
- Malik, A.; Sharma, P.R.; Sharma, R.K. Enantioselective Alkylation of Glycine Imines Using a Cinchona-Functionalized Crown Ether-Strapped Calixarene Phase-Transfer Catalyst. J. Org. Chem. 2023, 88, 7498–7503. [Google Scholar] [CrossRef]
- Wojaczynska, E.; Steppeler, F.; Iwan, D.; Scherrmann, M.C.; Marra, A. Synthesis and Applications of Carbohydrate-Based Organocatalysts. Molecules 2021, 26, 7291. [Google Scholar] [CrossRef]
- Rapi, Z.; Nemcsok, T.; Bagi, P.; Keglevich, G.; Bako, P. Synthesis of chiral crown ethers derived from D-galactose and their application in enantioselective reactions. Tetrahedron 2019, 75, 3993–4004. [Google Scholar] [CrossRef]
- Orbán, I.; Varga, B.; Bagi, P.; Hegedűs, L.; Bakó, P.; Rapi, Z. Synthesis of Methyl 4,6-Di-O-ethyl-α-d-glucopyranoside-Based Azacrown Ethers and Their Effects in Asymmetric Reactions. Molecules 2021, 26, 4668. [Google Scholar] [CrossRef]
- Granström, T.B.; Takata, G.; Tokuda, M.; Izumori, K. Izumoring: A novel and complete strategy for bioproduction of rare sugars. J. Biosci. Bioeng. 2004, 97, 89–94. [Google Scholar] [CrossRef]
- Tatai, J.; Osztrovszky, G.; Kajtár-Peredy, M.; Fügedi, P. An efficient synthesis of l-idose and l-iduronic acid thioglycosides and their use for the synthesis of heparin oligosaccharides. Carb. Res. 2008, 343, 596–606. [Google Scholar] [CrossRef]
- Cloutier, M.; Lavoie, S.; Gauthier, C. C7 Epimerization of Benzylidene-Protected beta-d-Idopyranosides Brings Structural Insights into Idose Conformational Flexibility. J. Org. Chem. 2022, 87, 12932–12953. [Google Scholar] [CrossRef] [PubMed]
- CrystalClear SM, version 1.4.0; Rigaku/MSC Inc.: The Woodlands, TX, USA, 2008.
- Higashi, T. NUMABS, rev. 2002; Rigaku/MSC Inc.: The Woodlands, TX, USA, 1998. [Google Scholar]
- Sheldrick, G.M. A Short History of SHELX. Acta Cryst. 2008, 64, 112–122. [Google Scholar] [CrossRef]
- Sheldrick, G.M. SHELXT—Integrated space-group and crystal-structure determination. Acta Cryst. 2015, 71, 3–8. [Google Scholar] [CrossRef]
- Burla, M.C.; Caliandro, R.; Carrozzini, B.; Cascarano, G.L.; Cuocci, C.; Giacovazzo, C.; Mallamo, M.; Mazzone, A.; Polidori, G. Crystal structure determination and refinement via SIR2014. J. Appl. Crystallogr. 2015, 48, 306–309. [Google Scholar] [CrossRef]
- Spek, A.L. Structure Validation in Chemical Crystallography. Acta Cryst. 2009, 65, 148–155. [Google Scholar] [CrossRef] [PubMed]
- Dolomanov, O.V.; Bourhis, L.J.; Gildea, R.J.; Howard, J.A.K.; Puschmann, H. OLEX2: A complete structure solution, refinement and analysis program. J. Appl. Crystallogr. 2009, 42, 339–341. [Google Scholar] [CrossRef]
- Farrugia, L.J. WinGX and ORTEP for Windows: An update. J. Appl. Cryst. 2012, 45, 849–857. [Google Scholar] [CrossRef]
- Macrae, C.F.; Edgington, P.R.; McCabe, P.; Pidcock, E.; Shields, G.P.; Taylor, R.; Towler, M.; van de Streek, J. Mercury: Visualization and analysis of crystal structures. J. Appl. Crystallogr. 2006, 39, 453–457. [Google Scholar] [CrossRef]
- Ramakrishna, K.K.G.; Thakur, R.K.; Pasam, V.R.; Pandey, J.; Mahar, R.; Shukla, S.K.; Tamrakar, A.K.; Tripathi, R.P. Synthesis of novel glycosyl-1,2,3-1H-triazolyl methyl quinazolin-4(3H)-ones and their effect on GLUT4 translocation. Tetrahedron 2017, 73, 187–203. [Google Scholar] [CrossRef]
- Oberthür, M.; Leimkuhler, C.; Kruger, R.G.; Lu, W.; Walsh, C.T.; Kahne, D. A Systematic Investigation of the Synthetic Utility Cof Glycopeptide Glycosyltransferases. J. Am. Chem. Soc. 2005, 127, 10747–10752. [Google Scholar] [CrossRef] [PubMed]
- Koenigs, W.; Knorr, E. Ueber einige Derivate des Traubenzuckers und der Galactose. Ber. Dtsch. Chem. Ges. 1901, 34, 957–981. [Google Scholar] [CrossRef]
- Zemplén, G.; Kunz, A. Studien über Amygdalin, IV: Synthese des natürlichen l-Amygdalins. Ber. Dtsch. Chem. Ges. 1924, 57, 1357–1359. [Google Scholar] [CrossRef]
- Cachatra, V.; Almeida, A.; Sardinha, J.; Lucas, S.D.; Gomes, A.; Vaz, P.D.; Florêncio, M.H.; Nunes, R.; Vila-Viçosa, D.; Calhorda, M.J.; et al. Wittig Reaction: Domino Olefination and Stereoselectivity DFT Study. Synthesis of the Miharamycins’ Bicyclic Sugar Moiety. Org. Lett. 2015, 17, 5622–5625. [Google Scholar] [CrossRef] [PubMed]
- Sorkin, E.; Reichstein, T. d-Idose aus d(+)-Galaktose. Helv. Chim. Acta 1945, 28, 1–17. [Google Scholar] [CrossRef]
- Frahn, J. Preparation of the 2,3-anhydro-4,6-O-benzylidene derivatives of methyl α- and β-d-talopyranoside and of methyl α-d-gulopyranoside. Aust. J. Chem. 1980, 33, 1021–1024. [Google Scholar] [CrossRef]
- Černý, M. Chemistry of anhydro sugars. In Advances in Carbohydrate Chemistry and Biochemistry; Academic Press: Praha, Czech Republic, 2003; Volume 58, pp. 121–198. [Google Scholar]
- Gorantla, J.N.; Faseela, A.; Lankalapalli, R.S. Design and synthesis of a novel glycosphingolipid derived from polyhydroxy 2-pyrrolidinone and phytoceramide appended by a 1, 2, 3- triazole linker. Chem. Phys. Lipids 2016, 194, 158–164. [Google Scholar] [CrossRef]
- Freudenberg, K.; Toepffer, H.; Andersen, C.C. Zur Kenntnis der Aceton-Zucker, XV.: Versuche zur Synthese von Disacchariden. Ber. Dtsch. Chem. Ges. 1928, 61, 1750–1760. [Google Scholar] [CrossRef]
- Nemcsok, T.; Rapi, Z.; Bagi, P.; Guan, Y.H.; Orbán, I.; Keglevich, G.; Bakó, P. Enantioselective cyclopropanation of conjugated cyanosulfones using carbohydrate-based crown ether catalysts. Tetrahedron 2020, 76, 130965. [Google Scholar] [CrossRef]
- Makó, A.; Menyhárd, D.K.; Bakó, P.; Keglevich, G.; Tőke, L. Theoretical study of the asymmetric phase-transfer mediated epoxidation of chalcone catalyzed by chiral crown ethers derived from monosaccharides. J. Mol. Struct. 2008, 892, 336–342. [Google Scholar] [CrossRef]
Disclaimer/Publisher’s Note: The statements, opinions and data contained in all publications are solely those of the individual author(s) and contributor(s) and not of MDPI and/or the editor(s). MDPI and/or the editor(s) disclaim responsibility for any injury to people or property resulting from any ideas, methods, instructions or products referred to in the content. |
© 2023 by the authors. Licensee MDPI, Basel, Switzerland. This article is an open access article distributed under the terms and conditions of the Creative Commons Attribution (CC BY) license (https://creativecommons.org/licenses/by/4.0/).












