Next Article in Journal
Application of Diversity-Maintaining Adaptive Rafflesia Optimization Algorithm to Engineering Optimisation Problems
Previous Article in Journal
Impact of White Noise on the Exact Solutions of the Stochastic Riemann Wave Equation in Quantum Mechanics
Previous Article in Special Issue
The Implicit Numerical Method for the Radial Anomalous Subdiffusion Equation
 
 
Font Type:
Arial Georgia Verdana
Font Size:
Aa Aa Aa
Line Spacing:
Column Width:
Background:
Article

Solving Fractional Gas Dynamics Equation Using Müntz–Legendre Polynomials

1
Department of Mathematics, College of Science, King Saud University, Riyadh 11451, Saudi Arabia
2
Engineering School (DEIM), University of Tuscia, Largo dell’Università, 01100 Viterbo, Italy
*
Author to whom correspondence should be addressed.
Symmetry 2023, 15(11), 2076; https://doi.org/10.3390/sym15112076
Submission received: 18 October 2023 / Revised: 6 November 2023 / Accepted: 13 November 2023 / Published: 16 November 2023

Abstract

:
To solve the fractional gas dynamic equation, this paper presents an effective algorithm using the collocation method and Müntz-Legendre (M-L) polynomials. The approach chooses a solution of a finite-dimensional space that satisfies the desired equation at a set of collocation points. The collocation points in this study are selected to be uniformly spaced meshes or the roots of shifted Legendre and Chebyshev polynomials. Müntz-Legendre polynomials have the interesting property that their fractional derivative is also a Müntz-Legendre polynomial. This property ensures that these bases do not face the problems associated with using the classical orthogonal polynomials when solving fractional equations using the collocation method. The numerical simulations illustrate the method’s effectiveness and accuracy.

1. Introduction

Our goal is to use fractional M-L polynomials to numerically solve the fractional gas dynamic equation (FGDE)
α w t α + w w x w ( 1 w ) = g ( x , t ) , α ( 0 , 1 ] ,
subjected to conditions
w ( x , 0 ) = f 1 ( x ) , x [ 0 , 1 ] ,
w ( 0 , t ) = f 2 ( t ) , w ( 1 , t ) = f 3 ( t ) , t [ 0 , 1 ] ,
where g : [ 0 , 1 ] × [ 0 , 1 ] R is assumed to be continuous, and α indicates the order of the fractional derivative in the Caputo sense. We assume that the unknown solution w ( x , t ) is a sufficiently smooth function. It is obvious that when α = 1 , then the desired equation turns into the classical gas dynamic equation. Also, it is worth mentioning that the dimensionless form of the equation is considered, and we can extend the presented method to any desired interval.
Positive integer derivatives have been a fundamental component of modeling partial differential equations (PDEs) for many years. In recent years, there has been a growing tendency to use fractional derivatives in modeling physical phenomena. This approach offers many advantages, such as improved accuracy and the ability to model a wider range of systems with greater flexibility. In fact, fractional differential equations are the generalization of differential equations of integer order. On the other hand, these equations describe nonlocal relationships in space and time using power-law memory kernels. According to the definition of a fractional derivative, it is worth noting that the fractional derivative at a point depends on all values of the function. Thus, it is expected that the fractional derivative operation involves some sort of boundary conditions, involving information on the function further out [1]. As we know, when the fractional order approaches an integer, the fractional derivative converges to the ordinary derivative. So, we can conclude that the fractional differential equations are close to the real modeling of phenomena, and the differential equations of integer order are the limits of them. Meanwhile, we can mention some applications of these equations, such as anomalous transport [2], solid mechanics [3], colored noise [4], economics [5], continuum and statistical mechanics [6], earthquakes [7], fluid-dynamic traffic model [8], bioengineering [9,10,11], and continuum and statistical mechanics [6]. There are several analytical methods available to solve these types of equations, such as [12,13,14]. When dealing with more complicated equations, analytical methods become impractical. In such cases, numerical approaches can be used to address this shortcoming. We mention some of these methods, including the finite difference method [15], the collocation method [16,17,18,19], the Galerkin method [20,21], the finite element method [22], the Tau method [23], etc.
There are differences between classical Newtonian derivatives and fractional derivatives. Fractional derivatives have multiple definitions, which can result in different outcomes, even for smooth functions. Some of these definitions can be expressed through a fractional integral. Due to the incompatibility of these definitions, it is important to specify which definition is being used. Here, we can mention some famous fractional derivatives, including the Riemann–Liouville, Caputo, and Grünwald–Letnikov fractional derivatives. The Caputo and Riemann–Liouville derivatives are the main derivatives used in the study of fractional differential equations. The two have the advantage of being equal when it comes to the study of Dirichlet problems on a finite interval. It follows that the theory from either area can be used in the other during an investigation, thus allowing for more generality. In contrast to the Riemann–Liouville fractional derivative, when solving differential equations using Caputo’s definition, it is not necessary to define the fractional order initial conditions. In other words, the main advantage of the Caputo approach is that the initial and boundary conditions for differential equations with the Caputo fractional derivative are analogous to the case of integer order differential equations. So, they can be interpreted in the same way. Therefore, it is often used in practical applications [24,25,26,27].
Several physical laws, including the conservation of energy, conservation of mass, and conservation of momentum, are related mathematically to the gas dynamical equation. To point out some applications of this equation, we can mention shock fronts and contact discontinuities. Gas dynamics is a part of fluid mechanics that studies how gas flows and how it affects basic structures. It uses the same ideas as continuum flow and hydrodynamics [28]. Although one can find some analytical methods in the literature to investigate the solution of this equation, their number is very limited. Here, we mention some of them. Igbal et al. [29] utilized the homotopy perturbation transformation and iterative transformation to obtain the analytical solution of the FGDE. In [30], the authors proposed a differential transform scheme to find the analytical solution of the FGDE. Elzaki transform homotopy perturbation has been used for solving the FGDE in [31]. Several other methods exist to solve the FGDE, including the natural decomposition approach [32], the variational iteration method [33,34], the Adomian decomposition method [35], the fractional homotopy technique [36], and the q-homotopy analysis method [37]. Among the numerical methods for solving the desired equation, we could only find the B-spline collocation method [38,39]. The available numerical methods for solving this equation are quite limited. For this reason, we attempt to present a numerical method to solve this equation in this work.
In this paper, we use the collocation method with Müntz–Legendre polynomials to solve the FGDE. The fundamental idea behind this method is to consider the unknown solution w as a linear combination of basis functions. Then, we try to find a solution that satisfies the desired equation at the collocation points. However, using orthogonal bases to solve fractional equations, unlike equations with integer derivatives, can cause problems in using the collocation method. The solutions to the fractional differential Equation (1) may contain fractional-power terms, which cannot be represented by classical orthogonal polynomials. When this happens, using classical polynomial bases may lead to poor convergence rates in numerical approximations. Also, when using a collocation method, it is necessary for the trial function’s derivatives to be expressed in terms of the same trial bases. However, classical polynomial fractional derivatives are not polynomials. Therefore, we cannot approximate the fractional derivatives effectively using the classical orthogonal polynomials [24]. As mentioned, the Müntz–Legendre polynomials, which were introduced in [40], are utilized in this approach. These bases have a vital feature in solving fractional differential equations: their fractional derivative is the Müntz–Legendre polynomial.
The rest of the paper is organized in the following way: a brief overview of Müntz–Legendre polynomials is given in Section 2. Also, an evaluation of the fractional derivative of these polynomials is presented in this section. In Section 3, the collocation method is implemented for the FGDE. Section 4 contains results from various numerical experiments. Finally, we complete this work with a conclusion in Section 5.

2. Müntz–Legendre Polynomials

Considering L = { 0 = η 0 < η 1 < } as an increasing sequence, we introduce the space S M ( L ) such that it is spanned by
S M ( L ) = s p a n { x η m , m = 0 , 1 , M } .
Assume that η m : = m α , where α R . With this assumption, the fractional M–L polynomials can be denoted as [41]
L m , α ( x ) = i = 0 m l m , i x η i , x [ 0 , 1 ] , m = 0 , 1 , M ,
in which the coefficients l m , i ( i = 0 , 1 , , m ) are calculated by
l m , i : = j = 0 i 1 ( η m + η j + 1 ) j = 0 , j m i ( η m η j ) .
It is worth noting that there is another representation for fractional M-L polynomials, as follows.
L m , α ( x ) = i = 0 m l ^ m , i x η i , x [ 0 , 1 ] , m = 0 , 1 , M ,
with coefficients
l ^ m , i = ( 1 ) m i Γ ( 1 α + m + i ) i ! ( m i ) ! Γ ( 1 α + i ) .
We can encounter issues when expressing fractional M-L polynomials in the forms mentioned above. These issues have been addressed in [42]. However, we can use the relationship between M-L and Jacobi polynomials to establish a recurrence formula, which we present below. Before expressing the recurrence formula, let us briefly review Jacobi polynomials.
The Jacobi polynomials in the explicit form can be expressed as [43]
J m ( a , b ) ( x ) : = Γ ( a + m + 1 ) m ! Γ ( a + b + m + 1 ) i = 0 m m i Γ ( a + b + m + i + 1 ) Γ ( a + i + 1 ) x 1 2 i .
As we know, the Jacobi polynomials are orthogonal with respect to the weight function ω = ( 1 x ) a ( 1 + x ) b on [ 1 , 1 ] . Among the famous functions of this family of polynomials, one can mention the Chebyshev and Legendre functions by selecting a = b = 1 / 2 and a = b = 0 , respectively. There is also a recurrence relation that is used to determine the Jacobi polynomials, viz.,
J 0 ( a , b ) ( x ) : = 1 , J 1 ( a , b ) ( x ) : = 1 2 ( a b ) + ( a + b + 2 ) x , J m + 1 ( a , b ) ( x ) : = c 1 , m ( a , b ) J m ( a , b ) ( x ) c 2 , m ( a , b ) J m 1 ( a , b ) ( x ) , m = 1 , , M 1 ,
in which the coefficients c 1 , m and c 2 , m can be obtained as follows:
c 1 , m ( a , b ) : = ( 2 m + a + b + 1 ) ( 2 m + a + b ) ( 2 m + a + b + 2 ) x + a 2 b 2 2 ( m + 1 ) ( m + a + b + 1 ) ( 2 m + a + b ) , c 2 , m ( a , b ) : = ( m + a ) ( m + b ) ( 2 m + a + b + 2 ) ( m + 1 ) ( m + a + b + 1 ) ( 2 m + a + b ) .
Considering the aforementioned expression of Jacobi polynomials, there is an explicit relation between the M-L and Jacobi polynomials as follows [41].
L m , α ( x ) = J m 0 , 1 / α 1 ( 2 x α 1 ) .
Using the relation between M-L and Jacobi polynomials (Equation (9)) and Equation (8), we can obtain the following recurrence relation, viz.,
L 0 , α ( x ) : = 1 , L 1 , α ( x ) : = 1 α + 1 x α 1 α , L m + 1 , α ( x ) : = c 1 , m ( 0 , 1 / α 1 ) ( 2 x α 1 ) L m , α ( x ) c 2 , m ( 0 , 1 / α 1 ) L m 1 , α ( x ) , m = 1 , , M 1 .

2.1. Caputo Fractional Derivative of Fractional M-L Polynomials

Before discussing the action of the Caputo fractional derivative (CFD) operator on fractional M-L polynomials, let us first define some concepts and preliminary definitions of fractional calculus.
Assume that A C α ( [ 0 , 1 ] ) is a space of functions such that
A C α [ 0 , 1 ] = { w : [ 0 , 1 ] C , & D ( α 1 ) ( w ) A C [ 0 , 1 ] } ,
in which D is the derivative operator. As we know, if w ( x ) A C α [ 0 , 1 ] , then the CFD
c D 0 α ( w ) ( x ) = 1 Γ ( κ α ) 0 x w ( κ ) ( t ) d t ( x t ) α κ + 1 = : I 0 κ α D κ ( w ) ( x ) , κ = [ α ] + 1 ,
exists for almost every x [ 0 , 1 ] [44]. Here, I 0 α indicates the fractional integral (FI) operator that is determined in the following form.
I 0 α ( w ) ( x ) : = 1 Γ ( α ) 0 x ( x ζ ) α 1 w ( ζ ) d ζ , x [ 0 , 1 ] .
Lemma 1
([44]). There is an estimation of the bound of the FI operator I 0 α in L q [ 0 , 1 ] , viz.,
I 0 β ( w ) q 1 Γ ( β + 1 ) w q , 1 q .
Due to Equation (11), it is easy to verify that
c D 0 α ( x γ ) = Γ ( γ + 1 ) Γ ( γ α + 1 ) x γ α .
Now, everything is ready to obtain the CFD of fractional M-L polynomials. According to Equation (13) and one of the definitions of fractional M-L polynomials that are specified in Equations (4) and (6), one can write
c D 0 α ( L m , α ) ( x ) = i = 0 m l m , i x η i α , x [ 0 , 1 ] , m = 0 , 1 , M ,
where l m , i : = Γ ( η i + 1 ) Γ ( η i α + 1 ) l m , i or l m , i : = Γ ( η i + 1 ) Γ ( η i α + 1 ) l ^ m , i . It is to be noted that both the functions L m , α and c D 0 α ( L m , α ) belong to space S M ( L ) . The critical issue that is addressed in [42] (coefficients become large when m increases), occurs for c D 0 α ( L m , α ) too. To avoid this problem, a stable numerical evaluation of c D 0 α ( L m , α ) can be introduced (refer to [41]). This technique is started by the relation between the M-L and Jacobi polynomials (Equation (9)) and a well-known formula for the derivative of Jacobi polynomials, i.e.,
d d x J m ( a , b ) ( x ) = 1 2 ( m + a + b + 1 ) J m 1 ( a + 1 , b + 1 ) ( x ) .
By performing a straightforward calculation, we can confirm that
c D 0 α ( L m , α ) = 1 + m α α ! Γ ( 1 α ) 0 1 ( 1 t 1 / α ) α J m 1 ( 1 , 1 / α ) ( 2 x α t 1 ) d t .
Motivated by [41], the Gaussian quadrature rule can be used to evaluate the integral presented in Equation (16). To do this, the function ( 1 t 1 / α ) α is considered a weight function, and using the Chebyshev algorithm [45] via moments μ n : = α B ( α n + α , 1 α ) ( n = 0 , , 2 m 1 ), where B states the beta function, the Gaussian quadrature weights ω i and roots x i can be calculated. By these assumptions, the CFD of fractional M-L polynomials can be computed as
c D 0 α ( L m , α ) = 1 + m α α ! Γ ( 1 α ) i = 1 m ω i J m 1 ( 1 , 1 / α ) ( 2 x α x i 1 ) .

2.2. Function Approximation

The fractional M-L polynomials are not orthonormal. However, we have an orthogonality relation for these polynomials as follows.
L m , α , L m , α = 0 1 L m , α ( x ) L m , α ( x ) d x = 1 2 m α + 1 δ m , m ,
in which δ indicates the Kronecker function, and . , . states the inner product. Therefore, any function w ( x ) C ( [ 0 , 1 ] ) can be approximated by
w ( x ) w M ( x ) = m = 1 M w m L m , α ( x ) ,
where the coefficient w m is calculated by
w m = ( 2 m α + 1 ) w , L m , α .
Theorem 1.
(cf. Theorem 1 [41]). Given α ( 0 , 1 ) , assume that c D 0 m α C [ 0 , 1 ] for m = 0 , , M . Then, the error of approximation (Equation (20)) can be bounded as
w ( x ) w M ( x ) 2 C Γ ( M α + 1 ) 2 M α + 1 ,
with max x [ 0 , 1 ] | c D 0 M α ( x ) | C .
In the sequel, the fractional M-L polynomials are extended to two dimensions on domain [ 0 , 1 ] × [ 0 , 1 ] . Assume that w ( x , t ) L 1 ( [ 0 , 1 ] × [ 0 , 1 ] ) ; then, it is easy to expand it based on fractional M-L polynomials as
w ( x , t ) w M ( x , t ) = m = 1 M m = 1 M w m , m L m , α ( x ) L m , α ( x ) ,
in which the coefficient w m , m is obtained by
w m , m = ( 2 m α + 1 ) ( 2 m α + 1 ) w , L m , α L m , α = ( 2 m α + 1 ) ( 2 m α + 1 ) 0 1 0 1 w ( x , t ) L m , α ( x ) L m , α ( t ) d t d x .

3. Collocation Method

The collocation method is one of the spectral methods that is used widely to solve a variety of equations. The candidate solutions are chosen to be in a finite-dimensional space, which in our study is the space S M ( L ) . Considering a number of points, known as collocation points, the chosen solution must satisfy the given equation at these collocation points [46].
First, let us approximate the unknown solution w ( x , t ) of the FGDE as a finite sum
w ( x , t ) w M ( x , t ) = m = 1 M m = 1 M w m , m L m , α ( x ) L m , α ( t ) ,
where the unknown coefficients w m , m for m , m = 1 , , M must be specified. Substituting this approximation into Equation (1) and using Equations (15) and (17), we can introduce the residual
r ( x , t ) : = α w M t α + w M w M x w M ( 1 w M ) g ( x , t ) = 0 ,
where
α w M t α = m = 1 M m = 1 M w m , m L m , α ( x ) c D 0 α ( L m , α ) ( t ) = m = 1 M m = 1 M w m , m L m , α ( x ) 1 + m α α ! Γ ( 1 α ) i = 1 m ω i J m 1 ( 1 , 1 / α ) ( 2 t α x i 1 ) ,
and
w M x = m = 1 M m = 1 M w m , m L m , α ( t ) D ( L m , α ) ( x ) = m = 1 M m = 1 M w m , m ( m α + 1 ) x α 1 L m , α ( t ) J m ( 1 , 1 / α ) ( 2 x α 1 ) .
Our goal is to minimize the residual function r ( x , t ) to zero. We generate a system of nonlinear algebraic equations R ( w ) = 0 by selecting the collocation points { τ i } i = 1 M [ 0 , 1 ] that satisfy r ( τ i , τ j ) = 0 . We replace some entries of this system with
[ R ( w ) ] 1 , j = f 1 ( τ j , 0 ) , [ R ( w ) ] i , 1 = f 2 ( 0 , τ j ) , [ R ( w ) ] i , M = f 3 ( 1 , τ j ) , j = 1 , , M ,
We can determine the unknown coefficients w i , j after solving this system using the Newton method. The collocation points in our study are uniformly spaced meshes { i M + 1 } i = 1 M or the roots of shifted Chebyshev and Legendre polynomials [47]. As mentioned above, to solve the aforementioned nonlinear system, we use the Newton method. It is worth noting that Newton’s method is implemented with a starting point w = O (null vector), and the termination criterion is selected to be the absolute residual, which is less than the given tolerance 10 16 .
In a more abstract form, there is a projection operator Q M such that it maps C ( [ 0 , 1 ] × [ 0 , 1 ] ) onto S M ( L × L ) . On the other hand, given w C ( [ 0 , 1 ] × [ 0 , 1 ] ) , the projection Q M ( w ) is an element of S M ( L × L ) that interpolates w at the points { ( τ i , τ j ) } i , j = 1 M [ 0 , 1 ] × [ 0 , 1 ] . Note that Q M r = 0 , if and only if r ( τ i , τ j ) = 0 for { ( τ i , τ j ) } i , j = 1 M [ 0 , 1 ] × [ 0 , 1 ] . Considering this preface, the condition r ( τ i , τ j ) = 0 can be written as
Q M r = 0 .
Equivalently, we have
Q M α w M t α + w M w M x w M ( 1 w M ) = Q M ( g ) .
We summarize the method algorithmically in the following seven steps:
(1)
Choose M;
(2)
Construct the Müntz–Legendre polynomials of order M (refer to Equation (10));
(3)
Compute the CFD of fractional M-L polynomials c D 0 α ( L m , α ) (refer to Equation (17));
(4)
Approximate w ( x , t ) using w M ( x , t ) (refer to Equation (19));
(5)
Put w n ( x , t ) back into (1), and compute the residual r ( x , t ) (refer to Equation (24));
(6)
Obtain the nonlinear system R ( w ) = 0 using the collocation points x j ( j = 1 , , M );
(7)
Solve the nonlinear system using the Newton method.

4. Numerical Simulations and Results

Some illustrative examples are provided in this section to show the effectiveness and accuracy of the method.
All examples are carried out with the combined use of Maple and Matlab software with an Intel(R) Core(TM) i7-7700k CPU 4.20 GHz (RAM 32 GB).
Example 1.
In this example, using the presented method, we focus on solving the following equation [30].
α w t α + w w x w ( 1 w ) = 0 , α ( 0 , 1 ] ,
with conditions
w ( x , 0 ) = e x , w ( 0 , t ) = E α ( 0 ) , a n d w ( 1 , t ) = E α ( 1 ) , ( x , t ) [ 0 , 1 ] × [ 0 , 1 ] ,
where E α ( t ) denotes the Mittag–Leffler function and is specified by
E α ( t ) = k = 0 t k Γ ( 1 + k α ) .
The exact solution is w ( x , t ) = e x E α ( t α ) [30]. Note that to compare the approximate solution with the exact solution, 100 terms of the aforementioned expansion are considered in this paper.
Table 1, Table 2 and Table 3 are tabulated to demonstrate the L 2 -error at various times and using different values of m. In these tables, L 2 -errors are made for different choices of collocation points. The tables show compatibility between the analytical and numerical solutions. It is evident that increasing the values of m leads to more accurate numerical results. The decreasing values of the L 2 -errors indicate that we can easily understand this situation. In Table 4 and Table 5, a comparison between our method and those in [38,39] is shown. Our method achieves higher accuracy. To illustrate the influence of the parameter m on L-errors, Figure 1 is plotted. This figure is further evidence of the effectiveness and accuracy of the presented method. In this figure, we also see the effect of choosing different collocation points.
As we know, the Caputo fractional derivative of a function w tends to integer derivative as α κ , viz.
lim α κ c D 0 α w ( x ) = w ( η ) ( x ) , lim α κ 1 c D 0 α w ( x ) = w ( κ 1 ) ( x ) w ( κ 1 ) ( 0 ) .
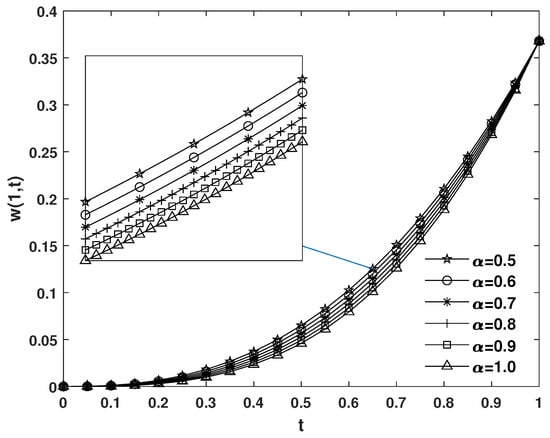
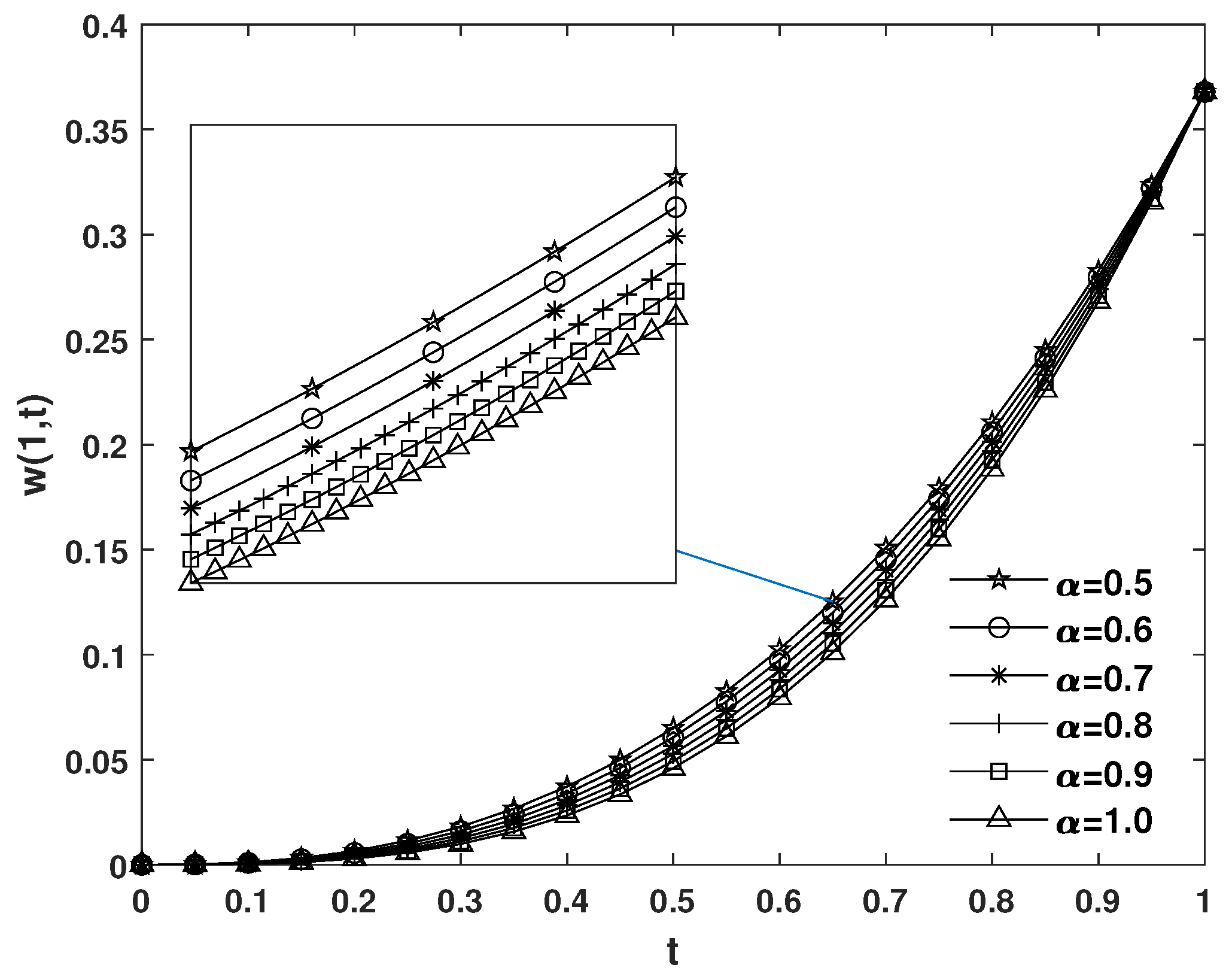
Our results illustrated in Figure 2, obviously, demonstrate this effect. We can see that when α κ , the approximate solution with increasing α tends to the results for κ.
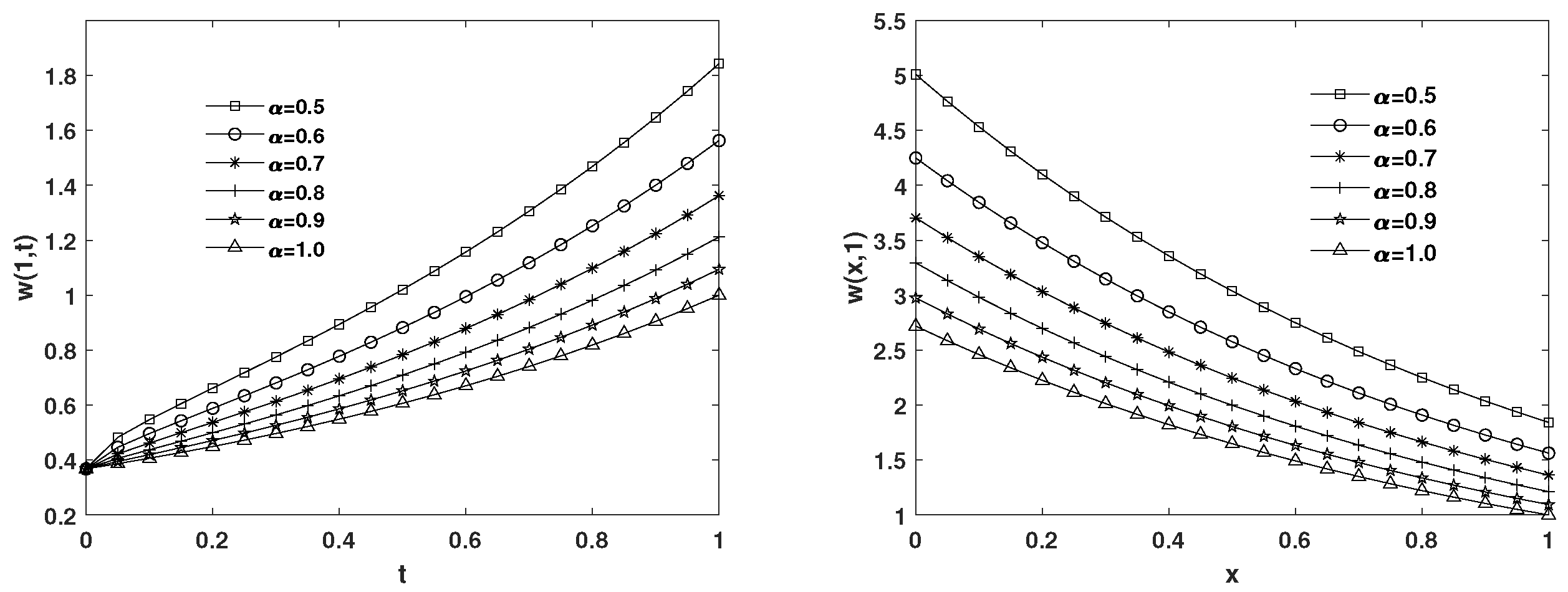
The approximate solution and absolute error with different choices of collocation points are demonstrated in Figure 3 and Figure 4 for α = 0.7 and α = 1 , respectively. We can see that when the derivative order is aninteger, the use of Chebyshev nodes provides better results, and when the order of the derivative is a non-integer, uniform nodes have better results.
Example 2.
We assign the second example to the non-homogeneous FGDE as
α w t α + w w x w ( 1 w ) = Γ ( 3 + α ) 2 t 2 e x t 2 + α e 2 x t 2 + α e x + t 4 + 2 α e 2 x , α ( 0 , 1 ] ,
with conditions
w ( x , 0 ) = 0 , w ( 0 , t ) = t 2 + α , a n d w ( 1 , t ) = 1 e t 2 + α , ( x , t ) [ 0 , 1 ] × [ 0 , 1 ] .
The exact solution is w ( x , t ) = t 2 + α e x .
Table 6, Table 7 and Table 8 are tabulated to demonstrate the L 2 -error at various times and using different values of M. In these tables, L 2 -errors are made for different choices of collocation points. Similar to Example 1, we observe that when the parameter m increases, the error reduces. To give evidence of the effectiveness and accuracy of the presented method and the effect of choosing different collocation points, Figure 5 is plotted. Figure 6 illustrates that when α κ , the approximate solutions tend to the solution obtained by choosing α = κ . The approximate solution and absolute error with different choices of collocation points are demonstrated in Figure 7 for α = 0.8 . We can see that the Chebyshev nodes provide better results.

5. Conclusions

A numerical scheme utilizing the collocation method is applied to solve the well-known gas dynamical equation with Caputo time-fractional derivatives. The bases used in the implementation of the method are Müntz–Legendre polynomials, which we not only introduce but also obtain their properties and the acting of derivative and fractional derivative operators on them. The collocation points in this study are uniformly spaced meshes or the roots of shifted Legendre and Chebyshev polynomials. The numerical simulations illustrate the method’s effectiveness and accuracy. The proposed method offers superior outcomes compared to some existing methods. The method proposed here has the potential to solve both fractional and non-fractional equations with ease. Its simplicity in implementation, combined with its high efficiency and significant accuracy, make it a strong candidate for solving the same equations.
The presented method is one of the few fully discrete methods that have been used to solve this type of equation and has provided high accuracy results. The previous methods were mostly semi-analytical methods [28,29,30,31,32,33,34,35]. This method has also provided better results compared to the B-spline collocation method [38,39], and this is due to the use of bases in the form of power functions with fractional powers.

Author Contributions

Conceptualization, H.B.J. and C.C.; methodology, H.B.J. and C.C.; software, H.B.J. and C.C.; validation, H.B.J. and C.C.; formal analysis, H.B.J. and C.C.; investigation, H.B.J. and C.C.; resources, H.B.J. and C.C.; writing—original draft preparation, H.B.J. and C.C.; writing—review and editing, H.B.J. and C.C.; visualization, H.B.J. and C.C.; supervision, H.B.J.; funding acquisition, H.B.J. All authors have read and agreed to the published version of the manuscript.

Funding

This project was supported by the Researchers Supporting Project, number (RSP2023R210), King Saud University, Riyadh, Saudi Arabia.

Institutional Review Board Statement

Not applicable.

Informed Consent Statement

Not applicable.

Data Availability Statement

Data are contained within the article.

Conflicts of Interest

The authors declare that they have no conflict of interest.

References

  1. Liu, F.; Meerschaert, M.M.; Momani, S.; Leonenko, N.N.; Chen, W.; Agrawal, O.P. Fractional Differential Equations. Int. J. Differ. Equ. 2010, 2010, 215856. [Google Scholar] [CrossRef]
  2. Metzler, R.; Klafter, J. The restaurant at the end of the random walk: Recent developments in the description of anomalous transport by fractional dynamics. J. Phys. A 2004, 37, 161–208. [Google Scholar] [CrossRef]
  3. Rossikhin, Y.A.; Shitikova, M.V. Applications of fractional calculus to dynamic problems of linear and nonlinear hereditary mechanics of solids. Appl. Mech. Rev. 1997, 50, 15–67. [Google Scholar] [CrossRef]
  4. Mandelbrot, B. Some noises with 1/f spectrum, a bridge between direct current and white noise. IEEE Trans. Inform. Theory 1967, 13, 289–298. [Google Scholar] [CrossRef]
  5. Baillie, R.T. Long memory processes and fractional integration in econometrics. J. Econom. 1996, 73, 5–59. [Google Scholar] [CrossRef]
  6. Mainardi, F. Fractional calculus: Some basic problems in continuum and statistical mechanics. In Fractals and Fractional Calculus in Continuum Mechanics; Carpinteri, A., Mainardi, F., Eds.; Springer: New York, NY, USA, 1997; pp. 291–348. [Google Scholar]
  7. He, J.H. Nonlinear oscillation with fractional derivative and its applications. In Proceedings of the International Conference on Vibrating Engineering’98, Dalian, China, 6–9 August 1998; pp. 288–291. [Google Scholar]
  8. He, J.H. Some applications of nonlinear fractional differential equations and their approximations. Bull. Sci. Technol. 1999, 15, 86–90. [Google Scholar]
  9. Magin, R.L. Fractional calculus in bioengineering. Crit. Rev. Biomed. Eng. 2004, 32, 1–104. [Google Scholar] [CrossRef]
  10. Magin, R.L. Fractional calculus in bioengineering—Part 2. Crit. Rev. Biomed. Eng. 2004, 32, 105–193. [Google Scholar] [CrossRef]
  11. Magin, R.L. Fractional calculus in bioengineering—Part 3. Crit. Rev. Biomed. Eng. 2004, 32, 194–377. [Google Scholar]
  12. Alquran, M.; Jaradat, H.M.; Syam, M.I. Analytical solution of the time-fractional Phi-4 equation by using modified residual power series method. Nonlinear Dynam. 2017, 90, 2525–2529. [Google Scholar] [CrossRef]
  13. El-Ajou, A.; Arqub, O.A.; Al Zhour, Z.; Momani, S. New results on fractional power series: Theories and applications. Entropy 2013, 15, 5305–5323. [Google Scholar] [CrossRef]
  14. Qazza, A.; Saadeh, R.; Salah, E. Solving fractional partial differential equations via a new scheme. AIMS Math. 2022, 8, 5318–5337. [Google Scholar] [CrossRef]
  15. Zhang, Y. A finite difference method for fractional partial differential equation. Appl. Math. Comput. 2009, 215, 524–529. [Google Scholar] [CrossRef]
  16. Afarideh, A.; Dastmalchi Saei, F.; Lakestani, M.; Saray, B.N. Pseudospectral method for solving fractional Sturm-Liouville problem using Chebyshev cardinal functions. Phys. Scr. 2021, 96, 125267. [Google Scholar] [CrossRef]
  17. Asadzadeh, M.; Saray, B.N. On a multiwavelet spectral element method for integral equation of a generalized Cauchy problem. BIT 2022, 62, 383–1416. [Google Scholar] [CrossRef]
  18. Bonyadi, S.; Mahmoudi, Y.; Lakestani, M.; Jahangiri rad, M. Numerical solution of space-time fractional PDEs with variable coefficients using shifted Jacobi collocation method. Comput. Methods Differ. Equ. 2023, 11, 81–94. [Google Scholar]
  19. Javidi, M. Chebyshev Spectral Collocation Method for Computing Numerical Solution of Telegraph Equation. Comput. Methods Differ. Equ. 2013, 1, 16–29. [Google Scholar]
  20. Li, C.; Li, Z.; Wang, Z. Mathematical analysis and the local discontinuous Galerkin method for Caputo–Hadamard fractional partial differential equation. J. Sci. Comput. 2020, 85, 41. [Google Scholar] [CrossRef]
  21. Mao, Z.; Shen, J. Efficient spectral–Galerkin methods for fractional partial differential equations with variable coefficients. J. Comput. Phys. 2016, 307, 243–261. [Google Scholar] [CrossRef]
  22. Ford, N.J.; Xiao, J.; Yan, Y. A finite element method for time fractional partial differential equations. Fract. Calc. Appl. Anal. 2011, 14, 454–474. [Google Scholar] [CrossRef]
  23. Youssri, Y.H.; Abd-Elhameed, W.M.; Ahmed, H.M. New fractional derivative expression of the shifted third-kind Chebyshev polynomials: Application to a type of nonlinear fractional Pantograph differential equations. J. Funct. Spaces 2022, 2022, 3966135. [Google Scholar] [CrossRef]
  24. Diethelm, K. The Analysis of Fractional Differential Equations; Springer: Berlin, Germany, 2010. [Google Scholar]
  25. Caputo, M. Linear Models of Dissipation whose Q is almost Frequency Independent-II, Geophys. J. R. Astr. Soc. 1967, 13, 529–539. [Google Scholar] [CrossRef]
  26. Almeida, R.; Bastos, N.R.O.; Monteiro, M.T.T. Modeling some real phenomena by fractional differential equations (Special Issue Paper). Math. Methods Appl. Sci. 2015, 39, 4846–4855. [Google Scholar] [CrossRef]
  27. Sikora, B. Remarks on the Caputo fractional derivative. Minut 2023, 5, 76–84. [Google Scholar]
  28. Elizarova, T.G. Quasi-gas-dynamic Equations. In Quasi-Gas Dynamic Equations; Springer: Berlin/Heidelberg, Germany, 2009. [Google Scholar]
  29. Iqbal, N.; Akgül, A.; Bariq, A.; Mossa Al-Sawalha, M.; Ali, A. On Solutions of Fractional-Order Gas Dynamics Equation by Effective Techniques. J. Funct. Spaces. 2022, 2022, 3341754. [Google Scholar] [CrossRef]
  30. Tamsir, M.; Srivastava, V.K. Revisiting the approximate analytical solution of fractional-order gas dynamics equation. Alex. Eng. J. 2016, 55, 867–874. [Google Scholar] [CrossRef]
  31. Bhadane, P.K.G.; Pradhan, V.H. Elzaki transform homotopy perturbation method for solving Gas Dynamics equation. Int. J. Renew. Energy Technol. 2013, 2, 260–264. [Google Scholar]
  32. Maitama, S.; Kurawa, S.M. An efficient technique for solving gas dynamics equation using the natural decomposition method. Int. Math. Forum 2014, 9, 1177–1190. [Google Scholar] [CrossRef]
  33. Jafari, H.; Hosseinzadeh, H.; Salehpoor, E. A new approach to the gas dynamics equation: An application of the variational iteration method. Appl. Math. Sci. 2008, 2, 2397–2400. [Google Scholar]
  34. Nikkar, A. A new approach for solving gas dynamic equation. Acta Tech. Corviniensis Bull. Eng. 2012, 5, 113. [Google Scholar]
  35. Evans, D.J.; Bulut, H. A new approach to the gas dynamics equation: An application of the decomposition method. Int. J. Comput. Math. 2002, 79, 817–822. [Google Scholar] [CrossRef]
  36. Kumar, S.; Rashidi, M.M. New analytical method for gas dynamics equation arising in shock fronts. Comput. Phys. Commun. 2014, 185, 1947–1954. [Google Scholar] [CrossRef]
  37. Iyiola, O.S. On the solutions of non-linear time-fractional gas dynamic equations: An analytical approach. Int. J. Pure Appl. Math. 2015, 98, 491–502. [Google Scholar] [CrossRef]
  38. Esen, A.; Tasbozan, O. Cubic B-spline collocation method for solving time fractional gas dynamics equation. Tbil. Math. J. 2015, 8, 221–231. [Google Scholar] [CrossRef]
  39. Noureen, R.; Nawaz Naeem, M.; Baleanu, D.; Othman Mohammed, P.; Yahya Almusawa, M. Application of trigonometric B-spline functions for solving Caputo time fractional gas dynamics equation. AIMS Math. 2023, 8, 25343–25370. [Google Scholar] [CrossRef]
  40. McCarthy, P.C.; Sayre, J.E.; Shawyer, B.L.R. Generalized legendre polynomials. J. Math. Anal. Appl. 1993, 177, 530–537. [Google Scholar] [CrossRef]
  41. Esmaeilia, S.; Shamsia, M.; Luchkob, Y. Numerical solution of fractional differential equations with a collocation method based on Müntz polynomials. Comput. Math. Appl. 2011, 62, 918–929. [Google Scholar] [CrossRef]
  42. Milovanović, G.V. Müntz orthogonal polynomials and their numerical evaluation, in: Applications and Computation of Orthogonal Polynomials. Internat. Ser. Numer. Math. 1999, 131, 179–194. [Google Scholar]
  43. Milton, A.; Irene, A.S. Handbook of Mathematical Functions: With Formulas, Graphs, and Mathematical Tables; Courier Corporation: North Chelmsford, MA, USA, 1965. [Google Scholar]
  44. Kilbas, A.; Srivastava, H.M.; Trujillo, J.J. Theory and Applications of Fractional Differential Equations; Elsevier: Amsterdam, The Netherlands, 2006. [Google Scholar]
  45. Gautschi, W. Orthogonal Polynomials: Computation and Approximation; Oxford University Press: New York, NY, USA, 2004. [Google Scholar]
  46. Boyd, J.P. Chebyshev and Fourier Spectral Methods, 2nd ed.; Dover Publications: Mineola, NY, USA, 2001. [Google Scholar]
  47. Abramowitz, M.; Stegun, I. Handbook of Mathematical Functions with Formulas, Graphs, and Mathematical Tables; Dover Publications: Mineola, NY, USA, 1965. [Google Scholar]
Figure 1. The influence of the parameter M on L -errors for Example 1.
Figure 1. The influence of the parameter M on L -errors for Example 1.
Symmetry 15 02076 g001
Figure 2. Approximate solution at x = 1 (left) and t = 1 (right), taking different α for Example 1.
Figure 2. Approximate solution at x = 1 (left) and t = 1 (right), taking different α for Example 1.
Symmetry 15 02076 g002
Figure 3. Approximate solution and absolute error with different choices of collocation points, taking M = 15 , α = 0.7 for Example 1.
Figure 3. Approximate solution and absolute error with different choices of collocation points, taking M = 15 , α = 0.7 for Example 1.
Symmetry 15 02076 g003
Figure 4. Approximate solution and absolute error with different choices of collocation points, taking M = 10 , α = 1 for Example 1.
Figure 4. Approximate solution and absolute error with different choices of collocation points, taking M = 10 , α = 1 for Example 1.
Symmetry 15 02076 g004
Figure 5. The influence of the parameter M on L -errors for Example 2.
Figure 5. The influence of the parameter M on L -errors for Example 2.
Symmetry 15 02076 g005
Figure 6. Approximate solution at x = 1 , taking different α for Example 2.
Figure 6. Approximate solution at x = 1 , taking different α for Example 2.
Symmetry 15 02076 g006
Figure 7. Approximate solution and absolute error with different choices of collocation points, taking M = 12 , α = 0.8 for Example 2.
Figure 7. Approximate solution and absolute error with different choices of collocation points, taking M = 12 , α = 0.8 for Example 2.
Symmetry 15 02076 g007
Table 1. The L 2 errors for Example 1 at various times using Chebyshev collocation points when α = 0.5 .
Table 1. The L 2 errors for Example 1 at various times using Chebyshev collocation points when α = 0.5 .
t \ M 789101112
0.1 4.00 × 10 3 3.17 × 10 4 1.93 × 10 4 1.44 × 10 4 1.40 × 10 6 8.85 × 10 7
0.3 1.20 × 10 3 1.55 × 10 5 6.08 × 10 6 5.71 × 10 6 4.31 × 10 7 2.83 × 10 7
0.5 2.43 × 10 3 2.16 × 10 5 6.57 × 10 6 1.20 × 10 7 4.94 × 10 8 2.74 × 10 8
0.7 7.16 × 10 4 9.92 × 10 6 4.28 × 10 6 1.77 × 10 7 1.26 × 10 7 7.95 × 10 9
0.9 8.92 × 10 4 1.43 × 10 5 3.01 × 10 6 2.29 × 10 7 8.13 × 10 8 5.11 × 10 9
CPU time 4.157 9.734 18.859 36.891 68.000 120.875
Table 2. The L 2 errors for Example 1 at various times using Legendre collocation points when α = 0.5 .
Table 2. The L 2 errors for Example 1 at various times using Legendre collocation points when α = 0.5 .
t \ M 789101112
0.1 5.56 × 10 4 3.01 × 10 5 1.84 × 10 5 9.72 × 10 7 2.50 × 10 7 3.27 × 10 8
0.3 6.30 × 10 4 9.63 × 10 6 1.14 × 10 6 2.10 × 10 7 3.74 × 10 8 1.33 × 10 9
0.5 3.72 × 10 4 2.69 × 10 6 9.22 × 10 7 1.52 × 10 7 3.42 × 10 8 8.25 × 10 10
0.7 1.93 × 10 4 8.07 × 10 6 4.99 × 10 6 1.32 × 10 7 3.33 × 10 8 1.52 × 10 9
0.9 3.45 × 10 4 2.69 × 10 5 7.00 × 10 6 2.72 × 10 7 4.05 × 10 8 2.43 × 10 9
CPU time 3.797 8.609 18.203 35.609 65.578 118.703
Table 3. The L 2 errors for Example 1 at various times using uniform collocation points when α = 0.5 .
Table 3. The L 2 errors for Example 1 at various times using uniform collocation points when α = 0.5 .
t \ M 789101112
0.1 2.45 × 10 4 4.98 × 10 5 8.24 × 10 6 1.78 × 10 6 2.95 × 10 7 8.44 × 10 8
0.3 9.16 × 10 5 2.08 × 10 5 4.01 × 10 6 1.18 × 10 6 5.87 × 10 8 4.73 × 10 8
0.5 1.16 × 10 4 2.78 × 10 5 4.65 × 10 6 1.46 × 10 6 1.11 × 10 7 6.93 × 10 8
0.7 1.44 × 10 4 3.52 × 10 5 5.80 × 10 6 1.84 × 10 6 1.55 × 10 7 9.08 × 10 8
0.9 1.82 × 10 4 4.73 × 10 5 7.14 × 10 6 2.30 × 10 6 2.01 × 10 7 1.15 × 10 7
CPU time 3.375 8.578 17.703 35.032 63.265 117.781
Table 4. A comparison between the presented method and the cubic B-spline method [38] at t = 0.1 for Example 1.
Table 4. A comparison between the presented method and the cubic B-spline method [38] at t = 0.1 for Example 1.
Proposed MethodCBCM [38]
L 2 -error 2.96 × 10 10 1.06 × 10 4
L -error 4.69 × 10 10 1.94 × 10 4
Table 5. A comparison with other methods at different times for Example 1.
Table 5. A comparison with other methods at different times for Example 1.
Proposed Method[38][39]
t L 2 -Error L -Error L 2 -Error L -Error L 2 -Error L -Error
0.2 7.06 × 10 11 1.21 × 10 10 5.02 × 10 3 8.71 × 10 3 2.32 × 10 4 3.87 × 10 4
0.4 1.12 × 10 11 5.49 × 10 12 4.68 × 10 3 7.56 × 10 3 1.30 × 10 4 2.07 × 10 4
0.6 1.50 × 10 12 1.71 × 10 12 4.39 × 10 3 7.00 × 10 3 8.60 × 10 5 1.27 × 10 4
0.8 7.29 × 10 13 3.73 × 10 13 4.10 × 10 3 6.52 × 10 3 5.29 × 10 5 7.75 × 10 5
1.0 6.59 × 10 13 4.35 × 10 13 3.82 × 10 3 6.07 × 10 3 3.18 × 10 5 4.63 × 10 5
Table 6. The L 2 errors for Example 2 at various times using Chebyshev collocation points when α = 0.5 .
Table 6. The L 2 errors for Example 2 at various times using Chebyshev collocation points when α = 0.5 .
t \ M 789101112
0.1 4.66 × 10 6 2.94 × 10 7 3.52 × 10 8 5.58 × 10 9 2.79 × 10 9 1.73 × 10 10
0.3 1.61 × 10 6 8.95 × 10 7 1.38 × 10 7 1.36 × 10 8 6.04 × 10 10 2.56 × 10 10
0.5 2.15 × 10 05 1.03 × 10 6 1.31 × 10 7 2.05 × 10 8 7.27 × 10 9 2.76 × 10 10
0.7 6.46 × 10 5 1.63 × 10 6 2.84 × 10 7 4.02 × 10 8 8.09 × 10 9 4.00 × 10 10
0.9 1.42 × 10 4 3.02 × 10 6 5.76 × 10 7 7.42 × 10 8 1.25 × 10 8 7.29 × 10 10
CPU time 3.875 8.859 18.422 36.109 66.719 118.156
Table 7. The L 2 errors for Example 2 at various times using Legendre collocation points when α = 0.5 .
Table 7. The L 2 errors for Example 2 at various times using Legendre collocation points when α = 0.5 .
t \ M 789101112
0.1 1.01 × 10 5 1.18 × 10 06 3.72 × 10 7 1.98 × 10 8 3.13 × 10 9 6.81 × 10 11
0.3 3.33 × 10 5 1.62 × 10 6 3.88 × 10 7 1.95 × 10 8 2.93 × 10 9 6.22 × 10 11
0.5 1.11 × 10 5 1.75 × 10 6 7.39 × 10 7 2.95 × 10 8 3.49 × 10 9 8.02 × 10 11
0.7 2.09 × 10 5 6.05 × 10 6 1.08 × 10 6 7.31 × 10 8 5.20 × 10 9 1.00 × 10 10
0.9 5.71 × 10 5 2.42 × 10 5 1.56 × 10 6 2.82 × 10 7 7.92 × 10 9 5.59 × 10 10
CPU time 3.812 8.687 18.563 36.547 69.797 119.000
Table 8. The L 2 errors for Example 2 at various times using uniform collocation points when α = 0.5 .
Table 8. The L 2 errors for Example 2 at various times using uniform collocation points when α = 0.5 .
t \ M 789101112
0.1 2.22 × 10 5 3.46 × 10 6 1.69 × 10 7 4.56 × 10 8 4.05 × 10 10 8.84 × 10 10
0.3 1.86 × 10 5 3.24 × 10 6 1.25 × 10 7 4.68 × 10 8 1.87 × 10 9 8.46 × 10 10
0.5 2.00 × 10 5 4.26 × 10 6 2.63 × 10 7 1.05 × 10 7 7.82 × 10 9 4.30 × 10 9
0.7 2.51 × 10 5 6.29 × 10 6 6.27 × 10 7 2.23 × 10 7 1.85 × 10 8 1.04 × 10 8
0.9 3.59 × 10 5 9.65 × 10 6 1.21 × 10 6 4.07 × 10 7 3.49 × 10 8 1.98 × 10 8
CPU time 3.547 8.391 18.218 35.969 65.484 118.594
Disclaimer/Publisher’s Note: The statements, opinions and data contained in all publications are solely those of the individual author(s) and contributor(s) and not of MDPI and/or the editor(s). MDPI and/or the editor(s) disclaim responsibility for any injury to people or property resulting from any ideas, methods, instructions or products referred to in the content.

Share and Cite

MDPI and ACS Style

Bin Jebreen, H.; Cattani, C. Solving Fractional Gas Dynamics Equation Using Müntz–Legendre Polynomials. Symmetry 2023, 15, 2076. https://doi.org/10.3390/sym15112076

AMA Style

Bin Jebreen H, Cattani C. Solving Fractional Gas Dynamics Equation Using Müntz–Legendre Polynomials. Symmetry. 2023; 15(11):2076. https://doi.org/10.3390/sym15112076

Chicago/Turabian Style

Bin Jebreen, Haifa, and Carlo Cattani. 2023. "Solving Fractional Gas Dynamics Equation Using Müntz–Legendre Polynomials" Symmetry 15, no. 11: 2076. https://doi.org/10.3390/sym15112076

APA Style

Bin Jebreen, H., & Cattani, C. (2023). Solving Fractional Gas Dynamics Equation Using Müntz–Legendre Polynomials. Symmetry, 15(11), 2076. https://doi.org/10.3390/sym15112076

Note that from the first issue of 2016, this journal uses article numbers instead of page numbers. See further details here.

Article Metrics

Back to TopTop