Next Article in Journal
Unsymmetrically Distributed Bolt Axial Forces between Symmetrically Spaced Bolts of Clamping Sleeve
Next Article in Special Issue
Model Selection in Generalized Linear Models
Previous Article in Journal
Map Construction and Path Planning Method for Mobile Robots Based on Collision Probability Model
Previous Article in Special Issue
Bayesian Analysis Using Joint Progressive Type-II Censoring Scheme
 
 
Font Type:
Arial Georgia Verdana
Font Size:
Aa Aa Aa
Line Spacing:
Column Width:
Background:
Article

A New Sine-Based Distributional Method with Symmetrical and Asymmetrical Natures: Control Chart with Industrial Implication

1
Department of Mathematical Sciences, College of Science, Princess Nourah bint Abdulrahman University, P.O. Box 84428, Riyadh 11671, Saudi Arabia
2
Department of Mathematics and Statistics, University of Dodoma, Dodoma P.O. Box 259, Tanzania
3
Graduate School of Data Science, Chonnam National University, Gwangju 61186, Republic of Korea
4
Department of Mathematics and Statistics, University of Saskatchewan, Saskatoon, SK S7N 5A2, Canada
*
Author to whom correspondence should be addressed.
Symmetry 2023, 15(10), 1892; https://doi.org/10.3390/sym15101892
Submission received: 12 September 2023 / Revised: 29 September 2023 / Accepted: 2 October 2023 / Published: 9 October 2023

Abstract

:
Control charts are widely used in quality control and industrial sectors. Because of their important role, researchers are focusing on the development of new control charts. According to our study, there is no significant amount of published work on control charts using trigonometrically generated distribution methods. In this paper, we contribute to this interesting research gap by developing a new control chart using a sine-based distributional method. The proposed distributional method (or family of probability distributions) may be called a new modified sine-G family of distributions. Based on the new modified sine-G method, a novel modification of the Weibull distribution, namely, a new modified sine-Weibull distribution, is introduced. The new modified sine-Weibull distribution is flexible enough to capture symmetrical and asymmetrical behaviors of its density function. An industrial application is considered to show the importance and implacability of the proposed distribution in quality control. Based on the proposed model, an attribute control chart is developed under a truncated life test. The control chart limits (ARLs) are also computed for the proposed model. The ARLs of the proposed control chart are compared with the attribute control chart of the Weibull distribution. The results show that the developed chart is more efficient than the existing attribute control chart for the Weibull distribution.

1. Introduction

One of the most challenging tasks for researchers is to develop appropriate probability models for handling various types of data sets. Numerous researchers have attempted to carry out this task by developing new statistical models and methodologies. Many researchers have succeeded in developing new, appropriate models for data modeling in (i) engineering-related areas [1,2], (ii) medical sectors [3,4], (iii) financial sectors [5,6], and (iv) extreme value theory [7,8]. For more on the development of statistical methodologies, we refer interested readers to [9,10,11,12], among others.
Without a doubt, the above statistical methods have significantly improved the fitting power of the classical probability distributions. Unfortunately, on the other hand, the number of parameters has also increased, ranging from one to five or six. Furthermore, distribution theory literature has lacked probability models (i.e., there are only a few statistical distributions) that are generated using the trigonometric function. Most of the above developed methods are obtained using some algebraic functions. Therefore, the needs for statistical modeling, prediction, and univariate and bivariate data analysis have greatly motivated researchers to develop new probability distributions using trigonometric functions [13].
Among the contributed work using trigonometric functions, a useful work proposing a new family of distribution methods using a trigonometric function is presented in [14]. The authors utilized the sine function to develop a new method called the sine-G family. The cumulative distribution function (CDF) F x ; λ of the sine-G family is expressed by
F x ; λ = sin π 2 G x ; λ ,
with probability density function (PDF) f x ; λ , given by
f x ; λ = π 2 g x ; λ cos π 2 G x ; λ .
The sine-G method has further been updated by numerous researchers by adding one or more additional parameters. For example, Chesneau and Jamal [15] proposed the sine Kumaraswamy-G family, Al-Babtain et al. [16] introduced the sine Topp-Leone-G family, and Jamal et al. [17] studied the transformed Sin-G family.
By searching the existing literature, we observed that very limited work has been done by implementing the trigonometric function. However, to the best of our knowledge, in the existing literature, there is no published work on the development of a control chart using new statistical distributions that are developed based on the trigonometric function. In this article, we implement a trigonometric function to introduce a distributional method to update the level of flexibility (i.e., increased data fitting capability) of the traditional distributions. We call the proposed method a new modified sine-G (NMS-G) family of distributions. The NMS-G method is developed using a trigonometric function. Furthermore, based on the NMS-G method, we develop a new control chart and show its application in industries. This is one of the key motivations of this work.
Definition 1.
Let X have the NMS-G family if its CDF F x ; λ is expressed by
F x ; λ = 1 1 sin π 2 G x ; λ 1 + sin π 2 G x ; λ 2 , x R ,
with probability density function (PDF) f x ; λ , given by
f x ; λ = 2 π g x ; λ cos π 2 G x ; λ 1 sin π 2 G x ; λ 1 + sin π 2 G x ; λ 3 , x R .
Corresponding to F x ; λ and f x ; λ , the survival function (SF) S x ; λ , hazard function (HF) h x ; λ , and cumulative hazard function (CHF) H x ; λ of the NMS-G family are given by
S x ; λ = 1 sin π 2 G x ; λ 1 + sin π 2 G x ; λ 2 , x R ,
h x ; λ = 2 π g x ; λ cos π 2 G x ; λ 1 sin π 2 G x ; λ 1 + sin π 2 G x ; λ 1 sin π 2 G x ; λ 2 , x R ,
and
H x ; λ = log 1 1 sin π 2 G x ; λ 1 + sin π 2 G x ; λ 2 , x R ,
respectively.
In this paper, we use the proposed method provided in Equation (3) to introduce a novel trigonometric updated version of the Weibull distribution. The updated trigonometric version of the Weibull distribution is named a new modified sine-Weibull (NMS-Weibull) distribution. In Section 2, we define the basic function of the NMS-Weibull distribution. Furthermore, the plots for the density function of the NMS-Weibull distribution are also presented. The estimation of the parameters along with the simulation study (SS) is presented in Section 3. The applicability of the NMS-Weibull distribution is shown by analyzing a real-life application in Section 4. Besides the practical application, a new attribute control chart for the NMS-Weibull distribution is constructed in Section 5. The final concluding remarks on this work are provided in Section 6.

2. Special Model

Let X R + have the Weibull distribution (taken as a baseline model) with parameters τ > 0 and α > 0 . Then, the CDF G x ; λ of X is given by
G x ; λ = 1 e τ x α ,
and PDF g x ; λ
g x ; λ = α τ x α 1 e τ x α ,
where λ = α , τ is a parameter vector linked with the baseline model.
Using Equation (5) in Equation (3), we reach the CDF of the NMS-Weibull distribution. The CDF of the NMS-Weibull distribution is given by
F x ; λ = 1 1 sin π 2 1 e τ x α 1 + sin π 2 1 e τ x α 2 , x R + ,
with SF S x ; λ , given by
S x ; λ = 1 sin π 2 1 e τ x α 1 + sin π 2 1 e τ x α 2 , x R + .
Different plots for the CDF F x ; λ and SF S x ; λ of the NMS-Weibull distribution are provided in Figure 1. As we can see that the curves of the plots in Figure 1 vary between 0 and 1, we can say that the NMS-Weibull distribution has a valid CDF.
Furthermore, the PDF f x ; λ of the NMS-Weibull distribution is
f x ; λ = 2 π α τ x α 1 e τ x α cos π 2 1 e τ x α 1 sin π 2 1 e τ x α 1 + sin π 2 1 e τ x α 3 , x R + .
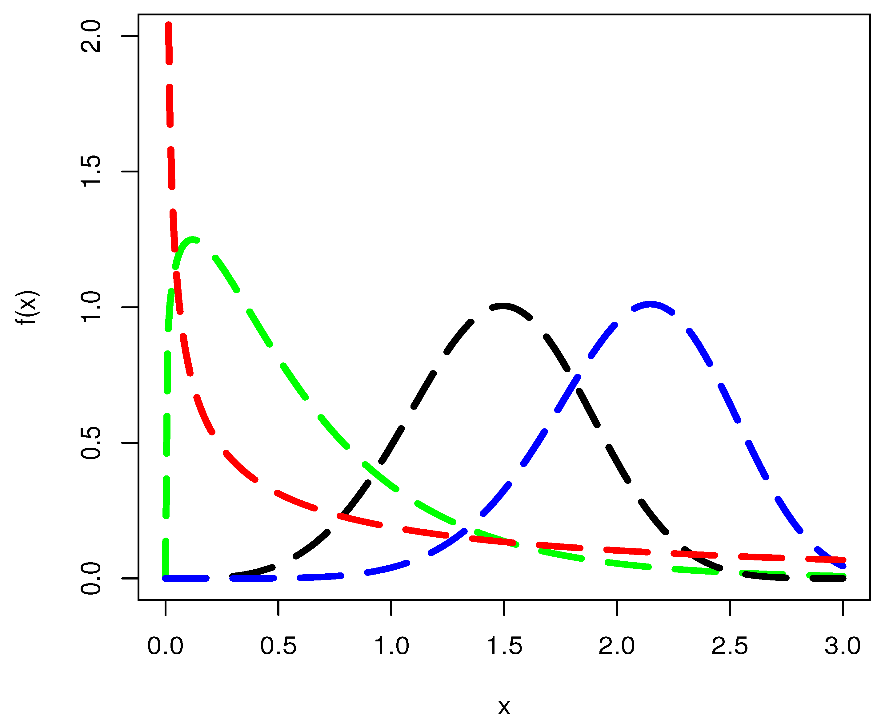
Visual illustrations of f x ; λ of the NMS-Weibull distribution are presented in Figure 2. The visual illustrations of f x ; λ of the NMS-Weibull distribution in Figure 2 are obtained for (i) α = 1.2 , τ = 0.3 (green-line), (ii) α = 4.5 , τ = 0.02 (black-line), (iii) α = 6.4 , τ = 0.001 (blue-line), and (iv) α = 0.6 , τ = 0.1 (red-line).
The visual behaviors of f x ; λ in Figure 2 reveal that the NMS-Weibull distribution has four different shapes including (i) right-skewed (green-line), (ii) symmetrical (black-line), (iii) left-skewed (blue-line), and (iv) reverse-J shaped (red-line).
Furthermore, the HF h x ; λ and CHF (cumulative hazard function) H x ; λ of the NMS-Weibull distribution are, respectively, expressed by
h x ; λ = 2 π α τ x α 1 e τ x α cos π 2 1 e τ x α 1 sin π 2 1 e τ x α 1 + sin π 2 1 e τ x α 1 sin π 2 1 e τ x α 2 x R + ,
and
H x ; λ = 2 log 1 sin π 2 1 e τ x α 1 + sin π 2 1 e τ x α , x R + .

3. Estimation and Simulation

3.1. Estimation

Let us assume a set of n random samples, say X 1 , X 2 , . . . , X n , taken from f x ; λ provided in Equation (8). Then, corresponding to Equation (8), the likelihood function, say α , τ | x 1 , x 2 , . . . , x n , is expressed by
α , τ | x 1 , x 2 , . . . , x n = i = 1 n f x i ; λ .
Using Equation (8) in Equation (9), we get
α , τ | x 1 , x 2 , . . . , x n = i = 1 n 2 π α τ x i α 1 e τ x i α cos π 2 1 e τ x i α 1 sin π 2 1 e τ x i α 1 + sin π 2 1 e τ x i α 3 .
Corresponding to α , τ | x 1 , x 2 , . . . , x n of the NMS-Weibull distribution, the log-likelihood function, say x 1 , x 2 , . . . , x n | α , τ , is given by
x 1 , x 2 , . . . , x n | α , τ = n log 2 + n log π + n log α + n log τ + α 1 i = 1 n log x i i = 1 n τ x i α + i = 1 n log cos π 2 1 e τ x i α + i = 1 n log 1 sin π 2 1 e τ x i α 3 i = 1 n log 1 + sin π 2 1 e τ x i α .
Linked to x 1 , x 2 , . . . , x n | α , τ , the partial derivatives are given by
α x 1 , x 2 , . . . , x n | α , τ = n α τ π 2 i = 1 n log x i x i α e τ x i α sin π 2 1 e τ x i α cos π 2 1 e τ x i α τ π 2 i = 1 n log x i x i α e τ x i α cos π 2 1 e τ x i α 1 sin π 2 1 e τ x i α 3 τ π 2 i = 1 n log x i x i α e τ x i α cos π 2 1 e τ x i α 1 + sin π 2 1 e τ x i α + i = 1 n log x i τ i = 1 n log x i x i α ,
and
τ x 1 , x 2 , . . . , x n | α , τ = n τ i = 1 n x i α π 2 i = 1 n x i α e τ x i α sin π 2 1 e τ x i α cos π 2 1 e τ x i α π 2 i = 1 n x i α e τ x i α cos π 2 1 e τ x i α 1 sin π 2 1 e τ x i α 3 π 2 i = 1 n x i α e τ x i α cos π 2 1 e τ x i α 1 + sin π 2 1 e τ x i α .
By solving the expressions α x 1 , x 2 , . . . , x n | α , τ and τ x 1 , x 2 , . . . , x n | α , τ , we respectively obtain the MLEs α ^ M L E and τ ^ M L E .
From the expressions α x 1 , x 2 , . . . , x n | α , τ and τ x 1 , x 2 , . . . , x n | α , τ , we can see that the MLEs α ^ M L E , τ ^ M L E are not in explicit forms. In order to ensure the unique solution of α ^ M L E and τ ^ M L E , we use an iteration method with the help of computer software. The uniqueness of α ^ M L E and τ ^ M L E are shown by plotting their log-likelihood function.

3.2. Simulation

This subsection illustrates the MLEs τ ^ M L E , α ^ M L E of the parameters τ , α of the NMS-Weibull distribution via a brief SS. The SS is conducted by generating random numbers from the NMS-Weibull distribution using the inverse CDF approach/formula, given by
x q = 1 τ log 1 2 π sin 1 1 1 q 1 / 2 1 + 1 q 1 / 2 1 α .
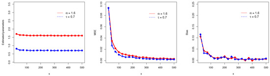
The SS is conducted for (i) α = 1.6 , τ = 0.7 , (ii) α = 1.2 , τ = 0.5 , and (iii) α = 0.9 , τ = 1.2 . Two evaluation criteria, (i) bias and (ii) mean square error (MSE), are considered to assess the behaviors of τ ^ M L E and α ^ M L E . The values of the evaluation criteria are computed as
B i a s τ ^ M L E = 1 500 i = 1 500 τ ^ i τ ,
and
M S E τ ^ M L E = 1 500 i = 1 500 τ ^ i τ 2 .
The evaluation criteria are also computed for α ^ M L E . We use the statistical software R -script with algorithm L - BFGS - B to compute the values of the α ^ M L E , τ ^ M L E , and evaluation criteria.
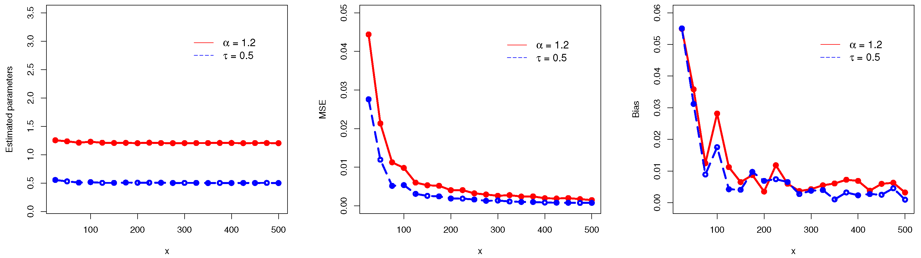
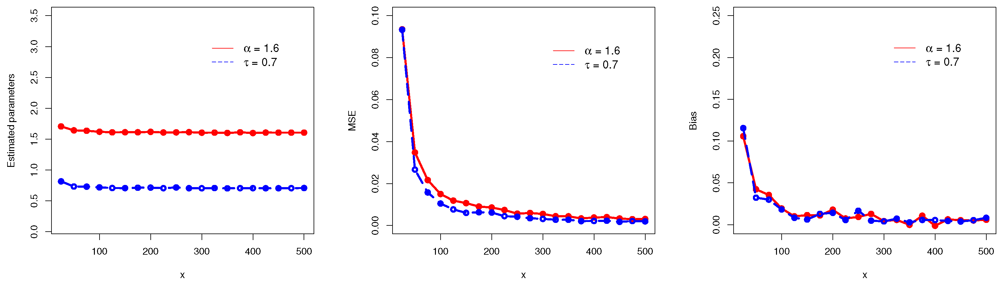
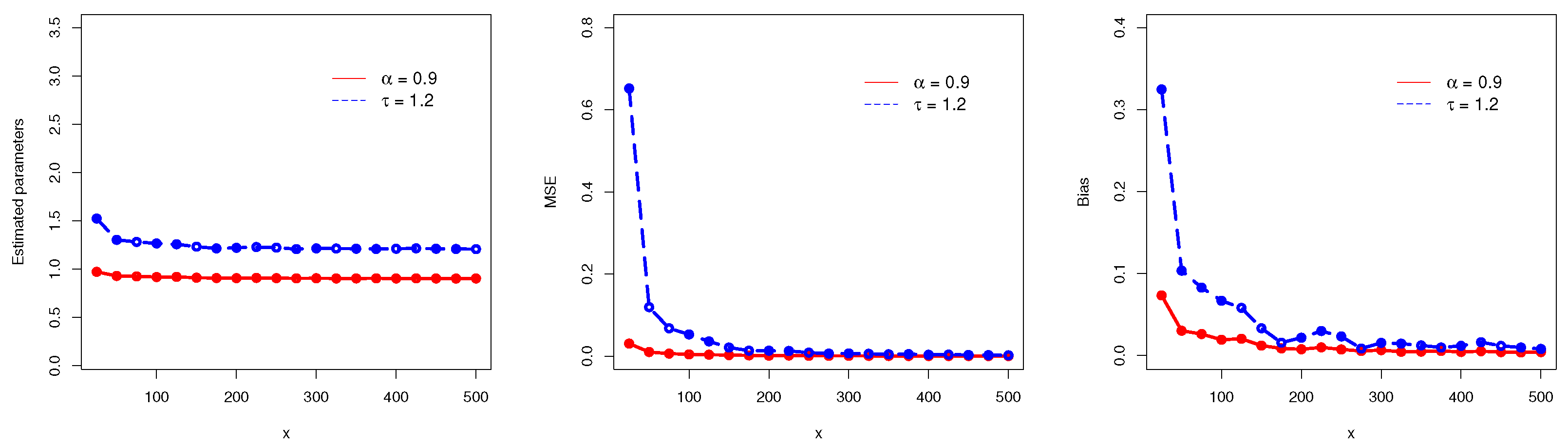
Corresponding to (i) α = 1.6 , τ = 0.7 , (ii) α = 1.2 , τ = 0.5 , and (iii) α = 0.9 , τ = 1.2 , the results of the SS of the NMS-Weibull distribution are presented in Table 1, Table 2 and Table 3 (numerical results) and Figure 3, Figure 4 and Figure 5 (visual illustration).
From the numerical evaluation in Table 1, Table 2 and Table 3 and visual description in Figure 3, Figure 4 and Figure 5, we can see that as the size of the samples increases, the MLEs α ^ M L E , τ ^ M L E tend to become stable, the MSEs of α ^ M L E and τ ^ M L E decrease, and the biases of α ^ M L E and τ ^ M L E decay to zero.

4. Data Analysis

This section is carried out with the aim of illustrating the NMS-Weibull distribution in practical scenarios, particularly in the engineering-related sectors. We apply the NMS-Weibull distribution to a reliability data set reported by [18]. This data set denotes the times between successive failures (measured in thousands of hours) in testing secondary reactor pumps. So far, in the literature, numerous researchers have used this data set; see [19,20,21]. The considered reliability data set along with its basic statistical measures are provided in Table 4. In addition, some basic plots of the reliability data set are presented in Figure 6.
Using the reliability data set, the comparison of the NMS-Weibull distribution is done with the Weibull model and its other prominent and most famous extensions. The SFs of the considered competing distributions are given by
  • Weibull distribution of Weibull [22].
    S x ; λ = e τ x α , x , α , τ R + .
  • Exponential TX Weibull (ETX-Weibull) distribution of Ahmad et al. [23].
    S x ; σ , λ = σ e τ x α σ 1 + e τ x α , x , α , τ R + , σ > 1 .
  • New modified Weibull (NM-Weibull) distribution of El-Morshedy et al. [24].
    S x ; θ , λ = 1 1 e τ x α θ θ e τ x α , x , α , τ R + , θ 1 , θ 1 .
To determine the most appropriate and best-suited model from the NMS-Weibull and the above competing models, we use certain well-known decision tools (selection criteria) with the p-value. The selection criteria are as follows:
  • The Cramér–von Mises (CVM) criterion, computed as
    i = 1 n 2 i 1 2 n G x i 2 + 1 12 n ,
    where x i and n, respectively, denote the i t h observation and the size of the data considered for analysis.
  • The Anderson–Darling (AD) criterion, obtained using the formula
    1 n i = 1 n log 1 G x n i + 1 + log G x i 2 i 1 n .
  • The Kolmogorov–Smirnov (KS) criterion, obtained as
    s u p x G n t G ^ t ,
    where G ^ t and G n t are, respectively, called the empirical CDF and estimated CDF.
We implement the statistical software R -script version R 4 . 2 . 0 with optim ( ) and the SANN algorithm to calculate the values of the above selection criteria.
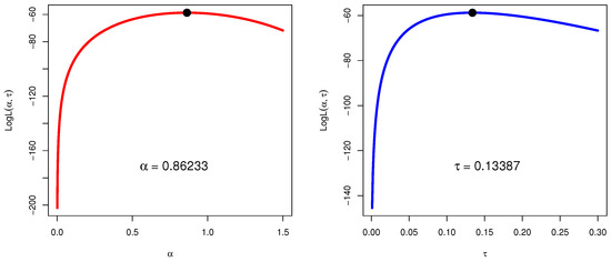
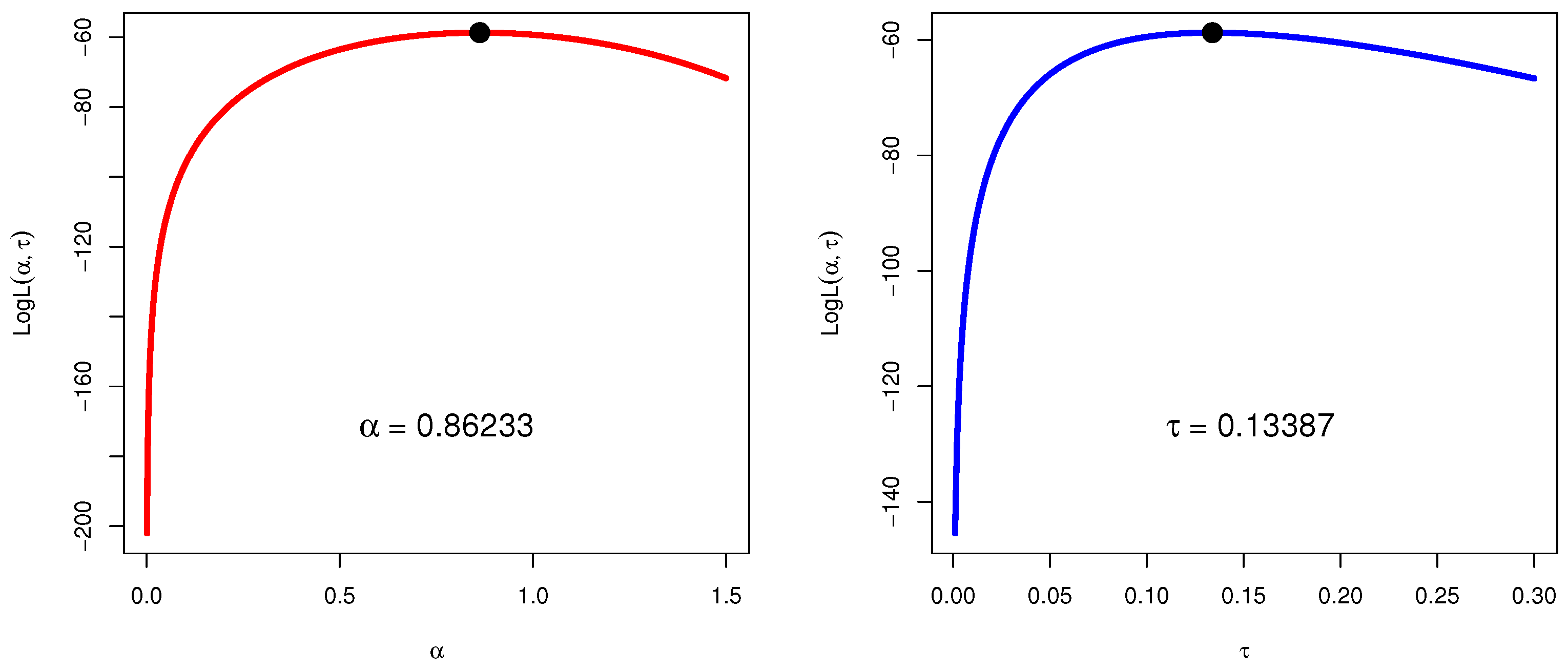
After analyzing the secondary reactor pumps data set, the MLEs of the fitted model α ^ M L E , τ ^ M L E , θ ^ M L E , a n d σ ^ M L E are presented in Table 5. As we discussed in Section 3, the MLEs α ^ M L E , τ ^ M L E are not in explicit forms. Therefore, to check the uniqueness of α ^ M L E and τ ^ M L E for the NMS-Weibull distribution, the profiles of the log-likelihood function of α ^ M L E and τ ^ M L E are presented in Figure 7.
Moreover, the numerical values of the statistical criteria (i.e., KS, CVM, AD) of the NMS-Weibull and other fitted distributions are presented in Table 6. Additionally, the p-value for all the fitted models is also presented in Table 6. Based on our findings in Table 6, it can be seen that the NMS-Weibull distribution is an appropriate and best-suited model for the engineering data set.
After the numerical comparison of the fitted models in Table 6, a visual comparison of the performances of the NMS-Weibull distribution is also carried out. For the visual comparison, we consider the (i) fitted PDF, (ii) empirical CDF, (iii) Kaplan Meier survival plots, and (iv) quantile–quantile (QQ) plots. The visual comparison of these distributions is presented in Figure 8. Based on the illustrated plots in Figure 8, we can see that the NMS-Weibull distribution fits the failure times in the secondary reactor pumps data set very closely.

5. The Attribute Control Charts

Quality control has become a difficult undertaking in both the industrial and service sectors. The development of a reputation in highly competitive marketplaces is dependent on providing a high-quality service or product. Quality planning, assurance, and improvement are ongoing processes in every organization. The importance of statistical quality control (SQC) in the science of quality enhancement or assurance cannot be overstated. Though the use of variable and attribute control charts started in the manufacturing business, there is a growing trend of their use in the healthcare industry. Control charts, as an SQC tool, are essential for recognizing assignable reasons for variation, as well as for correcting the system and maintaining quality. Attribute control charts apply to binomial classification problems such as “confirming to the pre-specified quality” or “non-confirming”. Dutta et al. [25] investigated the digitization priorities of quality control processes for SMEs, a conceptual study in the context of Industry 4.0 adoption. For more detail, we refer interested readers to [26,27,28,29,30]. There are two types of control charts used in statistical quality control processes: control charts for attributes and control charts for variables. Because it uses quantitative data, the variables control chart provides useful information about the process and includes minimum sample sizes. Because of its ease of computation, the attribute control chart is more flexible than the variables chart. Various attribute control charts, such as the np chart, u chart, and c chart, are well-known in the literature.
Several authors have investigated the attribute control chart for the time-truncated life test for various distributions; refer to [31,32,33,34]. Recently, Alomair et al. [35] studied a control chart using the trigonometrically generated distribution. They studied a new trigonometric modification of the Weibull distribution, control chart, and applications in quality control.
However, there is no work on attribute control charts based on the NMS-Weibull distribution in the literature. Therefore, we use the NMS-Weibull model to project a new attribute control chart based on a truncated life test in this paper.

5.1. The Proposed Control Chart

We propose a new np control chart based on time-truncated life testing developed by Aslam and Jun [36]:
  • Step 1: Examining a simple random sample of size n from the submitted lot. The number of failures denoted by D is obtained before the experiment time t 0 = a ξ 0 , where ξ 0 is the quality consideration under the condition that the process is in-control and a is a multiplier constant.
  • Step 2: Declare the process as out-of-control when D > U C L or D < L C L ; otherwise, the process is in-control if L C L < D < U C L .
The percentile of the NMS-Weibull distribution is
t q = 1 τ log 1 2 π sin 1 1 1 q 1 / 2 1 + 1 q 1 / 2 1 α .
From Equation (11), we have
τ = log 1 2 π sin 1 1 1 q 1 / 2 1 + 1 q 1 / 2 t q α ,
or
τ = ς q t q α ,
where
ς q = log 1 2 π sin 1 1 1 q 1 / 2 1 + 1 q 1 / 2 .
Using the binomial distribution of defective products with parameters p 0 and n, the proposed chart limits are obtained as
U C L = n p 0 + L n p 0 1 p 0 ,
and
L C L = max { 0 , n p 0 L n p 0 1 p 0 } ,
where p 0 is the probability of a failed item prior to testing time t 0 when the process is considered to be in-control, and L is the chart coefficient to be obtained. On the other hand, once the process is under control, we can say it is complete ξ = ξ 0 (i.e., α = α 0 and τ = τ 0 ).
Let us consider that the experiment time is t 0 as a multiple of termination ratio a and specified percentile life t q 0 , i.e., t 0 = a t q 0 in time-truncated lifetime experimentation. After simplification, the probability of failure is written as
p = 1 1 sin π 2 1 e a α ς q t q / t q 0 α 1 + sin π 2 1 e a α ς q t q / t q 0 α .
When the process is in-control, then the percentile ratio t q / t q 0 = 1 . Therefore, Equation (15) will be reduced to
p 0 = 1 1 sin π 2 1 e a α ς q 1 + sin π 2 1 e a α ς q .
Now, we consider the percentile ratio t q / t q 0 = c = 1.0 , 1.05 , 1.10 , , 4.0 . Then, the probability in Equation (15) becomes
p 1 = 1 1 sin π 2 1 e ( a / c ) α 1 + sin π 2 1 e ( a / c ) α .
Let D ¯ denote the sample’s average failure rate for the subgroups. If the value of p 0 is unknown, the chart limits can be calculated using the following equations:
U C L = D ¯ + L D ¯ 1 D ¯ / n ,
and
L C L = max { 0 , D ¯ L D ¯ 1 D ¯ / n } ,
For the developed control chart, the possibility of declaring that the process is in-control is given by:
p I C 0 = P { L C L D U C L | p 0 } = k = L C L + 1 U C L n k p 0 k 1 p 0 k n k .
The developed control chart’s success can be measured by its average run length (ARL), which is expressed as follows, when the process is in-control:
A R L 0 = 1 1 P I C 0 .
The study of out-of-control processes is required to investigate the performance of the proposed control chart. When the process is out-of-control, consider p 1 to be the probability of an unsuccessful item occurring before the experiment time t 0 . As a result, the probability that the process is clearly in-control, while the declared time ratio is changed to c, is given by
p I C 1 = P { L C L D U C L | p 1 } = k = L C L + 1 U C L n k p 1 k 1 p 1 k n k .
As a result, the ARL for the shifted process is as follows:
A R L 1 = 1 1 P I C 1 .
Monte Carlo simulations have been performed using R software of version R 4 . 2 . 0 in order to evaluate the performance of the proposed control charting techniques. The following step-by-step procedure can be used to acquire the tables of the developed control chart.
  • Find out the ARL value, say r 0 and known parametric values α = α 0 and τ = τ 0 , respectively.
  • Determine the chart constants L, a and n such that the A R L 0 value is almost equal to r 0 , i.e., A R L 0 r 0 .
  • Subsequent to receiving the values in Step 2, determine the A R L 1 according to shift constant c based on Equation (23).
For various values, we determined the control chart parameters and A R L 1 at α = α 0 , r 0 and n for shift values in Table 7, Table 8, Table 9 and Table 10.
Based on computed Table 7, Table 8, Table 9 and Table 10, we came to the following conclusions:
  • It is observed that the A R L 1 value shows a decreasing tendency as the positive shift value c increases and the negative shift value c decreases.
  • From Table 7 and Table 8, it is evident that A R L 1 values decrease with the increase of parameter α when there is a positive shift value c, whereas A R L 1 values increase when there is a negative shift value c.
  • Based on Table 7, Table 8, Table 9 and Table 10, it is reasonable that when the sample size n increases from 20 to 30, the A R L 1 values show a decreasing tendency.

5.2. Chart Illustration

The demonstration of the developed control chart is as follows: let us assume that industrial output persists in the NMS-Weibull distribution with parameters α = 2 . Assume the product’s average target lifetime is ξ 0 = 1000 h and r 0 = 370 . Using Equation (16) the value of p 0 is 0.4887.
In addition, from Table 7, the chart parameters are n = 20 , a = 0.983 , L = 3.03 , L C L = 3 , and U C L = 16 . Hence, the experiment time t 0 is 983 h. As a result, the proposed control chart was implemented as follows.
  • Take a simple random sample of 20 people from each subgroup and place them in the life testing assessment for 983 h. Determine the number of failed units, say D, over the course of the experiment.
  • If 3 D 16 is present, the production process is under control; otherwise, the production process is out of control.

5.3. Application in Industry

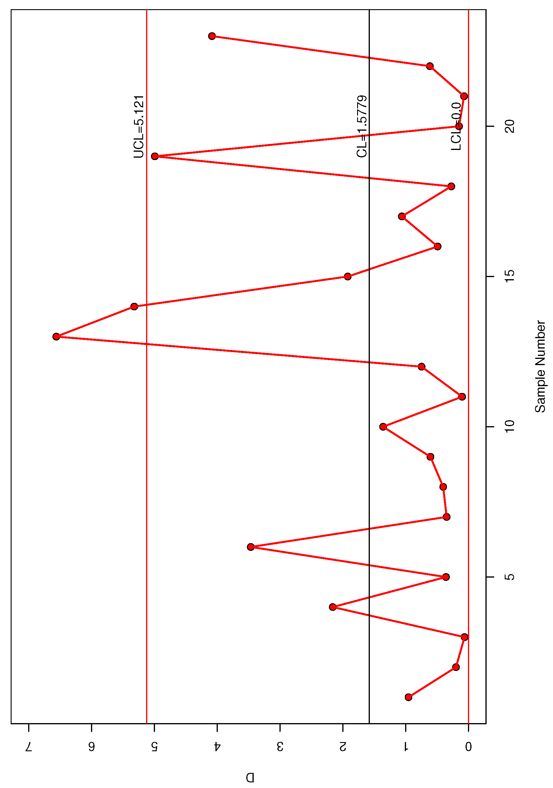
Using the second data set, the estimated parameters of the NMS-Weibull distribution are α ^ = 0.8623 and τ ^ = 0.1338 .  Table 11 and Table 12 show the ARLs of the proposed control chart for failure times in the secondary reactor pumps data set.
From Table 11, for n = 20, α ^ = 0.8623 , r 0 = 300 , we get a = 0.905 and L = 2.939 . The value of p 0 is 0.4719 using Equation (16). According to Equation (16), the median value ξ 0 = t 0.5 for the test’s duration is 0.8498. The suggested control limits for the chart are LCL = 0 and UCL = 5.1210. The proposed control chart for the failure times in the secondary reactor pumps data is depicted in Figure 9. Using the same data, the estimates of the Weibull distribution parameters are α ^ = 0.8091 and τ ^ = 0.7642 . When n = 20 , and r 0 = 300 , we get a = 1.175 and L = 3.129 .
The control limits for the Weibull distribution are LCL = 0 and UCL = 5.3501. The control chart for failure times in the secondary reactor pump data for the Weibull distribution is depicted in Figure 10. As seen in Figure 9 and Figure 10, the suggested chart for detecting data on the failure times between secondary reactor pumps is more accurate than the existing attribute control chart for the Weibull distribution. As a result, the suggested chart is appropriate for tracking the reliability of secondary reactor pumps failure data.

5.4. Comparison

The ARL values of the proposed control chart and the existing time-truncated life testing attributed control charts for the Weibull distribution given in Adeoti and Rao [37] are compared. The results of comparisons between the NMS-Weibull distribution and the Weibull distribution are displayed in Table 13, when α ^ = 0.8623 and n = 20 . To compare the two types of control charts with respect to ARL values at different shift values, it is important to note that a chart with fewer out-of-control ARLs would be considered the better control chart.
We noticed based on Table 7 that the ARL values of the developed control chart have fever ARLs as compared with the control chart developed for Weibull distribution. For instance, when c = 1.4, the A R L 1 of the developed NMS-Weibull control chart for n = 20 is 100.52, whereas the A R L 1 for the Weibull distribution is 107.48. Hence, we conclude that the proposed chart is quick to find process changes as compared with the existing control chart established on the Weibull distribution.

6. Limitations of the Study

Despite the advantage of the best-fitting ability and distributional flexibility of capturing different forms of the density function, the NMS-Weibull distribution also has certain limitations. The NMS-Weibull distribution has the following limitations:
  • Since the NMS-Weibull distribution is a continuous type distribution, it would not be a sensible decision to use it for modeling discrete-type data sets.
  • Due to the complicated form of the density function, more computational effort is needed to obtain the distributional properties of the NMS-Weibull distribution.
  • Due to the complicated form of the density function, the expressions for the MLEs of the NMS-Weibull distribution are not in explicit forms. Therefore, we need to use computer software to obtain the numerical estimates for the parameters of the NMS-Weibull distribution.

7. Concluding Remarks

In this paper, we proposed a novel method by incorporating a trigonometric function to update the distributional flexibility of the classical probability distributions. The proposed method was named a new modified sine-G approach. The new modified sine-G method was developed using the sine function. As a special member of the NMS-G method, a new sine-Weibull distribution was studied. The parameters of the NMS-Weibull distribution were estimated using the maximum likelihood estimation method. A simulation study was also conducted to evaluate the estimators of the NMS-Weibull distribution. A practical application of the proposed NMS-Weibull distribution in the industrial sector was considered. In addition, the attribute control chart was developed for the proposed distribution. The control chart limits were developed for various parametric combinations. The performance of the proposed control charts was studied in terms of ARLs for various shift values. The developed control chart was also illustrated with a real example.

Author Contributions

Conceptualization, H.M.A., G.S.R., J.-T.S. and S.K.K.; methodology, H.M.A., G.S.R., J.-T.S. and S.K.K.; software, H.M.A., G.S.R., J.-T.S. and S.K.K.; validation, H.M.A., G.S.R. and J.-T.S.; formal analysis, H.M.A., G.S.R., J.-T.S. and S.K.K.; investigation, H.M.A., J.-T.S. and S.K.K.; data curation, H.M.A. and S.K.K.; writing—original draft, H.M.A., G.S.R., J.-T.S. and S.K.K.; visualization, H.M.A., G.S.R., J.-T.S. and S.K.K. All authors have read and agreed to the published version of the manuscript.

Funding

Princess Nourah bint Abdulrahman University Researchers Supporting Project number (PNURSP2023R 299), Princess Nourah bint Abdulrahman University, Riyadh, Saudi Arabia.

Data Availability Statement

The data sets are available from the corresponding author upon request.

Conflicts of Interest

The authors declare no competing interests.

References

  1. Alotaibi, R.; Nassar, M.; Rezk, H.; Elshahhat, A. Inferences and engineering applications of alpha power Weibull distribution using progressive type-II censoring. Mathematics 2022, 10, 2901. [Google Scholar] [CrossRef]
  2. Alyami, S.A.; Elbatal, I.; Alotaibi, N.; Almetwally, E.M.; Okasha, H.M.; Elgarhy, M. Topp–Leone Modified Weibull Model: Theory and Applications to Medical and Engineering Data. Appl. Sci. 2022, 12, 10431. [Google Scholar] [CrossRef]
  3. Klakattawi, H.S. Survival analysis of cancer patients using a new extended Weibull distribution. PLoS ONE 2022, 17, e0264229. [Google Scholar] [CrossRef]
  4. Ahmad, Z.; Almaspoor, Z.; Khan, F.; El-Morshedy, M. On predictive modeling using a new flexible Weibull distribution and machine learning approach: Analyzing the COVID-19 data. Mathematics 2022, 10, 1792. [Google Scholar] [CrossRef]
  5. Silahli, B.; Dingec, K.D.; Cifter, A.; Aydin, N. Portfolio value-at-risk with two-sided Weibull distribution: Evidence from cryptocurrency markets. Financ. Res. Lett. 2021, 38, 101425. [Google Scholar] [CrossRef]
  6. Ahmad, Z.; Almaspoor, Z.; Khan, F.; Alhazmi, S.E.; El-Morshedy, M.; Ababneh, O.Y.; Al-Omari, A.I. On fitting and forecasting the log-returns of cryptocurrency exchange rates using a new logistic model and machine learning algorithms. AIMS Math. 2022, 7, 18031–18049. [Google Scholar] [CrossRef]
  7. Barthwal, A.; Acharya, D. Performance analysis of sensing-based extreme value models for urban air pollution peaks. Model. Earth Syst. Environ. 2022, 8, 4149–4163. [Google Scholar] [CrossRef]
  8. Natarajan, N.; Vasudevan, M.; Rehman, S. Evaluation of suitability of wind speed probability distribution models: A case study from Tamil Nadu, India. Environ. Sci. Pollut. Res. 2022, 29, 85855–85868. [Google Scholar] [CrossRef]
  9. El-Morshedy, M.; Eliwa, M.S.; Tyagi, A. A discrete analogue of odd Weibull-G family of distributions: Properties, classical and Bayesian estimation with applications to count data. J. Appl. Stat. 2022, 49, 2928–2952. [Google Scholar] [CrossRef]
  10. Eghwerido, J.T.; Agu, F.I.; Ibidoja, O.J. The shifted exponential-G family of distributions: Properties and applications. J. Stat. Manag. Syst. 2022, 25, 43–75. [Google Scholar] [CrossRef]
  11. Anzagra, L.; Sarpong, S.; Nasiru, S. Odd Chen-G family of distributions. Ann. Data Sci. 2022, 9, 369–391. [Google Scholar] [CrossRef]
  12. Hassan, A.S.; Al-Omari, A.I.; Hassan, R.R.; Alomani, G.A. The odd inverted Topp Leone–H family of distributions: Estimation and applications. J. Radiat. Res. Appl. Sci. 2022, 15, 365–379. [Google Scholar] [CrossRef]
  13. Chesneau, C.; Bakouch, H.S.; Hussain, T. A new class of probability distributions via cosine and sine functions with applications. Commun. Stat. Simul. Comput. 2019, 48, 2287–2300. [Google Scholar] [CrossRef]
  14. Kumar, D.; Singh, U.; Singh, S.K. A new distribution using sine function-its application to bladder cancer patients data. J. Stat. Appl. Probab. 2015, 4, 417. [Google Scholar]
  15. Chesneau, C.; Jamal, F. The sine Kumaraswamy-G family of distributions. J. Math. Ext. 2020, 15, 1–33. [Google Scholar]
  16. Al-Babtain, A.A.; Elbatal, I.; Chesneau, C.; Elgarhy, M. Sine Topp-Leone-G family of distributions: Theory and applications. Open Phys. 2020, 18, 574–593. [Google Scholar] [CrossRef]
  17. Jamal, F.; Chesneau, C.; Bouali, D.L.; Ul Hassan, M. Beyond the Sin-G family: The transformed Sin-G family. PLoS ONE 2021, 16, e0250790. [Google Scholar] [CrossRef]
  18. Suprawhardana, M.S.; Prayoto, S. Total time on test plot analysis for mechanical components of the RSG-GAS reactor. Atom Indones. 1999, 25, 81–90. [Google Scholar]
  19. Bebbington, M.; Lai, C.D.; Zitikis, R. A flexible Weibull extension. Reliab. Eng. Syst. Saf. 2007, 92, 719–726. [Google Scholar] [CrossRef]
  20. Coşkun, K.U.Ş.; Korkmaz, M.Ç.; Kinaci, İ.; Karakaya, K.; Akdogan, Y. Modified-Lindley distribution and its applications to the real data. Commun. Fac. Sci. Univ. Ank. Ser. Math. Stat. 2022, 71, 252–272. [Google Scholar]
  21. Demirci Bicer, H.; Bicer, C.; Bakouch, H.S.H. A geometric process with Hjorth marginal: Estimation, discrimination, and reliability data modeling. Qual. Reliab. Eng. Int. 2022, 38, 2795–2819. [Google Scholar] [CrossRef]
  22. Weibull, W. A Statistical Distribution of wide Applicability. J. Appl. Mech. 1951, 18, 239–296. [Google Scholar] [CrossRef]
  23. Ahmad, Z.; Mahmoudi, E.; Alizadeh, M.; Roozegar, R.; Afify, A.Z. The exponential TX family of distributions: Properties and an application to insurance data. J. Math. 2021, 2021, 3058170. [Google Scholar] [CrossRef]
  24. El-Morshedy, M.; Ahmad, Z.; Tag-Eldin, E.; Almaspoor, Z.; Eliwa, M.S.; Iqbal, Z. A new statistical approach for modeling the bladder cancer and leukemia patients data sets: Case studies in the medical sector. Math. Biosci. Eng. MBE 2022, 19, 10474–10492. [Google Scholar] [CrossRef]
  25. Dutta, G.; Kumar, R.; Sindhwani, R.; Singh, R.K. Digitalization priorities of quality control processes for SMEs: A conceptual study in perspective of Industry 4.0 adoption. J. Intell. Manuf. 2021, 32, 1679–1698. [Google Scholar] [CrossRef]
  26. Meramveliotakis, G.; Manioudis, M. Sustainable development, COVID-19 and small business in Greece: Small is not beautiful. Adm. Sci. 2021, 11, 90. [Google Scholar] [CrossRef]
  27. Moeuf, A.; Pellerin, R.; Lamouri, S.; Tamayo-Giraldo, S.; Barbaray, R. The industrial management of SMEs in the era of Industry 4.0. Int. J. Prod. Res. 2018, 56, 1118–1136. [Google Scholar] [CrossRef]
  28. Kahar, A.; Tampang, T.; Masdar, R.; Masrudin, M. Value chain analysis of total quality control, quality performance and competitive advantage of agricultural SMEs. Uncertain Supply Chain Manag. 2022, 10, 551–558. [Google Scholar] [CrossRef]
  29. Yang, C.C. The effectiveness analysis of the practices in five quality management stages for SMEs. Total. Qual. Manag. Bus. Excell. 2020, 31, 955–977. [Google Scholar] [CrossRef]
  30. Sundaram, S.; Zeid, A. Artificial intelligence-based smart quality inspection for manufacturing. Micromachines 2023, 14, 570. [Google Scholar] [CrossRef]
  31. Adeoti, O.A.; Ogundipe, P. A control chart for the generalized exponential distribution under time truncated life test. Life Cycle Reliab. Saf. Eng. 2021, 10, 53–59. [Google Scholar] [CrossRef]
  32. Quinino, R.D.C.; Ho, L.L.; Cruz, F.R.B.D.; Bessegato, L.F. A control chart to monitor the process mean based on inspecting attributes using control limits of the traditional X-bar chart. J. Stat. Comput. Simul. 2020, 90, 1639–1660. [Google Scholar] [CrossRef]
  33. Rao, G.S. A control chart for time truncated life tests using exponentiated half logistic distribution. Appl. Math. Inf. Sci. 2018, 12, 125–131. [Google Scholar] [CrossRef]
  34. Rao, G.S.; Al-Omari, A.I. Attribute Control Charts Based on TLT for Length-Biased Weighted Lomax Distribution. J. Math. 2022, 2022, 3091850. [Google Scholar]
  35. Alomair, M.A.; Ahmad, Z.; Rao, G.S.; Al-Mofleh, H.; Khosa, S.K.; Al Naim, A.S. A new trigonometric modification of the Weibull distribution: Control chart and applications in quality control. PLoS ONE 2023, 18, e0286593. [Google Scholar] [CrossRef]
  36. Aslam, M.; Jun, C.H. Attribute control charts for the Weibull distribution under truncated life tests. Qual. Eng. 2015, 27, 283–288. [Google Scholar] [CrossRef]
  37. Adeoti, O.A.; Rao, G.S. Attribute Control Chart for Rayleigh Distribution Using Repetitive Sampling under Truncated Life Test. J. Probab. Stat. 2022, 2022, 8763091. [Google Scholar] [CrossRef]
Figure 1. Graphical illustrations of F x ; λ and S x ; λ of the NMS-Weibull distribution.
Figure 1. Graphical illustrations of F x ; λ and S x ; λ of the NMS-Weibull distribution.
Symmetry 15 01892 g001
Figure 2. Visual illustrations of f x ; λ of the NMS-Weibull distribution.
Figure 2. Visual illustrations of f x ; λ of the NMS-Weibull distribution.
Symmetry 15 01892 g002
Figure 3. Graphical illustration of the SS of the NMS-Weibull model for α = 1.6 and τ = 0.7 .
Figure 3. Graphical illustration of the SS of the NMS-Weibull model for α = 1.6 and τ = 0.7 .
Symmetry 15 01892 g003
Figure 4. Graphical illustration of the SS of the NMS-Weibull model for α = 1.2 and τ = 0.5 .
Figure 4. Graphical illustration of the SS of the NMS-Weibull model for α = 1.2 and τ = 0.5 .
Symmetry 15 01892 g004
Figure 5. Graphical illustration of the SS of the NMS-Weibull model for α = 0.9 and τ = 1.2 .
Figure 5. Graphical illustration of the SS of the NMS-Weibull model for α = 0.9 and τ = 1.2 .
Symmetry 15 01892 g005
Figure 6. Visual description of the failure times in the secondary reactor pumps data set.
Figure 6. Visual description of the failure times in the secondary reactor pumps data set.
Symmetry 15 01892 g006
Figure 7. The profiles of the log-likelihood function of α ^ M L E and τ ^ M L E of the NMS-Weibull distribution.
Figure 7. The profiles of the log-likelihood function of α ^ M L E and τ ^ M L E of the NMS-Weibull distribution.
Symmetry 15 01892 g007
Figure 8. The visual comparison of the fitted models using the failure times between secondary reactor pumps.
Figure 8. The visual comparison of the fitted models using the failure times between secondary reactor pumps.
Symmetry 15 01892 g008
Figure 9. The proposed control chart for real data.
Figure 9. The proposed control chart for real data.
Symmetry 15 01892 g009
Figure 10. The attribute control chart for Weibull distribution using real data.
Figure 10. The attribute control chart for Weibull distribution using real data.
Symmetry 15 01892 g010
Table 1. Numerical results of the SS of the NMS-Weibull for α = 1.6 and τ = 0.7 .
Table 1. Numerical results of the SS of the NMS-Weibull for α = 1.6 and τ = 0.7 .
nParametersMLEsMSEsBiases
25 α 1.70584700.0934830430.105846584
τ 0.81554790.0932833760.115547865
50 α 1.64236300.0348151980.042363078
τ 0.73230580.0266489790.032305759
75 α 1.63554900.0216502510.035549066
τ 0.73000490.0157521970.030004944
100 α 1.61938100.0150165470.019380712
τ 0.71820180.0104799300.018201807
150 α 1.61146200.0106812630.011461775
τ 0.70620990.0060445190.006209865
200 α 1.61794300.0085794870.017942898
τ 0.71420040.0061899210.014200418
250 α 1.60930600.0056646330.009306357
τ 0.71669430.0041823480.016694310
300 α 1.60424100.0055193440.004240543
τ 0.70397170.0031505460.003971737
350 α 1.59983300.004396528−0.000167242
τ 0.70279760.0027607480.002797628
400 α 1.59870600.003819449−0.001293900
τ 0.70554470.0021809820.005544683
450 α 1.60538100.0033545060.005381075
τ 0.70379440.0017582270.003794365
500 α 1.60593500.0031140730.005934558
τ 0.70823240.0019678120.008232406
Table 2. Numerical results of the SS of the NMS-Weibull for α = 1.2 and τ = 0.5 .
Table 2. Numerical results of the SS of the NMS-Weibull for α = 1.2 and τ = 0.5 .
nParametersMLEsMSEsBiases
25 α 1.25490600.0443952380.054906051
τ 0.55506710.0275880790.055067128
50 α 1.23581900.0213386340.035818576
τ 0.53119350.0119474120.031193494
75 α 1.21245000.0112717060.012449877
τ 0.50889940.0051709000.008899357
100 α 1.22815500.0098156680.028154642
τ 0.51752430.0053632980.017524305
150 α 1.20649900.0053206260.006499179
τ 0.50406550.0025770400.004065460
200 α 1.20350300.0040523040.003503492
τ 0.50687800.0019014670.006877954
250 α 1.20596800.0032268390.005967537
τ 0.50652020.0016311630.006520181
300 α 1.20425400.0026015330.004254301
τ 0.50376540.0013723640.003765379
350 α 1.20605500.0024050260.006055456
τ 0.50102200.0010035040.001021994
400 α 1.20688300.0019714110.006882850
τ 0.50232430.0008438740.002324347
450 α 1.20594200.0020050090.005941682
τ 0.50249520.0007927740.002495189
500 α 1.20320200.0014868210.003202500
τ 0.50094890.0007605800.000948948
Table 3. Numerical results of the SS of the NMS-Weibull for α = 0.9 and τ = 1.2 .
Table 3. Numerical results of the SS of the NMS-Weibull for α = 0.9 and τ = 1.2 .
nParametersMLEsMSEsBiases
25 α 0.97316100.0306676410.073161002
τ 1.52462500.6519266480.324624826
50 α 0.93005650.0100753930.030056496
τ 1.30339000.1192774600.103390382
75 α 0.92598970.0062064550.025989684
τ 1.28265800.0678691320.082657543
100 α 0.91907430.0043371600.019074256
τ 1.26668300.0528362510.066682575
150 α 0.91187960.0025425780.011879576
τ 1.23304400.0210793140.033043678
200 α 0.90741340.0011982300.007413419
τ 1.22149300.0133748420.021492592
250 α 0.90721190.0010056030.007211943
τ 1.22307200.0086031710.023071959
300 α 0.90636320.0008026790.006363228
τ 1.21523400.0068355590.015233889
350 α 0.90459640.0005315110.004596404
τ 1.21207300.0046128840.012072942
400 α 0.90406320.0003499530.004063192
τ 1.21156800.0033781310.011567549
450 α 0.90392900.0003194770.003928996
τ 1.21155000.0029117360.011550037
500 α 0.90394530.0002742940.003945275
τ 1.20784200.0021328460.007841758
Table 4. The failure times in the secondary reactor pumps data set with summary values.
Table 4. The failure times in the secondary reactor pumps data set with summary values.
2.160, 0.746, 0.402, 0.954, 0.491, 6.560, 4.992, 0.347, 0.150, 0.358, 0.101, 1.359,
3.465, 1.060, 0.614, 1.921, 4.082, 0.199, 0.605, 0.273, 0.070, 0.062, 5.320
nMin.Max. x ¯ Median V a r x
230.0626.5601.5780.6143.7275
Q 1 S D x Q 3 SkewnessKurtosisRange
0.3101.93062.0411.36433.544536.498
Table 5. Using the failure times between secondary reactor pumps, the values of α ^ M L E , τ ^ M L E , θ ^ M L E , and σ ^ M L E of the fitted distributions.
Table 5. Using the failure times between secondary reactor pumps, the values of α ^ M L E , τ ^ M L E , θ ^ M L E , and σ ^ M L E of the fitted distributions.
Models α ^ M L E τ ^ M L E θ ^ M L E σ ^ M L E
NMS-Weibull0.86230.1338--
Weibull0.80910.7642--
NM-Weibull0.80000.783526.5708-
ETX-Weibull0.800926.7728-0.79023
Table 6. For the failure times between secondary reactor pumps, the values of the selection criteria of the fitted distributions.
Table 6. For the failure times between secondary reactor pumps, the values of the selection criteria of the fitted distributions.
ModelsCVMADKSp-Value
NMS-Weibull0.05780.39080.11010.9143
Weibull0.06550.43150.11920.8615
NM-Weibull0.06620.43530.11920.8614
ETX-Weibull0.06640.43650.11680.8766
Table 7. The ARLs values of the proposed chart for α = 2 and n = 20 .
Table 7. The ARLs values of the proposed chart for α = 2 and n = 20 .
r 0 200250300370500
L 2.8842.9552.9383.033.158
a 0.8790.8080.9580.9830.846
c ARL 1 ARL 1 ARL 1 ARL 1 ARL 1
0.101.001.001.001.001.00
0.201.011.011.011.021.01
0.301.191.221.171.341.30
0.401.962.081.872.602.44
0.504.164.493.886.465.83
0.609.9310.759.1717.8615.33
0.7024.7426.5822.8850.9541.33
0.8060.9564.7557.63141.44109.48
0.8592.7998.7690.77223.52174.27
0.90134.06145.40140.87319.88268.23
0.95175.98200.81212.04343.54387.12
1.00200.70250.51300.44370.44500.27
1.05196.47241.17282.97302.71485.51
1.10170.84233.97242.29227.89449.46
1.15139.02211.35198.58167.79412.00
1.20110.25192.39183.70124.31364.17
1.2587.18156.57169.8193.68287.37
1.3069.50126.98151.0372.01226.58
1.4045.9185.26120.0545.11144.99
1.5032.0159.7484.0430.2697.61
1.6023.4043.6857.2821.4868.98
1.7017.8233.1540.9315.9750.81
1.8014.0325.9730.4512.3438.78
1.9011.3620.9123.459.8430.49
2.009.4317.2218.588.0724.58
3.003.155.254.662.606.56
4.001.973.032.551.673.54
Table 8. The ARL values of the proposed chart for α = 1.5 and n = 20 .
Table 8. The ARL values of the proposed chart for α = 1.5 and n = 20 .
r 0 200250300370500
L 2.8882.9534.1253.0333.48
a 0.8430.7520.5460.9780.623
c ARL 1 ARL 1 ARL 1 ARL 1 ARL 1
0.101.001.001.001.001.00
0.201.011.011.151.021.03
0.301.191.222.391.341.50
0.401.952.097.292.603.21
0.504.134.5124.526.438.24
0.609.8410.8280.8217.7522.32
0.7024.4726.77163.0750.6159.85
0.8060.2065.26195.59140.42152.22
0.8591.6999.54210.22222.05232.16
0.90132.66146.48242.30318.38333.59
0.95174.75202.02279.98343.04435.84
1.00200.31251.41300.69371.34501.33
1.05197.10234.31236.65304.21475.10
1.10172.03223.36187.87229.29458.56
1.15140.28213.35151.21168.89390.96
1.20111.35191.34123.54125.12323.76
1.2588.08155.64102.4194.27265.88
1.3070.21126.2086.0472.45218.90
1.4046.3584.7562.9545.37152.08
1.5032.2959.4047.9730.42109.92
1.6023.6043.4437.7921.5882.47
1.7017.9532.9830.6116.0463.92
1.8014.1325.8525.3712.3850.92
1.9011.4420.8121.449.8841.53
2.009.4917.1518.438.0934.56
3.003.165.247.032.6110.73
4.001.983.024.331.675.95
Table 9. The ARL values of the proposed chart for α = 2 and n = 30 .
Table 9. The ARL values of the proposed chart for α = 2 and n = 30 .
r 0 200250300370500
L 2.9072.9922.9712.9813.123
a 0.9060.8090.6730.9060.698
c ARL 1 ARL 1 ARL 1 ARL 1 ARL 1
0.101.001.001.001.001.00
0.201.001.001.001.001.00
0.301.021.041.091.061.10
0.401.291.371.641.561.74
0.502.262.553.393.393.83
0.605.125.958.299.4010.09
0.7013.4015.6321.7829.4428.48
0.8037.4143.0457.8795.6181.29
0.8562.5671.3393.19168.17135.87
0.90102.06116.09146.59273.11222.43
0.95154.83180.09219.82367.05348.48
1.00201.33251.90301.85370.65500.69
1.05189.38226.81289.43294.45423.67
1.10178.12207.36272.73209.52381.51
1.15135.64200.07246.91145.83365.05
1.2099.68186.32231.56102.93339.66
1.2573.41141.45227.2274.48308.30
1.3054.98107.73181.7555.35295.86
1.4032.8465.27118.4232.89185.22
1.5021.2342.2880.7421.24122.12
1.6014.6829.0957.6514.6884.73
1.7010.7121.0442.8810.7161.44
1.808.1815.8733.008.1846.25
1.906.4812.4026.156.4835.92
2.005.299.9821.245.2928.66
3.001.832.895.951.837.17
4.001.291.773.301.293.76
Table 10. The ARL values of the proposed chart for α = 1.5 and n = 30 .
Table 10. The ARL values of the proposed chart for α = 1.5 and n = 30 .
r 0 200250300370500
L 2.9052.9912.9393.13.122
a 0.8770.7540.9320.9050.619
c ARL 1 ARL 1 ARL 1 ARL 1 ARL 1
0.101.001.001.001.001.00
0.201.001.001.001.001.00
0.301.021.041.021.041.10
0.401.281.371.301.411.74
0.502.262.542.322.753.84
0.605.115.945.376.9510.11
0.7013.3515.5914.4720.1328.56
0.8037.2342.9141.8361.7181.57
0.8562.2671.1071.70107.87136.35
0.90101.59115.73121.89183.26223.20
0.95154.25179.59200.31286.00349.58
1.00200.97250.42300.42370.81500.90
1.05189.56291.67285.00359.57474.37
1.10178.63287.63267.04296.68451.27
1.15136.17240.53246.01214.97434.17
1.20100.10186.77217.59152.15418.62
1.2573.72141.81156.31108.83377.37
1.3055.20108.00113.2479.57295.10
1.4032.9665.4363.1745.70184.76
1.5021.3142.3838.3828.60121.83
1.6014.7229.1525.1119.2284.54
1.7010.7421.0817.4713.6961.32
1.808.2015.9012.7810.2346.16
1.906.4912.429.747.9535.86
2.005.319.997.706.3828.61
3.001.832.902.171.997.16
4.001.291.771.401.343.75
Table 11. The ARL values of the proposed chart for α ^ = 0.8623 and n = 20 .
Table 11. The ARL values of the proposed chart for α ^ = 0.8623 and n = 20 .
r 0 200250300370500
L 2.8912.9532.9393.0593.157
a 0.7440.6090.9050.8640.678
c ARL 1 ARL 1 ARL 1 ARL 1 ARL 1
0.101.001.001.001.001.00
0.201.011.011.011.011.01
0.301.181.221.171.211.30
0.401.952.091.872.082.45
0.504.114.513.884.595.84
0.609.7710.839.1811.4515.39
0.7024.2826.7922.9229.8641.51
0.8059.7165.3257.7477.76110.00
0.8590.9599.6290.95123.64175.11
0.90131.73146.59141.15191.40269.46
0.95173.91202.15212.45280.32388.59
1.00200.02251.51300.91370.36500.42
1.05197.51234.32283.33339.73455.68
1.10172.83213.29221.32313.00428.63
1.15141.14203.25198.29301.50410.73
1.20112.10191.23167.27270.75362.91
1.2588.68155.54159.39209.65286.30
1.3070.69126.12140.68162.26225.72
1.4046.6584.70129.83100.52144.45
1.5032.4959.3683.9165.9797.28
1.6023.7343.4257.1945.7168.75
1.7018.0532.9740.8733.1750.66
1.8014.2025.8430.4125.0338.67
1.9011.4920.8023.4219.5130.40
2.009.5317.1418.5615.6424.52
3.003.175.244.654.216.55
4.001.983.022.542.383.53
Table 12. The ARL values of the proposed chart for α ^ = 0.8623 and n = 30 .
Table 12. The ARL values of the proposed chart for α ^ = 0.8623 and n = 30 .
r 0 200250300370500
L 2.9012.992.9413.0993.144
a 0.7970.6120.8840.8410.634
c ARL 1 ARL 1 ARL 1 ARL 1 ARL 1
0.101.001.001.001.001.00
0.201.001.001.001.001.00
0.301.021.041.031.041.06
0.401.281.371.301.401.57
0.502.252.542.322.753.35
0.605.075.935.406.938.97
0.7013.2315.5814.5420.0726.74
0.8036.8642.8742.0761.4882.35
0.8561.6171.0272.15107.46143.30
0.90100.56115.60122.68182.58241.92
0.95152.97179.40201.52285.17377.69
1.00200.18250.24300.77370.41500.49
1.05189.93226.61275.54359.99477.14
1.10179.73217.73266.28297.46449.62
1.15137.31204.70244.72215.67342.01
1.20101.01186.93216.42152.66250.65
1.2574.39141.94155.43109.20183.85
1.3055.69108.10112.6079.83136.97
1.4033.2365.4962.8445.8380.68
1.5021.4642.4138.2028.6851.25
1.6014.8229.1725.0119.2734.69
1.7010.8121.1017.4013.7224.75
1.808.2415.9112.7310.2518.44
1.906.5312.439.717.9614.25
2.005.3310.007.676.3911.36
3.001.832.902.161.993.10
4.001.291.771.401.351.85
Table 13. The ARLs of attribute control charts for NMS-Weibull and Weibull distributions when A R L 0 = 370 and n = 20 .
Table 13. The ARLs of attribute control charts for NMS-Weibull and Weibull distributions when A R L 0 = 370 and n = 20 .
L3.0593.033
a 0.8640.588
c NMS-WeibullWeibull
1.0370.36371.41
1.1313.00355.04
1.2270.75280.20
1.3162.26180.81
1.4100.52107.48
1.565.9767.16
1.645.7147.06
1.733.1734.87
1.825.0326.74
1.919.5121.12
215.6417.10
Disclaimer/Publisher’s Note: The statements, opinions and data contained in all publications are solely those of the individual author(s) and contributor(s) and not of MDPI and/or the editor(s). MDPI and/or the editor(s) disclaim responsibility for any injury to people or property resulting from any ideas, methods, instructions or products referred to in the content.

Share and Cite

MDPI and ACS Style

Alshanbari, H.M.; Rao, G.S.; Seong, J.-T.; Khosa, S.K. A New Sine-Based Distributional Method with Symmetrical and Asymmetrical Natures: Control Chart with Industrial Implication. Symmetry 2023, 15, 1892. https://doi.org/10.3390/sym15101892

AMA Style

Alshanbari HM, Rao GS, Seong J-T, Khosa SK. A New Sine-Based Distributional Method with Symmetrical and Asymmetrical Natures: Control Chart with Industrial Implication. Symmetry. 2023; 15(10):1892. https://doi.org/10.3390/sym15101892

Chicago/Turabian Style

Alshanbari, Huda M., Gadde Srinivasa Rao, Jin-Taek Seong, and Saima K. Khosa. 2023. "A New Sine-Based Distributional Method with Symmetrical and Asymmetrical Natures: Control Chart with Industrial Implication" Symmetry 15, no. 10: 1892. https://doi.org/10.3390/sym15101892

APA Style

Alshanbari, H. M., Rao, G. S., Seong, J.-T., & Khosa, S. K. (2023). A New Sine-Based Distributional Method with Symmetrical and Asymmetrical Natures: Control Chart with Industrial Implication. Symmetry, 15(10), 1892. https://doi.org/10.3390/sym15101892

Note that from the first issue of 2016, this journal uses article numbers instead of page numbers. See further details here.

Article Metrics

Back to TopTop