Symmetric Nonlinear Feedback Control and Machine Learning for Sustainable Spherical Motor Operation
Abstract
1. Introduction
2. Modeling and Control
2.1. Modeling
2.2. Control Strategy
2.2.1. NLFC
2.2.2. Adaptive Neuro-Fuzzy System (ANFIS)
2.2.3. Long Short-Term Memory (LSTM)
2.2.4. Lyapunov Stability Analysis
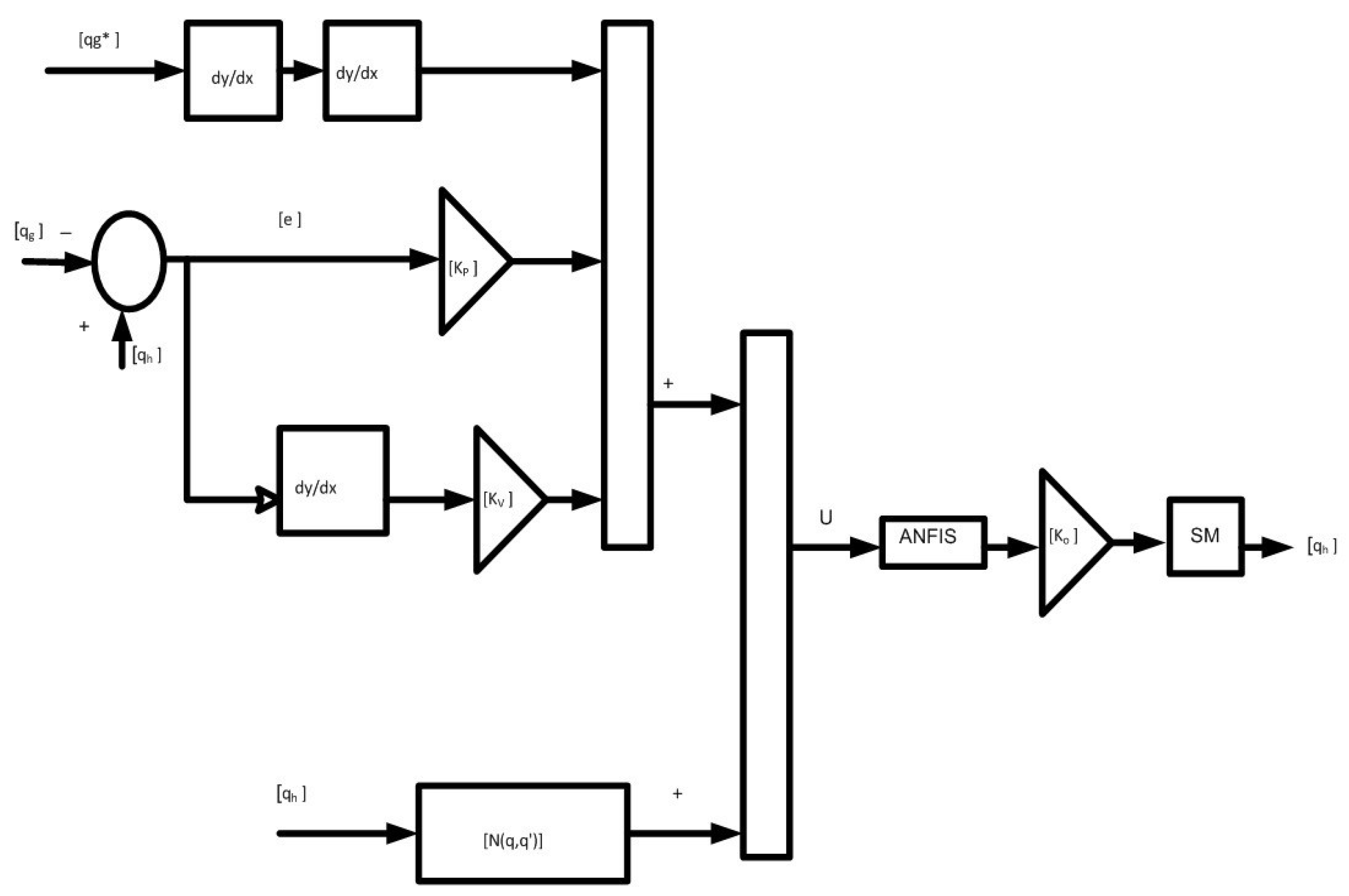
3. Proposed Controller
Simulation and Results
4. Conclusions
Author Contributions
Funding
Data Availability Statement
Conflicts of Interest
References
- Vanich, P.; Tangpornprasert, P.; Virulsri, C. Design of a Single-DoF Prosthetic Hand with Practical Maximum Grip Force and Grasp Speed for ADLs Using Dual-Motor Actuator. IEEE Robot. Autom. Lett. 2023, 8, 1439–1446. [Google Scholar] [CrossRef]
- Hendrix, C.M.; Durfee, W.K. Human motor performance while using a single-DOF visual-haptic interface. In Proceedings of the 11th Symposium on Haptic Interfaces for Virtual Environment and Teleoperator Systems, HAPTICS 2003 Proceedings, Los Angeles, CA, USA, 22–23 March 2003; IEEE: Piscataway, NJ, USA, 2003. [Google Scholar]
- Hassan, A.; Abomoharam, M. Design of a single DOF gripper based on four-bar and slider-crank mechanism for educational purposes. Procedia CIRP 2014, 21, 379–384. [Google Scholar] [CrossRef][Green Version]
- Leroy, E.; Lozada, J.; Hafez, M. A curved ultrasonic actuator optimized for spherical motors: Design and experiments. Ultrasonics 2014, 54, 1610–1619. [Google Scholar] [CrossRef] [PubMed]
- Oh, J.-S.; Sohn, J.W.; Choi, S.-B. Applications of magnetorheological fluid actuator to multi-DOF systems: State-of-the-art from 2015 to 2021. Actuators 2022, 11, 44. [Google Scholar] [CrossRef]
- Nguyen, C.T.; Phung, H.; Nguyen, T.D.; Jung, H.; Choi, H.R. Multiple-degrees-of-freedom dielectric elastomer actuators for soft printable hexapod robot. Sens. Actuators A Phys. 2017, 267, 505–516. [Google Scholar] [CrossRef]
- Firouzeh, A.; Salerno, M.; Paik, J. Soft pneumatic actuator with adjustable stiffness layers for multi-dof actuation. In Proceedings of the 2015 IEEE/RSJ International Conference on Intelligent Robots and Systems (IROS), Hamburg, Germany, 28 September–2 October 2015; pp. 1117–1124. [Google Scholar]
- Bhatia, A.; Kumagai, M.; Hollis, R. Six-stator spherical induction motor for balancing mobile robots. In Proceedings of the 2015 IEEE International Conference on Robotics and Automation (ICRA), Seattle, WA, USA, 26–30 May 2015. [Google Scholar]
- Bai, S.; Li, X.; Angeles, J. A review of spherical motion generation using either spherical parallel manipulators or spherical motors. Mech. Mach. Theory 2019, 140, 377–388. [Google Scholar] [CrossRef]
- He, J. Optimization of permanent-magnet spherical motor based on taguchi method. IEEE Trans. Magn. 2020, 56, 8200107. [Google Scholar] [CrossRef]
- Kim, D.-K. Development of a spherical reaction wheel actuator using electromagnetic induction. Aerosp. Sci. Technol. 2014, 39, 86–94. [Google Scholar] [CrossRef]
- Kozłowski, K.; Sosnowski, J. Dynamic modelling and control of a spherical mobile robot. J. Intell. Robot. Syst. 2015, 78, 109–126. [Google Scholar]
- Yan, L.; Chen, I.M.; Lim, C.K.; Yang, G.; Lee, K.M. Design, Modeling and Experiments of 3-DOF Electromagnetic Spherical Actuators; Springer Science and Business Media: Dordrecht, The Netherlands, 2011; Volume 4. [Google Scholar]
- Sohn, J.W.; Kim, G.-W.; Choi, S.-B. A state-of-the-art review on robots and medical devices using smart fluids and shape memory alloys. Appl. Sci. 2018, 8, 1928. [Google Scholar] [CrossRef]
- Spong, M.W.; Hutchinson, S.; Vidyasagar, M. Robot Modeling and Control; John Wiley & Sons: Hoboken, NJ, USA, 2020. [Google Scholar]
- Son, H.; Lee, K.-M. Open-loop controller design and dynamic characteristics of a spherical wheel motor. IEEE Trans. Ind. Electron. 2010, 57, 3475–3482. [Google Scholar] [CrossRef]
- Åström, K.J.; Murray, R.M. Feedback Systems: An Introduction for Scientists and Engineers; Princeton University Press: Princeton, NJ, USA, 2021. [Google Scholar]
- Zhang, X.; Nie, R.; Chen, Y.; He, B. Deployable structures: Structural design and static/dynamic analysis. J. Elast. 2021, 146, 199–235. [Google Scholar] [CrossRef]
- Bujňák, M.; Pirník, R.; Rástočný, K.; Janota, A.; Nemec, D.; Kuchár, P.; Tichý, T.; Łukasik, Z. Spherical robots for special purposes: A review on current possibilities. Sensors 2022, 22, 1413. [Google Scholar] [CrossRef]
- Hu, P.; Zhao, L.; Tang, C.; Liu, S.; Dang, X.; Hu, Y. A new method for measuring the rotational angles of a precision spherical joint using eddy current sensors. Sensors 2020, 20, 4020. [Google Scholar] [CrossRef] [PubMed]
- Dong, M.; Zhou, Y.; Li, J.; Rong, X.; Fan, W.; Zhou, X.; Kong, Y. State of the art in parallel ankle rehabilitation robot: A systematic review. J. Neuroeng. Rehabil. 2021, 18, 52. [Google Scholar] [CrossRef] [PubMed]
- Bissell, C.; Williams, T.J.; Hasegawa, Y. Historical Perspective of Automation. In Springer Handbook of Automation; Springer International Publishing: Cham, Switzerland, 2023; pp. 39–59. [Google Scholar]
- Guo, X.; Liao, X.; Wang, Q.; Wen, Y.; Wu, T. Designing active disturbance rejection control of permanent magnetic spherical actuator based on nonlinear extended state observer. Elektron. Ir Elektrotechnika 2022, 28, 23–31. [Google Scholar] [CrossRef]
- Wang, X.; Zhang, R.; Li, G.; Wang, Q.; Wen, Y. Time Delay Estimation Control of Permanent Magnet Spherical Actuator Based on Gradient Compensation. Electronics 2021, 11, 66. [Google Scholar] [CrossRef]
- Son, H.; Lee, K.-M. Distributed multipole models for design and control of PM actuators and sensors. IEEE/Asme Trans. Mechatron. 2008, 13, 228–238. [Google Scholar] [CrossRef]
- Jafarzadeh, S.; Lascu, C.; Fadali, M.S. State estimation of induction motor drives using the unscented Kalman filter. IEEE Trans. Ind. Electron. 2011, 59, 4207–4216. [Google Scholar] [CrossRef]
- Lindqvist, B.; Mansouri, S.S.; Aghamohammadi, A.-A.; Nikolakopoulos, G. Nonlinear MPC for collision avoidance and control of UAVs with dynamic obstacles. IEEE Robot. Autom. Lett. 2020, 5, 6001–6008. [Google Scholar] [CrossRef]
- Sheng, X.; Ma, Z.; Zhang, N.; Dong, W. Aerial contact manipulation with soft end-effector compliance and inverse kinematic compensation. J. Mech. Robot. 2021, 13, 011023. [Google Scholar] [CrossRef]
- Jahnavi, K.; Sivraj, P. Teaching and learning robotic arm model. In Proceedings of the 2017 International Conference on Intelligent Computing, Instrumentation and Control Technologies (ICICICT), Kerala, India, 6–7 July 2017; pp. 1570–1575. [Google Scholar]
- Özgören, M.K.; Çetin, B. Robust adaptive control of a spherical mobile robot. J. Vib. Control. 2016, 22, 2554–2569. [Google Scholar]
- Rahmani, M.; Piltan, F.; Matin, F.; Cheraghi, H.; Sobhani, N. Design intelligent system compensator to computed torque control of spherical motor. Int. J. Intell. Syst. Appl. 2014, 8, 87–96. [Google Scholar] [CrossRef][Green Version]
- Yaghoot, M.; Piltan, F.; Esmaeili, M.; Tayebi, M.A.; Piltan, M. Design Intelligent Robust Model-base Sliding Guidance Controller for Spherical Motor. Int. J. Mod. Educ. Comput. Sci. 2014, 10, 61–72. [Google Scholar] [CrossRef]
- Liu, F.; Jin, D. A high-efficient finite difference method for flexible manipulator with boundary feedback control. Space Sci. Technol. 2021, 2021, 9874563. [Google Scholar] [CrossRef]
- Li, J.; Wang, Y.; Liu, Z.; Jing, X.; Hu, C. A new recursive composite adaptive controller for robot manipulators. Space Sci. Technol. 2021, 2021, 9801421. [Google Scholar] [CrossRef]
- Fang, G.; Scalcon, F.P.; Xiao, D.; Vieira, R.P.; Gründling, H.A.; Emadi, A. Advanced control of switched reluctance motors (SRMs): A review on current regulation, torque control and vibration suppression. IEEE Open J. Ind. Electron. Soc. 2021, 2, 280–301. [Google Scholar] [CrossRef]
- Kim, W.; Shin, D.; Chung, C.C. The Lyapunov-based controller with a passive nonlinear observer to improve position tracking performance of microstepping in permanent magnet spherical motors. Automatica 2012, 48, 3064–3074. [Google Scholar] [CrossRef]
- Yu, Y.; Yang, M.; Chai, F. Multi-DOF Orientation Detection of a Permanent Magnet Spherical Motor Based on Back EMF. IEEE Trans. Transp. Electrif. 2023. early access. [Google Scholar] [CrossRef]
- Khammar, F.; Debbache, N.E. Application of artificial intelligence techniques for the control of the asynchronous machine. J. Electr. Comput. Eng. 2016, 2016, 2. [Google Scholar] [CrossRef]
- Abraham, J.A.; Shrivastava, S. DC motor speed control using machine learning algorithm. Int. J. Eng. Res. Technol. 2018, 7, 33–37. [Google Scholar]
- Lang, W.; Hu, Y.; Gong, C.; Zhang, X.; Xu, H.; Deng, J. Artificial intelligence-based technique for fault detection and diagnosis of EV motors: A review. IEEE Trans. Transp. Electrif. 2021, 8, 384–406. [Google Scholar]
- Esakimuthu Pandarakone, S.; Mizuno, Y.; Nakamura, H. A comparative study between machine learning algorithm and artificial intelligence neural network in detecting minor bearing fault of induction motors. Energies 2019, 12, 2105. [Google Scholar]
- Zhang, S. Artificial Intelligence in Electric Machine Drives: Advances and Trends. arXiv 2021, arXiv:2110.05403. [Google Scholar]
- Rammay, M.H.; Abdulraheem, A. Automated history matching using combination of adaptive neuro fuzzy system (ANFIS) and differential evolution algorithm. In Proceedings of the SPE Large Scale Computing and Big Data Challenges in Reservoir Simulation Conference and Exhibition, Istanbul, Turkey, 15–17 September 2014; OnePetro: Richardson, TX, USA. [Google Scholar]
- Zhu, Y.; Zhang, Q.; Liu, Y.; Hu, Y.; Zhang, S. Neural Network, Nonlinear-Fitting, Sliding Mode, Event-Triggered Control under Abnormal Input for Port Artificial Intelligence Transportation Robots. J. Mar. Sci. Eng. 2023, 11, 659. [Google Scholar]
- Amurova, N.; Abdullaeva, S.; Borisova, Y.; Narzullayev, I.; Siddikov, I. Development of Current Converters in the Power Supply Control and Management System Using Renewable Energy Sources through Artificial Intelligence in the Sphere of Telecommunications. In Proceedings of the 2021 International Conference on Information Science and Communications Technologies (ICISCT), Tashkent, Uzbekistan, 3–5 November 2021; pp. 1–5. [Google Scholar]
- Avdeev, A.; Assaleh, K.; Jaradat, M.A. Quadrotor Attitude Dynamics Identification Based on Nonlinear Autoregressive Neural Network with Exogenous Inputs. Appl. Artif. Intell. 2021, 35, 265–289. [Google Scholar] [CrossRef]
- Akca, T.B.; Ulu, C.; Obut, S. ANFIS Based Inverse Controller Design for Liquid Level Control of a Spherical Tank. Prz. Elektrotechniczny 2023, 99, 32–36. [Google Scholar]
- Kumbhar, S.G. An integrated approach of Adaptive Neuro-Fuzzy Inference System and dimension theory for diagnosis of rolling element bearing. Measurement 2020, 166, 108266. [Google Scholar]
- Yuksel, T. Fuzzy Gain-Scheduling Based Fault Tolerant Visual Servo Control of Quadrotors. Drones 2023, 7, 100. [Google Scholar] [CrossRef]
- Zhou, R.; Li, G.; Wang, Q.; He, J.; Wang, T. Drive current calculation and analysis of permanent magnet spherical motor based on torque analytical model and particle swarm optimization. IEEE Access 2020, 8, 54722–54729. [Google Scholar] [CrossRef]
- Li, H.; Chen, X.; Li, B. A simplified model of inverse kinematics of permanent magnet spherical motor. In Proceedings of the 2019 22nd International Conference on Electrical Machines and Systems (ICEMS), Habin, China, 11–14 August 2019; pp. 1–6. [Google Scholar]
- Tang, H.; Sun, H.; Xue, W.; Yu, C. An antenna alignment system for broadband drone relay based on long short-term memory network. In Proceedings of the 2020 3rd International Conference on Unmanned Systems (ICUS), Habin, China, 27–28 November 2020; pp. 606–610. [Google Scholar]
- Dong, W.; Sun, H.; Tan, J.; Li, Z.; Zhang, J.; Yang, H. Multi-degree-of-freedom high-efficiency wind power generation system and its optimal regulation based on short-term wind forecasting. Energy Convers. Manag. 2021, 249, 114829. [Google Scholar]
- Wu, D.; Zhang, Y.; Ourak, M.; Niu, K.; Dankelman, J.; Poorten, E.V. Hysteresis modeling of robotic catheters based on long short-term memory network for improved environment reconstruction. IEEE Robot. Autom. Lett. 2021, 6, 2106–2113. [Google Scholar] [CrossRef]
- Chen, C.; Lu, N.; Jiang, B.; Xing, Y.; Zhu, Z.H. Prediction interval estimation of aeroengine remaining useful life based on bidirectional long short-term memory network. IEEE Trans. Instrum. Meas. 2021, 70, 3527213. [Google Scholar]
- Kistemaker, J.C.M.; Štacko, P.; Roke, D.; Wolters, A.T.; Heideman, G.H.; Chang, M.-C.; Van der Meulen, P.; Visser, J.; Otten, E.; Feringa, B.L. Third-generation light-driven symmetric molecular motors. J. Am. Chem. Soc. 2017, 139, 9650–9661. [Google Scholar]
- Goolak, S.; Liubarskyi, B.; Sapronova, S.; Tkachenko, V.; Riabov, I.; Glebova, M. Improving a model of the induction traction motor operation involving non-symmetric stator windings. East.-Eur. J. Enterp. Technol. 2021, 4, 112. [Google Scholar]
- Gao, H.; Guo, J.; Zhang, B.; Zhang, G. Fault-tolerant control technology of symmetrical six-phase permanent magnet synchronous motor. IET Power Electron. 2023, 16, 37–52. [Google Scholar] [CrossRef]
- Freeman, C.; Maynard, M.; Vikas, V. Topology and morphology design of spherically reconfigurable homogeneous modular soft robots. Soft Robot. 2023, 10, 52–65. [Google Scholar] [CrossRef] [PubMed]
- Zhao, D.; Ma, Y.; Meng, J.; Hu, Y.; Hong, M.; Zhang, J.; Zuo, G.; Lv, X.; Liu, Y.; Shi, C. MCR-ALS-based muscle synergy extraction method combined with LSTM neural network for motion intention detection. Front. Neurorobot. 2023, 17, 1174710. [Google Scholar]

























| ln2mf1 | ln2mf2 | ln2mf3 | |
|---|---|---|---|
| Ln1mf1 | −83.28 | −75.35 | −68.75 |
| Ln1mf2 | 338.2 | 374.6 | 411.5 |
| Ln1mf3 | 687.8 | 605 | 606.2 |
| ln2mf1 | ln2mf2 | ln2mf3 | |
|---|---|---|---|
| Ln1mf1 | −8.151 | −3.264 | 0.0015 |
| Ln1mf2 | 1124 | 1128 | 1131 |
| Ln1mf3 | 2350 | 2349 | 2350 |
| Scenario | MSE | RMSE | MAE |
|---|---|---|---|
| Normal (Controlled) | 0.023 | 0.151 | 0.140 |
| Harsh Environment 1 | 0.059 | 0.243 | 0.225 |
| Harsh Environment 2 | 0.067 | 0.259 | 0.240 |
| Harsh Environment 3 | 0.078 | 0.279 | 0.257 |
| Scenario | MSE | RMSE | MAE |
|---|---|---|---|
| Normal (Controlled) | 0.023 | 0.151 | 0.140 |
| Harsh Environment 1 | 0.059 | 0.243 | 0.225 |
| Harsh Environment 2 | 0.067 | 0.259 | 0.240 |
| Harsh Environment 3 | 0.078 | 0.279 | 0.257 |
| WIND | Fossil Fuel | Emission Reduction | |
|---|---|---|---|
| PT Consumption | 1.145 | 33.5 | 32.355 |
| Normal Consumption | 1.908 | 55.9 | 53.99 |
| CO2 Emission Reduction | 0.763 | 21.64 |
| Scenario | Tracking Error (Degrees) | Rise Time (ms) | Settling Time (ms) | Overshoot (%) | Control Effort (%) |
|---|---|---|---|---|---|
| Normal (Controlled) | 1.5 | 50 | 200 | 5 | 85 |
| Harsh Environment 1 | 2.0 | 55 | 220 | 6 | 88 |
| Harsh Environment 2 | 2.2 | 60 | 230 | 7 | 90 |
| Harsh Environment 3 | 2.5 | 65 | 250 | 8 | 92 |
Disclaimer/Publisher’s Note: The statements, opinions and data contained in all publications are solely those of the individual author(s) and contributor(s) and not of MDPI and/or the editor(s). MDPI and/or the editor(s) disclaim responsibility for any injury to people or property resulting from any ideas, methods, instructions or products referred to in the content. |
© 2023 by the authors. Licensee MDPI, Basel, Switzerland. This article is an open access article distributed under the terms and conditions of the Creative Commons Attribution (CC BY) license (https://creativecommons.org/licenses/by/4.0/).
Share and Cite
Hassan, M.; Beshr, E.; Beshr, M.; El-Rifaie, A.M. Symmetric Nonlinear Feedback Control and Machine Learning for Sustainable Spherical Motor Operation. Symmetry 2023, 15, 1661. https://doi.org/10.3390/sym15091661
Hassan M, Beshr E, Beshr M, El-Rifaie AM. Symmetric Nonlinear Feedback Control and Machine Learning for Sustainable Spherical Motor Operation. Symmetry. 2023; 15(9):1661. https://doi.org/10.3390/sym15091661
Chicago/Turabian StyleHassan, Marwa, Eman Beshr, Mahmoud Beshr, and Ali M. El-Rifaie. 2023. "Symmetric Nonlinear Feedback Control and Machine Learning for Sustainable Spherical Motor Operation" Symmetry 15, no. 9: 1661. https://doi.org/10.3390/sym15091661
APA StyleHassan, M., Beshr, E., Beshr, M., & El-Rifaie, A. M. (2023). Symmetric Nonlinear Feedback Control and Machine Learning for Sustainable Spherical Motor Operation. Symmetry, 15(9), 1661. https://doi.org/10.3390/sym15091661

