Abstract
A novel discrete exponentiated Chen (DEC) distribution, which is a subset of the continuous exponentiated Chen distribution, is proposed. The offered model is more adaptable to analyzing a wide range of data than traditional and recently published models. Several important statistical and reliability characteristics of the DEC model are introduced. In the presence of Type-II censored data, the maximum likelihood and asymptotic confidence interval estimators of the model parameters are acquired. Two various bootstrapping estimators of the DEC parameters are also obtained. To examine the efficacy of the adopted methods, several simulations are implemented. To further clarify the offered model in the life scenario, the two applications, based on the number of vehicle fatalities in South Carolina in 2012 and the final exam marks in 2004 at the Indian Institute of Technology at Kanpur, are analyzed. The analysis findings showed that the DEC model is the most effective model for fitting the supplied data sets compared to eleven well-known models in literature, including: Poisson, geometric, negative binomial, discrete-Weibull, discrete Burr Type XII, discrete generalized exponential, discrete-gamma, discrete Burr Hatke, discrete Nadarajah-Haghighi, discrete modified-Weibull, and exponentiated discrete-Weibull models. Ultimately, the new model is recommended to be applied in many fields of real practice.
1. Introduction
When it becomes impossible or impracticable to evaluate a product’s or piece of equipment’s lifespan on a continuous scale, the discretization phenomenon occurs. This applies to many domains, including clinical trials, engineering, economics, and other associated sciences; see [1]. The lifespan of a copy machine is determined by the total number of copies it produces. In survival analysis, the lifetime periods for people with brain tumors, or the duration between remission and recurrence, may be documented as the number of days. In a reliability framework, the functional state of a system is checked every unit of time. Observed statistics represent the number of time units achieved prior to a failure. In addition to lifespan statistics, the count phenomenon may be seen in a variety of real-world contexts, including the number of earthquakes in a year, accidents, ecological species types, insurance claims, and more. Discrete distributions are quite helpful for modeling lifespan data in such circumstances. In this situation, the geometric and negative binomial distributions are recognized as discrete substitutes for the exponential and gamma distributions. In some real-world circumstances, these distributions do not, however, fit discrete data. Many continuous lifespan distributions have been discretized in the literature in recent decades as a result of the demand for more believable discrete distributions to simulate discrete data in a range of real-world settings.
Consider the discrete Weibull distribution, which is discussed in refs. [2,3], the discrete Rayleigh distribution, which is discussed in refs. [4,5], the discrete inverse, which is discussed in ref. [6], the exponentiated discrete Weibull distribution in ref. [7], and the discrete Weibull geometric distribution, see [8]. To simulate data with a bathtub shape and a growing failure rate in recent years, ref. [9] developed a discrete additive Perks-Weibull distribution. The discrete Nadarajah and Haghighi distributions for one variable were initially proposed by ref. [10]. To evaluate discrete rising failure and count data, ref. [11] presented a discrete Perks distribution. A brand-new discrete Lindley distribution with two parameters and an unusual bathtub-shaped hazard rate characteristic was described by ref. [12]. For over- and under-dispersed data, ref. [13] presents the discrete Gompertz-G family. Ref. [14] estimated the quantity of new coronavirus cases using a discrete generalized Lindley distribution. A discrete equivalent of the peculiar Weibull-G family of distributions was shown by ref. [15]. They spoke about traditional and Bayesian estimates and showed how the suggested model may be used with count data sets. A discrete equivalent of the Teissier distribution with application to data counting was recently studied by ref. [16].
Even though there are a lot of discretized distributions in the literature, there could be situations when they conflict with discrete data modeling. There is therefore still plenty of potential for creating novel discretized distributions that are appropriate in various situations. In light of this, we suggest a discretized variant of the exponentiated Chen distribution proposed by ref. [17]. To discretize continuous distribution, a variety of techniques can be applied; see [18]. The following is the most typical procedure for finding the discrete analog of a continuous distribution. Many discrete distributions have been introduced using this approach to discretization, including the natural discrete Lindley [19], the discrete Marshal-Olkin Weibull [20], the uniform Poisson-Ailamujia [21], the discrete inverted Topp-Leone [22], and the discrete power-Ailamujia [23].
If the underlying random variable (RV) has the survival function (SF), , the underlying RV has the probability mass function (PMF) (, biggest integer less than or equal to )
The technique described above generates a discrete distribution by using the same functional form as the continuous version of the SF. However, this discrete variant retains certain aspects of dependability. There is a strong motivation to apply this technique in order to create discrete versions of existing continuous distributions. On numerous occasions, constraints such as limited time or resources hinder the collection of complete data sets. Incomplete data can involve censored data, which can be further explored in ref. [24]. Various censoring algorithms have been documented in the literature to analyze these types of data sets. The commonly employed censoring techniques include Type I and Type II censoring. Type I censoring involves recording the event only if it occurs before a predetermined time, while Type II censoring continues the research until a specific number of subjects experience failure. Random censoring, on the other hand, is a distinct type of censorship where individuals can be censored at any point during the experiment and at different time intervals. In the context of clinical trials or medical research, random censorship could occur when patients withdraw early without completing the prescribed treatment. Further information on censoring techniques, their extensions, and their analysis can be found in ref. [25]. Accurate analysis of randomly censored lifespan data is crucial to derive reliable insights and meaningful research findings. Such data sets are frequently encountered in fields such as biology, reliability studies, and medical science. Typically, these data involve right-censoring, as it is impractical to observe individuals until their deaths or because participants may drop out of the study. In regard to right-censoring with discrete observations, it has been examined by [26]. Notably, ref. [27] investigated various inferential approaches for the exponentiated discrete Weibull model with censored data.
Therefore, the main objectives of the DEC model are:
- The first advantage of this distribution over many other one- or two-parameter discrete distributions is that it gives the various hazard rate forms, such as decreasing, increasing, or increasing-constant. So, by virtue of these hazard rates, the proposed model is suitable for modeling various data sets;
- It offers various PMF shapes that may not be adequately modeled by other competitive models that are appropriate to model positively skewed, negatively skewed, or symmetric data;
- Several statistical and reliability characteristics, including moments, probability functions, reliability indices, hazard functions, order statistics, etc., are introduced;
- Analysis results from two real applications showed that the DEC distribution fits the given data sets satisfactorily compared to the other eleven discrete distribution models in the literature;
- Maximum likelihood and bootstrapping estimation methods are considered to estimate the proposed parameters in the presence of data collected under the Type-II censored strategy;
- Through extensive Monte Carlo simulations using various accuracy criteria, namely mean squared errors, mean absolute biases, and average interval lengths, the performance of the acquired estimators is evaluated. It may seem reasonable to recommend the use of Type-II censoring for estimating unknown parameters.
2. Materials and Methods
The SF of the continuous exponentiated Chen distribution is provided by:
subsequently, the PMF of the DEC distribution becomes
where are the shape parameters. It is easy to show that the PMF in Equation (3) is accurate, i.e., .
For specified values of and based on their domains, Figure 1 displays the PMF and hazard rate function (HRF) shapes of the DEC distribution. It shows that the PMF can be unimodal (for ), right skewed (for ) or left skewed (for ). It also shows that the HRF of the new model exhibits different shapes, such as the decreasing (for ), increasing (for ) or increasing-constant (for ). As a result, the proposed model is suitable for modeling different real-world data sets.
Figure 1.
The PMF and HRF plots of the DEC model. (a) PMF. (b) HRF.
For PMF in Equation (3), the cumulative distribution function (CDF) of DEC is given by:
where is the floor function that gives the greatest integer less than or equal to . Then the quantile function can be defined as For more details on this quantile function, see Section 14 of ref. [28] and Theorem 2.1.10 of ref. [29]. It should be noted here that and the proportion of non-zero values is given by
Lemma 1.
Let denote the floor function and let ⌈x⌉ be a ceiling operator that provides the least number larger (or equal to) than x. Then, for any integer (or m), and real number , we have the following:
- (i)
- if and only if .
- (ii)
- if and only if .
Proof.
According to ref. [30],
- (i)
- Since , implies . Thus, we have . Next, we need to prove that implies . Its contrapositive statement is that implies . Since , we can rewrite , where . Since and are both integers, it is immediate from that we can set where . If we assume that is not satisfied (that is, ), then we have which results in . Thus, we have since , which violates the condition .
- (ii)
- Since , we have if . Next, we need to prove that implies . Its contrapositive statement is that implies . Since , we can rewrite , where . Since and are both integers, it is immediate from that we can set where . If we assume that is not satisfied (that is ), then we have , which results in . Thus, we have , which violates the condition . □
However, the quantile function, , of the DEC distribution is given by
Proof.
It is immediate from that we have
Since is an integer, we denote for notational convenience. Then, applying Lemma 1(i) to (1), we know that is equivalent to
Since the last term in Equation (6) is an integer, we denote
for notational convenience. That is, we have . By applying Lemma 1(ii), we have , which implies
Then is equivalent to
Thus, we have
which completes the proof. It is noteworthy that the quantile function is left-continuous while the CDF is right-continuous ref. [31]. □
2.1. Statistical Properties
2.1.1. Random Number Generation, Skewness, and Kurtosis
The popular quantile-based formulae for skewness or kurtosis were established by refs. [32,33]. These indicators stand out in part because they can be computed even for distributions lacking moments and are less impacted by outliers. Following ref. [32], the skewness () can be expressed as:
The Moors kurtosis [33], denoted by , suggests looking like this:
Using Equation (5) in the aforementioned formulas, it is simple to derive the and for the DEC distribution.
2.1.2. Moments
Calculating a probability distribution’s mean, variance, , , and other properties involves using the distribution’s moments. The raw moments of the DEC distribution may be obtained as follows:
Hence, following [9], the DEC distribution’s initial four raw moments are obtained by substituting using Equation (13).
Using the raw moments from the following relations, we can quickly determine the and as follows:
The ratio of the standard deviation to the mean is known as the coefficient of variation (). The variance-to-mean ratio serves as the index of dispersion (). Keep in mind that the is always scale-invariant and dimensionless. The , on the other hand, is only dimensionless when it pertains to a dimensionless quantity, such as a count, as is the case in practice. It is not scale-invariant.
Although both and are for non-negative variables, they are applied in various situations. Most frequently, discrete variables with non-negative integer values, like counts, are represented by the sample and theoretical s. A method for detecting whether data is uniformly, unequally, or overly spread is the in , such as which refers to over-dispersion, refers to the opposite (under-dispersion), and refers to equi-dispersion. The following is the for the DEC model:
where and are the variance and mean of , respectively.
If one needs to compare the variance of two independent samples, the coefficient of variation (), which is a relative measure of variance, is usually applied. Greater variability is indicated by a high value. However, the for the DEC distribution is given by
The aforementioned equations do not have a closed form, so we utilize R software to statistically illustrate these traits. Figure 2 displays some shapes of the and measures of the proposed model. It indicates that both measures depend excessively on the values of . Using a complete random sample of size , based on different combinations of DEC parameters, Table 1 displays some numerical findings for the mean (), variance (), , , , and of the DEC distribution and indicates that:
Figure 2.
3-D plot for skewness and kurtosis of the DEC model. (a) For . (b) For .
Table 1.
Some statistics for the DEC distribution using different combinations of its parameters.
- For fixed and , as increases, the values of , , , , , and decrease;
- For fixed and , as increases, the values of and increase, whereas , , , and decrease;
- For fixed and , as increases, the values of , , and decrease, whereas , , and increase.
2.1.3. Survival and Hazard Rate Functions
The DEC distribution’s SF () and HRF () are provided, respectively, by
and
The recommended distribution is more flexible to evaluate a broad range of data than conventional and recently published models as a result of the distinctive forms of HRF. The second rate of hazard (symbolized by ) and reversed hazard rate (symbolized by ) function of the suggested model are also explored.
and
2.1.4. Mean Past Life Function
The predicted inactivity time function, also known as the mean-past-life (MPL) function, is symbolised by the sign and it measures the amount of time that has elapsed since failed, presuming that the system failed before . It has various uses, including actuarial studies, the dependability concept, survival evaluation, and forensic science. In a discrete setting, the MPL function is defined as:
By substituting Equation (4) into , we can quickly calculate the MPL for the suggested model.
2.1.5. Stress-Strength Reliability
Stress-strength (SS) reliability describes the life of a component that has random strength (say ) and is subjected to a random stress (say ). The component fails when the stress applied to it exceeds its strength, but it continues to operate satisfactorily whenever . If the applied stress is greater than the component’s strength, it instantly fails; otherwise, it performs properly. The SS system paradigm has several uses in disciplines including engineering, medicine, psychology, and other related domains; see [34,35,36,37]. A thorough analysis of SS models is provided in ref. [38]. For discrete independent RVs and , the SS reliability is defined as:
where, respectively, and stand for the PMF and CDF of the independent discrete RVs, and . Let the numbers and be genuine. Next, using Equations (3) and (4), we get
Since the SS reliability parameter cannot be expressed in a clear formula, it can be easily evaluated via any software.
2.1.6. Order Statistics
Particularly in the study of survival, order statistics are critical for constructing tolerance ranges for distributions and identifying population features. Let represent a sample of size, , taken at random sample from the DEC. Let the associated order statistics be represented by . The CDF of the order statistic is thus provided by, let’s say, as:
The corresponding PMF for order statistic is
Setting or in Equation (9), the PMF of or can be easily obtained.
2.1.7. Entropy
The average amount of “information,” “surprise,” or “uncertainty” included in a RV’s probable outcomes is measured by its entropy, in accordance with the principles of information theory. The Renyi entropy (RE) (see [39]) is a fundamental entropy. It is a key measure of complexity and uncertainty in many fields, such as statistical inference, physics, econometrics, and pattern recognition in computer science. For the DEC distribution, the RE can be specified as:
where is a deformation parameter. As a specific instance of RE as , Shannon entropy (Sh.E), which is given by , may be produced.
2.2. Maximum Likelihood Method
One of the most commonly used methods for classical point estimation is the maximum likelihood technique. The maximum likelihood estimate is the point in the parametric space where the likelihood function is greatest. Due to its clear and adaptable logic, it has become the accepted procedure for statistical inference. The model parameters’ maximum likelihood estimators (MLEs) are obtained based on Type II censoring in this section. When Type II censoring happens, an experiment contains a predefined number of participants or items, n, and ends the experiment after a certain number, , are seen to have failed; the remaining subjects are then right-censored. On the other hand, under Type II censoring, the experiment has been stopped at the observation. The probability function of the three parameters based on Type-II censoring is calculated from the CDF in Equation (4) and the associated PMF in Equation (3) as follows:
The likelihood function’s logarithm, of and is given by
Following are the derivatives of with respect to the unknown parameters:
where and
Now, a set of nonlinear equations exists with unknown parameters and . It is evident that it is difficult to obtain a closed-form solution. So, the above-described nonlinear system may be solved numerically using an iterative method like Newton-Raphson.
2.3. Bootstrap Confidence Interval
The bootstrap approach, initially introduced by ref. [40], is a highly broad resampling strategy for estimating the distributions of statistics based on independent observations. As an alternative to asymptotic approaches, the bootstrap method is gaining popularity since it has been shown to be effective in several situations. Here, we create a bootstrap-t interval and a percentile bootstrap for the variables and .
- (1)
- Percentile Bootstrap Confidence Interval (B-P):
- Calculate the MLE of ;
- To acquire the bootstrap estimate using to obtain the bootstrap estimate of (say ), (say ), and (say ) using the bootstrap sample;
- Repeat step (ii) times to obtain , and ;
- Sort , and in ascending-order as , and , respectively;
- At a significant level , the two-sided percentile bootstrap confidence intervals of the unknown parameters are provided by , and , respectively.
- (2)
- Bootstrap-t Confidence Interval (B-T):
For the unidentified parameters and , a two-sided percentile bootstrap-t confidence interval is provided by
- The same as steps (i) and (ii) in B-P;
- The Fisher information matrix may be used to calculate the t-statistic of as;
- where and are the bootstrap estimates of and respectively, using the bootstrap sample;
- where is the asymptotic variances of ;
- Repeat step (ii) B times to get ;
- Sort in ascending order, such as ;
- For the unidentified parameters a two-sided percentile bootstrap-t confidence interval is provided byand
3. Numerical Comparisons
To verify the performance of the suggested estimators, established in the preceding Section 2.2, of the parameters and , Monte Carlo simulations are conducted in this section. Briefly, we shall provide the simulation scenario. Following that, some discussions on the simulation results are provided.
3.1. Simulation Scenario
To evaluate the efficiency of the acquired maximum likelihood estimates and of the bootstrap interval estimates of and , in this subsection, several Monte Carlo simulation studies are conducted. Now, to collect a Type-II censored sample from the DEC model, we propose the following steps:
- Step 1:
- Set the actual values of and .
- Step 2:
- Determine the specific values of (total test units) and (effective sample size).
- Step 3:
- Generate pseudo-random values with size from usingwhere denotes the uniform random variate.
- Step 4:
- Sort the outputs in Step-3, and for a specific obtain Type-II censored sample.
- Step 5:
- For each set , compute the MLEs and B-P/B-T interval estimates of and .
Now, by adopting three sets of DEC parameters namely Set-1:(0.1, 0.4, 0.8), Set-2:(0.2, 0.8, 1.5), and Set-3:(1.5, 0.8, 0.4), a large 2000 Type-II censored samples are generated based on various options of and . Here, several choices of such as are used, where (effective sample size) is used as a failure percentage (FP) such as for each , all acquired estimates of and are evaluated. Obviously, the Type-II censored sample generated at implies the complete sample. Following the bootstrap (B-P/B-T) interval estimates of and are also obtained using 10,000 repetitions. The same actual values of and are also considered as initial values for calculating the acquired MLEs of the same unknown parameters.
Specifically, for each group , the average estimates (AEs) with their mean squared errors (MSEs), mean absolute biases (MABs), and average interval lengths (AILs) of (for example) are obtained using the following formulae:
where and denote the lower and upper bounds of the interval estimate, is the number of replications, is the calculated estimate of at th iteration. In a similar pattern, the AEs, MSEs, MABs, and AILs of and can be easily developed. We further recommend that the coverage probability criterion be considered when comparing the interval estimates; in our evaluations, this criterion is averted for brevity. All numerical evaluations are performed via R 4.2.2 programming software through the ‘maxLik’ package introduced by ref. [41]. All numerical results of and are obtained and reported in Table 2, Table 3 and Table 4, respectively.
3.2. Simulation Discussions
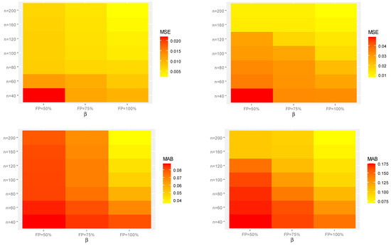
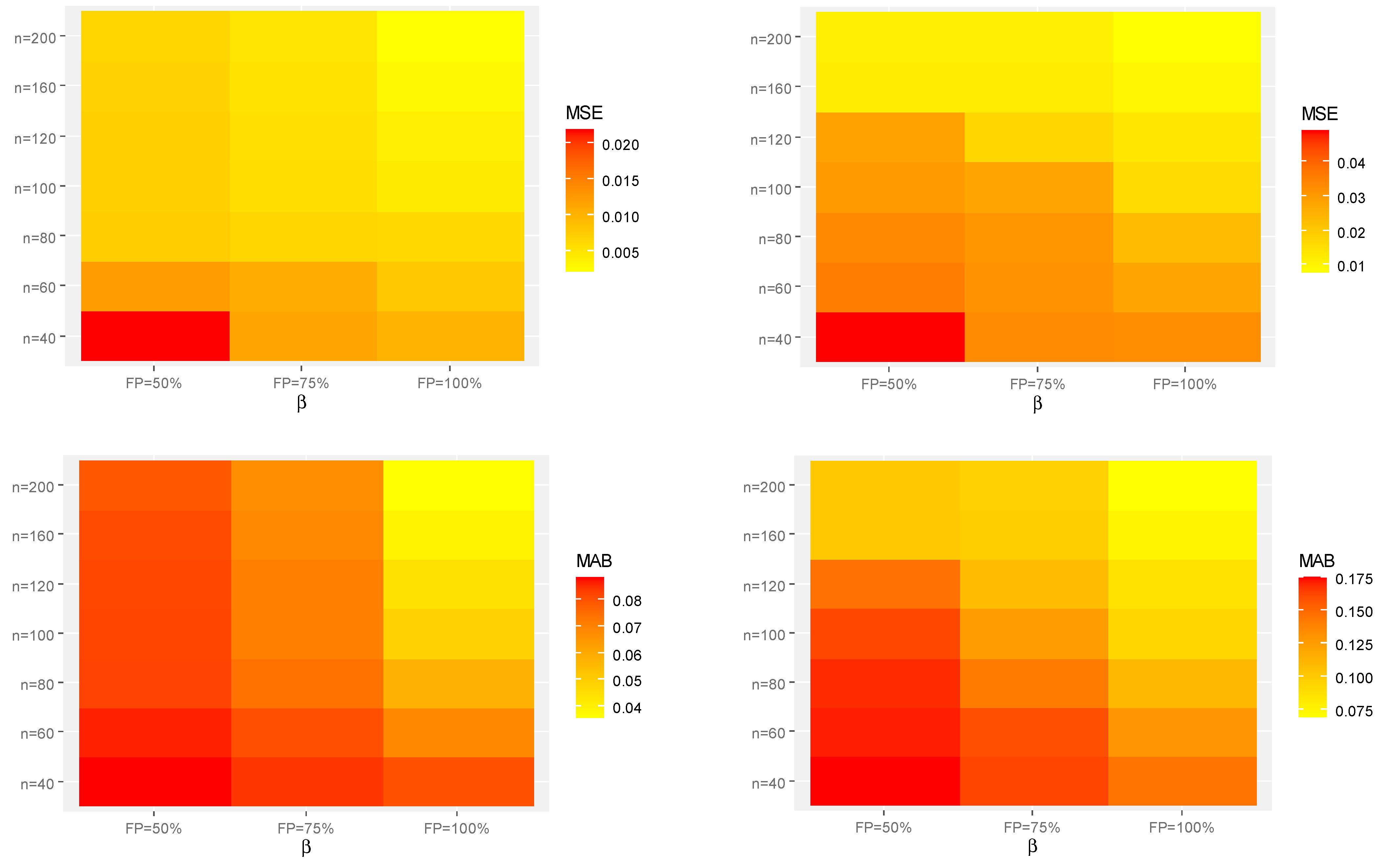
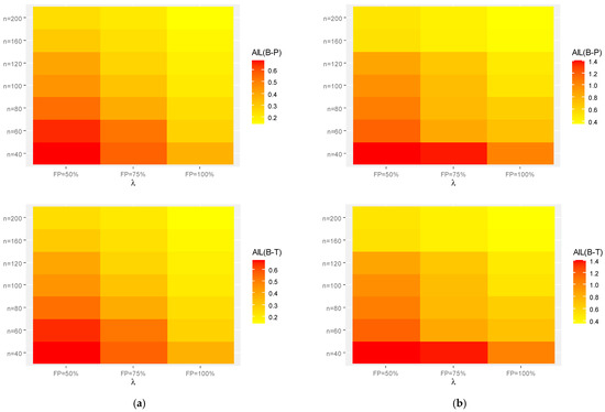
This subsection focuses on several evaluations of the performance of the suggested point and interval estimation methods. From Table 2, Table 3 and Table 4, we can draw the following conclusions:
- Generally, in terms of lowest MSE, MAB, and AIL values, the acquired estimates of the unknown parameters and behave well;
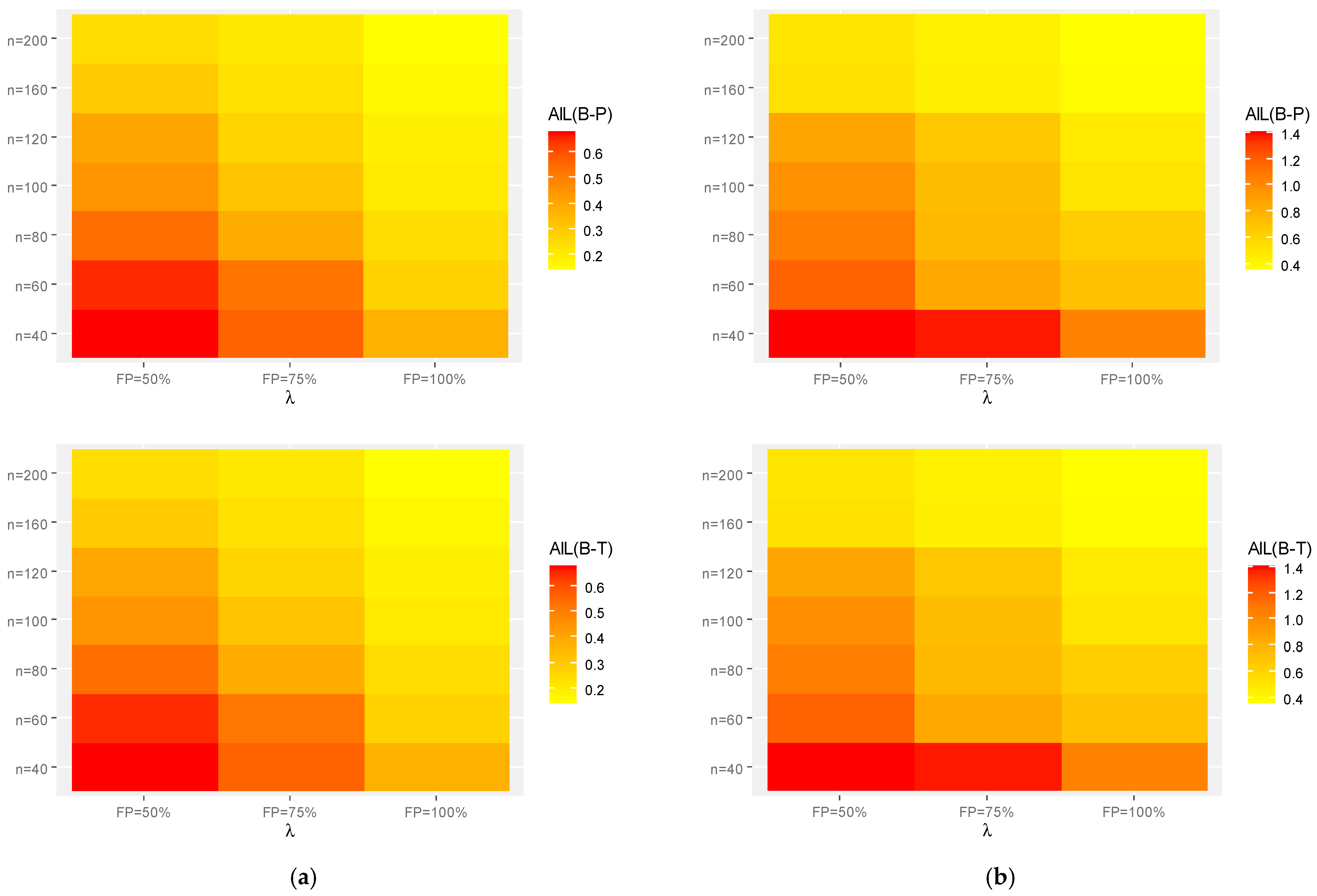
- As increases, the MSEs, MABs, and AILs of and tend to decrease. This finding confirms the consistency feature of the associated estimates when the required sample size is increased. A similar pattern is observed when the FP increases;
- For fixed , the interval estimates obtained from the B-T procedure have shorter AILs compared to those obtained from the B-P procedure. This result holds for all given parametric sets;
- As the true values of and increase, for each setting, the MSEs, MABs, and AILs of all unknown parameters or increase;
- As the true values of and increase, with fixing , the MSEs, MABs, and AILs of increase while those of and decrease;
- In summary, the simulated results showed that the suggested estimation approaches of the DEC parameters perform well under Type-II censoring and can be easily extended to other models or other censoring plans;
- Heat-map visualization is a way of graphically representing numerical data where the value of each data point is indicated using specified colors. Therefore, utilizing the heat-map tool in R 4.2.2 programming software, the calculated point (or interval) estimates of or using Set-1 and Set-2 (for instant) are shown in Figure 3, Figure 4 and Figure 5, respectively.
Table 2.
The AEs, MSEs, MABs, and AILs of .
Table 2.
The AEs, MSEs, MABs, and AILs of .
| FP% | AE | MSE | MAB | AIL | AE | MSE | MAB | AIL | AE | MSE | MAB | AIL | ||||
|---|---|---|---|---|---|---|---|---|---|---|---|---|---|---|---|---|
| B-P | B-T | B-P | B-T | B-P | B-T | |||||||||||
| 1 | 2 | 3 | ||||||||||||||
| 40 | 50% | 0.0417 | 0.0220 | 0.0885 | 0.4530 | 0.4527 | 0.0829 | 0.0491 | 0.1756 | 0.8866 | 0.8871 | 1.7423 | 0.1920 | 0.3297 | 2.1419 | 2.1215 |
| 75% | 0.0519 | 0.0114 | 0.0844 | 0.2765 | 0.2759 | 0.1305 | 0.0332 | 0.1631 | 0.6168 | 0.6150 | 1.8229 | 0.1769 | 0.3237 | 1.8440 | 1.8268 | |
| 100% | 0.1170 | 0.0102 | 0.0804 | 0.2410 | 0.2403 | 0.2375 | 0.0328 | 0.1460 | 0.4851 | 0.4855 | 1.4441 | 0.1581 | 0.3123 | 1.8148 | 1.7971 | |
| 60 | 50% | 0.0334 | 0.0124 | 0.0866 | 0.3711 | 0.3709 | 0.0338 | 0.0359 | 0.1720 | 0.6580 | 0.6581 | 1.7792 | 0.1479 | 0.3200 | 1.7803 | 1.7630 |
| 75% | 0.0332 | 0.0108 | 0.0807 | 0.2521 | 0.2518 | 0.2279 | 0.0316 | 0.1601 | 0.5594 | 0.5594 | 1.8179 | 0.1186 | 0.3195 | 1.7714 | 1.7544 | |
| 100% | 0.1111 | 0.0078 | 0.0690 | 0.1939 | 0.1932 | 0.2573 | 0.0281 | 0.1294 | 0.2557 | 0.2560 | 1.5037 | 0.1099 | 0.3174 | 1.1769 | 1.1656 | |
| 80 | 50% | 0.0233 | 0.0075 | 0.0826 | 0.3046 | 0.3039 | 0.0264 | 0.0336 | 0.1696 | 0.6059 | 0.6060 | 1.6507 | 0.1094 | 0.3123 | 0.9369 | 0.9258 |
| 75% | 0.0305 | 0.0065 | 0.0741 | 0.1358 | 0.1347 | 0.2162 | 0.0309 | 0.1423 | 0.4935 | 0.4935 | 1.7861 | 0.1066 | 0.2916 | 0.9212 | 0.9123 | |
| 100% | 0.1059 | 0.0062 | 0.0583 | 0.1245 | 0.1236 | 0.2737 | 0.0231 | 0.1105 | 0.2343 | 0.2342 | 1.4140 | 0.1048 | 0.2889 | 0.8439 | 0.8358 | |
| 100 | 50% | 0.0206 | 0.0072 | 0.0824 | 0.2543 | 0.2536 | 0.0453 | 0.0302 | 0.1625 | 0.5522 | 0.5522 | 1.8057 | 0.1033 | 0.2804 | 0.7529 | 0.7457 |
| 75% | 0.0332 | 0.0057 | 0.0711 | 0.1187 | 0.1181 | 0.1628 | 0.0276 | 0.1258 | 0.4919 | 0.4914 | 1.8167 | 0.1036 | 0.2779 | 0.7412 | 0.7341 | |
| 100% | 0.1035 | 0.0043 | 0.0494 | 0.1034 | 0.1027 | 0.2117 | 0.0161 | 0.0928 | 0.2059 | 0.2058 | 1.4683 | 0.1023 | 0.2762 | 0.7269 | 0.7199 | |
| 120 | 50% | 0.0187 | 0.0071 | 0.0820 | 0.2394 | 0.2386 | 0.0334 | 0.0285 | 0.1471 | 0.5105 | 0.5101 | 1.7668 | 0.0995 | 0.2702 | 0.6836 | 0.6771 |
| 75% | 0.0343 | 0.0055 | 0.0709 | 0.1159 | 0.1150 | 0.2471 | 0.0170 | 0.1079 | 0.4469 | 0.4469 | 1.6029 | 0.0926 | 0.2488 | 0.6691 | 0.6626 | |
| 100% | 0.1036 | 0.0038 | 0.0447 | 0.0878 | 0.0870 | 0.2139 | 0.0135 | 0.0861 | 0.1819 | 0.1818 | 1.4003 | 0.0916 | 0.2419 | 0.6045 | 0.5987 | |
| 160 | 50% | 0.0187 | 0.0069 | 0.0814 | 0.2113 | 0.2104 | 0.1077 | 0.0125 | 0.1016 | 0.3692 | 0.3693 | 1.7500 | 0.0871 | 0.2247 | 0.6001 | 0.5943 |
| 75% | 0.0300 | 0.0053 | 0.0688 | 0.0870 | 0.0863 | 0.1284 | 0.0123 | 0.0978 | 0.2833 | 0.2830 | 1.5132 | 0.0858 | 0.2244 | 0.5299 | 0.5248 | |
| 100% | 0.1030 | 0.0027 | 0.0393 | 0.0662 | 0.0657 | 0.2101 | 0.0099 | 0.0747 | 0.1782 | 0.1781 | 1.3620 | 0.0689 | 0.2076 | 0.3221 | 0.3190 | |
| 200 | 50% | 0.0210 | 0.0065 | 0.0791 | 0.1720 | 0.1712 | 0.1036 | 0.0116 | 0.1008 | 0.3404 | 0.3403 | 1.6654 | 0.0571 | 0.1801 | 0.2432 | 0.2409 |
| 75% | 0.0335 | 0.0049 | 0.0672 | 0.0877 | 0.0866 | 0.1072 | 0.0117 | 0.0964 | 0.2133 | 0.2133 | 1.5955 | 0.0457 | 0.1630 | 0.2234 | 0.2213 | |
| 100% | 0.1023 | 0.0021 | 0.0358 | 0.0667 | 0.0655 | 0.2086 | 0.0078 | 0.0687 | 0.1032 | 0.1032 | 1.2793 | 0.0398 | 0.1586 | 0.2155 | 0.2118 | |
Table 3.
The AEs, MSEs, MABs and AILs of .
Table 3.
The AEs, MSEs, MABs and AILs of .
| FP% | AE | MSE | MAB | AIL | AE | MSE | MAB | AIL | AE | MSE | MAB | AIL | ||||
|---|---|---|---|---|---|---|---|---|---|---|---|---|---|---|---|---|
| B-P | B-T | B-P | B-T | B-P | B-T | |||||||||||
| 1 | 2 | 3 | ||||||||||||||
| 40 | 50% | 0.6916 | 0.1583 | 0.3686 | 0.6839 | 0.6822 | 1.2733 | 0.9213 | 0.9825 | 1.4147 | 1.4139 | 0.9221 | 0.4349 | 0.6402 | 0.7928 | 0.7843 |
| 75% | 0.5987 | 0.0911 | 0.2722 | 0.5699 | 0.5687 | 1.1841 | 0.8264 | 0.8706 | 1.3871 | 1.3868 | 0.8505 | 0.4316 | 0.6520 | 0.7792 | 0.7714 | |
| 100% | 0.4360 | 0.0107 | 0.0777 | 0.3745 | 0.3739 | 0.8824 | 0.0737 | 0.1925 | 1.0514 | 1.0510 | 1.1350 | 0.4045 | 0.6197 | 0.7683 | 0.7606 | |
| 60 | 50% | 0.8681 | 0.1498 | 0.3620 | 0.6559 | 0.6523 | 1.0706 | 0.9001 | 0.9280 | 1.1927 | 1.1919 | 0.9990 | 0.3856 | 0.6141 | 0.7507 | 0.7439 |
| 75% | 0.6710 | 0.0595 | 0.2186 | 0.5292 | 0.5272 | 0.9084 | 0.7432 | 0.8218 | 0.8597 | 0.8591 | 0.8594 | 0.3798 | 0.5888 | 0.7309 | 0.7236 | |
| 100% | 0.4214 | 0.0058 | 0.0594 | 0.2807 | 0.2786 | 0.8423 | 0.0345 | 0.1402 | 0.7242 | 0.7235 | 1.1592 | 0.3641 | 0.5350 | 0.7156 | 0.7113 | |
| 80 | 50% | 0.7619 | 0.1366 | 0.3508 | 0.5429 | 0.5408 | 1.7280 | 0.8804 | 0.9094 | 1.0749 | 1.0744 | 1.0939 | 0.3567 | 0.5592 | 0.7058 | 0.7016 |
| 75% | 0.6183 | 0.0572 | 0.2032 | 0.3915 | 0.3896 | 1.6218 | 0.5785 | 0.7292 | 0.7637 | 0.7636 | 0.8831 | 0.3332 | 0.5422 | 0.6987 | 0.6949 | |
| 100% | 0.4173 | 0.0042 | 0.0504 | 0.2478 | 0.2469 | 0.8373 | 0.0277 | 0.1222 | 0.6500 | 0.6492 | 1.1489 | 0.3181 | 0.5504 | 0.6786 | 0.6746 | |
| 100 | 50% | 0.7508 | 0.1325 | 0.3491 | 0.4523 | 0.4513 | 1.5840 | 0.7995 | 0.8509 | 0.9872 | 0.9869 | 0.8966 | 0.2587 | 0.4511 | 0.6773 | 0.6732 |
| 75% | 0.5818 | 0.0393 | 0.1822 | 0.3231 | 0.3217 | 1.5030 | 0.5212 | 0.7030 | 0.7459 | 0.7450 | 0.9098 | 0.2085 | 0.3748 | 0.6305 | 0.6267 | |
| 100% | 0.4132 | 0.0030 | 0.0427 | 0.2100 | 0.2089 | 0.8259 | 0.0176 | 0.1016 | 0.5257 | 0.5248 | 1.4402 | 0.1662 | 0.2939 | 0.6273 | 0.6235 | |
| 120 | 50% | 0.7491 | 0.1135 | 0.2941 | 0.4066 | 0.4051 | 1.5624 | 0.7154 | 0.7849 | 0.8834 | 0.8825 | 0.9474 | 0.1385 | 0.2633 | 0.6249 | 0.6212 |
| 75% | 0.5622 | 0.0336 | 0.1730 | 0.2741 | 0.2721 | 1.5292 | 0.4800 | 0.6831 | 0.6931 | 0.6923 | 1.1251 | 0.1064 | 0.1990 | 0.5931 | 0.5908 | |
| 100% | 0.4103 | 0.0024 | 0.0378 | 0.1943 | 0.1933 | 0.8171 | 0.0142 | 0.0922 | 0.4907 | 0.4902 | 1.1420 | 0.0982 | 0.1774 | 0.5867 | 0.5844 | |
| 160 | 50% | 0.6805 | 0.0844 | 0.2805 | 0.3025 | 0.3013 | 1.4831 | 0.1178 | 0.3103 | 0.5457 | 0.5450 | 1.0633 | 0.0818 | 0.1521 | 0.5630 | 0.5608 |
| 75% | 0.5730 | 0.0311 | 0.1625 | 0.2398 | 0.2387 | 1.0662 | 0.2725 | 0.4039 | 0.4601 | 0.4593 | 1.1342 | 0.0672 | 0.1398 | 0.4719 | 0.4680 | |
| 100% | 0.4074 | 0.0018 | 0.0324 | 0.1689 | 0.1679 | 0.8127 | 0.0102 | 0.0792 | 0.3860 | 0.3849 | 1.0414 | 0.0631 | 0.1266 | 0.3059 | 0.3047 | |
| 200 | 50% | 0.6367 | 0.0599 | 0.2367 | 0.2491 | 0.2483 | 1.1102 | 0.0882 | 0.2767 | 0.5193 | 0.5184 | 1.0748 | 0.0599 | 0.1131 | 0.2783 | 0.2769 |
| 75% | 0.5482 | 0.0246 | 0.1482 | 0.2142 | 0.2132 | 1.0655 | 0.0839 | 0.2656 | 0.4474 | 0.4465 | 1.1350 | 0.0391 | 0.0894 | 0.2674 | 0.2670 | |
| 100% | 0.4059 | 0.0014 | 0.0298 | 0.1452 | 0.1446 | 0.8100 | 0.0085 | 0.0723 | 0.3647 | 0.3639 | 1.0520 | 0.0337 | 0.0805 | 0.2587 | 0.2485 | |
Table 4.
The AEs, MSEs, MABs and AILs of .
Table 4.
The AEs, MSEs, MABs and AILs of .
| FP% | AE | MSE | MAB | AIL | AE | MSE | MAB | AIL | AE | MSE | MAB | AIL | ||||
|---|---|---|---|---|---|---|---|---|---|---|---|---|---|---|---|---|
| B-P | B-T | B-P | B-T | B-P | B-T | |||||||||||
| 1 | 2 | 3 | ||||||||||||||
| 40 | 50% | 0.4446 | 0.7854 | 0.5406 | 2.1597 | 2.1594 | 0.9829 | 1.9999 | 1.3528 | 2.9249 | 2.9226 | 0.3798 | 0.1594 | 0.3986 | 1.1072 | 1.1050 |
| 75% | 0.5394 | 0.4391 | 0.5289 | 1.5823 | 1.5810 | 1.1107 | 1.7040 | 1.2528 | 1.6133 | 1.6130 | 0.3754 | 0.1570 | 0.3943 | 0.9912 | 0.9894 | |
| 100% | 0.9934 | 0.3775 | 0.4820 | 1.3819 | 1.3825 | 1.3396 | 1.5040 | 0.9932 | 1.4323 | 1.4312 | 0.3255 | 0.1566 | 0.3950 | 0.9883 | 0.9861 | |
| 60 | 50% | 0.3305 | 0.5004 | 0.5388 | 1.6101 | 1.6099 | 0.9910 | 1.2992 | 1.1668 | 1.8858 | 1.8847 | 0.3193 | 0.1479 | 0.3774 | 0.9484 | 0.9465 |
| 75% | 0.4060 | 0.3853 | 0.4465 | 1.2698 | 1.2684 | 1.1738 | 1.0025 | 1.0051 | 1.4980 | 1.4953 | 0.3629 | 0.1470 | 0.3787 | 0.8063 | 0.8047 | |
| 100% | 0.8813 | 0.2431 | 0.3643 | 1.0588 | 1.0574 | 1.2706 | 0.9674 | 0.9329 | 1.0675 | 1.0641 | 0.3708 | 0.1428 | 0.3692 | 0.7308 | 0.7294 | |
| 80 | 50% | 0.3257 | 0.2618 | 0.4983 | 1.2735 | 1.2751 | 1.2389 | 1.0495 | 1.0245 | 1.7836 | 1.7829 | 0.3325 | 0.1407 | 0.3636 | 0.7157 | 0.7143 |
| 75% | 0.4199 | 0.1895 | 0.4029 | 0.7621 | 0.7620 | 1.4924 | 0.9604 | 0.7603 | 1.3942 | 1.3937 | 0.3503 | 0.1200 | 0.3245 | 0.6947 | 0.6946 | |
| 100% | 0.8424 | 0.1843 | 0.2925 | 0.6855 | 0.6846 | 1.7427 | 0.5398 | 0.6040 | 0.9418 | 0.9408 | 0.3236 | 0.1189 | 0.3078 | 0.6603 | 0.6594 | |
| 100 | 50% | 0.3196 | 0.2543 | 0.4888 | 1.1413 | 1.1415 | 1.2652 | 1.0176 | 0.9790 | 1.5616 | 1.5607 | 0.3561 | 0.1176 | 0.3304 | 0.6305 | 0.6293 |
| 75% | 0.4480 | 0.1611 | 0.3699 | 0.7046 | 0.7042 | 1.5613 | 0.8758 | 0.6701 | 1.1564 | 1.1816 | 0.3433 | 0.0949 | 0.2598 | 0.6161 | 0.6147 | |
| 100% | 0.8245 | 0.1085 | 0.2414 | 0.5535 | 0.5531 | 1.6614 | 0.4450 | 0.5824 | 0.8965 | 0.8943 | 0.3984 | 0.0914 | 0.2803 | 0.5596 | 0.5586 | |
| 120 | 50% | 0.3128 | 0.2535 | 0.4856 | 1.0088 | 1.0091 | 1.3561 | 0.9651 | 0.9370 | 1.2006 | 1.2010 | 0.3829 | 0.0835 | 0.1706 | 0.5497 | 0.5486 |
| 75% | 0.4620 | 0.1494 | 0.3649 | 0.6646 | 0.6652 | 1.3951 | 0.6821 | 0.5789 | 1.1810 | 1.1549 | 0.3223 | 0.0789 | 0.2288 | 0.5155 | 0.5136 | |
| 100% | 0.8224 | 0.0964 | 0.2203 | 0.5034 | 0.5032 | 1.6541 | 0.4144 | 0.5547 | 0.8301 | 0.8286 | 0.3311 | 0.0574 | 0.1939 | 0.3822 | 0.3810 | |
| 160 | 50% | 0.3416 | 0.2223 | 0.4587 | 0.9346 | 0.9347 | 1.4312 | 0.5939 | 0.7273 | 1.1889 | 1.1872 | 0.3468 | 0.0548 | 0.1682 | 0.3634 | 0.3627 |
| 75% | 0.4386 | 0.1441 | 0.3520 | 0.5255 | 0.5256 | 1.4874 | 0.4699 | 0.5650 | 1.1013 | 1.1002 | 0.3809 | 0.0533 | 0.1782 | 0.3481 | 0.3483 | |
| 100% | 0.8160 | 0.0659 | 0.1937 | 0.4364 | 0.4362 | 1.6094 | 0.3943 | 0.4697 | 0.7415 | 0.7402 | 0.3332 | 0.0504 | 0.1771 | 0.3123 | 0.3117 | |
| 200 | 50% | 0.3708 | 0.1953 | 0.4294 | 0.8913 | 0.8920 | 1.5361 | 0.4075 | 0.5755 | 1.0186 | 1.0190 | 0.3591 | 0.0464 | 0.1477 | 0.3079 | 0.3073 |
| 75% | 0.4655 | 0.1280 | 0.3373 | 0.4937 | 0.4941 | 1.5888 | 0.3691 | 0.5464 | 0.7932 | 0.7932 | 0.3173 | 0.0375 | 0.1397 | 0.2965 | 0.2947 | |
| 100% | 0.8125 | 0.0497 | 0.1707 | 0.3997 | 0.4001 | 1.6509 | 0.3306 | 0.4265 | 0.6376 | 0.6359 | 0.3022 | 0.0357 | 0.1282 | 0.2901 | 0.2884 | |

Figure 3.
Heat-maps for the Monte Carlo results of . (a) Set-1. (b) Set-2.

Figure 4.
Heat-maps for the Monte Carlo results of . (a) Set-1. (b) Set-2.

Figure 5.
Heat-maps for the Monte Carlo results of . (a) Set-1. (b) Set-2.
4. Real-Life Applications
This section presents the analysis of two applications utilizing different real data sets in order to (i) examine the usefulness and adaptability of the offered model to real phenomena; (ii) demonstrate the applicability of the inferential results to a real practical situation; and (iii) evaluate to see whether the proposed model is a better choice than the other eleven models. The first application examines the number of vehicle fatalities for thirty-nine counties in the state of South Carolina in 2012, acquired from the National Highway Traffic Safety Administration’s (www-fars.nhtsa.dot.gov, accessed on 13 January 2023). Firstly, this data set (denoted by Data-I) was reported by ref. [42]. Another application provides an analysis of the final exam marks in 2004 of 48 slow-paced students in mathematics at the Indian Institute of Technology at Kanpur. This data set (denoted by Data-II) is taken from ref. [43] and reanalyzed by ref. [44]. It is better to point out here that the number of vehicle deaths or check marks have the same philosophy of separate data points as in different cases in nature, such as weights, heights, ages, etc. The data sets I and II are reported in Table 5, while their statistics, namely: min, max, (first, second, and third) quartiles , mode, mean, standard deviation (St.D), , and Ku, are listed in Table 6.
Table 5.
Complete data sets I and II.
Table 6.
Vital summary statistics of data sets I and II.
To demonstrate the validity and superiority of the proposed model, based on the first and second datasets, the DEC probability model is compared alongside the other eleven competing models in the literature, namely: Poisson (P) by ref. [45], discrete Weibull (DW) by ref. [44], negative binomial (NB) and geometric (G) discussed by ref. [46], discrete Burr Type XII (DB) by ref. [4], discrete generalized-exponential (DGE) by ref. [47], discrete gamma (DG) by ref. [6], discrete Burr Hatke (DBH) by ref. [48], discrete Nadarajah-Haghighi (DNH) by ref. [10], discrete modified Weibull (DMW) by ref. [49], and exponentiated discrete Weibull (EDW) by ref. [7] distributions.
To specify the best model, several criteria are used, namely: negative log-likelihood (NLL), Akaike (), consistent Akaike (), Bayesian () and Hannan-Quinn (HQ) information criteria, where is the length of the model parameter vector. Besides them, the Kolmogorov-Smirnov (K-S) statistic with its -value is also considered. Obviously, the best probability model distribution gives the best fit for a given set of data if it has the highest -value and the lowest values of all other measures. Via R programming software 4.2.2, by installing the ‘AdequacyModel’ package proposed by ref. [50], the maximum likelihood estimates (with their standard errors (St.Es)) as well as the fitted model selection criteria are presented in Table 7.
Table 7.
Summary fit (St.E) of the DEC model and its competing models from data sets I and II.
It is evident from the Data-I fit in Table 7 that the DEC distribution, which has the lowest statistical values and the highest -value among all the fitted competitive models, is the best model. Also, from the Data-II fit in Table 7, it is clear that the DEC distribution, with respect to the -value, is the best distribution among all compared models, while the other three-parameter DMW and EDW distributions perform better with respect to the other given criteria. Further, in Figure 6, the corresponding probability-probability (PP) plot is a visual plot showing the relationship between observed cumulative probability (OCP) and expected cumulative probability (ECP) of the DEC distribution and its competing distributions. It also supports our findings in Table 7. Various visualization goodness tools, namely (i) histogram with fitted PDF, (ii) fitted CDF, (iii) quantile-quantile (QQ), and (iv) total time test (TTT) plots, are utilized to show the goodness-of-fit of a theoretical model to observed data; see Figure 7. It is evident, from both data sets I and II, that (i) the fitted DEC density captures the general pattern of the histograms well; (ii) all estimated DEC distribution (or quantile) points are quite close to the straight line; and (iii) the DEC failure rate has an increasing shape. As a result, from the empirical results, we can conclude that the new DEC distribution provides a significantly good fit compared to the other traditional (or newly developed) discrete statistical models.

Figure 6.
The PP plots of the DEC model and its competing models from data sets I and II. (a) Data-I. (b) Data-II.

Figure 7.
Plots of data histograms with fitted PDF, fitted CDF, QQ, and TTT of the DEC models. (a) Data-I. (b) Data-II.
Now, to evaluate the acquired estimates of and developed by maximum likelihood and bootstrap (based on 10,000 replications) methods in a real scenario, three Type-II censored samples from each data set in Table 5 are generated based on different values of ; see Table 8. For each generated sample in Table 8, the MLEs (with their St.Es) and 95% B-P/B-T interval estimates (with their interval widths (IWs)) of and are calculated and presented in Table 9. It indicates that the maximum likelihood results behave well, and interval estimates derived from the B-T method perform better than those derived from the other. Further, when increases, both St.Es and IWs associated with all DEC parameters are narrowed. The proposed applications used, among others, two sets of common real data to show how the proposed model works well in practice.
Table 8.
Type-II censored samples from data sets I and II.
Table 9.
Point and Interval estimates of and from data sets I and II.
Potential application areas of the new DEC distribution could include those already considered, and other real (or simulated) data could be easily incorporated. Furthermore, the numerical findings developed from the real data sets support the same findings investigated in our Monte Carlo simulations.
5. Concluding Remarks
In this study, a new three-parameter discrete model, named the discrete exponentiated Chen distribution, is introduced. The probability mass function of the new model can be “unimodal”, “right-skewed” or “left-skewed” as can its hazard rate function, which can be “decreasing“, “increasing”, or “increasing-constant”. In particular, the statistical characteristics of the model we propose are found. These consist of order statistics, entropy, skewness, kurtosis, moments, quantiles, medians, and other statistics. In the presence of Type II censored data, the maximum likelihood approach was used to fit the model parameters. In order to assess the efficacy of the method provided in this article, several simulations have been undertaken. Finally, to further explain the suggested model, two real data sets are provided. The first application examines the number of vehicle fatalities in 39 counties in South Carolina in 2012, as reported by the National Highway Traffic Safety Administration. The second application examines the final exam results of 48 slow learners who attended the Indian Institute of Technology in Kanpur in 2004. As a summary, based on the given data sets, we have shown that the offered model furnishes a better fit than some existing discrete distributions, including: Poisson, geometric, negative binomial, discrete Weibull, discrete Burr Type XII, discrete generalized-exponential, discrete gamma, discrete Burr Hatke, discrete Nadarajah-Haghighi, discrete modified Weibull, and exponentiated discrete Weibull models. Thus, we can conclude that the proposed estimation procedures provide a good explanation of the proposed distribution in the presence of data collected under Type II censoring. In future work, one can easily examine the stress strength, reliability, or failure rate of the proposed model based on other sampling schemes, such as progressive Type-II censoring. Finally, we hope that the proposed distribution attracts a wider set of applications in different sectors.
Author Contributions
Conceptualization, R.A. and H.R.; methodology, R.A., H.R. and A.E.; software, A.E.; funding acquisition, R.A.; supervision, R.A. and A.E.; Writing—original draft, R.A., H.R. and C.P. Writing—review and editing; R.A., H.R., C.P. and A.E. All authors have read and agreed to the published version of the manuscript.
Funding
This research was funded by Princess Nourah bint Abdulrahman University Researchers Supporting Project number PNURSP2023R50), Princess Nourah bint Abdulrahman University, Riyadh, Saudi Arabia.
Data Availability Statement
Not applicable.
Acknowledgments
The authors would desire to express their gratitude to the editor and the anonymous referees for useful advice and helpful comments. The authors would also like to express their full thanks to Princess Nourah bint Abdulrahman University, Riyadh, Saudi Arabia, for supporting (PNURSP2023R50) this work.
Conflicts of Interest
The authors declare no conflict of interest.
References
- Alizadeh, M.; Khan, M.N.; Rasekhi, M.; Hamedani, G.G. A New Generalized Modified Weibull Distribution. Stat. Optim. Inf. Comput. 2021, 9, 17–34. [Google Scholar] [CrossRef]
- Nakagawa, T.; Osaki, S. The discrete Weibull distribution. IEEE Trans. Reliab. 1975, 24, 300–301. [Google Scholar] [CrossRef]
- Roy, D. Discrete Rayleigh distribution. IEEE Trans. Reliab. 2004, 53, 255–260. [Google Scholar] [CrossRef]
- Krishna, H.; Pundir, P.S. Discrete Burr and discrete Pareto distributions. Stat. Methodol. 2009, 6, 177–188. [Google Scholar] [CrossRef]
- Jazi, M.A.; Lai, C.D.; Alamatsaz, M.H. A discrete inverse Weibull distribution and estimation of its parameters. Stat. Methodol. 2010, 7, 121–132. [Google Scholar] [CrossRef]
- Chakraborty, S.; Chakravarty, D. Discrete gamma distributions: Properties and parameter estimations. Commun. Stat. Theory Methods 2012, 41, 3301–3324. [Google Scholar] [CrossRef]
- Nekoukhou, V.; Bidram, H. The exponentiated discrete Weibull distribution. SORT 2015, 39, 127–146. [Google Scholar]
- Jayakumar, K.; Babu, M.G. Discrete Weibull geometric distribution and its properties. Commun. Stat. Theory Methods 2018, 47, 1767–1783. [Google Scholar] [CrossRef]
- Tyagi, A.; Choudhary, N.; Singh, B. Discrete additive Perks-Weibull distribution: Properties and applications. Life Cycle Reliab. Saf. Eng. 2019, 8, 183–199. [Google Scholar] [CrossRef]
- Shafqat, M.; Ali, S.; Shah, I.; Dey, S. Univariate Discrete Nadarajah and Haghighi Distribution: Properties and Different Methods of Estimation. Statistica 2020, 80, 301–330. [Google Scholar]
- Tyagi, A.; Choudhary, N.; Singh, B. A new discrete distribution: Theory and applications to discrete failure lifetime and count data. J. Appl. Probab. Stat. 2020, 15, 117–143. [Google Scholar]
- El-Morshedy, M.; Eliwa, M.S.; Nagy, H. A new two-parameter exponentiated discrete Lindley distribution: Properties, estimation and applications. J. Appl. Stat. 2020, 47, 354–375. [Google Scholar] [CrossRef] [PubMed]
- Eliwa, M.S.; Alhussain, Z.A.; El-Morshedy, M. Discrete Gompertz-G family of distributions for over-and under-dispersed data with properties, estimation, and applications. Mathematics 2020, 8, 358. [Google Scholar] [CrossRef]
- Calderín-Ojeda, E.; Gómez-Déniz, E. An extension of the discrete Lindley distribution with applications. J. Korean Stat. Soc. 2013, 42, 371–373. [Google Scholar] [CrossRef]
- El-Morshedy, M.; Eliwa, M.S.; Tyagi, A. A discrete analogue of odd Weibull-G family of distributions: Properties, classical and Bayesian estimation with applications to count data. J. Appl. Stat. 2022, 49, 2928–2952. [Google Scholar] [CrossRef]
- Singh, B.; Agiwal, V.; Nayal, A.S.; Tyagi, A. A Discrete Analogue of Teissier Distribution: Properties and Classical Estimation with Application to Count Data. Reliab. Theory Appl. 2022, 17, 340–355. [Google Scholar]
- Dey, S.; Kumar, D.; Ramos, L.P.; Louzada, F. Exponentiated Chen distribution: Properties and estimation. Commun. Stat. B Simul. Comput. 2017, 46, 8118–8139. [Google Scholar] [CrossRef]
- Chakraborty, S. Generating discrete analogues of continuous probability distributions-A survey of methods and constructions. J. Stat. Distrib. Appl. 2015, 2, 6. [Google Scholar] [CrossRef]
- Al-Babtain, A.A.; Ahmed, A.H.N.; Afify, A.Z. A new discrete analog of the continuous Lindley distribution, with reliability applications. Entropy 2020, 22, 603. [Google Scholar] [CrossRef]
- Opone, F.C.; Izekor, E.K.; Akata, I.U.; Osagiede, F.E. A Discrete analogue of the continuous Marshall-Olkin Weibull distribution with application to count data. Earthline J. Math. Sci. 2020, 5, 415–428. [Google Scholar] [CrossRef]
- Aljohani, H.M.; Akdoğan, Y.; Cordeiro, G.M.; Afify, A.Z. The uniform Poisson-Ailamujia distribution: Actuarial measures and applications in biological science. Symmetry 2021, 13, 1258. [Google Scholar] [CrossRef]
- Eldeeb, A.S.; Ahsan-Ul-Haq, M.; Babar, A. A discrete analog of inverted Topp- Leone distribution: Properties, estimation and applications. Int. J. Anal. Appl. 2021, 19, 695–708. [Google Scholar]
- Alghamdi, A.S.; Ahsan-Ul-Haq, M.; Babar, A.; Aljohani, H.M.; Afify, A.Z. The discrete power-Ailamujia distribution: Properties, inference, and applications. AIMS Math. 2022, 7, 8344–8360. [Google Scholar] [CrossRef]
- Kemp, A.W. The discrete half-normal distribution. Adv. Math. Stat. Model. 2006, 9, 353–360. [Google Scholar]
- Lawless, J.F. Statistical Models and Methods for Lifetime Data; Wiley: New York, NY, USA, 1982. [Google Scholar]
- Rezaei, A.H.; Arghami, N.R. Right censoring in a discrete life model. Metrika 2002, 55, 151–160. [Google Scholar] [CrossRef]
- Achcar, J.A.; Martinez, E.Z.; de Freitas, B.C.L.; de Oliveira, M.V. Classical and Bayesian inference approaches for the exponentiated discrete Weibull model with censored data and a cure fraction. Pak. J. Stat. Oper. Res. 2021, 17, 467–481. [Google Scholar] [CrossRef]
- Billingsley, P. Probability and Measure; anniversary edition; John Wiley & Sons: New York, NY, USA, 2012. [Google Scholar]
- Casella, G.; Berger, R.L. Statistical Inference, 2nd ed.; Duxbury: Pacific Grove, CA, USA, 2002. [Google Scholar]
- Graham, R.L.; Knuth, D.E.; Patashnik, O. Concrete Mathematics: A Foundation for Computer Science, 2nd ed.; Addison-Wesley Longman Publishing Co., Inc.: Boston, MA, USA, 1994. [Google Scholar]
- Csörgő, M. Quantile Processes with Statistical Applications; Society for Industrial and Applied Mathematics: Philadelphia, PA, USA, 1983. [Google Scholar]
- Kenney, J.F.; Keeping, E.S. Mathematics of Statistics, Part 1, 3rd ed.; Van Nostrand Company: Princeton, NJ, USA, 1962. [Google Scholar]
- Moors, J.J.A. A quantile alternative for kurtosis. J. R. Stat. Soc. Ser. D 1988, 37, 25–32. [Google Scholar] [CrossRef]
- Çetinkaya, Ç.; Genç, A. Stress–strength reliability estimation under the standard two-sided power distribution. Appl. Math. Model. 2019, 65, 72–88. [Google Scholar] [CrossRef]
- Çetinkaya, Ç. Reliability estimation of a stress-strength model with non-identical component strengths under generalized progressive hybrid censoring scheme. Statistics 2021, 55, 250–275. [Google Scholar] [CrossRef]
- Asadi, S.; Panahi, H. Estimation of stress–strength reliability based on censored data and its evaluation for coating processes. Qual. Technol. Quant. Manag. 2022, 19, 379–401. [Google Scholar] [CrossRef]
- Panahi, H. Reliability analysis for stress–strength model from inverted exponentiated Rayleigh based on the hybrid censored sample. Int. J. Qual. Reliab. Manag. 2023, 40, 1412–1428. [Google Scholar] [CrossRef]
- Choudhary, N.; Tyagi, A.; Singh, B. Estimation of R = P[Y < X < Z] under Progressive Type-II Censored Data from Weibull Distribution. Lobachevskii J. Math. 2021, 42, 318–335. [Google Scholar] [CrossRef]
- Renyi, A. On measures of entropy and information. Math. Stat. Probab. 1961, 1, 547–561. [Google Scholar]
- Efron, B. Bootstrap Methods: Another Look at the Jackknife. Ann. Stat. 1979, 7, 1–26. [Google Scholar] [CrossRef]
- Henningsen, A.; Toomet, O. MaxLik: A package for maximum likelihood estimation in R. Comput. Stat. 2011, 26, 443–458. [Google Scholar] [CrossRef]
- Mann, S.P. Introductoty Statistics; John Wiley & Sons: New York, NY, USA, 2016. [Google Scholar]
- Gupta, R.D.; Kundu, D. A new class of weighted exponential distributions. Statistics 2009, 43, 621–634. [Google Scholar] [CrossRef]
- Bakouch, H.S.; Jazi, M.A.; Nadarajah, S. A new discrete distribution. Statistics 2014, 48, 200–240. [Google Scholar] [CrossRef]
- Poisson, S.D. Recherches sur la Probabilité des Jugements en Matière Criminelle et en Matière Civile: Précédées des Règles Générales du Calcul des Probabilités; Bachelier: Paris, France, 1837. [Google Scholar]
- Johnson, N.L.; Kemp, A.W.; Kotz, S. Univariate Discrete Distributions; John Wiley & Sons: New York, NY, USA, 2005. [Google Scholar]
- Nekoukhou, V.; Alamatsaz, M.H.; Bidram, H. Discrete generalized exponential distribution of a second type. Statistics 2013, 47, 876–887. [Google Scholar] [CrossRef]
- El-Morshedy, M.; Eliwa, M.S.; Altun, E. Discrete Burr-Hatke distribution with properties, estimation methods and regression model. IEEE Access 2020, 8, 74359–74370. [Google Scholar] [CrossRef]
- Almalki, S.J.; Nadarajah, S. A new discrete modified Weibull distribution. IEEE Trans. Reliab. 2014, 63, 68–80. [Google Scholar] [CrossRef]
- Marinho, P.R.D.; Silva, R.B.; Bourguignon, M.; Cordeiro, G.M.; Nadarajah, S. AdequacyModel: An R package for probability distributions and general purpose optimization. PLoS ONE 2019, 14, e0221487. [Google Scholar] [CrossRef] [PubMed]
Disclaimer/Publisher’s Note: The statements, opinions and data contained in all publications are solely those of the individual author(s) and contributor(s) and not of MDPI and/or the editor(s). MDPI and/or the editor(s) disclaim responsibility for any injury to people or property resulting from any ideas, methods, instructions or products referred to in the content. |
© 2023 by the authors. Licensee MDPI, Basel, Switzerland. This article is an open access article distributed under the terms and conditions of the Creative Commons Attribution (CC BY) license (https://creativecommons.org/licenses/by/4.0/).