Spectral Intensity of Electron Cyclotron Radiation Emerging from the Plasma to the First Wall in ITER
Abstract
1. Introduction
2. Materials and Methods
2.1. CYNEQ Code for EC Radiation Transport in Tokamak Reactors at High and Moderate Harmonics
2.2. Estimation of EC Radiation Outgoing from Plasma at Low Harmonics
2.3. Calculation of Stray Radiation Produced by External Injected Radiation
3. Results
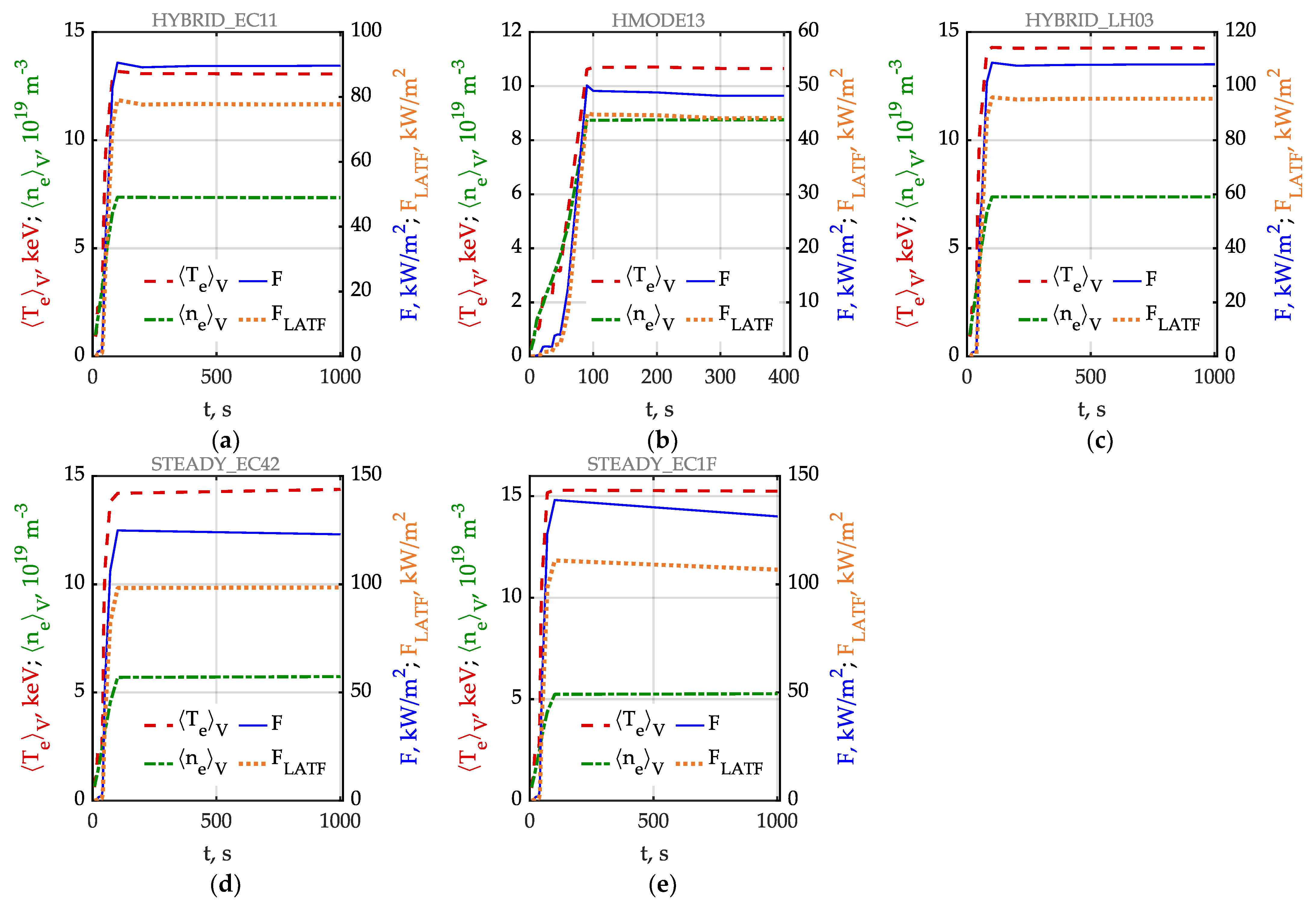
3.1. Scenarios of Tokamak Reactor ITER Operation
- (1)
- baseline inductive scenario, operating in high confinement mode (H-mode) with plasma current Ip = 15 MA (we use label HMODE13 for this scenario);
- (2)
- hybrid operation scenario with electron cyclotron heating (ECH), Ip = 12.5 MA (HYBRID_EC11);
- (3)
- hybrid operation scenario with ECH and lower hybrid heating, Ip = 12.5 MA (HYBRID_LH03);
- (4)
- steady-state operation scenario with injection of 13.3 MW of ECH power, Ip = 8.5 MA (STEADY_EC42);
- (5)
- steady-state scenario with injection of 20 MW ECH power, Ip = 9.0 MA (STEADY_EC1F).
3.2. Spectral Intensity and Energy Flux Density of EC Radiation from Plasma at Low EC Harmonics
3.3. Spectral Intensity and Energy Flux Density of EC Radiation from Plasma for Moderate and High EC Harmonics
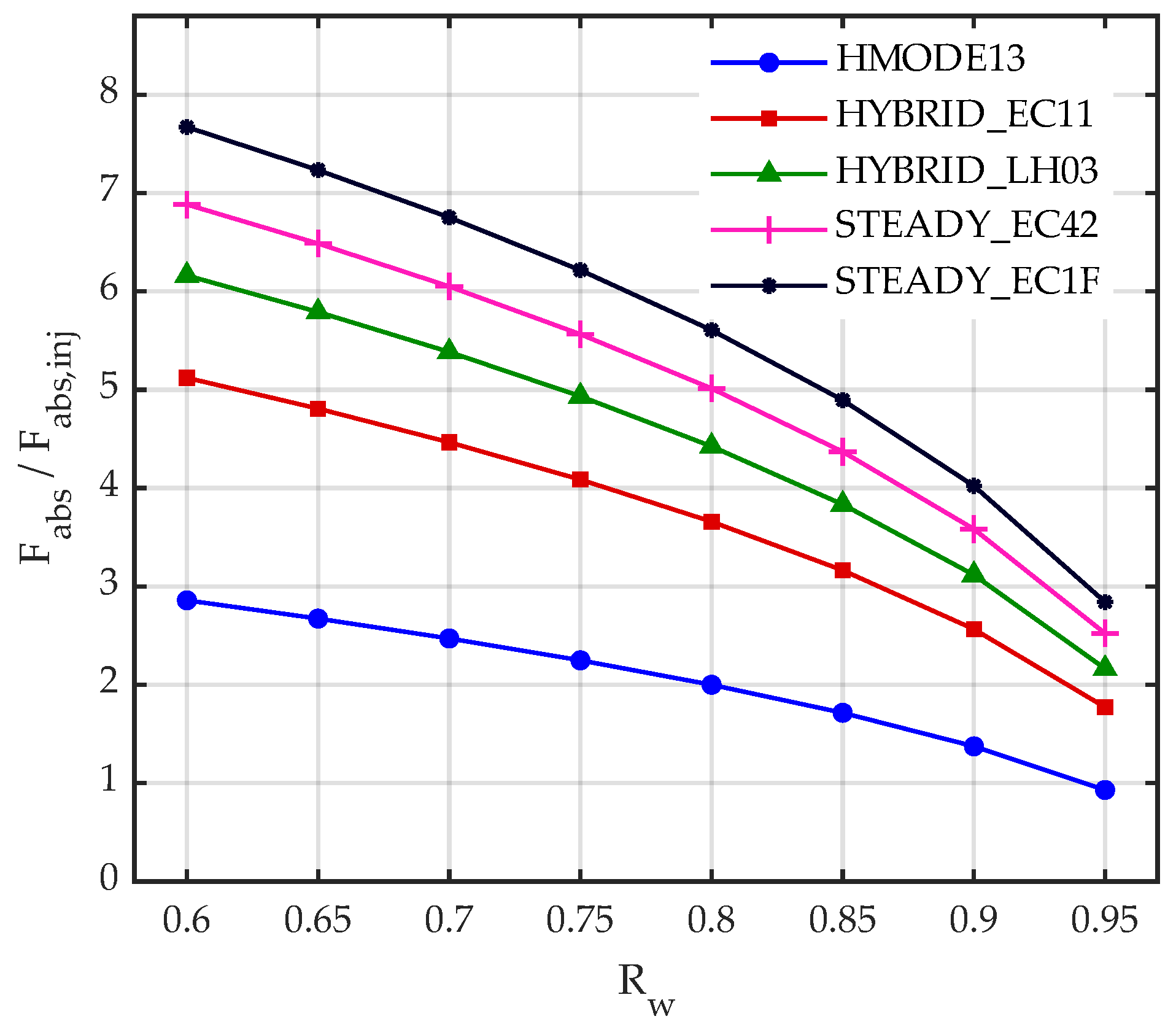
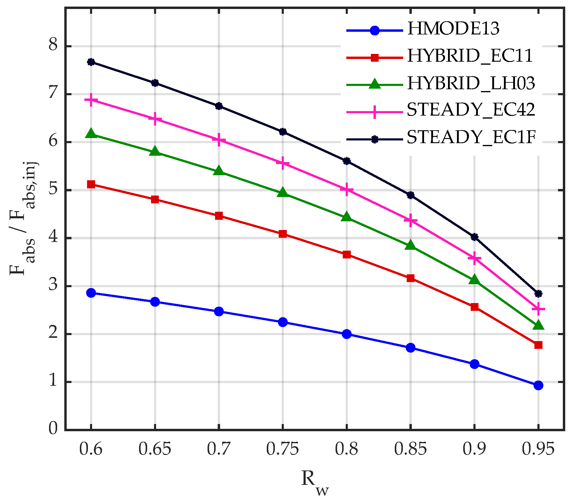
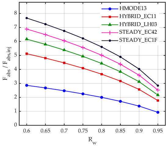
3.4. Comparison of Energy Flux Density and Thermal Loads for Plasma-Generated EC Radiation and Stray Radiation Produced by ECRH/ECCD
4. Discussion and Conclusions
Author Contributions
Funding
Institutional Review Board Statement
Informed Consent Statement
Data Availability Statement
Acknowledgments
Conflicts of Interest
References
- Albajar, F.; Bornatici, M.; Cortes, G.; Dies, J.; Engelmann, F.; Garcia, J.; Izquierdo, J. Importance of electron cyclotron wave energy transport in ITER. Nucl. Fusion 2005, 45, 642–648. [Google Scholar] [CrossRef]
- Kukushkin, A.B.; Minashin, P.V.; Polevoi, A.R. Impact of magnetic field inhomogeneity on electron cyclotron radiative loss in tokamak reactors. Plasma Phys. Rep. 2012, 38, 211–220. [Google Scholar] [CrossRef]
- Oosterbeek, J.W.; Udintsev, V.S.; Gandini, F.; Hirsch, M.; Laqua, H.P.; Maassen, N.; Ma, Y.; Polevoi, A.; Sirinelli, A.; Vayakis, G.; et al. Loads due to stray microwave radiation in ITER. Fusion Eng. Des. 2015, 96–97, 553–556. [Google Scholar] [CrossRef]
- Moseev, D.; Oosterbeek, J.W.; Sirinelli, A.; Corre, Y.; Houry, M.; Korsholm, S.B.; Laqua, H.P.; Marsen, S.; Preynas, M.; Rasmussen, J.; et al. Stray radiation energy fluxes in ITER based on a multiresonator model. Fusion Eng. Des. 2021, 172, 112754. [Google Scholar] [CrossRef]
- Udintsev, V.S.; Vayakis, G.; Bora, D.; Direz, M.F.; Encheva, A.; Giacomin, T.; Henderson, M.A.; Patel, K.M.; Portalès, M.; Prakash, A.; et al. Extending the physics studied by ECE on ITER. EPJ Web Conf. 2012, 32, 03013. [Google Scholar] [CrossRef]
- Kukushkin, A.B. Heat transport by cyclotron waves in plasmas with strong magnetic field and highly reflecting walls. In Proceedings of the 14th IAEA Conference on Plasma Physics and Controlled Nuclear Fusion Research, Wuerzburg, Germany, 30 September–7 October 1992; pp. 35–45. Available online: http://www-naweb.iaea.org/napc/physics/FEC/STIPUB906_VOL2.pdf (accessed on 3 November 2022).
- Kukushkin, A.B.; Minashin, P.V. Influence of magnetic field inhomogeneity on electron cyclotron power losses in magnetic fusion reactor. In Proceedings of the 36th EPS Conference on Plasma Physics, Sofia, Bulgaria, 30 June–3 July 2009; p. P–4.136. Available online: http://ocs.ciemat.es/EPS2009/pdf/P4_136.pdf (accessed on 3 November 2022).
- Minashin, P.V.; Kukushkin, A.B. Spectral intensity of electron cyclotron radiation coming out of plasma in various regimes of ITER operation. In Proceedings of the 46th EPS Conference on Plasma Physics, Milan, Italy, 8–12 July 2019; p. P2.1010. Available online: http://ocs.ciemat.es/EPS2019PAP/pdf/P2.1010.pdf (accessed on 3 November 2022).
- Minashin, P.V.; Kukushkin, A.B. Spectral intensity of electron cyclotron radiation emerging from the plasma to the first wall in tokamak-reactors. Probl. At. Sci. Technol. Ser. Thermonucl. Fusion 2019, 42, 14–20. [Google Scholar] [CrossRef]
- Crotinger, J.A.; LoDestro, L.; Pearlstein, L.D.; Tarditi, A.; Casper, T.A.; Hooper, E.B. CORSICA: A Comprehensive Simulation of Toroidal Magnetic-Fusion Devices. Final Report to the LDRD PROGRAM; UCRL-ID-126284, ON: DE97053433; Lawrence Livermore National Lab.: Livermore, CA, USA, 1997. Available online: https://www.osti.gov/servlets/purl/522508 (accessed on 3 November 2022).
- Pereverzev, G.V.; Yushmanov, P.N. ASTRA—Automated System for Transport Analysis in a Tokamak; IPP 5/98; Max-Planck-Institut für Plasmaphysik: Garching, Germany, 2002; Available online: http://hdl.handle.net/11858/00-001M-0000-0027-4510-D (accessed on 3 November 2022).
- Artaud, J.F.; Basiuk, V.; Imbeaux, F.; Schneider, M.; Garcia, J.; Giruzzi, G.; Huynh, P.; Aniel, T.; Albajar, F.; Ané, J.M.; et al. The CRONOS suite of codes for integrated tokamak modelling. Nucl. Fusion 2010, 50, 043001. [Google Scholar] [CrossRef]
- Kukushkin, A.B.; Minashin, P.V. Self-Similarity of Continuous-Spectrum Radiative Transfer in Plasmas with Highly Reflecting Walls. Symmetry 2021, 13, 1303. [Google Scholar] [CrossRef]
- Tamor, S. SNECTR, a Cyclotron Radiation Transport Code: Current Status; SAI-76-773LJ; Science Applications, Inc.: La Jolla, CA, USA, 1976. [Google Scholar]
- Tamor, S. Calculation of energy transport by cyclotron radiation in fusion plasmas. Nucl. Technol. Fusion 1983, 3, 293–303. [Google Scholar] [CrossRef]
- Albajar, F.; Bornatici, M.; Engelmann, F.; Kukushkin, A.B. Benchmarking of codes for calculating local net EC power losses in fusion plasmas. Fusion Sci. Technol. 2009, 55, 76–83. [Google Scholar] [CrossRef][Green Version]
- Kukushkin, A.B.; Minashin, P.V. Benchmarking of Codes for Spatial Profiles of Electron Cyclotron Losses with Account of Plasma Equilibrium in Tokamak Reactors. In Proceedings of the 24th IAEA Fusion Energy Conference, San Diego, CA, USA, 8–13 October 2012; p. TH/P6–25. Available online: http://www-naweb.iaea.org/napc/physics/FEC/FEC2012/papers/507_THP625.pdf (accessed on 3 November 2022).
- Albajar, F.; Bornatici, M.; Engelmann, F. RAYTEC: A new code for electron cyclotron radiative transport modelling of fusion plasmas. Nucl. Fusion 2009, 49, 115017. [Google Scholar] [CrossRef]
- Tamor, S. A Simple Fast Routine for Computation of Energy Transport by Synchroton Radiation in Tokamaks and Similar Geometries; SAI-023-81-189LJ/LAPS-72; Science Applications, Inc.: La Jolla, CA, USA, 1981. [Google Scholar]
- Houlberg, W.A. CYTRAN 2.1; Oak Ridge National Laboratory: Oak Ridge, TN, USA, 2004. Available online: https://w3.pppl.gov/ntcc/CYTRAN/ (accessed on 3 November 2022).
- Albajar, F.; Bornatici, M.; Engelmann, F. EC Radiative Transport and Losses in DEMO-like High-Temperature Plasmas. EPJ Web Conf. 2015, 87, 01009. [Google Scholar] [CrossRef]
- Trubnikov, B.A. Electromagnetic waves in a relativistic plasma in a magnetic field. In Plasma Physics and the Problem of Controlled Thermonuclear Reactions; Leontovich, M.A., Ed.; Pergamon Press: New York, NY, USA, 1959; Volume 3, p. 122. [Google Scholar]
- Bekefi, G. Radiation Processes in Plasmas; Wiley: New York, NY, USA, 1966. [Google Scholar]
- Bornatici, M.; Cano, R.; De Barbieri, O.; Engelmann, F. Electron cyclotron emission and absorption in fusion plasmas. Nucl. Fusion 1983, 23, 1153. [Google Scholar] [CrossRef]
- Albajar, F.; Bornatici, M.; Engelmann, F. Electron cyclotron radiative transfer in the presence of polarization scrambling in wall reflections. Nucl. Fusion 2005, 45, L9–L13. [Google Scholar] [CrossRef][Green Version]
- De la Luna, E.; JET-EFDA contributors. Physics of ECE Temperature Measurements and Prospects for ITER. AIP Conf. Proc. 2008, 988, 63. [Google Scholar] [CrossRef]
- Farina, D.; Figini, L.; Platania, P.; Sozzi, C. SPECE: A code for Electron Cyclotron Emission in tokamaks. AIP Conf. Proc. 2008, 988, 128. [Google Scholar] [CrossRef]
- Rasmussen, J.; Stejner, M.; Figini, L.; Jensen, T.; Klinkby, E.B.; Korsholm, S.B.; Larsen, A.W.; Leipold, F.; Micheletti, D.; Nielsen, S.K.; et al. Modeling the electron cyclotron emission below the fundamental resonance in ITER. Plasma Phys. Control. Fusion 2019, 61, 095002. [Google Scholar] [CrossRef]
- Laqua, H.P.; Erckmann, V.; Hirsch, M.; W7-AS Team. Distribution of the ECRH stray radiation in fusion devices. In Proceedings of the 28th EPS Conference on Plasma Physics, Madeira, Portugal, 18–22 June 2001; pp. 1277–1280. Available online: https://www.ipfn.tecnico.ulisboa.pt/cfn/EPS2001/CD/pdfs/P3.099.pdf (accessed on 3 November 2022).
- Kim, S.H.; Casper, T.A.; Snipes, J.A. Investigation of key parameters for the development of reliable ITER baseline operation scenarios using CORSICA. Nucl. Fusion 2018, 58, 056013. [Google Scholar] [CrossRef]
- Kim, S.H.; Bulmer, R.H.; Campbell, D.J.; Casper, T.A.; Lo Destro, L.L.; Meyer, W.H.; Pearlstein, L.D.; Snipes, J.A. CORSICA modelling of ITER hybrid operation scenarios. Nucl. Fusion 2016, 56, 126002. [Google Scholar] [CrossRef]
- Kim, S.H.; Polevoi, A.R.; Loarte, A.; Medvedev, S.Y.; Huijsmans, G. A study of the heating and current drive options and confinement requirements to access steady-state plasmas at Q~5 in ITER and associated operational scenario development. Nucl. Fusion 2021, 61, 076004. [Google Scholar] [CrossRef]
- Polevoi, A.R.; Ivanov, A.A.; Medvedev, S.Y.; Huijsmans, G.T.A.; Kim, S.H.; Loarte, A.; Fable, E.; Kuyanov, A.Y. Reassessment of steady-state operation in ITER with NBI and EC heating and current drive. Nucl. Fusion 2020, 60, 096024. [Google Scholar] [CrossRef]
- Trubnikov, B.A. Universal coefficients for synchrotron emission from plasma configurations. In Reviews of Plasma Physics; Leontovich, M.A., Ed.; Consultants Bureau: New York, NY, USA, 1979; Volume 7, p. 345. [Google Scholar]
- Goldsmith, P.F. Quasioptical Systems: Gaussian Beam Quasioptical Propogation and Applications; IEEE Press: New York, NY, USA, 1998. [Google Scholar]
- Haynes, W.M.; Lide, D.R.; Bruno, T.J. CRC Handbook of Chemistry and Physics: A Ready-Reference Book of Chemical and Physical Data, 97th ed.; CRC Press: Boca Raton, FL, USA, 2016–2017. [Google Scholar]
- ITER. Materials Properties Handbook (MPH); ITER Document No. G 74 MA 16 (ITER-AA04-3201); ITER Organization, Route de Vinon-sur-Verdon,CS 90 046 13067: St. Paul-lez-Durance, France, 2001. [Google Scholar]









| N | 1 | 2 | 3 | 4 | 5 |
|---|---|---|---|---|---|
| Scenarios | HMODE13 | HYBRID EC11 | HYBRID_LH03 | STEADY_EC42 | STEADY_EC1F |
| Te(0), keV | 22.1 | 29.2 | 31.4 | 35.9 | 37.4 |
| Te(1), keV | 0.2 | 0.1 | 0.1 | 0.1 | 0.1 |
| <Te>V, keV | 10.6 | 13.2 | 14.3 | 14.2 | 15.3 |
| ne(0), 1019 m−3 | 9.7 | 8.5 | 8.5 | 6.5 | 6.0 |
| ne(1), 1019 m−3 | 3.9 | 3.0 | 3.0 | 2.3 | 2.1 |
| <ne>V, 1019 m−3 | 8.7 | 7.4 | 7.4 | 5.7 | 5.2 |
| Ip, MA | 15.0 | 12.5 | 12.5 | 8.5 | 9.0 |
| Pnbi, MW | 32.4 | 32.8 | 32.8 | 22.6 | 17.0 |
| Pech, MW | 6.5 | 20.0 | 20.0 | 13.3 | 20.0 |
| Pich, MW | 9.8 | 0 | 0 | 0 | 0 |
| Plh, MW | 0 | 0 | 20.0 | 20.0 | 20.0 |
| Paux, MW | 48.7 | 52.8 | 72.8 | 56.0 | 57.0 |
| Scenario | HMODE13 | HYBRID_EC11 | HYBRID_LH03 | STEADY_EC42 | STEADY_EC1F | |||||||||||
|---|---|---|---|---|---|---|---|---|---|---|---|---|---|---|---|---|
| Frequency range and reflection | ν* [GHz], Jmax [1 × 10−15 MW m−2 sr−1 Hz−1], Fn [kW/m2] | |||||||||||||||
| n = 1 | 170.0 | 0.1 | 0.2 | 170.0 | 0.1 | 0.3 | 155.3 | 0.1 | 0.3 | 155.3 | 0.2 | 0.3 | 155.3 | 0.2 | 0.3 | |
| n = 2 | 301.8 | 0.4 | 1.7 | 316.5 | 0.6 | 2.1 | 301.8 | 0.6 | 2.2 | 301.8 | 0.7 | 2.2 | 316.5 | 0.7 | 2.4 | |
| n ≥ 3, Rw = 0.60 | 653.5 | 1.7 | 26.7 | 741.4 | 2.4 | 46.8 | 741.4 | 2.7 | 55.7 | 726.8 | 3.0 | 62.4 | 741.4 | 3.2 | 69.0 | |
| n ≥ 3, Rw = 0.80 | 668.1 | 2.0 | 37.0 | 756.1 | 3.0 | 65.8 | 785.4 | 3.4 | 78.7 | 770.7 | 3.7 | 89.3 | 814.7 | 4.0 | 99.0 | |
| n ≥ 3, Rw = 0.90 | 770.7 | 2.5 | 50.1 | 858.6 | 3.8 | 90.6 | 858.6 | 4.3 | 108.7 | 844.0 | 4.7 | 124.8 | 873.3 | 5.1 | 138.8 | |
| n ≥ 3, Rw = 0.95 | 873.3 | 3.0 | 66.7 | 902.6 | 4.6 | 122.4 | 946.5 | 5.3 | 147.4 | 961.2 | 5.9 | 171.3 | 975.8 | 6.3 | 191.2 | |
| F [kW/m2] | ||||||||||||||||
| n ≥ 1, Rw = 0.60 | 28.6 | 49.1 | 58.2 | 64.9 | 71.8 | |||||||||||
| n ≥ 1, Rw = 0.80 | 38.9 | 68.2 | 81.2 | 91.8 | 101.7 | |||||||||||
| n ≥ 1, Rw = 0.90 | 52.1 | 92.9 | 111.2 | 127.3 | 141.6 | |||||||||||
| n ≥ 1, Rw = 0.95 | 68.6 | 124.7 | 149.9 | 173.8 | 194.0 | |||||||||||
| Reflection Coefficient | Finj [kW/m2], Pinj = 6.7 MW |
|---|---|
| Rw = 0.60 | 19.1 |
| Rw = 0.80 | 38.2 |
| Rw = 0.90 | 76.5 |
| Rw = 0.95 | 153.0 |
| Scenario | HMODE13 | HYBRID_EC11 | HYBRID_LH03 | STEADY_EC42 | STEADY_EC1F | ||||||
|---|---|---|---|---|---|---|---|---|---|---|---|
| Reflection | Absorbed energy density, Fabs [kW/m2], for stainless steel and tungsten for temperature 600 °C | ||||||||||
| Rw = 0.60 | 1.3 | 0.6 | 2.3 | 1.2 | 2.7 | 1.4 | 3.1 | 1.6 | 3.4 | 1.7 | |
| Rw = 0.80 | 1.8 | 0.9 | 3.3 | 1.7 | 3.9 | 2.0 | 4.5 | 2.3 | 5.0 | 2.5 | |
| Rw = 0.90 | 2.4 | 1.2 | 4.6 | 2.3 | 5.6 | 2.8 | 6.4 | 3.3 | 7.2 | 3.7 | |
| Rw = 0.95 | 3.3 | 1.7 | 6.3 | 3.2 | 7.7 | 3.9 | 9.0 | 4.6 | 10.1 | 5.2 | |
| Reflection | Absorbed Energy Density for ECRH/ECCD-Produced Stray Radiation, Fabs,inj [kW/m2], for Stainless Steel and Tungsten for Temperature 300 °C (Pinj = 6.7 MW) | |
|---|---|---|
| Rw = 0.60 | 0.4 | 0.2 |
| Rw = 0.80 | 0.9 | 0.4 |
| Rw = 0.90 | 1.8 | 0.8 |
| Rw = 0.95 | 3.6 | 1.5 |
Disclaimer/Publisher’s Note: The statements, opinions and data contained in all publications are solely those of the individual author(s) and contributor(s) and not of MDPI and/or the editor(s). MDPI and/or the editor(s) disclaim responsibility for any injury to people or property resulting from any ideas, methods, instructions or products referred to in the content. |
© 2022 by the authors. Licensee MDPI, Basel, Switzerland. This article is an open access article distributed under the terms and conditions of the Creative Commons Attribution (CC BY) license (https://creativecommons.org/licenses/by/4.0/).
Share and Cite
Minashin, P.V.; Kukushkin, A.B. Spectral Intensity of Electron Cyclotron Radiation Emerging from the Plasma to the First Wall in ITER. Symmetry 2023, 15, 118. https://doi.org/10.3390/sym15010118
Minashin PV, Kukushkin AB. Spectral Intensity of Electron Cyclotron Radiation Emerging from the Plasma to the First Wall in ITER. Symmetry. 2023; 15(1):118. https://doi.org/10.3390/sym15010118
Chicago/Turabian StyleMinashin, Pavel V., and Alexander B. Kukushkin. 2023. "Spectral Intensity of Electron Cyclotron Radiation Emerging from the Plasma to the First Wall in ITER" Symmetry 15, no. 1: 118. https://doi.org/10.3390/sym15010118
APA StyleMinashin, P. V., & Kukushkin, A. B. (2023). Spectral Intensity of Electron Cyclotron Radiation Emerging from the Plasma to the First Wall in ITER. Symmetry, 15(1), 118. https://doi.org/10.3390/sym15010118

