A Symmetry In-between the Shapes, Shells, and Clusters of Nuclei
Abstract
1. Introduction
2. Connecting Symmetry
2.1. Single-Shell Problem
2.2. Multi-Shell Problem
2.2.1. Structure Models
- (i)
- (ii)
- It contains the linear canonical transformations of nucleon coordinates and momenta, that preserve Heisenberg’s commutation relations.
- (iii)
- Its generators include the total kinetic energy, the monopole and quadrupole moment, the angular momentum, and the many-particle HO Hamiltonian.
2.2.2. Transformations and Symmetries
3. Application
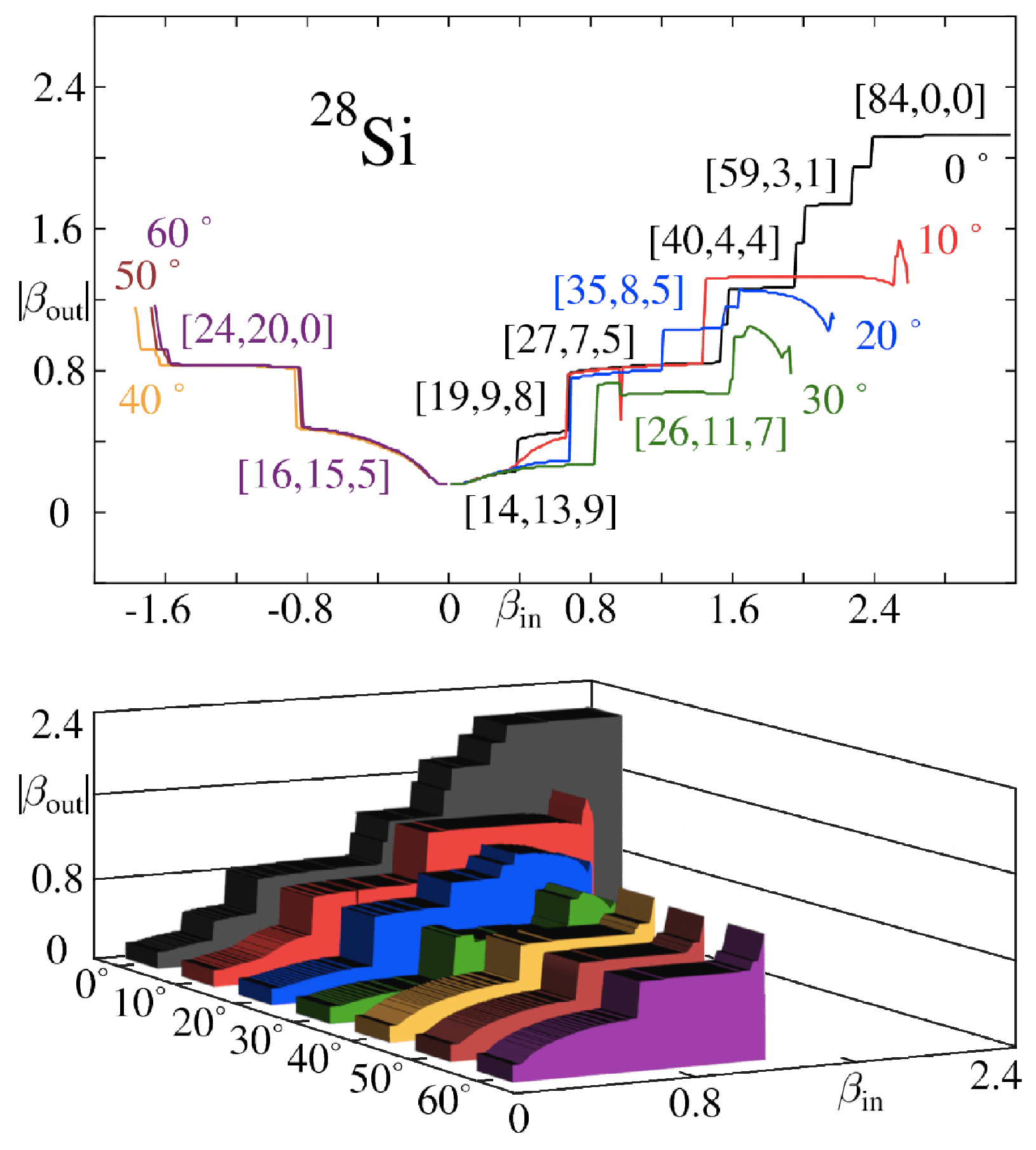
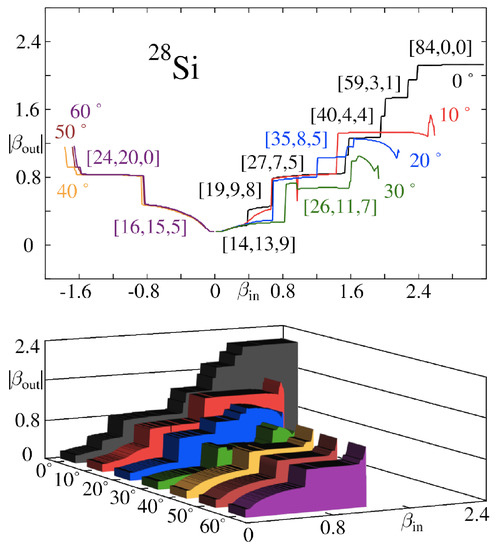
3.1. Shape Isomers
- (i)
- Determine the Nilsson-orbitals as a function of the quadrupole deformation parameters.
- (ii)
- Obtain the many-particle state by filling in the Nilsson orbitals according to the energy minimum and Pauli-exclusion principle.
- (iii)
- Expand the single-particle orbitals in terms of the asymptotic Nilsson-states [38].
- (iv)
- Determine the effective SU(3) quantum numbers from the linear combinations of (iii) and from the relations of the large deformation.
- (v)
- The effective quantum numbers can be translated to the parameters of the quadrupole deformation.
3.2. Clusterization and Reaction Channels
3.3. Spectra
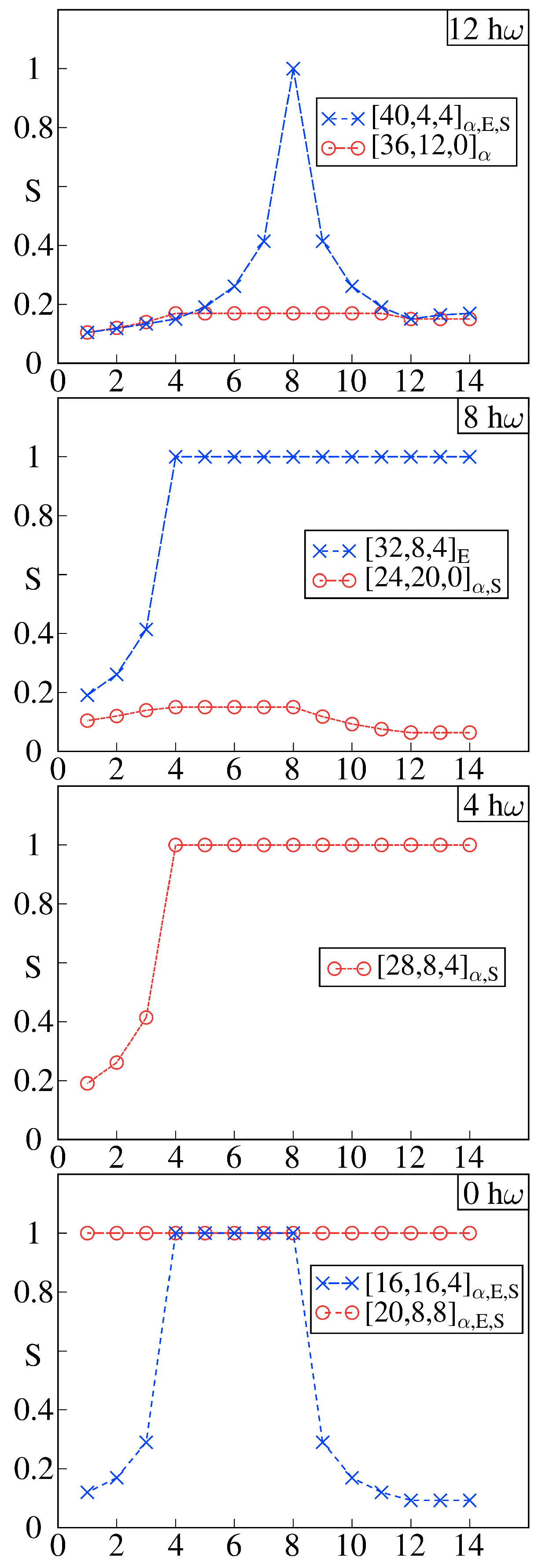
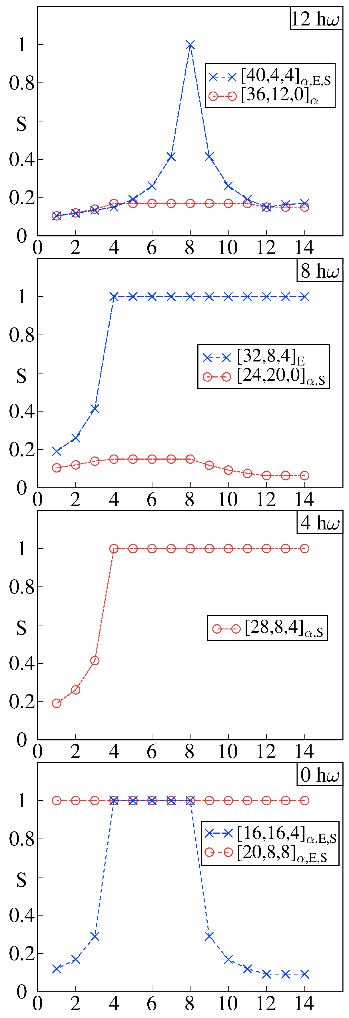
3.4. Spontaneous Breaking and Cluster-Shell Duality
4. Summary and Conclusions
Author Contributions
Funding
Data Availability Statement
Conflicts of Interest
References
- Elliott, J.P. Collective Motion in the Nuclear Shell Model. I. Classification Schemes for States of Mixed Configurations. Proc. R. Soc. A 1958, 245, 128–145. [Google Scholar]
- Elliott, J.P. Collective Motion in the Nuclear Shell Model. II. The Introduction of Intrinsic Wave-Functions. Proc. R. Soc. A 1958, 245, 562–581. [Google Scholar]
- Wildermuth, K.; Kanellopoulos, T. The “cluster model” of the atomic nuclei. Nucl. Phys. 1958, 7, 150–162. [Google Scholar] [CrossRef]
- Bayman, B.F.; Bohr, A. On the connection between the cluster model and the SU3 coupling scheme for particles in a harmonic oscillator potential. Nucl. Phys. 1958, 9, 596–599. [Google Scholar] [CrossRef]
- Cseh, J. Spontantaneous symmetry-breaking in Elliott-type models and the nuclear deformation. Phys. Lett. B 2019, 793, 59–64. [Google Scholar] [CrossRef]
- Draayer, J.P. Algebraic Approaches to Nuclear Structure; Casten Harwood, R.F., Ed.; Academic: New York, NY, USA, 1993; p. 423. [Google Scholar]
- Rowe, D.J. Microscopic theory of the nuclear collective model. Rep. Prog. Phys. 1985, 48, 1419–1480. [Google Scholar] [CrossRef]
- Iachello, F.; Arima, A. The Interacting Boson Model; Cambridge University Press: Cambridge, UK, 1987; ISBN 9780521302821. [Google Scholar]
- Reinhard, P.G.; Otten, E.W. Transition to deformed shapes as a nuclear Jahn-Teller effect. Nucl. Phys. A 1984, 420, 173–192. [Google Scholar] [CrossRef]
- Nazarewicz, W. Nuclear deformations as a spontaneous symmetry breaking. Int. J. Mod. Phys. E 1993, 2, 51–69. [Google Scholar] [CrossRef]
- Kirson, M.V.; Leviatan, A. Resolution of any interacting-boson-model Hamiltonian into intrinsic and collective parts. Phys. Rev. Lett. 1985, 55, 2846–2849. [Google Scholar] [CrossRef]
- Cseh, J. Dual breaking of symmetries in algebraic models. Eur. Phys. J. Spec. Top. 2020, 229, 2543–2554. [Google Scholar] [CrossRef]
- Cseh, J.; Lévai, G.; Algora, A.; Hess, P.O.; Intasorn, A.; Kato, K. On the shell model connection of the cluster model. Acta Phys. Hung. 2000, 12, 119–122. [Google Scholar]
- Rosensteel, G.; Rowe, D.J. Nuclear Sp(3, R). Phys. Rev. Lett. 1980, 38, 10–14. [Google Scholar] [CrossRef]
- Rowe, D.J. The fundamental role of symmetry in nuclear models. AIP Conf. Proc. 2013, 1541, 104–136. [Google Scholar]
- Launey, K.D.; Dytrych, T.; Sargsyan, G.H.; Baker, R.B.; Draayer, J.P. Emergent symplectic symmetry in atomic nuclei. Eur. Phys. J. Spec. Top. 2020, 229, 2429–2441. [Google Scholar] [CrossRef]
- Tobin, G.K.; Ferriss, M.C.; Launey, K.D.; Dytrych, T.; Draayer, J.P.; Dreyfuss, A.C.; Bahri, C. Symplectic no-core shell-model approach to intermediate-mass nuclei. Phys. Rev. C 2014, 89, 034312. [Google Scholar] [CrossRef]
- Dytrych, T.; Sviratcheva, K.D.; Draayer, J.P.; Bahri, C.; Vary, J.P. Ab initio symplectic no-core shell model. J. Phys. G 2008, 35, 123101. [Google Scholar] [CrossRef]
- Dytrych, T.; Maris, P.; Launey, K.D.; Draayer, J.P.; Vary, J.P.; Langr, D.; Saule, E.; Caprio, M.A.; Catalyurek, U.; Sosonkina, M. Efficacy of the SU(3) scheme for ab initio large-scale calculations beyond the lightest nuclei. Comp. Phys. Com. 2016, 207, 202–210. [Google Scholar] [CrossRef]
- Cseh, J. Algebraic models for shell-like quarteting of nucleons. Phys. Lett. B 2015, 743, 213–217. [Google Scholar] [CrossRef]
- Rowe, D.J.; Rosensteel, G. Rotational bands in the u(3)-boson model. Phys. Rev. C 1982, 25, 3236–3238. [Google Scholar] [CrossRef]
- Castanos, O.; Draayer, J.P. Contracted symplectic model with ds-shell applications. Nucl. Phys. A 1989, 491, 349–372. [Google Scholar] [CrossRef]
- Cseh, J. Semimicroscopic algebraic description of nuclear cluster states. Vibron model coupled to the SU(3) shell model. Phys. Lett. B 1992, 281, 173–177. [Google Scholar] [CrossRef]
- Cseh, J.; Lévai, G. Semimicroscopic Algebraic Cluster Model of Light Nuclei. I. Two-Cluster-Systems with Spin-Isospin-Free Interactions. Ann. Phys. 1994, 230, 165–200. [Google Scholar] [CrossRef]
- Iachello, F. Algebraic approach to nuclear quasimolecular spectra. Phys. Rev. 1981, 23, 2778–2780. [Google Scholar] [CrossRef]
- Iachello, F.; Levine, R.D. Algebraic approach to molecular rotation-vibration spectra. I. Diatomic molecules. J. Chem. Phys. 1982, 77, 3046–3055. [Google Scholar] [CrossRef][Green Version]
- Cseh, J. Microscopic structure and mathematical background of the multiconfigurational dynamical symmetry. Phys. Rev. C 2021, 103, 064322. [Google Scholar] [CrossRef]
- Cseh, J. Multichannel dynamical symmetry and heavy ion resonances. Phys. Rev. C 1994, 50, 2240–2243. [Google Scholar] [CrossRef]
- Cseh, J.; Kato, K. Multichannel dynamical symmetry and cluster-coexistence. Phys. Rev. C 2013, 87, 067301. [Google Scholar] [CrossRef]
- Cseh, J. On the relation of the shell, collective and cluster models. J. Phys. Conf. Ser. 2015, 580, 012046. [Google Scholar] [CrossRef]
- Cseh, J.; Riczu, G. Quartet excitations and cluster spectra in light nuclei. Phys. Lett. B 2016, 757, 312–316. [Google Scholar] [CrossRef]
- Kramer, P.; Moshinsky, M. Group Theory of Harmonic Oscillators and Nuclear Structure. In Group Theory and Its Applications; Loebl, E.M., Ed.; Academic Press: New York, NY, USA, 1968; pp. 339–468. ISBN 978-1-4832-3188-4. [Google Scholar]
- Rowe, D.J. Embedded Representations and Quasi-Dynamical Symmetry. In Proceedings of the Symposium in Honor of Jerry P Draayer’s 60th Birthday, Playa del Carmen, Mexico, 18–21 February 2003. [Google Scholar]
- Rochford, P.; Rowe, D.J. The survival of rotor and SU(3) bands under strong spin-orbit symmetry mixing. Phys. Lett. B 1988, 210, 5–9. [Google Scholar] [CrossRef]
- Rochford, P.; Rowe, D.J.; Repka, J. Dynamic structure and embedded representation in physics: The group theory of the adiabatic approximation. J. Math. Phys. 1988, 29, 572–577. [Google Scholar]
- Cseh, J.; Riczu, G.; Darai, J. Shape isomers of light nuclei from the stability and consistency of the SU(3) symmetry. Phys. Lett. B 2009, 795, 160–164. [Google Scholar] [CrossRef]
- Jarrio, M.; Wood, J.L.; Rowe, D.J. The SU(3) structure of rotational states in heavy deformed nuclei. Nucl. Phys. A 1991, 528, 409–435. [Google Scholar] [CrossRef]
- Hess, P.O.; Algora, A.; Hunyadi, M.; Cseh, J. Configuration-mixed effective SU(3) symmetries. Eur. Phys. J. A 2002, 15, 449–454. [Google Scholar] [CrossRef]
- Leander, G.; Larsson, S.E. Potential-energy surfaces for the doubly even N=Z nuclei. Nucl. Phys. A 1975, 239, 93–113. [Google Scholar] [CrossRef]
- Merchant, A.C.; Rae, W.D.M. Systematics of alpha-chain states in 4N-nuclei. Nucl. Phys. A 1992, 549, 431–438. [Google Scholar] [CrossRef]
- Zhang, J.; Rae, W.D.M. Systematics of 2-dimensional α-cluster configurations in 4N nuclei from 12C to 44Ti. Nucl. Phys. A 1993, 564, 252–270. [Google Scholar] [CrossRef]
- Zhang, J.; Rae, W.D.M.; Merchant, A.C. Systematics of some 3-dimensional α-cluster configurations in 4N nuclei from 16O to 44Ti. Nucl. Phys. A 1994, 575, 61–71. [Google Scholar] [CrossRef]
- Blomqvist, J.; Molinari, A. Collective 0− vibrations in even spherical nuclei with tensor forces. Nucl. Phys. A 1968, 106, 545–569. [Google Scholar] [CrossRef]
- Adsley, P.; Jenkins, D.G.; Cseh, J.; Dimitriova, S.S.; Brummer, J.W.; Li, K.C.W.; Marín-Lámbarri, D.J.; Lukyanov, K.; Kheswa, N.Y.; Neveling, R.; et al. Alpha clustering in 28Si probed through the identification of high-lying 0+ states. Phys. Rev. C 2017, 95, 024319. [Google Scholar] [CrossRef]
- Akiyama, Y.; Draayer, J.P. A User’s guide to Fortran programs for Wigner and Racah coefficients of SU3. Comp. Phys. Com. 1973, 5, 405–415. [Google Scholar] [CrossRef]
- Darai, J.; Cseh, J.; Jenkins, D.G.; Cseh, J. Shape isomers and clusterization in the 28Si nucleus. Phys. Rev. C 2012, 86, 064309. [Google Scholar] [CrossRef]
- Jenkins, D.G.; Lister, C.J.; Carpenter, M.P.; Chowdury, P.; Hammond, N.J.; Janssens, R.V.F.; Khoo, T.L.; Lauritsen, T.; Seweryniak, D.; Davinson, T.; et al. Candidate superdeformed band in 28Si. Phys. Rev. C 2012, 86, 064308. [Google Scholar] [CrossRef]
- Cseh, J.; Darai, J.; Sciani, W.; Otani, Y.; Lepine-Szily, A.; Benjamim, E.A.; Chamon, L.C.; Lichtenthaler Filho, R. Elongated shape isomers in the 36Ar nucleus. Phys. Rev. C 2009, 80, 034320. [Google Scholar] [CrossRef]
- Sciani, W.; Otani, Y.; Lepine-Szily, A.; Benjamim, E.A.; Chamon, L.C.; Lichtenthaler Filho, R.; Cseh, J.; Darai, J. Possible hyperdeformed band in 36Ar observed in 12C + 24Mg elastic scattering. Phys. Rev. C 2009, 80, 034319. [Google Scholar] [CrossRef]











| Nucl. | Energy Surface | Alpha-Cluster | SCS-Method | |||||
|---|---|---|---|---|---|---|---|---|
| :: (,) | U(3) | Shape | U(3) | (,) | a:b:c | |||
| 28Si | 0 | [14,13,9] | (0.19,49) | 1.2:1.2:1 | ||||
| 3:3:2 (0.45,0) | [20,8,8] | Pro (GS) | [20,8,8] | [19,9,8] | (0.44,5) | 1.5:1.0:1 | ||
| 2:1:1 (0.49,60) | [16,16,4] | Obl | [16,16,4] | [16,15,5] | (0.44,55) | 1.6:1.5:1 | ||
| 4 | Tri | [28,8,4] | [27,7,5] | (0.84,5) | 2.2:1.1:1 | |||
| 8 | 2D (3:2) | [24,20,0] | [24,20,0] | (0.84,51) | 2.7:2.4:1 | |||
| 2D (3:2) | [28,16,0] | [26,11,7] | [0.7,12) | 1.9:1.2:1 | ||||
| (1.35.60) | [32,8,4] | |||||||
| 12 | 2D (3:1) | [36,12,0] | [35,8,5] | (1.0,5) | 2.6:1.6:1 | |||
| (1.0,0) | [40,4,4] | Pro (4:1) | [40,4,4] | [40,4,4] | (1.3,0) | 3:1:1 | ||
| 16 | 6:3:1 (1.32,35) | [44,8,0] | ||||||
| 28 | [59,3,1] | (1.7,2) | 4.9:1.1:1 | |||||
| 48 | -ch | [84,0,0] | [84,0,0] | (2.1,0) | 7:1:1 | |||
| 36Ar | 0 | 3:2:2 (0.29,60) | [20,20,12] | GS | [20,20,12] | [20,19,13] | (0.2,52) | 1.2:1.2:1 |
| [20,18,15] | (0.1,37) | 1.2:1.1:1 | ||||||
| 4 | [26,22,8] | (0.5,48) | 1.7:1.5:1 | |||||
| Tri | [32,16,8] | [30,15,11] | (0.5,12) | 1.7:1.1:1 | ||||
| 8 | [30,25,5] | (0.6,49) | 2.1:1.9:1 | |||||
| (0.74,7) | [40,12,8] | [39,12,9] | (0.8,5) | 2.1:1.1:1 | ||||
| 12 | Tri | [48,8,8] | [47,9,8] | (1.0,1) | 2.5:1.0:1 | |||
| 16 | 2D (4:1) | [40,28,0] | ||||||
| (1.45,55) | [48,12,8] | |||||||
| 20 | [40,32,0] | (0.9,49) | 3.2:2.8:1 | |||||
| 2D (2:1) | [52,20,0] | |||||||
| (1.33,47) | [56,12,4] | |||||||
| 24 | [63,7,5] | (1.4,2) | 3.5:1.1:1 | |||||
| 28 | 2D (3:1) | [64,16,0] | ||||||
| 92 | -ch | [144,0,0] | [144,0,0] | (2.3,0) | 9:1:1 | |||
| a | b | d | |||
|---|---|---|---|---|---|
| 28Si | 12.10800 | −0.13089 | 0.00043 | 1.07359 | 0.366 |
| 36Ar | 11.33540 | −0.11060 | 0.00047 | 1.29467 | 0.466 |
Disclaimer/Publisher’s Note: The statements, opinions and data contained in all publications are solely those of the individual author(s) and contributor(s) and not of MDPI and/or the editor(s). MDPI and/or the editor(s) disclaim responsibility for any injury to people or property resulting from any ideas, methods, instructions or products referred to in the content. |
© 2022 by the authors. Licensee MDPI, Basel, Switzerland. This article is an open access article distributed under the terms and conditions of the Creative Commons Attribution (CC BY) license (https://creativecommons.org/licenses/by/4.0/).
Share and Cite
Cseh, J.; Riczu, G.; Darai, J. A Symmetry In-between the Shapes, Shells, and Clusters of Nuclei. Symmetry 2023, 15, 115. https://doi.org/10.3390/sym15010115
Cseh J, Riczu G, Darai J. A Symmetry In-between the Shapes, Shells, and Clusters of Nuclei. Symmetry. 2023; 15(1):115. https://doi.org/10.3390/sym15010115
Chicago/Turabian StyleCseh, József, Gábor Riczu, and Judit Darai. 2023. "A Symmetry In-between the Shapes, Shells, and Clusters of Nuclei" Symmetry 15, no. 1: 115. https://doi.org/10.3390/sym15010115
APA StyleCseh, J., Riczu, G., & Darai, J. (2023). A Symmetry In-between the Shapes, Shells, and Clusters of Nuclei. Symmetry, 15(1), 115. https://doi.org/10.3390/sym15010115
