X-ray Tests of General Relativity with Black Holes
Abstract
1. Introduction
2. Disk-Corona Model
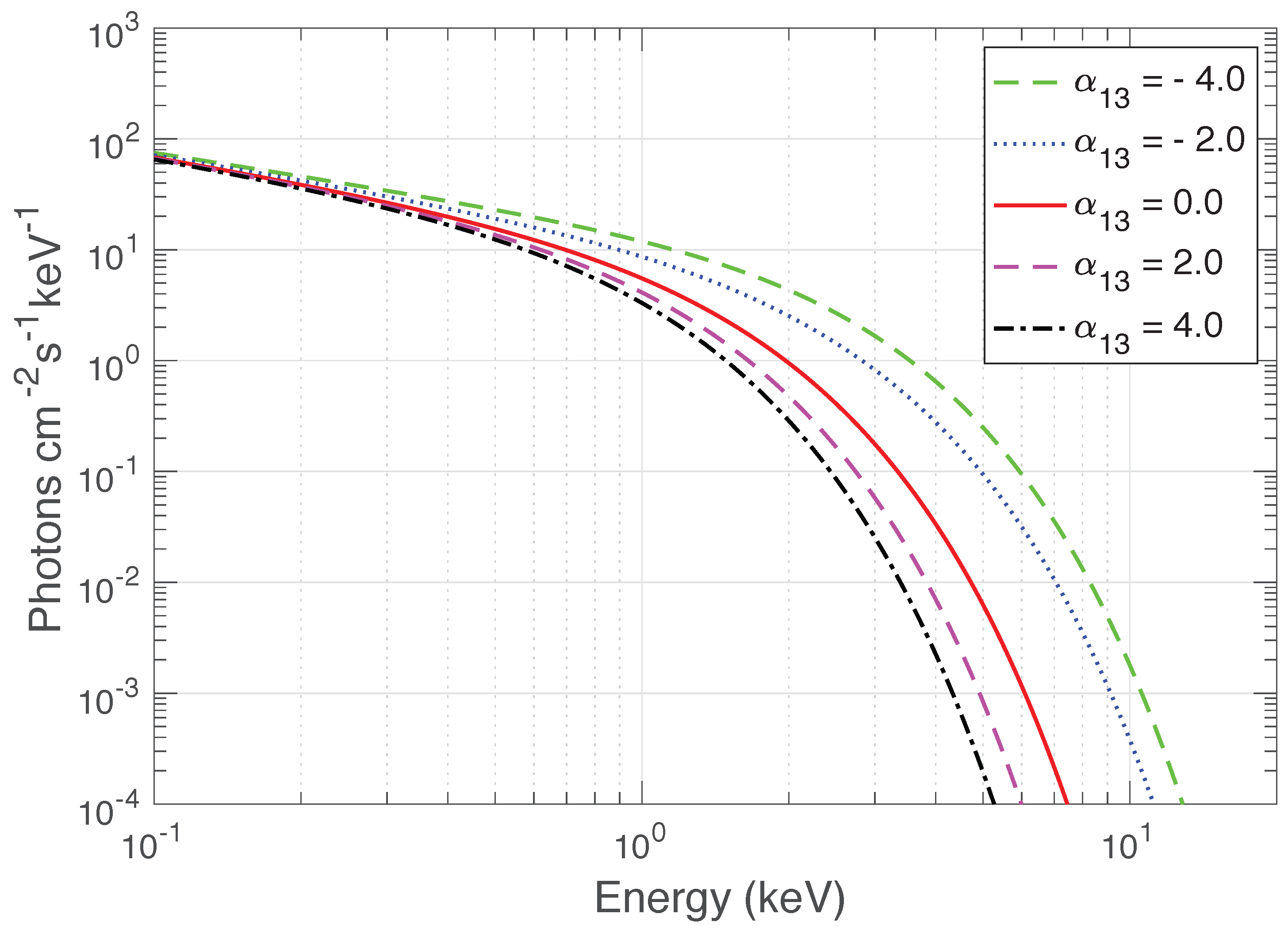
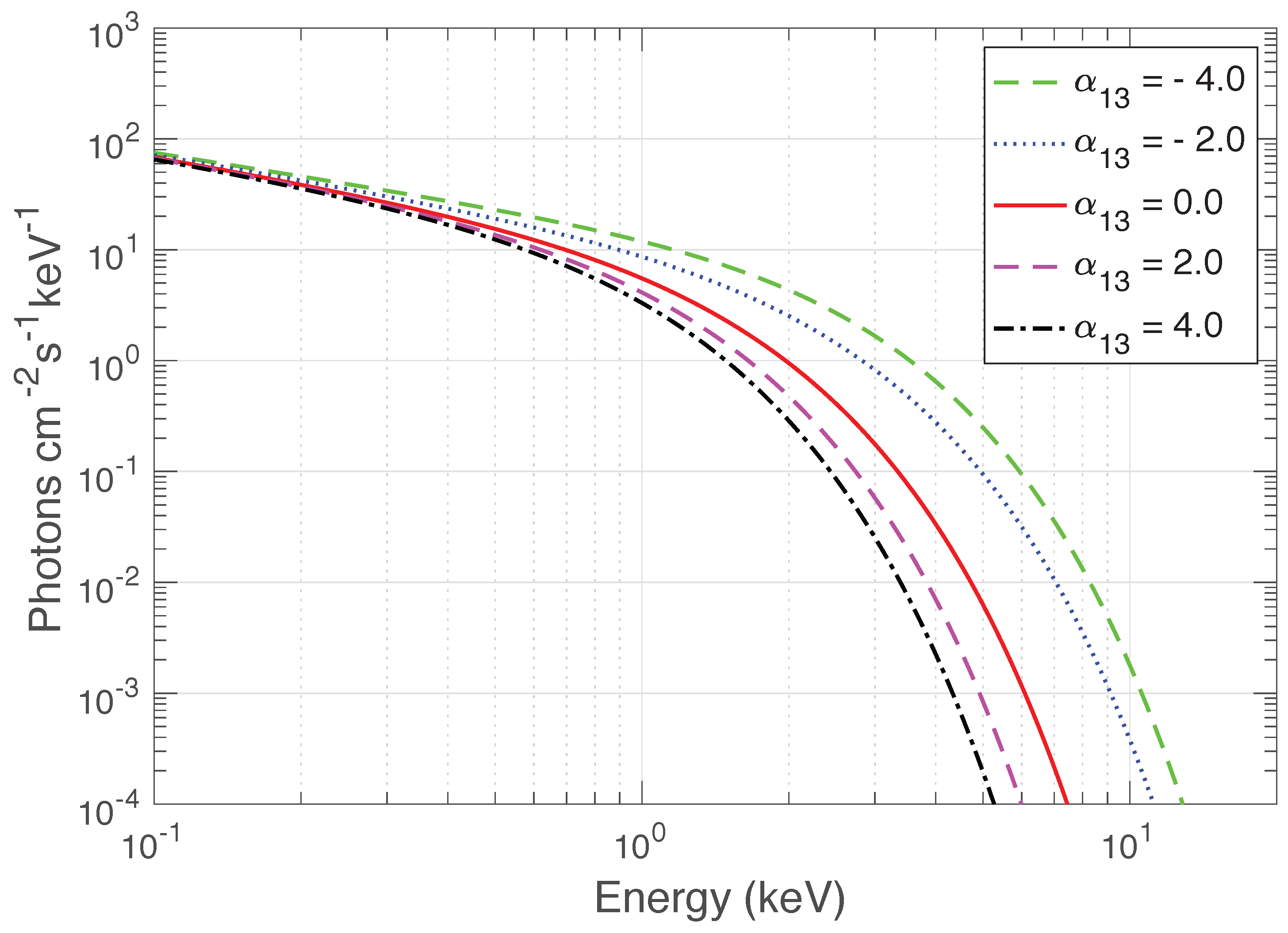
3. Synthetic Black Hole Spectra
- solve the equations of motion of the photons (the geodesic equations if we are considering a metric theory of gravity [2]) in order to connect every point of the observer’s image of the disk to its emission point on the disk and calculate the photon 4-momentum at the emission point;
- calculate the motion of the material in the disk (which should depend on the accretion disk model and on the equations of motion of the particles of the disk) in order to determine the gas 4-velocity at the emission point (which, together with the photon 4-momentum at the emission point determined at point 1 above, is used to calculate the photon energy at the emission point in the rest-frame of the gas in the disk, ).
4. Observational Constraints
4.1. Agnostic Tests of the Kerr Hypothesis
4.2. Theory-Specific Tests of the Kerr Hypothesis
5. Accuracy of X-ray Tests of General Relativity
- 1.
- The inner edge of the accretion disk should be as close as possible to the compact object. A necessary but not sufficient condition is that the spin parameter of the compact object is high (say, if it is a Kerr black hole).
- 2.
- The corona should be compact and close to the compact object.
- 3.
- The accretion disk should be geometrically thin and optically thick, with the inner edge at or near the innermost stable circular orbit (ISCO). A necessary, but not sufficient, condition is that the Eddington-scaled accretion luminosity is between a few percent and about 30%.
- 4.
- The spectrum must have a prominent iron line.
- 5.
- The source must be bright (and the data should not be affected by pile-up).
- 6.
- The geometry of the accretion disk and of the corona should not change during the observation.
- 7.
- The X-ray data should cover both the iron line region and the Compton hump, and possibly have a good energy resolution in the iron line region.
6. Concluding Remarks
Funding
Data Availability Statement
Conflicts of Interest
References
- Einstein, A. The foundation of the general theory of relativity. Ann. Phys. 1916, 49, 769–822. [Google Scholar] [CrossRef]
- Will, C.M. The Confrontation between General Relativity and Experiment. Living Rev. Relativ. 2014, 17, 4. [Google Scholar] [CrossRef] [PubMed]
- Dyson, F.W.; Eddington, A.S.; Davidson, C. A Determination of the Deflection of Light by the Sun’s Gravitational Field, from Observations Made at the Total Eclipse of May 29, 1919. Philos. Trans. R. Soc. Lond. A 1920, 220, 291–333. [Google Scholar] [CrossRef]
- Jain, B.; Khoury, J. Cosmological Tests of Gravity. Ann. Phys. 2010, 325, 1479–1516. [Google Scholar] [CrossRef]
- Koyama, K. Cosmological Tests of Modified Gravity. Rep. Prog. Phys. 2016, 79, 046902. [Google Scholar] [CrossRef] [PubMed]
- Ferreira, P.G. Cosmological Tests of Gravity. Ann. Rev. Astron. Astrophys. 2019, 57, 335–374. [Google Scholar] [CrossRef]
- Abbott, B.P.; Abbott, R.; Abbott, T.; Abernathy, M.; Acernese, F.; Ackley, K.; Adams, C.; Adams, T.; Addesso, P.; Adhikari, R.; et al. Tests of general relativity with GW150914. Phys. Rev. Lett. 2016, 116, 221101, Erratum in Phys. Rev. Lett. 2018, 121, 129902. [Google Scholar] [CrossRef]
- Yunes, N.; Yagi, K.; Pretorius, F. Theoretical Physics Implications of the Binary Black-Hole Mergers GW150914 and GW151226. Phys. Rev. D 2016, 94, 084002. [Google Scholar] [CrossRef]
- Abbott, B.P.; Abbott, R.; Abbott, T.; Abraham, S.; Acernese, F.; Ackley, K.; Adams, C.; Adhikari, R.; Adya, V.; Affeldt, C.; et al. Tests of General Relativity with the Binary Black Hole Signals from the LIGO-Virgo Catalog GWTC-1. Phys. Rev. D 2019, 100, 104036. [Google Scholar] [CrossRef]
- Bambi, C.; Freese, K.; Vagnozzi, S.; Visinelli, L. Testing the rotational nature of the supermassive object M87* from the circularity and size of its first image. Phys. Rev. D 2019, 100, 044057. [Google Scholar] [CrossRef]
- Psaltis, D.; Medeiros, L.; Christian, P.; Özel, F.; Akiyama, K.; Alberdi, A.; Alef, W.; Asada, K.; Azulay, R.; Ball, D.; et al. Gravitational Test Beyond the First Post-Newtonian Order with the Shadow of the M87 Black Hole. Phys. Rev. Lett. 2020, 125, 141104. [Google Scholar] [CrossRef] [PubMed]
- Vagnozzi, S.; Roy, R.; Tsai, Y.D.; Visinelli, L.; Afrin, M.; Allahyari, A.; Bambhaniya, P.; Dey, D.; Ghosh, S.G.; Joshi, P.S.; et al. Horizon-scale tests of gravity theories and fundamental physics from the Event Horizon Telescope image of Sagittarius A*. arXiv 2022, arXiv:2205.07787. [Google Scholar] [CrossRef]
- Cao, Z.; Nampalliwar, S.; Bambi, C.; Dauser, T.; Garcia, J.A. Testing general relativity with the reflection spectrum of the supermassive black hole in 1H0707-495. Phys. Rev. Lett. 2018, 120, 051101. [Google Scholar] [CrossRef] [PubMed]
- Tripathi, A.; Nampalliwar, S.; Abdikamalov, A.B.; Ayzenberg, D.; Bambi, C.; Dauser, T.; Garcia, J.A.; Marinucci, A. Toward Precision Tests of General Relativity with Black Hole X-Ray Reflection Spectroscopy. Astrophys. J. 2019, 875, 56. [Google Scholar] [CrossRef]
- Tripathi, A.; Zhang, Y.; Abdikamalov, A.B.; Ayzenberg, D.; Bambi, C.; Jiang, J.; Liu, H.; Zhou, M. Testing General Relativity with NuSTAR data of Galactic Black Holes. Astrophys. J. 2021, 913, 79. [Google Scholar] [CrossRef]
- Bambi, C. Testing black hole candidates with electromagnetic radiation. Rev. Mod. Phys. 2017, 89, 025001. [Google Scholar] [CrossRef]
- Bambi, C. Black Holes: A Laboratory for Testing Strong Gravity; Springer: Singapore, 2017; ISBN 978-981-10-4524-0. [Google Scholar] [CrossRef]
- Chrusciel, P.T.; Costa, J.L.; Heusler, M. Stationary Black Holes: Uniqueness and Beyond. Living Rev. Relativ. 2012, 15, 7. [Google Scholar] [CrossRef]
- Kerr, R.P. Gravitational field of a spinning mass as an example of algebraically special metrics. Phys. Rev. Lett. 1963, 11, 237–238. [Google Scholar] [CrossRef]
- Bambi, C. Astrophysical Black Holes: A Compact Pedagogical Review. Ann. Phys. 2018, 530, 1700430. [Google Scholar] [CrossRef]
- Bambi, C.; Malafarina, D.; Tsukamoto, N. Note on the effect of a massive accretion disk in the measurements of black hole spins. Phys. Rev. D 2014, 89, 127302. [Google Scholar] [CrossRef]
- Kleihaus, B.; Kunz, J.; Radu, E. Rotating Black Holes in Dilatonic Einstein-Gauss-Bonnet Theory. Phys. Rev. Lett. 2011, 106, 151104. [Google Scholar] [CrossRef] [PubMed]
- Giddings, S.B. Astronomical tests for quantum black hole structure. Nat. Astron. 2017, 1, 0067. [Google Scholar] [CrossRef]
- Mottola, E. Gravitational Vacuum Condensate Stars. In Regular Black Holes: Towards a New Paradigm of Gravitational Collapse; Bambi, C., Ed.; Springer: Singapore, 2023. [Google Scholar]
- Herdeiro, C.A.R.; Radu, E. Kerr black holes with scalar hair. Phys. Rev. Lett. 2014, 112, 221101. [Google Scholar] [CrossRef] [PubMed]
- Herdeiro, C.; Radu, E.; Rúnarsson, H. Kerr black holes with Proca hair. Class. Quantum Gravity 2016, 33, 154001. [Google Scholar] [CrossRef]
- Bambi, C. Testing Gravity with Black Hole X-Ray Data. In Recent Progress on Gravity Tests; Bambi, C., Cardenas-Avendano, A., Eds.; Springer: Singapore, 2024. [Google Scholar]
- Timmes, F.X.; Woosley, S.E.; Weaver, T.A. The Neutron star and black hole initial mass function. Astrophys. J. 1996, 457, 834. [Google Scholar] [CrossRef]
- Bambi, C.; Brenneman, L.W.; Dauser, T.; Garcia, J.A.; Grinberg, V.; Ingram, A.; Jiang, J.; Liu, H.; Lohfink, A.M.; Marinucci, A.; et al. Towards Precision Measurements of Accreting Black Holes Using X-Ray Reflection Spectroscopy. Space Sci. Rev. 2021, 217, 65. [Google Scholar] [CrossRef]
- Bambi, C. Testing General Relativity with black hole X-ray data: A progress report. Arab. J. Math. 2022, 11, 81–90. [Google Scholar] [CrossRef]
- Ross, R.R.; Fabian, A.C. A Comprehensive range of x-ray ionized reflection models. Mon. Not. R. Astron. Soc. 2005, 358, 211–216. [Google Scholar] [CrossRef]
- Garcia, J.; Kallman, T. X-ray reflected spectra from accretion disk models. I. Constant density atmospheres. Astrophys. J. 2010, 718, 695. [Google Scholar] [CrossRef]
- Laor, A. Line profiles from a disk around a rotating black hole. Astrophys. J. 1991, 376, 90. [Google Scholar] [CrossRef]
- Bambi, C.; Cardenas-Avendano, A.; Dauser, T.; Garcia, J.A.; Nampalliwar, S. Testing the Kerr black hole hypothesis using X-ray reflection spectroscopy. Astrophys. J. 2017, 842, 76. [Google Scholar] [CrossRef]
- Novikov, I.D.; Thorne, K.S. Astrophysics of Black Holes. In Black Holes; DeWitt, C., DeWitt, B., Eds.; Gordon and Breach: New York, NY, USA, 1973. [Google Scholar]
- Page, D.N.; Thorne, K.S. Disk-Accretion onto a Black Hole. Time-Averaged Structure of Accretion Disk. Astrophys. J. 1974, 191, 499–506. [Google Scholar] [CrossRef]
- Davis, A.C.; Gregory, R.; Jha, R. Black hole accretion discs and screened scalar hair. J. Cosmol. Astropart. Phys. 2016, 10, 024. [Google Scholar] [CrossRef]
- Bambi, C. Search for Variations of Fundamental Constants. In Recent Progress on Gravity Tests; Bambi, C., Cardenas-Avendano, A., Eds.; Springer: Singapore, 2024. [Google Scholar]
- Bambi, C. Constraining possible variations of the fine structure constant in strong gravitational fields with the Kα iron line. J. Cosmol. Astropart. Phys. 2014, 3, 34. [Google Scholar] [CrossRef]
- Abdikamalov, A.B.; Ayzenberg, D.; Bambi, C.; Dauser, T.; Garcia, J.A.; Nampalliwar, S. Public Release of RELXILL_NK: A Relativistic Reflection Model for Testing Einstein’s Gravity. Astrophys. J. 2019, 878, 91. [Google Scholar] [CrossRef]
- Zhou, M.; Abdikamalov, A.B.; Ayzenberg, D.; Bambi, C.; Liu, H.; Nampalliwar, S. XSPEC model for testing the Kerr black hole hypothesis using the continuum-fitting method. Phys. Rev. D 2019, 99, 104031. [Google Scholar] [CrossRef]
- Dauser, T.; Garcia, J.; Wilms, J.; Bock, M.; Brenneman, L.W.; Falanga, M.; Fukumura, K.; Reynolds, C.S. Irradiation of an Accretion Disc by a Jet: General Properties and Implications for Spin Measurements of Black Holes. Mon. Not. Roy. Astron. Soc. 2013, 430, 1694. [Google Scholar] [CrossRef]
- García, J.; Dauser, T.; Lohfink, A.; Kallman, T.R.; Steiner, J.; McClintock, J.E.; Brenneman, L.; Wilms, J.; Eikmann, W.; Reynolds, C.S.; et al. Improved Reflection Models of Black-Hole Accretion Disks: Treating the Angular Distribution of X-rays. Astrophys. J. 2014, 782, 76. [Google Scholar] [CrossRef]
- Garcia, J.; Dauser, T.; Reynolds, C.S.; Kallman, T.R.; McClintock, J.E.; Wilms, J.; Eikmann, W. X-ray reflected spectra from accretion disk models. III. A complete grid of ionized reflection calculations. Astrophys. J. 2013, 768, 146. [Google Scholar] [CrossRef]
- Roy, R.; Abdikamalov, A.B.; Ayzenberg, D.; Bambi, C.; Riaz, S.; Tripathi, A. Testing the weak-equivalence principle near black holes. Phys. Rev. D 2021, 104, 044001. [Google Scholar] [CrossRef]
- Johannsen, T.; Psaltis, D. A Metric for Rapidly Spinning Black Holes Suitable for Strong-Field Tests of the No-Hair Theorem. Phys. Rev. D 2011, 83, 124015. [Google Scholar] [CrossRef]
- Johannsen, T. Regular Black Hole Metric with Three Constants of Motion. Phys. Rev. D 2013, 88, 044002. [Google Scholar] [CrossRef]
- Cardoso, V.; Pani, P.; Rico, J. On generic parametrizations of spinning black-hole geometries. Phys. Rev. D 2014, 89, 064007. [Google Scholar] [CrossRef]
- Lin, N.; Tsukamoto, N.; Ghasemi-Nodehi, M.; Bambi, C. A parametrization to test black hole candidates with the spectrum of thin disks. Eur. Phys. J. C 2015, 75, 599. [Google Scholar] [CrossRef]
- Ghasemi-Nodehi, M.; Bambi, C. Note on a new parametrization for testing the Kerr metric. Eur. Phys. J. C 2016, 76, 290. [Google Scholar] [CrossRef]
- Konoplya, R.; Rezzolla, L.; Zhidenko, A. General parametrization of axisymmetric black holes in metric theories of gravity. Phys. Rev. D 2016, 93, 064015. [Google Scholar] [CrossRef]
- Mazza, J.; Franzin, E.; Liberati, S. A novel family of rotating black hole mimickers. J. Cosmol. Astropart. Phys. 2021, 04, 082. [Google Scholar] [CrossRef]
- Zhang, Y.; Abdikamalov, A.B.; Ayzenberg, D.; Bambi, C.; Nampalliwar, S. Tests of the Kerr hypothesis with GRS 1915+105 using different RELXILL flavors. Astrophys. J. 2019, 884, 147. [Google Scholar] [CrossRef]
- Abdikamalov, A.B.; Ayzenberg, D.; Bambi, C.; Dauser, T.; Garcia, J.A.; Nampalliwar, S.; Tripathi, A.; Zhou, M. Testing the Kerr black hole hypothesis using X-ray reflection spectroscopy and a thin disk model with finite thickness. Astrophys. J. 2020, 899, 80. [Google Scholar] [CrossRef]
- Tripathi, A.; Zhou, M.; Abdikamalov, A.B.; Ayzenberg, D.; Bambi, C.; Gou, L.; Grinberg, V.; Liu, H.; Steiner, J.F. Testing general relativity with the stellar-mass black hole in LMC X-1 using the continuum-fitting method. Astrophys. J. 2020, 897, 84. [Google Scholar] [CrossRef]
- Tripathi, A.; Abdikamalov, A.B.; Ayzenberg, D.; Bambi, C.; Grinberg, V.; Zhou, M. Testing the Kerr Black Hole Hypothesis with GX 339–4 by a Combined Analysis of Its Thermal Spectrum and Reflection Features. Astrophys. J. 2021, 907, 31. [Google Scholar] [CrossRef]
- Tripathi, A.; Abdikamalov, A.B.; Ayzenberg, D.; Bambi, C.; Grinberg, V.; Liu, H.; Zhou, M. Testing the Kerr black hole hypothesis with the continuum-fitting and the iron line methods: The case of GRS 1915+105. J. Cosmol. Astropart. Phys. 2022, 01, 019. [Google Scholar] [CrossRef]
- Zhang, Z.; Liu, H.; Abdikamalov, A.B.; Ayzenberg, D.; Bambi, C.; Zhou, M. Testing the Kerr Black Hole Hypothesis with GRS 1716–249 by Combining the Continuum Fitting and the Iron-line Methods. Astrophys. J. 2022, 924, 72. [Google Scholar] [CrossRef]
- Shashank, S.; Bambi, C. Constraining the Konoplya-Rezzolla-Zhidenko deformation parameters III: Limits from stellar-mass black holes using gravitational-wave observations. Phys. Rev. D 2022, 105, 104004. [Google Scholar] [CrossRef]
- Akiyama, K.; Alberdi, A.; Alef, W.; Algaba, J.C.; Anantua, R.; Asada, K.; Azulay, R.; Bach, U.; Baczko, A.; Ball, D.; et al. First Sagittarius A* Event Horizon Telescope Results. VI. Testing the Black Hole Metric. Astrophys. J. Lett. 2022, 930, L17. [Google Scholar] [CrossRef]
- Bambi, C. Testing Fundamental Physics with Black Holes, Talk Give at the “TianQin Astrophysics Workshop” (22–25 August 2022). Available online: https://cosimobambi.github.io/research.html (accessed on 10 June 2023).
- Cardenas-Avendano, A.; Nampalliwar, S.; Yunes, N. Gravitational-wave versus X-ray tests of strong-field gravity. Class. Quantum Gravity 2020, 37, 135008. [Google Scholar] [CrossRef]
- Abdikamalov, A.B.; Ayzenberg, D.; Bambi, C.; Nampalliwar, S.; Tripathi, A. Constraining the Konoplya-Rezzolla-Zhidenko deformation parameters: Limits from supermassive black hole x-ray data. Phys. Rev. D 2021, 104, 024058. [Google Scholar] [CrossRef]
- Yu, Z.; Jiang, Q.; Abdikamalov, A.B.; Ayzenberg, D.; Bambi, C.; Liu, H.; Nampalliwar, S.; Tripathi, A. Constraining the Konoplya-Rezzolla-Zhidenko deformation parameters. II. Limits from stellar-mass black hole x-ray data. Phys. Rev. D 2021, 104, 084035. [Google Scholar] [CrossRef]
- Tripathi, A.; Zhou, B.; Abdikamalov, A.B.; Ayzenberg, D.; Bambi, C. Constraints on Einstein-Maxwell dilaton-axion gravity from X-ray reflection spectroscopy. J. Cosmol. Astropart. Phys. 2021, 7, 002. [Google Scholar] [CrossRef]
- Bambi, C.; Modesto, L.; Rachwał, L. Spacetime completeness of non-singular black holes in conformal gravity. J. Cosmol. Astropart. Phys. 2017, 5, 3. [Google Scholar] [CrossRef]
- Bambi, C.; Modesto, L.; Porey, S.; Rachwał, L. Black hole evaporation in conformal gravity. J. Cosmol. Astropart. Phys. 2017, 9, 33. [Google Scholar] [CrossRef]
- Chakrabarty, H.; Benavides-Gallego, C.A.; Bambi, C.; Modesto, L. Unattainable extended spacetime regions in conformal gravity. J. High Energy Phys. 2018, 3, 13. [Google Scholar] [CrossRef]
- Zhou, M.; Cao, Z.; Abdikamalov, A.; Ayzenberg, D.; Bambi, C.; Modesto, L.; Nampalliwar, S. Testing conformal gravity with the supermassive black hole in 1H0707-495. Phys. Rev. D 2018, 98, 024007. [Google Scholar] [CrossRef]
- Zhou, M.; Abdikamalov, A.B.; Ayzenberg, D.; Bambi, C.; Modesto, L.; Nampalliwar, S.; Xu, Y. Singularity-free black holes in conformal gravity: New observational constraints. Europhys. Lett. 2019, 125, 30002. [Google Scholar] [CrossRef]
- Held, A.; Gold, R.; Eichhorn, A. Asymptotic safety casts its shadow. J. Cosmol. Astropart. Phys. 2019, 6, 029. [Google Scholar] [CrossRef]
- Zhou, B.; Abdikamalov, A.B.; Ayzenberg, D.; Bambi, C.; Nampalliwar, S.; Tripathi, A. Shining X-rays on asymptotically safe quantum gravity. J. Cosmol. Astropart. Phys. 2021, 1, 47. [Google Scholar] [CrossRef]
- Joshi, P.S.; Malafarina, D. Recent developments in gravitational collapse and spacetime singularities. Int. J. Mod. Phys. D 2011, 20, 2641–2729. [Google Scholar] [CrossRef]
- Tao, J.; Riaz, S.; Zhou, B.; Abdikamalov, A.B.; Bambi, C.; Malafarina, D. Testing the δ-Kerr metric with black hole X-ray data. arXiv 2023, arXiv:2301.12164. [Google Scholar]
- Quevedo, H.; Mashhoon, B. Exterior gravitational field of a rotating deformed mass. Phys. Lett. A 1985, 109, 13–18. [Google Scholar] [CrossRef]
- Quevedo, H.; Mashhoon, B. Generalization of Kerr spacetime. Phys. Rev. D 1991, 43, 3902. [Google Scholar] [CrossRef]
- Kammoun, E.S.; Nardini, E.; Risaliti, G. Testing the accuracy of reflection-based supermassive black hole spin measurements in AGN. Astron. Astrophys. 2018, 614, A44. [Google Scholar] [CrossRef]
- Shashank, S.; Riaz, S.; Abdikamalov, A.B.; Bambi, C. Testing Relativistic Reflection Models with GRMHD Simulations of Accreting Black Holes. Astrophys. J. 2022, 938, 53. [Google Scholar] [CrossRef]
- Riaz, S.; Ayzenberg, D.; Bambi, C.; Nampalliwar, S. Reflection spectra of thick accretion discs. Mon. Not. R. Astron. Soc. 2020, 491, 417–426. [Google Scholar] [CrossRef]
- Riaz, S.; Ayzenberg, D.; Bambi, C.; Nampalliwar, S. Modeling bias in supermassive black hole spin measurements. Astrophys. J. 2020, 895, 61. [Google Scholar] [CrossRef]
- Zhang, S.; Santangelo, A.; Feroci, M.; Xu, Y.; Lu, F.; Chen, Y.; Feng, H.; Zhang, S.; Brandt, S.; Hernanz, M.; et al. eXTP—enhanced X-ray Timing and Polarimetry Mission. Proc. SPIE Int. Soc. Opt. Eng. 2016, 9905, 99051Q. [Google Scholar] [CrossRef]
- Babak, S.; Gair, J.; Sesana, A.; Barausse, E.; Sopuerta, C.F.; Berry, C.P.L.; Berti, E.; Amaro-Seoane, P.; Petiteau, A.; Klein, A. Science with the space-based interferometer LISA. V: Extreme mass-ratio inspirals. Phys. Rev. D 2017, 95, 103012. [Google Scholar] [CrossRef]





Disclaimer/Publisher’s Note: The statements, opinions and data contained in all publications are solely those of the individual author(s) and contributor(s) and not of MDPI and/or the editor(s). MDPI and/or the editor(s) disclaim responsibility for any injury to people or property resulting from any ideas, methods, instructions or products referred to in the content. |
© 2023 by the author. Licensee MDPI, Basel, Switzerland. This article is an open access article distributed under the terms and conditions of the Creative Commons Attribution (CC BY) license (https://creativecommons.org/licenses/by/4.0/).
Share and Cite
Bambi, C. X-ray Tests of General Relativity with Black Holes. Symmetry 2023, 15, 1277. https://doi.org/10.3390/sym15061277
Bambi C. X-ray Tests of General Relativity with Black Holes. Symmetry. 2023; 15(6):1277. https://doi.org/10.3390/sym15061277
Chicago/Turabian StyleBambi, Cosimo. 2023. "X-ray Tests of General Relativity with Black Holes" Symmetry 15, no. 6: 1277. https://doi.org/10.3390/sym15061277
APA StyleBambi, C. (2023). X-ray Tests of General Relativity with Black Holes. Symmetry, 15(6), 1277. https://doi.org/10.3390/sym15061277

