Abstract
This article investigates different nonlinear systems of fractional partial differential equations analytically using an attractive modified method known as the Laplace residual power series technique. Based on a combination of the Laplace transformation and the residual power series technique, we achieve analytic and approximation results in rapid convergent series form by employing the notion of the limit, with less time and effort than the residual power series method. Three challenges are evaluated and simulated to validate the suggested method’s practicability, efficiency, and simplicity. The analysis of the acquired findings demonstrates that the method mentioned above is simple, accurate, and appropriate for investigating the solutions to nonlinear applied sciences models.
1. Introduction
Fractional calculus (FC) is a fast-developing area of mathematics that mathematicians use to explore the integrals and derivatives of any order of functions. Due to the excellent outcomes produced when various tools from fractional calculus are used to simulate some aspects of a problem, it has been gaining appeal among scientists working on multiple areas. FC was a hot topic at the end of the 17th century. Since its inception almost 324 years ago, FC has remained firmly rooted in mathematical ideas. The core and essential conclusions of the solution of fractional differential equations (FDEs) are in [1,2,3,4,5]. The integer-order derivatives are local, while the fractional-order derivatives are non-local. Integer-order derivatives can investigate variations in a point’s immediate vicinity, whereas fractional-order derivatives can investigate variations throughout the interval. Systems with an arbitrary order have recently gained considerable attention and recognition for classical-order system generalization. Researchers are now aware of the value of fractional calculus and how well it may simulate various natural processes. In particular, given that fractional-order and integral operators are non-local, in contrast to integer-order and integral operators, the system’s future state depends on its present and past conditions [6,7,8,9]. Therefore, when studying partial differential equations, and more particularly when studying equations from the mathematics of finance, symmetry analysis is useful. Symmetry is the key to nature; however, the majority of observations in the natural world lack symmetry. The phenomena of spontaneous symmetry-breaking is a profound method of symmetry concealment. Symmetries come in two varieties: finite and infinitesimal. Discrete or continuous finite symmetries are possible. While space is a continuous transformation, parity and temporal reversal are discrete symmetries of nature. Patterns have always captivated mathematicians. In the 19th century, classifications of spatial and planar patterns got off to a serious start. Unfortunately, solving non-linear fractional differential equations precisely has proven to be rather challenging.
Fractional partial differential equations (FPDEs) are used to represent the majority of complicated events mathematically. These non-linear FPDEs’ dynamic processes are crucial for both scientific research and production, and they should be investigated using a method that can manage non-linear issues. FPDEs have been used to describe various complicated events in physics, engineering, chemistry, and other fields of study, such as elasticity, fluid flow, electrostatics, electrodynamics, signal processing, control theory, and the transmission of sound or heat [10,11,12,13,14,15,16]. An effective, dependable, and accurate numerical technique is needed to solve FPDEs because most real-world problems are complicated to solve precisely. The usefulness and significance of numerical approaches in physics, engineering, and mathematics have substantially expanded with the development of effective and quick computers [17,18,19]. As a result, researchers have suggested various numerical and analytical techniques to resolve FPDEs: the Adomian decomposition method [20], the He–Laplace variational iteration method [21], the pseudo-spectral method [22], the inverse scattering method [23], the Backlund transformation method [24], the sine-cosine and tanh methods [25], the tanh–coth methods [26], the homotopy perturbation method [27], the residual power series (RPS) method [28], the meshless method [29], the generalized differential transform method (GDTM) [30], and the fractional complex transform [31] have all been used in recent years to construct solutions to the FPDEs.
The Laplace residual power series method (LRPSM) [32] was first introduced and validated by El-Ajou [33] for research on precise solutions for nonlinear FPDEs [34,35,36,37,38]. LRPSM is a novel, efficient, and straightforward method. It is the focus of this study. Our new strategy is based on the LT and the power series method [39,40], which involves translating non-linear differential equations into Laplace space. Then, using the RPS method, an appropriate expansion is utilized to solve the new equation obtained in Laplace space. This involves putting an expansion that shows the equation’s solution in the Laplace space. To calculate the expansion coefficients, the RPS method is utilized, but with a new theory and mechanism that makes it simpler to use than the traditional RPS approach. This paper is organized as follows: Some notions and theorems are provided in Section 2, while the LRPSM algorithm is explained in Section 3. In Section 4, a few problems are solved. In the final section, we provide the conclusion.
2. Preliminaries
In this section, we will discuss several basic definitions and conclusions relating to the Caputo fractional derivative, as well as the fractional Laplace transform.
Definition 1.
The fractional derivative of a function of order α in the Caputo sense is defined as
where , and is the Riemann-Liouville (RL) fractional integral (FI) of of fractional-order γ, which is defined as
assuming that the given integral exists.
Definition 2.
Suppose that is continuous piecewise and has α as its exponential order. This can be explained as follows:
where the inverse LT is given as
where is in the right half-plane of the Laplace integral’s absolute convergence [41].
Lemma 1.
Assume thatis a continuous piecewise function of exponential order ψ, and. Then, we have
- 1.
- 2.
- 3.
Proof.
The proofs are in [1,2,3,33]. □
Theorem 1.
Let us assume that is a continuous piecewise function on . Consider that has a fractional power series (FPS) representation:
Then, .
Proof.
Consider that has an FPS representation, as in Equation (5). Then, we have . Then, Equation (5) becomes:
Multiplying Equation (6) by , we get
Using part (2) of Lemma 1, we get
Similarly, if we multiply Equation (6) by , again using part (2) of Lemma 1, we get
The mathematical induction principle is used to complete the proof. Assume that . Multiplying Equation (6) by and using part (2) of Lemma 1, we get
The proof is completed. □
Remark 1.
The inverse LT of Equation (5) is represented as:
which is equivalent to the fractional Taylor’s formula shown in [42].
The convergence of the FPS in Theorem 1 is determined in the following Theorem.
Theorem 2.
Assume that is a continuous piecewise function on and of order ψ, and as shown in Theorem 1, can be written as the new form of a fractional Taylor’s formula. If , on where then , and the remainder of the new form of fractional Taylor’s formula in Theorem 1 satisfies the following inequality
3. LRPS Methodology
In this section, we will go through the LRPS methodology for the nonlinear system of fractional-order partial differential equations.
subject to the initial conditions
Using Laplace transform on Equation (16) and the initial conditions of Equation (17), we get
The solution of Equation (18) has the following series:
and the -truncated term series are
The Laplace residual functions are
and the -Laplace residual functions are
Here are some properties that arise in the LRPSM [43], to point out some facts:
To find the coefficients and , we recursively solve the following system:
At last, we use inverse LT on Equation (20), to get the approximate solutions of , .
4. Numerical Problem
In this section, we consider a system of equations that describes the unsteady flow of a polytropic gas of fractional order in order to validate the applicability and accuracy of the proposed technique.
Problem 1.
Consider the following system of inhomogeneous FPDEs:
subject to the initial conditions
Using Laplace transform on Equation (24) and the initial conditions of Equation (25), we get
The -truncated term series are
The -Laplace residual functions are
Now, to find and , , we substitute the -truncated series Equation (27) into the -Laplace residual function Equation (28), multiply the obtained results by , and then recursively solve the relation , and , . The first few terms are as follows:
Substituting the values of and , into Equation (27), we have
Applying inverse Laplace transform, we get
Taking , we get the exact solutions
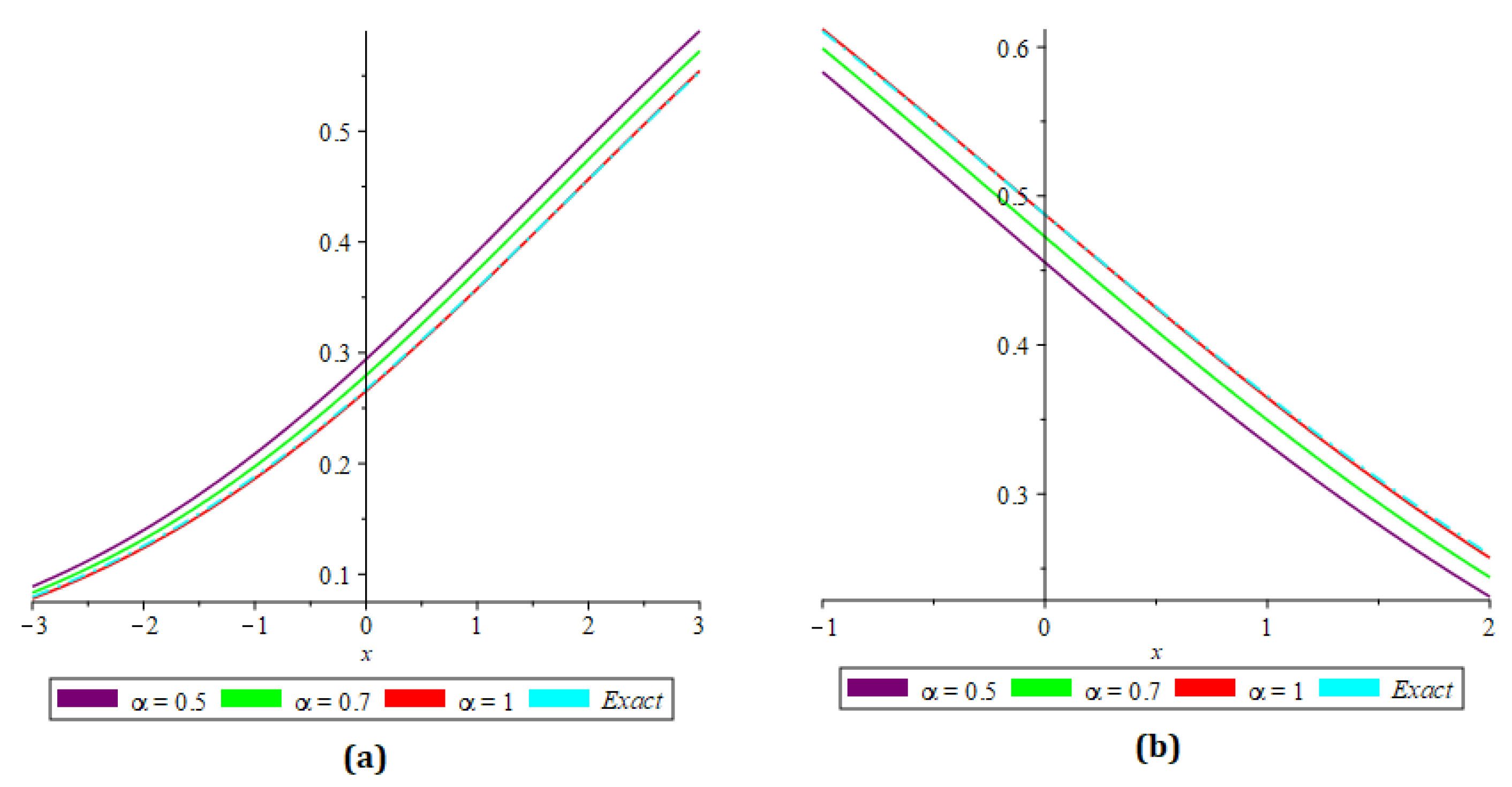
In Figure 1, show that the different fractional order graph (a) represent with respect to and (b) represent with respect to of Problem 1. Figure 2, (a) represent fractional order and (b) fractional order of . Figure 2 shows (c) the exact and (d) LRPSM solutions for at , of integer order for Problem 1. Figure 3, (a) represent fractional order and (b) fractional order of . Figure 3 shows (c) the exact and (d) LRPSM solutions for at , of integer order for Problem 1. In Table 1 and Table 2, error analysis is shown for the LRPSM solution of and for the proposed Problem 1 with various values of x and t.
Figure 1.
Subplot (a) presents the approximate solution and subplot (b) presents the approximate solution of Problem 1.
Figure 2.
Exact and LRPSM solutions for at , , and distinct values of for Problem 1.
Figure 3.
Exact and LRPSM solutions for at , , and distinct values of for Problem 1.
Table 1.
Error analysis for the LRPSM solution of for the proposed Problem 1 with various values of x and t.
Table 2.
Error analysis for the LRPSM solution of for the proposed Problem 1 with various values of x and t.
Problem 2.
Let us consider a coupled system of reaction-diffusion equations [28]:
with initial conditions
where p is constant.
Applying Laplace transform on Equation (33) and using Equation (34), we have
The -truncated term series are
The -Laplace residual functions are
Now, for finding , and , , we substitute the -truncated series Equation (36) into the -Laplace residual function Equation (37), multiply the obtained results by , and then recursively solve the relation , and , . The first few terms are
Putting the values of and , in Equation (36), we get
Using inverse Laplace transform, we get
In Figure 4, show that the different fractional order graph (a) represent with respect to and (b) represent with respect to of Problem 2. Figure 5, (a) represent fractional order and (b) fractional order of . Figure 5 shows (c) the exact and (d) LRPSM solutions for at , of integer order for Problem 2. Figure 6, (a) represent fractional order and (b) fractional order of . Figure 6 shows (c) the exact and (d) LRPSM solutions for at , of integer order for Problem 2. In Table 3 and Table 4, error analysis is shown for the LRPSM solution of and for the proposed Problem 2 with various values of x and t.
Figure 4.
Subplot (a) presents the approximate solution and subplot (b) presents the approximate solution of Problem 2.
Figure 5.
Exact and LRPSM solutions for at , , and distinct values of for Problem 2.
Figure 6.
Exact and LRPSM solutions for at , , and distinct values of for Problem 2.
Table 3.
Error analysis for the LRPSM solution of for the proposed Problem 2 with various values of x, t, and .
Table 4.
Error analysis for the LRPSM solution of for the proposed Problem 2 with various values of x, t, and .
Problem 3.
Next, we consider the two-dimensional reaction-diffusion Brusselator model [30,31]:
subject to the initial conditions
where and represent the chemical concentrations [30] of intermediate reaction products, and A and B are constant concentrations of input reagents, where and .
Applying Laplace transform on Equation (41) and using Equation (42), we have
The truncated term series are
The -Laplace residual functions are
Now, to determine and , we substitute the -truncated series Equation (44) into the -Laplace residual function Equation (45), multiply the resulting equation by , and then recursively solve the relation , and , . Following are the first few terms:
Putting the values of and , into Equation (44), we get
Now, applying inverse Laplace transform, we get
In Figure 7, show that the different fractional order graph (a) represent with respect to and (b) represent with respect to of Problem 3. Figure 8, (a) represent fractional order and (b) fractional order of . Figure 8 shows (c) the exact and (d) LRPSM solutions for at , , and of integer order for Problem 3. Figure 9, (a) represent fractional order and (b) fractional order of . Figure 9 shows (c) the exact and (d) LRPSM solutions for at , , and , of integer order for Problem 3. In Table 5 and Table 6, error analysis is shown for the LRPSM solution of and for the proposed Problem 3 with various values of x and t.
Figure 7.
Subplot (a) presents the approximate solution and subplot (b) presents the approximate solution at , , , and , respectively, of Problem 3.
Figure 8.
LRPSM solutions for at , , , and distinct values of for Problem 3.
Figure 9.
LRPSM solutions for at , , , and distinct values of for Problem 3.
Table 5.
Numerical simulation for the LRPSM solution of for the proposed Problem 2 with various values of x, t, and .
Table 6.
Numerical simulation for the LRPSM solution of for the proposed Problem 2 with various values of x, t, and .
5. Conclusions
In this article, significant nonlinear fractional partial differential equations are solved by utilizing a combination of the residual power series and the Laplace transformation. The advantage of the new method is that it reduces the amount of computational effort required to obtain a solution in a power series form, whose coefficients must be computed in successive algebraic steps. The suggested method is employed to solve three distinct physical models, and its capacity to address fractional nonlinear equations with high precision and simple computation steps has been demonstrated. Finally, we can conclude that the regarded technique is better than its competitors and highly effective, and it can be utilized to study the various classes of nonlinear problems that arise in real life.
Author Contributions
Conceptualization, A.A.A.; Data curation, R.S.; Formal analysis, N.I. and S.A.; Funding acquisition, K.N.; Investigation, R.S.; Methodology, K.N.; Project administration, A.A.A.; Resources, N.I.; Software, R.S.; Supervision, S.A.; Writing—original draft, R.S. All authors have read and agreed to the published version of the manuscript.
Funding
This research received no external funding.
Institutional Review Board Statement
Not applicable.
Informed Consent Statement
Not applicable.
Data Availability Statement
The numerical data used to support the findings of this study are included within the article.
Acknowledgments
The authors extend their appreciation to the Deanship of Scientific Research at King Khalid University for funding this work through Larg Groups (R.G.P2./41/43).
Conflicts of Interest
The authors declare no conflict of interest.
References
- Oldham, K.; Spanier, J. The Fractional Calculus: Theory and Applications of Differentiation and Integration to Arbitrary Order; Academic Press: New York, NY, USA, 1974. [Google Scholar]
- Miller, K.S.; Ross, B. An Introduction to Fractional Calculus and Fractional Differential Equations; Wiley: New York, NY, USA, 1993. [Google Scholar]
- Podlubny, I. Fractional Differential Equations; Academic Press: New York, NY, USA, 1999. [Google Scholar]
- Kilbas, A.A.; Srivastava, H.M.; Trujillo, J.J. Theory and Applications of Fractional Differential Equations; Elsevier: Amsterdam, The Netherland, 2006. [Google Scholar]
- Botmart, T.; Agarwal, R.P.; Naeem, M.; Khan, A. On the solution of fractional modified Boussinesq and approximate long wave equations with non-singular kernel operators. AIMS Math. 2022, 7, 12483–12513. [Google Scholar] [CrossRef]
- Teodoro, G.S.; Machado, J.T.; De Oliveira, E.C. A review of definitions of fractional derivatives and other operators. J. Comput. Phys. 2019, 388, 195–208. [Google Scholar] [CrossRef]
- Mishra, L.N.; Sen, M. On the concept of existence and local attractivity of solutions for some quadratic Volterra integral equation of fractional order. Appl. Math. Comput. 2016, 285, 174–183. [Google Scholar] [CrossRef]
- Pathak, V.K.; Mishra, L.N. Application of fixed point theorem to solvability for non-linear fractional hadamard functional integral equations. Mathematics 2022, 10, 2400. [Google Scholar] [CrossRef]
- Mukhtar, S.; Shah, R.; Noor, S. The Numerical Investigation of a Fractional-Order Multi-Dimensional Model of Navier-Stokes Equation via Novel Techniques. Symmetry 2022, 14, 1102. [Google Scholar] [CrossRef]
- Mainardi, F. Fractional Calculus and Waves in Linear Viscoelasticity; Imperial College Press: London, UK, 2010. [Google Scholar]
- Klafter, J.; Lim, S.; Metzler, R. Fractional Dynamics in Physics: Recent Advances; World Scientific: Singapore, 2011. [Google Scholar]
- Tarasov, V. Fractional Dynamics: Applications of Fractional Calculus to Dynamics of Particles, Fields and Media; Springer: Berlin, Germany, 2011. [Google Scholar]
- Al-Sawalha, M.M.; Khan, A.; Ababneh, O.Y.; Botmart, T. Fractional view analysis of Kersten-Krasil’shchik coupled KdV-mKdV systems with non-singular kernel derivatives. AIMS Math. 2022, 7, 18334–18359. [Google Scholar] [CrossRef]
- West, B.; Bologna, M.; Grigolini, P. Physics of Fractal Operators; Springer: New York, NY, USA, 2003. [Google Scholar]
- Areshi, M.; Khan, A.; Shah, R.; Nonlaopon, K. Analytical investigation of fractional-order Newell-Whitehead-Segel equations via a novel transform. AIMS Math. 2022, 7, 6936–6958. [Google Scholar] [CrossRef]
- Harris, F.E. Mathematics for Physical Science and Engineering: Symbolic Computing Applications in Maple and Mathematica; Academic Press: Cambridge, MA, USA, 2014. [Google Scholar]
- Rashid, S.; Khalid, A.; Sultana, S.; Hammouch, Z.; Alsharif, A.M. A novel analytical view of time-fractional Korteweg-De Vries equations via a new integral transform. Symmetry 2021, 13, 1254. [Google Scholar] [CrossRef]
- Mohanty, R.K.; Jain, M.K. Technical note: The numerical solution of the system of 3-D nonlinear elliptic equations with mixed derivatives and variable coefficients using fourth-order difference methods. Numer. Methods Part. Differ. Equ. 1995, 11, 187–197. [Google Scholar] [CrossRef]
- Mohanty, R.K.; Singh, S. High accuracy numerov type discretization for the solution of one-space dimensional non-linear wave equations with variable coefficients. J. Adv. Res. Sci. Comput. 2011, 3, 53–66. [Google Scholar]
- Kumar, M. Recent development of Adomian decomposition method for ordinary and partial differential equations. Int. J. Appl. Comput. Math. 2022, 8, 81. [Google Scholar] [CrossRef]
- Aljahdaly, N.H.; Akgul, A.; Mahariq, I.; Kafle, J. A comparative analysis of the fractional-order coupled Korteweg-De Vries equations with the Mittag-Leffler law. J. Math. 2022, 2022, 8876149. [Google Scholar] [CrossRef]
- Iqbal, N.; Akgul, A.; Bariq, A.; Mossa Al-Sawalha, M.; Ali, A. On solutions of fractional-order gas dynamics equation by effective techniques. J. Funct. Spaces 2022, 2022, 3341754. [Google Scholar] [CrossRef]
- Ma, W.-X. Inverse scattering and soliton solutions of nonlocal reverse-spacetime nonlinear Schrödinger equations. Proc. Am. Math. Soc. 2021, 149, 251–263. [Google Scholar] [CrossRef]
- Gao, X.-Y.; Guo, Y.-J.; Shan, W.-R. Hetero-Bäcklund transformation, bilinear forms and N solitons for a generalized three-coupled Korteweg-de Vries system. Qual. Theory Dyn. Syst. 2021, 20, 87. [Google Scholar] [CrossRef]
- Wazwaz, A.M. The sine–cosine method for obtaining solutions with compact and noncompact structures. Appl. Math. Comput. 2004, 159, 559–576. [Google Scholar] [CrossRef]
- Al-Askar, F.M.; Mohammed, W.W.; Albalahi, A.M.; El-Morshedy, M. The Impact of the Wiener process on the analytical solutions of the stochastic (2+1)-dimensional breaking soliton equation by using tanh–coth method. Mathematics 2022, 10, 817. [Google Scholar] [CrossRef]
- He, J.H.; El-Dib, Y.O. Homotopy perturbation method with three expansions. J. Math. Chem. 2021, 59, 1139–1150. [Google Scholar] [CrossRef]
- Shah, N.A.; Alyousef, H.A.; El-Tantawy, S.A.; Shah, R.; Chung, J.D. Analytical Investigation of Fractional-Order Korteweg-De-Vries-Type Equations under Atangana-Baleanu-Caputo Operator: Modeling Nonlinear Waves in a Plasma and Fluid. Symmetry 2022, 14, 739. [Google Scholar] [CrossRef]
- Ahmad, I.; Ahmad, H.; Thounthong, P.; Chu, Y.M.; Cesarano, C. Solution of multi-term time-fractional PDE models arising in mathematical biology and physics by local meshless method. Symmetry 2020, 12, 1195. [Google Scholar] [CrossRef]
- Shah, N.A.; Hamed, Y.S.; Abualnaja, K.M.; Chung, J.D.; Khan, A. A comparative analysis of fractional-order kaup-kupershmidt equation within different operators. Symmetry 2022, 14, 986. [Google Scholar] [CrossRef]
- Kbiri Alaoui, M.; Nonlaopon, K.; Zidan, A.M.; Khan, A.; Shah, R. Analytical investigation of fractional-order cahn-hilliard and gardner equations using two novel techniques. Mathematics 2022, 10, 1643. [Google Scholar] [CrossRef]
- Eriqat, T.; El-Ajou, A.; Moa’ath, N.O.; Al-Zhour, Z.; Momani, S. A new attractive analytic approach for solutions of linear and nonlinear neutral fractional pantograph equations. Chaos Solitons Fractals 2020, 138, 109957. [Google Scholar] [CrossRef]
- El-Ajou, A. Adapting the Laplace transform to create solitary solutions for the nonlinear time-fractional dispersive PDEs via a new approach. Eur. Phys. J. Plus 2021, 136, 229. [Google Scholar] [CrossRef]
- Burqan, A.; El-Ajou, A.; Saadeh, R.; Al-Smadi, M. A new efficient technique using Laplace transforms and smooth expansions to construct a series solution to the time-fractional Navier-Stokes equations. Alex. Eng. J. 2022, 61, 1069–1077. [Google Scholar] [CrossRef]
- El-Ajou, A.; Oqielat, M.; Al-Zhour, Z.; Momani, S. A class of linear non-homogenous higher order matrix fractional differential equations: Analytical solutions and new technique. Fract. Calc. Appl. Anal. 2020, 23, 356–377. [Google Scholar] [CrossRef]
- El-Ajou, A.; Al-Zhour, Z.; Oqielat, M.; Momani, S.; Hayat, T. Series solutions of non-linear conformable fractional KdV-Burgers equation with some applications. Eur. Phys. J. Plus 2019, 134, 402. [Google Scholar] [CrossRef]
- Oqielat, M.; El-Ajou, A.; Al-Zhour, Z.; Alkhasawneh, R.; Alrabaiah, H. Series solutions for nonlinear time-fractional Schrödinger equations: Comparisons between conformable and Caputo derivatives. Alex. Eng. J. 2020, 59, 2101–2114. [Google Scholar] [CrossRef]
- El-Ajou, A.; Oqielat, M.; Al-Zhour, Z.; Momani, S. Analytical numerical solutions of the fractional multi-pantograph system: Two attractive methods and comparisons. Results Phys. 2019, 14, 102500. [Google Scholar] [CrossRef]
- Shqair, M.; El-Ajou, A.; Nairat, M. Analytical solution for multi-energy groups of neutron diffusion equations by a residual power series method. Mathematics 2019, 7, 633. [Google Scholar] [CrossRef]
- El-Ajou, A.; Al-Smadi, M.; Oqielat, M.; Momani, S.; Hadid, S. Smooth expansion to solve high-order linear conformable fractional PDEs via residual power series method: Applications to physical and engineering equations. Ain Shams Eng. J. 2020, 11, 1243–1254. [Google Scholar] [CrossRef]
- Hanna, J.; Rowland, J. Fourier Series, Transforms, and Boundary Value Problems; Wiley: New York, NY, USA, 1990. [Google Scholar]
- Arqub, O.A.; El-Ajou, A.; Momani, S. Construct and predicts solitary pattern solutions for nonlinear time-fractional dispersive partial differential equations. J. Comput. Phys. 2015, 293, 385–399. [Google Scholar] [CrossRef]
- Alquran, M.; Ali, M.; Alsukhour, M.; Jaradat, I. Promoted residual power series technique with Laplace transform to solve some time-fractional problems arising in physics. Results Phys. 2020, 19, 103667. [Google Scholar] [CrossRef]
Publisher’s Note: MDPI stays neutral with regard to jurisdictional claims in published maps and institutional affiliations. |
© 2022 by the authors. Licensee MDPI, Basel, Switzerland. This article is an open access article distributed under the terms and conditions of the Creative Commons Attribution (CC BY) license (https://creativecommons.org/licenses/by/4.0/).








