Preassigned-Time Bipartite Flocking Consensus Problem in Multi-Agent Systems
Abstract
1. Introduction
2. Preliminaries and Problem Formulation
2.1. Preliminaries
2.2. Problem Statement
- (1)
- For any , we have that and for , where if , ; otherwise , and and are a bipartition of V in Definition 1. Moreover, the settling time is a constant which can be preassigned according to practical requirement.
- (2)
- We can find a positive constant (the diameter of the cluster) such that , for any , , where , stands for 2-norm.
3. Preassigned-Time Bipartite Flocking Consensus
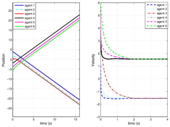
4. Simulations
5. Conclusions
6. Notations
Author Contributions
Funding
Conflicts of Interest
References
- Ha, S.Y.; Ko, D.; Zhang, Y. Critical coupling strength of the Cucker-Smale model for flocking. Math Models Methods Appl. Sci. 2017, 27, 1051–1087. [Google Scholar] [CrossRef]
- Cho, J.; Ha, S.-Y.; Huang, F.; Jin, C.; Ko, D. Emergence of bi-cluster flocking for agent-based models with unit speed constraint. Anal. Appl. 2016, 14, 39–73. [Google Scholar] [CrossRef]
- Cho, J.; Ha, S.-Y.; Huang, F. Emergence of bi-cluster flocking for the Cucker-Smale model. Math. Model. Methods Appl. Sci. 2016, 26, 1191–1218. [Google Scholar] [CrossRef]
- Ru, L.; Xue, X. Multi-cluster flocking behavior of the Hierarchical Cucker-Smale Mode. J. Frankl. Inst. 2017, 354, 2371–2392. [Google Scholar] [CrossRef]
- Ha, S.; Ko, D.; Zhang, Y.; Zhang, X. Emergent dynamics in the interactions of Cucker-Smale ensembles. Kinet. Relat. Model. 2017, 10, 689–723. [Google Scholar] [CrossRef]
- Liu, H.; Wang, X.; Huang, Y.; Liu, Y. A new class of fixed-time bipartite flocking protocols for multi-agent systems. Appl. Math. Model. 2020, 84, 501–521. [Google Scholar] [CrossRef]
- Yu, J.; Yu, S. An improved fixed-time bipartite flocking protocol for nonlinear multi-agent systems. Int. J. Control 2020, 95, 900–905. [Google Scholar] [CrossRef]
- Deng, Q.; Wu, J.; Han, T.; Yang, Q.; Cai, X. Fixed-time bipartite consensus of multi-agent systems with disturbances. Phys. A 2019, 516, 37–49. [Google Scholar] [CrossRef]
- Liu, X.; Cao, J.; Xie, C. Finite-time and fixed-time bipartite consensus of multi-agent systems under a unified discontinuous control protocol. J. Frankl. Inst. 2019, 356, 734–751. [Google Scholar] [CrossRef]
- Chen, G.; Lewis, F.; Xie, L. Finite-time distributed consensus via binary control protocols. Automatica 2011, 47, 1962–1968. [Google Scholar] [CrossRef]
- Ning, B.; Han, Q. Prescribed finite-time consensus tracking for multi-agent systems with nonholonomic chained-form dynamics. IEEE Trans. Autom. Control. 2019, 64, 1686–1693. [Google Scholar] [CrossRef]
- Ning, B.; Han, Q.; Zuo, Z.; Jin, J.; Zheng, J. Collective behaviors of mobile robots beyond the nearest neighbor rules with switching topology. IEEE. Trans. Cybern. 2018, 48, 1577–1590. [Google Scholar] [CrossRef]
- Zhan, X.; Wu, J.; Jiang, T.; Jiang, X. Optimal performance of networked control systems under the packet dropouts and channel noise. ISA Trans. 2015, 58, 214–221. [Google Scholar] [CrossRef]
- Zhan, X.; Cheng, L.; Wi, J.; Yang, Q.; Han, T. Optimal modified performance of MIMO networked control systems with multi-parameter constraints. ISA Trans. 2019, 84, 111–117. [Google Scholar] [CrossRef]
- Liu, H.; Wang, X.; Liu, Y.; Li, X. On non-collision flocking and line-shaped spatial configuration for a modified singular Cucker-Smale model. Commun. Nonlinear Sci. Numer. Simulat. 2019, 75, 280–301. [Google Scholar] [CrossRef]
- Wang, X.; Wang, L.; Wu, J. Impacts of time delay on flocking dynamics of a two-agent flock model. Commun. Nonlinear Sci. Numer. Simulat. 2019, 70, 80–88. [Google Scholar] [CrossRef]
- Ahn, S.M.; Choi, H.; Ha, S.Y.; Lee, H. On collision-avoiding initial configurations to Cucker-Smale type flocking models. Commun. Math. Sci. 2012, 10, 625–643. [Google Scholar] [CrossRef]
- Hu, C.; Jiang, H. Special Functions-Based Fixed-Time Estimation and Stabilization for Dynamic Systems. IEEE Trans. Syst. Man, Cybern. Syst. 2021, 52, 3251–3262. [Google Scholar] [CrossRef]
- Liu, D.; Liu, Z.; Chen, C.P. Prescribed-time containment control with prescribed performance for uncertain nonlinear multi-agent systems. J. Frankl. Inst. 2020, 358, 1782–1811. [Google Scholar] [CrossRef]
- Wang, Y.; Song, Y.; Hill, D.J. Prescribed-time consensus and containment control of networked multiagent systems. IEEE Trans. Cybern. 2018, 49, 1138–1147. [Google Scholar] [CrossRef]
- Chen, X.; Yu, H.; Hao, F. Prescribed-time event-triggered bipartite consensus of multiagent systems. IEEE Trans. Cybern. 2020, 52, 2589–2598. [Google Scholar] [CrossRef] [PubMed]
- Xiao, Q.; Liu, H.; Wang, X.; Huang, Y. A note on the fixed-time bipartite flocking for nonlinear multi-agent systems. Appl. Math. Lett. 2020, 99, 105973. [Google Scholar] [CrossRef]
- Altafini, C. Consensus problems on networks with antagonistic interactions. IEEE. Trans. Automat. Control. 2013, 58, 935–946. [Google Scholar] [CrossRef]
- Hardy, G.; Littlewood, J. Inequalities; Cambridge University Press: Cambridge, UK, 1952. [Google Scholar]
- Aldana-López, R.; Gómez-Gutiérrez, D.; Jiménez-Rodrguez, E.; Sánchez-Torres, J.D.; Defoort, M. Enhancing the settling time estimation of a class of fixed-time stable systems. Int. J. Robust. Nonlin. 2019, 29, 4135–4148. [Google Scholar] [CrossRef]
- Jäntschi, L. The eigenproblem translated for alignment of molecules. Symmetry 2019, 11, 1027. [Google Scholar] [CrossRef]





Disclaimer/Publisher’s Note: The statements, opinions and data contained in all publications are solely those of the individual author(s) and contributor(s) and not of MDPI and/or the editor(s). MDPI and/or the editor(s) disclaim responsibility for any injury to people or property resulting from any ideas, methods, instructions or products referred to in the content. |
© 2023 by the authors. Licensee MDPI, Basel, Switzerland. This article is an open access article distributed under the terms and conditions of the Creative Commons Attribution (CC BY) license (https://creativecommons.org/licenses/by/4.0/).
Share and Cite
Cheng, X.; Yu, J.; Chen, X.; Yu, J.; Cheng, B. Preassigned-Time Bipartite Flocking Consensus Problem in Multi-Agent Systems. Symmetry 2023, 15, 1105. https://doi.org/10.3390/sym15051105
Cheng X, Yu J, Chen X, Yu J, Cheng B. Preassigned-Time Bipartite Flocking Consensus Problem in Multi-Agent Systems. Symmetry. 2023; 15(5):1105. https://doi.org/10.3390/sym15051105
Chicago/Turabian StyleCheng, Xiejun, Jiashang Yu, Xiurong Chen, Jiaju Yu, and Bing Cheng. 2023. "Preassigned-Time Bipartite Flocking Consensus Problem in Multi-Agent Systems" Symmetry 15, no. 5: 1105. https://doi.org/10.3390/sym15051105
APA StyleCheng, X., Yu, J., Chen, X., Yu, J., & Cheng, B. (2023). Preassigned-Time Bipartite Flocking Consensus Problem in Multi-Agent Systems. Symmetry, 15(5), 1105. https://doi.org/10.3390/sym15051105
