Analysis of Heat Transfer of Mono and Hybrid Nanofluid Flow between Two Parallel Plates in a Darcy Porous Medium with Thermal Radiation and Heat Generation/Absorption
Abstract
:1. Introduction
- Metal nanomaterials. Alumina/nickel (Al2O3/Ni), alumina/copper (Al2O3/Cu), alumina/chromium (Al2O3/Cr), alumina/iron (Al2O3/Fe), magnesia/iron (MgO/Fe), and magnesium/carbon nanotube (Mg/CNT).
- Ceramic nanomaterials. Ferric oxide/carbon nanotubes (Fe3O4/CNT), nickel/silica (Ni/SiO2), silica/alumina (SiO2/Al2O3), alumina/titanium oxide (Al2O3/TiO2), and silicon carbide/alumina (SiC/Al2O3).
- Polymer nanomaterials. polyester/titanium oxide (TiO2), polymer/hydroxides, and polymer/carbon nanotubes (CNT).
- Importance of the hybrid nanofluid flow amid two parallel plates in a porous medium;
- Comparison of the flow behavior of MoS2/H2O nanofluid flow and the MoS2–SiO2/H2O–C2H6O2 hybrid nanofluid flow;
- Visualization of thermal behavior of flow when heat source/sink and thermal radiation is inevitable;
- The difference in heat-transfer rates of MoS2/H2O nanofluid flow and the MoS2–SiO2/H2O–C2H6O2 hybrid nanofluid flow at the lower and upper plates.
2. Mathematical Modeling
2.1. Model Development
2.2. Transforming the Governing Equations Using Similarity Transformation
2.3. Nusselt Numbers
3. Numerical Method
4. Results and Discussion
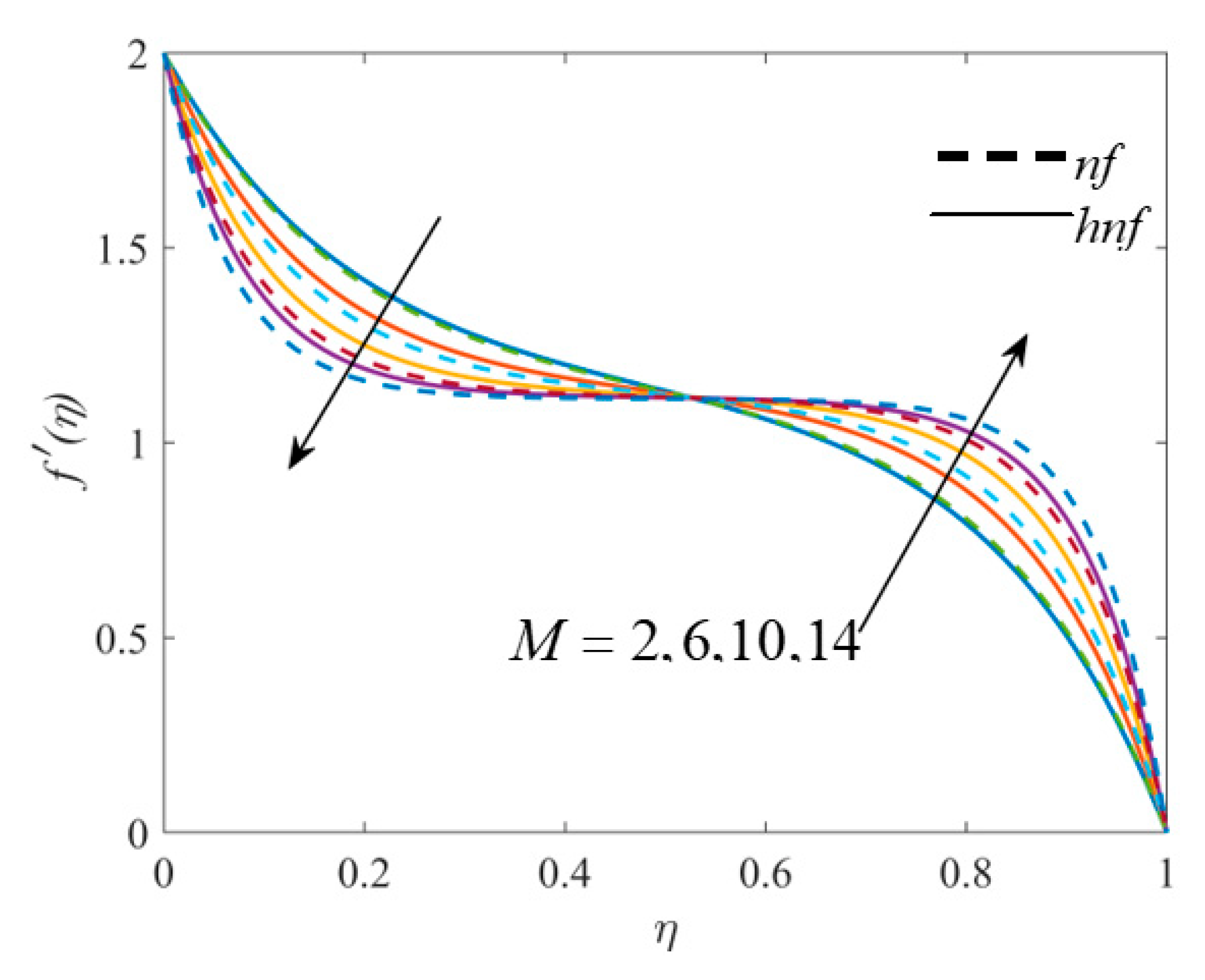
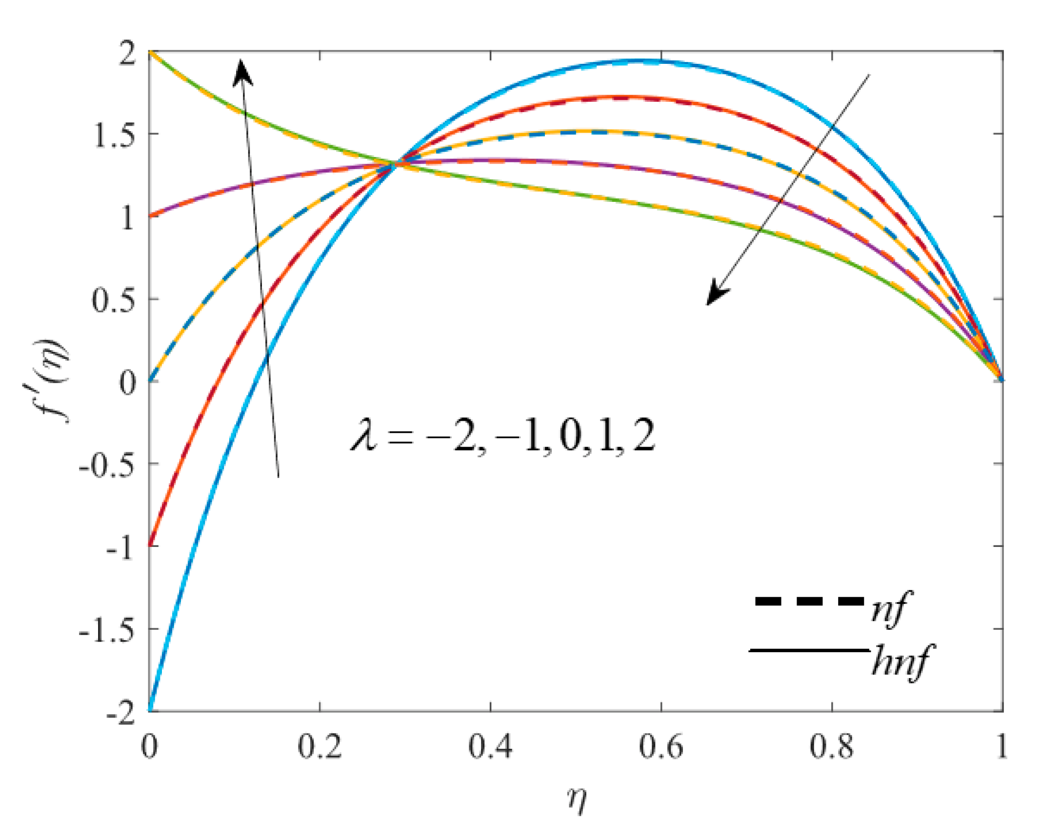
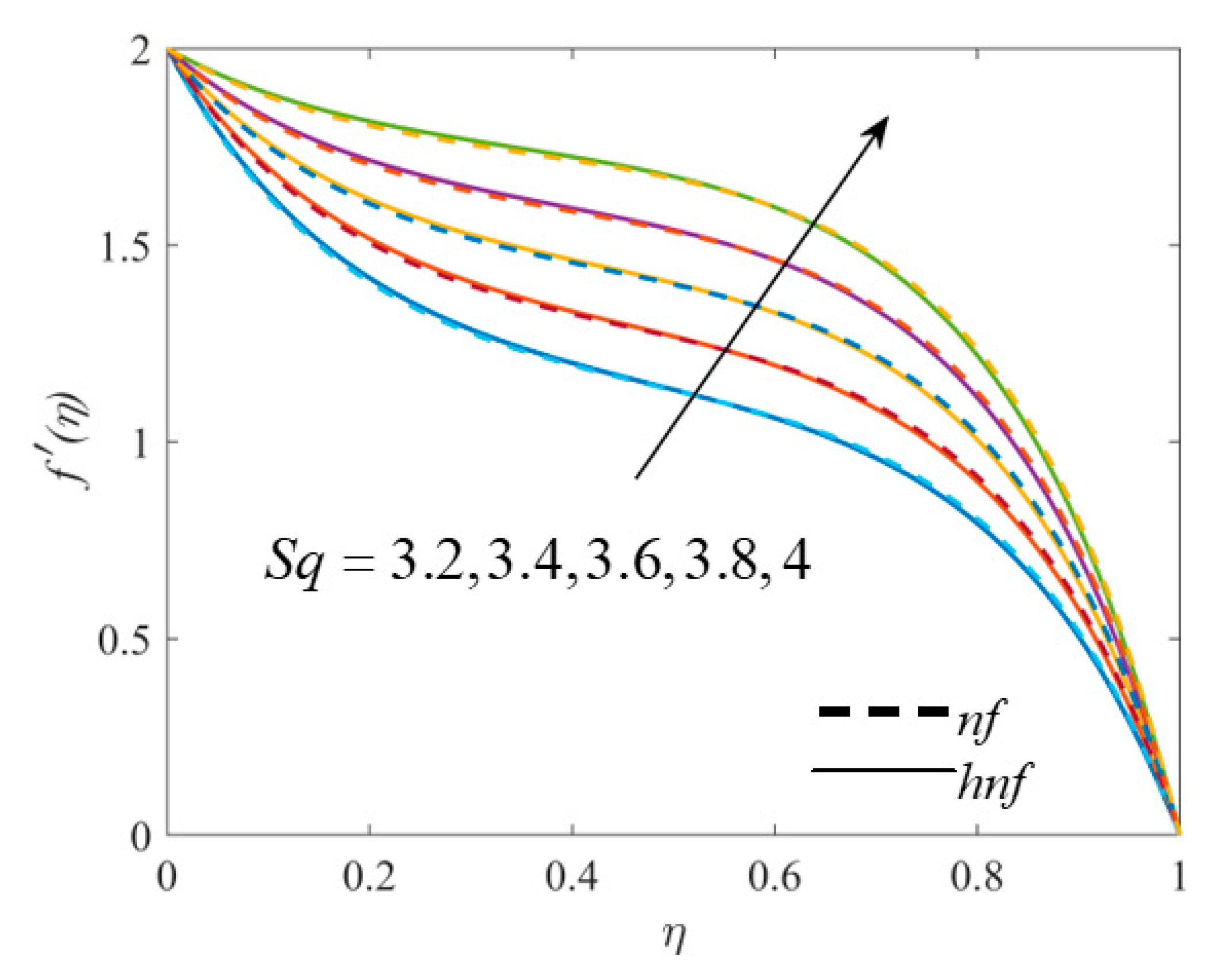
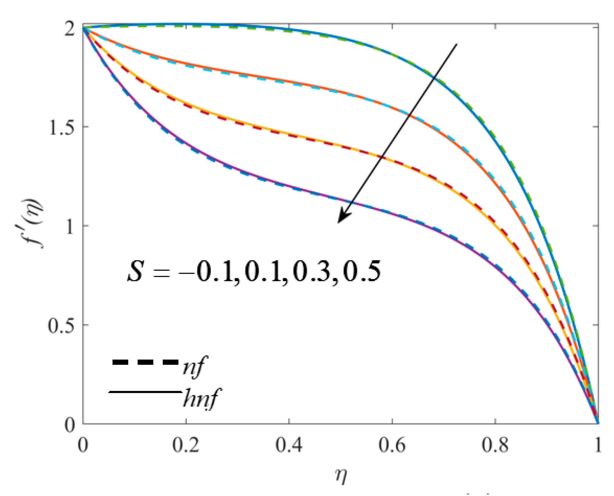
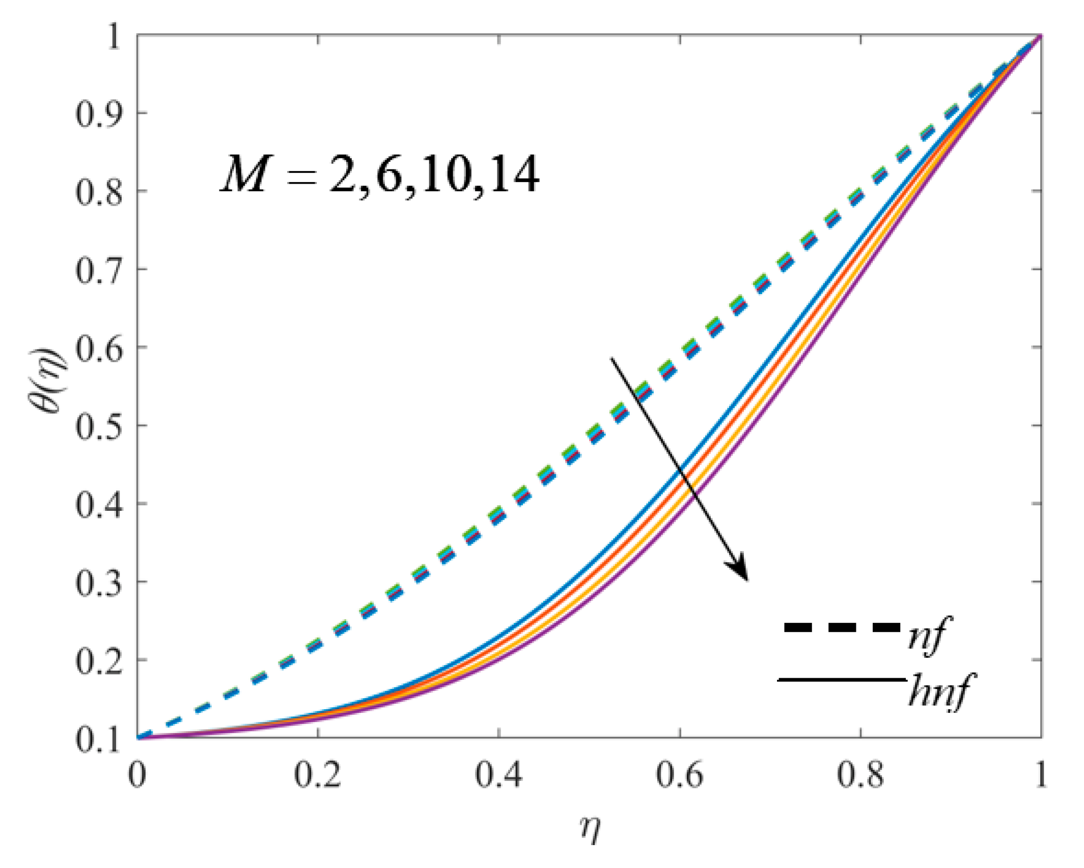
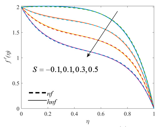
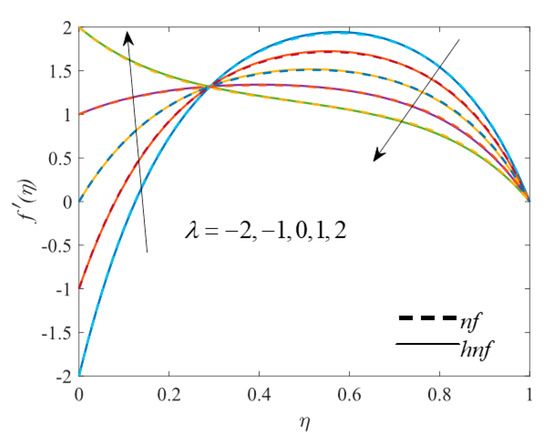
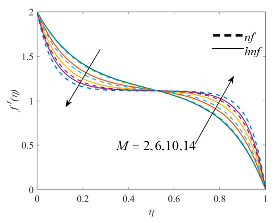
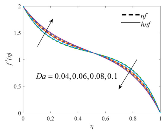
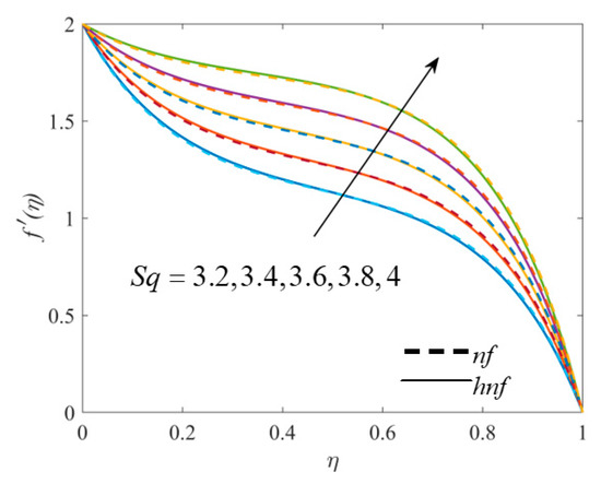
4.1. Velocity Profile
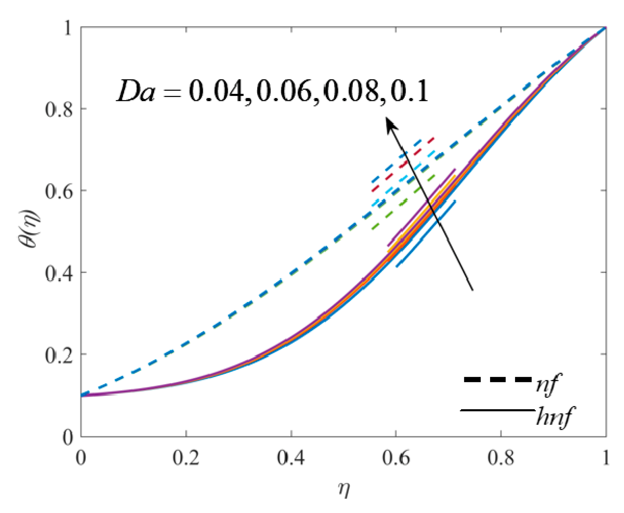
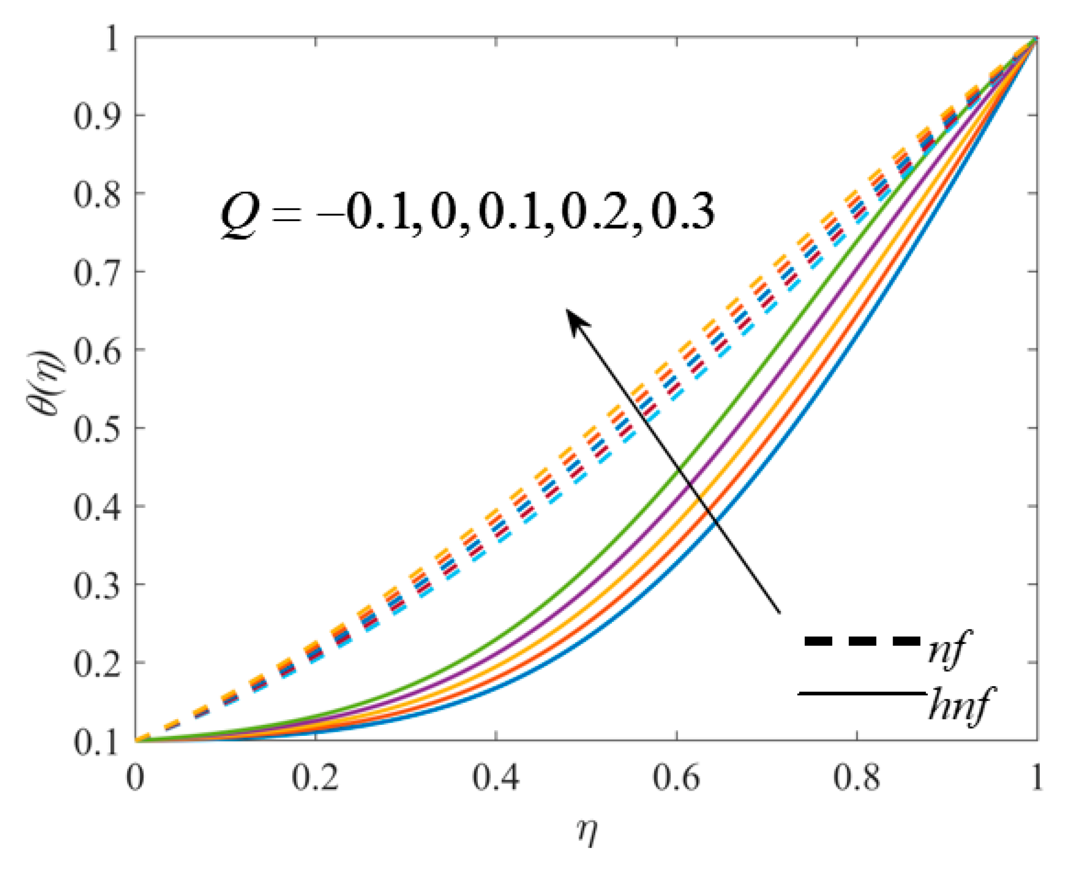
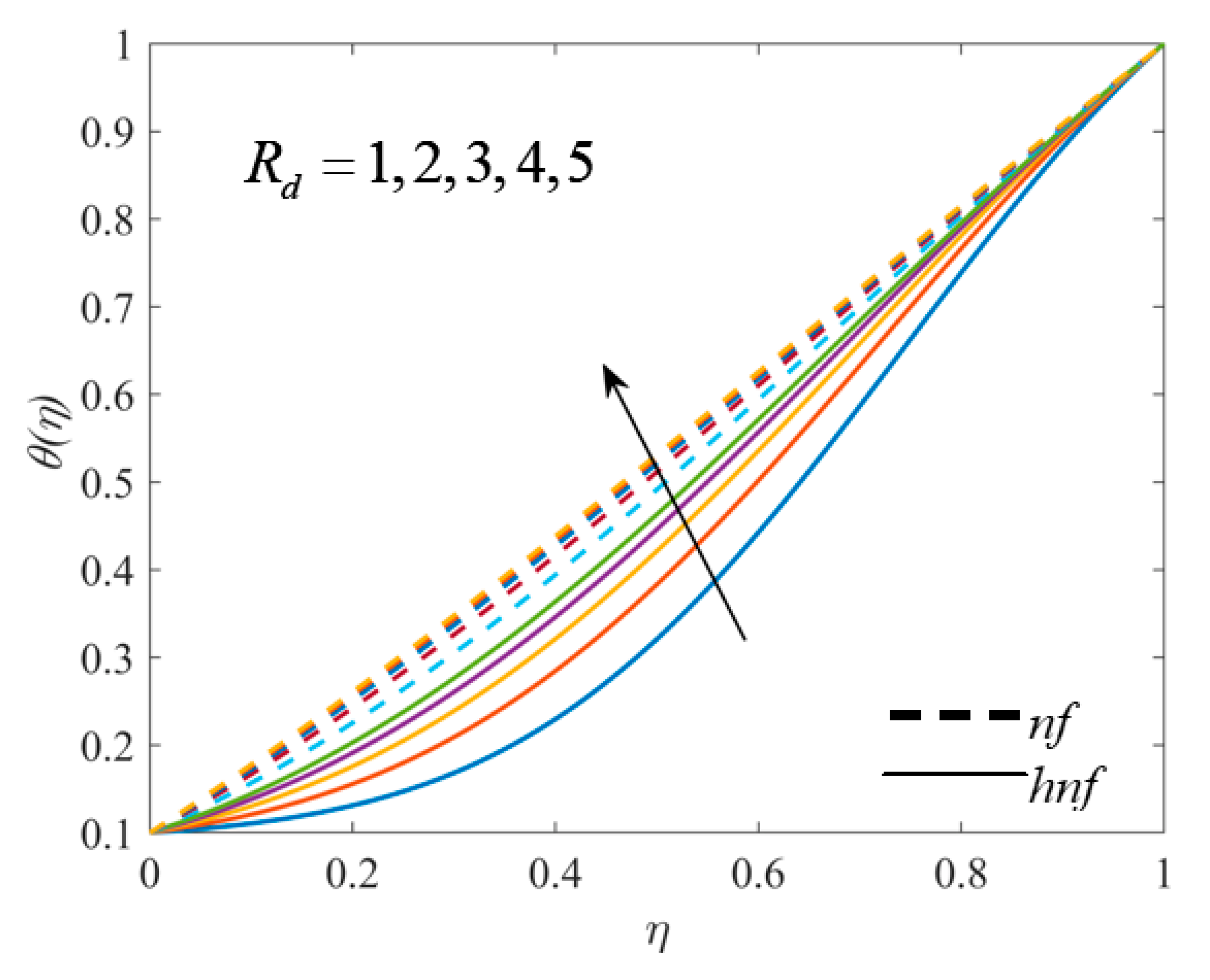
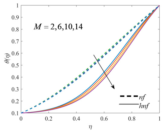
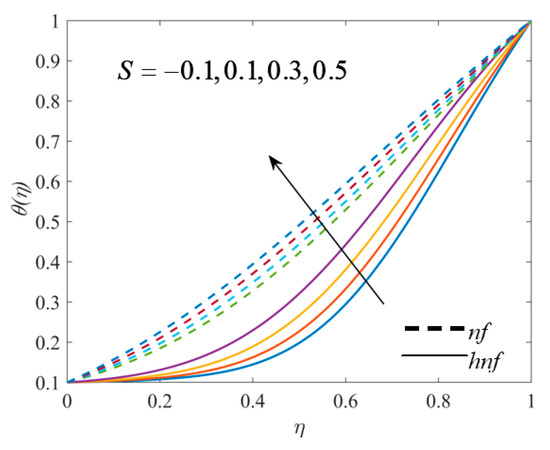
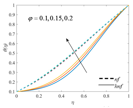
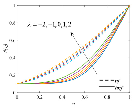
4.2. Temperature Profile
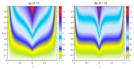
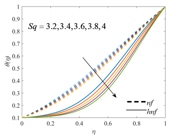
4.3. Streamlines and Velocity Boundary Layer Pattern
4.4. Nusselt Numbers
5. Conclusions
- The injection effect and the shrinking of the lower plate aid the hybrid nanofluid flow.
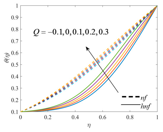
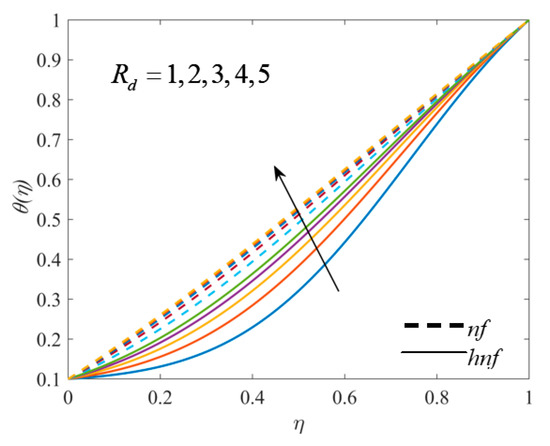
- The thermal radiation parameter and heat sink/source parameter have a positive correlation with the thermal field.
- The hybrid nanofluid flow has a higher Nusselt number at the lower plate than the nanofluid.
- The streamlines become denser under the influence of suction and injection effects.
- The presence of a magnetic field has a thinning consequence on the velocity boundary layer region.
- The results of this study apply to several thermal systems, engineering, and industrial processes, which utilize nanofluid and hybrid nanofluid for cooling and heating processes.
Author Contributions
Funding
Data Availability Statement
Conflicts of Interest
Nomenclature
| Roman Letters | |||
| b | constant | vw | Velocity of mass flux (m/s) |
| Bo | Magnetic induction (W/m2) | Cartesian coordinates (m) | |
| Magnetic field (kg/(s2·m2)) | |||
| Da | Darcy number | Greek symbols | |
| Dimensionless velocity | Constant | ||
| Distance between plates (m) | λ | Stretching/shrinking parameter | |
| k | Thermal conductivity (W/mK) | Temperature-ratio parameter | |
| Mean absorption coefficient (m−1) | Porosity of the porous medium | ||
| ko | Permeability of the porous medium (m2) | Solid volume fraction of MoS2 | |
| M | Magnetic-field parameter | Solid volume fraction of SiO2 | |
| Nusselt number | Kinematic viscosity (m2/s) | ||
| Pr | Prandtl number | Dynamic viscosity (kg m−1 s−1) | |
| Heat-source/sink parameter | Density (kg/m3) | ||
| qr | Radiative-heat flux (W/m2) | Stream function | |
| Rd | Radiation parameter | Stefan–Boltzmann constant (W. m−2. K−4) | |
| Rex | Local Reynolds number | Electrical conductivity ((s3. m2)/kg) | |
| Sq | Squeezing parameter | Heat capacity (J/m3K) | |
| S | Suction/injection parameter | Similarity variable | |
| t | Time (s) | Constant | |
| T | Temperature (K) | ||
| To | Reference temperature (K) | Subscripts | |
| T1 | Lower plate temperature (K) | ||
| Upper plate temperature (K) | f | Base fluid | |
| Dimensionless temperature | nf | Nanofluid | |
| Components of velocity (m/s) | hnf | Hybrid nanofluid | |
| Stretching velocity (m/s) | |||
| Constant | Superscripts | ||
| Velocity of the upper plate moving towards/away from the lower plate (m/s) | |||
Appendix A. Derivation of the Flow Problem
Appendix A.1. Derivation of Continuity Equation
Appendix A.2. Derivation of Momentum Equations
Appendix A.3. Derivation of Energy Equation
Appendix A.4. Derivation of Boundary Conditions
References
- Choi, S.U.S. Enhancing Thermal Conductivity of Fluids with Nanoparticles. Am. Soc. Mech. Eng. Fluids Eng. Div. 1995, 231, 99–105. [Google Scholar]
- Choi, C.; Yoo, H.S.; Oh, J.M. Preparation and Heat Transfer Properties of Nanoparticle-in-Transformer Oil Dispersions as Advanced Energy-Efficient Coolants. Curr. Appl. Phys. 2008, 8, 710–712. [Google Scholar] [CrossRef]
- Taylor-Pashow, K.M.L.; Della Rocca, J.; Huxford, R.C.; Lin, W. Hybrid Nanomaterials for Biomedical Applications. Chem. Commun. 2010, 46, 5832–5849. [Google Scholar] [CrossRef] [PubMed]
- Masteri-Farahani, M.; Movassagh, J.; Taghavi, F.; Eghbali, P.; Salimi, F. Magnetite–Polyoxometalate Hybrid Nanomaterials: Synthesis and Characterization. Chem. Eng. J. 2012, 184, 342–346. [Google Scholar] [CrossRef]
- Mehryan, S.A.M.; Izadpanahi, E.; Ghalambaz, M.; Chamkha, A.J. Mixed Convection Flow Caused by an Oscillating Cylinder in a Square Cavity Filled with Cu–Al2O3/Water Hybrid Nanofluid. J. Therm. Anal. Calorim. 2019, 137, 965–982. [Google Scholar] [CrossRef]
- Ullah, I.; Hayat, T.; Alsaedi, A. Optimization of Entropy Production in Flow of Hybrid Nanomaterials through Darcy–Forchheimer Porous Space. J. Therm. Anal. Calorim. 2021, 147, 5855–5864. [Google Scholar] [CrossRef]
- Yaseen, M.; Kumar, M.; Rawat, S.K. Assisting and Opposing Flow of a MHD Hybrid Nanofluid Flow Past a Permeable Moving Surface with Heat Source/Sink and Thermal Radiation. Partial Differ. Equations Appl. Math. 2021, 4, 100168. [Google Scholar] [CrossRef]
- Ullah, I.; Jan, R.U.; Khan, H.; Alam, M.M. Improving the Thermal Performance of (ZnO-Ni/H2O) Hybrid Nanofluid Flow over a Rotating System: The Applications of Darcy Forchheimer Theory. Waves Random Complex Media 2022, 1–17. [Google Scholar] [CrossRef]
- Garia, R.; Rawat, S.K.; Kumar, M.; Yaseen, M. Hybrid Nanofluid Flow over Two Different Geometries with Cattaneo-Christov Heat Flux Model and Heat Generation: A Model with Correlation Coefficient and Probable Error. Chin. J. Phys. 2021, 74, 421–439. [Google Scholar] [CrossRef]
- Kavya, S.; Nagendramma, V.; Ahammad, N.A.; Ahmad, S.; Raju, C.S.K.; Shah, N.A. Magnetic-Hybrid Nanoparticles with Stretching/Shrinking Cylinder in a Suspension of MoS4 and Copper Nanoparticles. Int. Commun. Heat Mass Transf. 2022, 136, 106150. [Google Scholar] [CrossRef]
- Raju, C.S.K.; Ahammad, N.A.; Sajjan, K.; Shah, N.A.; Yook, S.J.; Kumar, M.D. Nonlinear Movements of Axisymmetric Ternary Hybrid Nanofluids in a Thermally Radiated Expanding or Contracting Permeable Darcy Walls with Different Shapes and Densities: Simple Linear Regression. Int. Commun. Heat Mass Transf. 2022, 135, 106110. [Google Scholar] [CrossRef]
- Upadhya, S.M.; Raju, S.V.S.R.; Raju, C.S.K.; Shah, N.A.; Chung, J.D. Importance of Entropy Generation on Casson, Micropolar and Hybrid Magneto-Nanofluids in a Suspension of Cross Diffusion. Chin. J. Phys. 2022, 77, 1080–1101. [Google Scholar] [CrossRef]
- Ullah, I.; Hayat, T.; Alsaedi, A.; Asghar, S. Dissipative Flow of Hybrid Nanoliquid (H2O-Aluminum Alloy Nanoparticles) with Thermal Radiation. Phys. Scr. 2019, 94, 125708. [Google Scholar] [CrossRef]
- Singh, K.; Rawat, S.K.; Kumar, M. Heat and Mass Transfer on Squeezing Unsteady MHD Nanofluid Flow between Parallel Plates with Slip Velocity Effect. J. Nanosci. 2016, 2016, 9708562. [Google Scholar] [CrossRef]
- Salehi, S.; Nori, A.; Hosseinzadeh, K.; Ganji, D.D. Hydrothermal Analysis of MHD Squeezing Mixture Fluid Suspended by Hybrid Nanoparticles between Two Parallel Plates. Case Stud. Therm. Eng. 2020, 21, 100650. [Google Scholar] [CrossRef]
- Khashi’ie, N.S.; Waini, I.; Arifin, N.M.; Pop, I. Unsteady Squeezing Flow of Cu-Al2O3/Water Hybrid Nanofluid in a Horizontal Channel with Magnetic Field. Sci. Rep. 2021, 11, 14128. [Google Scholar] [CrossRef]
- Tiam Kapen, P.; Gervais Njingang Ketchate, C.; Fokwa, D.; Tchuen, G. Linear Stability Analysis of (Cu-Al2O3)/Water Hybrid Nanofluid Flow in Porous Media in Presence of Hydromagnetic, Small Suction and Injection Effects. Alexandria Eng. J. 2021, 60, 1525–1536. [Google Scholar] [CrossRef]
- Sathish Kumar, M.; Sandeep, N.; Rushi Kumar, B.; Saleem, S. Effect of Aligned Magnetic Field on MHD Squeezing Flow of Casson Fluid between Parallel Plates. Defect Diffus. Forum 2018, 384, 1–11. [Google Scholar] [CrossRef]
- Shah, Z.; Islam, S.; Gul, T.; Bonyah, E.; Altaf Khan, M. The Electrical MHD and Hall Current Impact on Micropolar Nanofluid Flow between Rotating Parallel Plates. Results Phys. 2018, 9, 1201–1214. [Google Scholar] [CrossRef]
- Li, Y.M.; Ullah, I.; Ameer Ahammad, N.; Ullah, I.; Muhammad, T.; Asiri, S.A. Approximation of Unsteady Squeezing Flow through Porous Space with Slip Effect: DJM Approach. Waves Random Complex Media 2022. [CrossRef]
- Ullah, I. Heat Transfer Enhancement in Marangoni Convection and Nonlinear Radiative Flow of Gasoline Oil Conveying Boehmite Alumina and Aluminum Alloy Nanoparticles. Int. Commun. Heat Mass Transf. 2022, 132, 105920. [Google Scholar] [CrossRef]
- Ben Henda, M.; Waqas, H.; Hussain, M.; Khan, S.U.; Chammam, W.; Khan, S.A.; Tlili, I. Applications of Activation Energy along with Thermal and Exponential Space-Based Heat Source in Bioconvection Assessment of Magnetized Third Grade Nanofluid over Stretched Cylinder/Sheet. Case Stud. Therm. Eng. 2021, 26, 101043. [Google Scholar] [CrossRef]
- Mishra, A.; Kumar, M. Thermal Performance of MHD Nanofluid Flow Over a Stretching Sheet Due to Viscous Dissipation, Joule Heating and Thermal Radiation. Int. J. Appl. Comput. Math. 2020, 6, 123. [Google Scholar] [CrossRef]
- Rashidi, M.M.; Babu, M.J.; Sandeep, N.; Ali, M.E. MHD Squeezing Flow of Nanofluid between Parallel Plates in the Presence of Aligned Magnetic Field. J. Comput. Theor. Nanosci. 2016, 13, 8700–8708. [Google Scholar] [CrossRef]
- Ullah, I.; Ullah, R.; Alqarni, M.S.; Xia, W.-F.; Muhammad, T. Combined Heat Source and Zero Mass Flux Features on Magnetized Nanofluid Flow by Radial Disk with the Applications of Coriolis Force and Activation Energy. Int. Commun. Heat Mass Transf. 2021, 126, 105416. [Google Scholar] [CrossRef]
- Sharma, R.; Hussain, S.M.; Raju, C.S.K.; Seth, G.S.; Chamkha, A.J. Study of Graphene Maxwell Nanofluid Flow Past a Linearly Stretched Sheet: A Numerical and Statistical Approach. Chin. J. Phys. 2020, 68, 671–683. [Google Scholar] [CrossRef]
- Ge-Jile, H.; Shah, N.A.; Mahrous, Y.M.; Sharma, P.; Raju, C.S.K.; Upddhya, S.M. Radiated Magnetic Flow in a Suspension of Ferrous Nanoparticles over a Cone with Brownian Motion and Thermophoresis. Case Stud. Therm. Eng. 2021, 25, 100915. [Google Scholar] [CrossRef]
- Raju, C.S.K.; Ibrahim, S.M.; Anuradha, S.; Priyadharshini, P. Bio-Convection on the Nonlinear Radiative Flow of a Carreau Fluid over a Moving Wedge with Suction or Injection. Eur. Phys. J. Plus 2016, 131, 409. [Google Scholar] [CrossRef]
- Ullah, I.; Alghamdi, M.; Xia, W.F.; Shah, S.I.; Khan, H. Activation Energy Effect on the Magnetized-Nanofluid Flow in a Rotating System Considering the Exponential Heat Source. Int. Commun. Heat Mass Transf. 2021, 128, 105578. [Google Scholar] [CrossRef]
- Nandeppanavar, M.M.; Vaishali, S.; Kemparaju, M.C.; Raveendra, N. Theoretical Analysis of Thermal Characteristics of Casson Nano Fluid Flow Past an Exponential Stretching Sheet in Darcy Porous Media. Case Stud. Therm. Eng. 2020, 21, 100717. [Google Scholar] [CrossRef]
- Shah, Z.; Dawar, A.; Islam, S.; Khan, I.; Ching, D.L.C. Darcy-Forchheimer Flow of Radiative Carbon Nanotubes with Microstructure and Inertial Characteristics in the Rotating Frame. Case Stud. Therm. Eng. 2018, 12, 823–832. [Google Scholar] [CrossRef]
- Shafiq, A.; Rasool, G.; Khalique, C.M. Significance of Thermal Slip and Convective Boundary Conditions in Three Dimensional Rotating Darcy-Forchheimer Nanofluid Flow. Symmetry 2020, 12, 741. [Google Scholar] [CrossRef]
- Ahmad, S.; Ali, K.; Rizwan, M.; Ashraf, M. Heat and Mass Transfer Attributes of Copper–Aluminum Oxide Hybrid Nanoparticles Flow through a Porous Medium. Case Stud. Therm. Eng. 2021, 25, 100932. [Google Scholar] [CrossRef]
- Mishra, A.; Kumar, M. Numerical Analysis of MHD Nanofluid Flow over a Wedge, Including Effects of Viscous Dissipation and Heat Generation/Absorption, Using Buongiorno Model. Heat Transf. 2021, 50, 8453–8474. [Google Scholar] [CrossRef]
- Yaseen, M.; Rawat, S.K.; Kumar, M. Cattaneo–Christov Heat Flux Model in Darcy–Forchheimer Radiative Flow of MoS2–SiO2/Kerosene Oil between Two Parallel Rotating Disks. J. Therm. Anal. Calorim. 2022, 147, 10865–10887. [Google Scholar] [CrossRef]
- Ullah, I.; Hayat, T.; Aziz, A.; Alsaedi, A. Significance of Entropy Generation and the Coriolis Force on the Three-Dimensional Non-Darcy Flow of Ethylene-Glycol Conveying Carbon Nanotubes (SWCNTs and MWCNTs). J. Non-Equilib. Thermodyn. 2022, 47, 61–75. [Google Scholar] [CrossRef]
- Hayat, T.; Ullah, I.; Alsaedi, A.; Momani, S. Entropy Optimization in Nonlinear Mixed Convective Flow of Nanomaterials through Porous Space. J. Non-Equilib. Thermodyn. 2021, 46, 191–203. [Google Scholar] [CrossRef]
- Li, Y.M.; Ullah, I.; Alam, M.M.; Khan, H.; Aziz, A. Lorentz Force and Darcy-Forchheimer Effects on the Convective Flow of Non-Newtonian Fluid with Chemical Aspects. Waves Random Complex Media 2022. [Google Scholar] [CrossRef]
- Ullah, I. Activation Energy with Exothermic/Endothermic Reaction and Coriolis Force Effects on Magnetized Nanomaterials Flow through Darcy–Forchheimer Porous Space with Variable Features. Waves Random Complex Media 2022. [Google Scholar] [CrossRef]
- Ahmad, S.; Farooq, M.; Javed, M.; Anjum, A. Slip Analysis of Squeezing Flow Using Doubly Stratified Fluid. Results Phys. 2018, 9, 527–533. [Google Scholar] [CrossRef]
- Devi, S.P.A.; Devi, S.S.U. Numerical Investigation of Hydromagnetic Hybrid Cu Al2O3/Water Nanofluid Flow over a Permeable Stretching Sheet with Suction. Int. J. Nonlinear Sci. Numer. Simulat. 2016, 17, 249–257. [Google Scholar] [CrossRef]
- Upadhya, M.S.; Raju, C.S.K. Implementation of Boundary Value Problems in Using MATLAB®. In Micro and Nanofluid Convection with Magnetic Field Effects for Heat and Mass Transfer Applications Using MATLAB; Elsevier: Amsterdam, The Netherlands, 2022; pp. 169–238. [Google Scholar] [CrossRef]
- Ahmad, S.; Nadeem, S. Thermal Analysis in Buoyancy Driven Flow of Hybrid Nanofluid Subject to Thermal Radiation. Int. J. Ambient Energy 2020. [Google Scholar] [CrossRef]
- Hayat, T.; Sajjad, R.; Alsaedi, A.; Muhammad, T.; Ellahi, R. On Squeezed Flow of Couple Stress Nanofluid between Two Parallel Plates. Results Phys. 2017, 7, 553–561. [Google Scholar] [CrossRef]


















| Properties | Nanofluid | Hybrid Nanofluid |
|---|---|---|
| Dynamic viscosity | . | |
| Density | ||
| Thermal conductivity | ||
| Electrical conductivity | ||
| Heat capacitance |
| Properties/Constituents | H2O | H2O + EG (50:50) | MoS2 | SiO2 |
|---|---|---|---|---|
| 4179 | 3288 | 397.746 | 730 | |
| 0.613 | 0.425 | 34.5 | 1.5 | |
| 997.1 | 1056 | 5060 | 2650 | |
| 0.05 | 0.00509 | 104 | 10−18 | |
| Pr | 6.2 | 29.86 |
| f″(0) | f″(1) | ||||||
|---|---|---|---|---|---|---|---|
| M | S | Khashi’ie et al. [16] | Hayat et al. [44] | Present | Khashi’ie et al. [16] | Hayat et al. [44] | Present |
| 0 | 0.5 | −7.4111525 | −7.411153 | −7.41115256 | 4.7133028 | 4.713303 | 4.71330278 |
| 1 | 0.5 | −7.5916177 | −7.591618 | −7.5916177 | 4.7390165 | 4.739017 | 4.7390165 |
| 4 | 0.5 | −8.1103342 | −8.110334 | −8.11033423 | 4.8202511 | 4.820251 | 4.82025109 |
| 9 | 0.5 | −8.9100956 | −8.910096 | −8.91009566 | 4.9648698 | 4.96487 | 4.9648698 |
| 4 | 0 | −4.5878911 | −4.587891 | −4.5878911 | 1.8424469 | 1.842447 | 1.84244688 |
| 4 | 0.3 | −6.6656620 | −6.665662 | −6.66566187 | 3.6536948 | 3.653695 | 3.65369492 |
| 4 | 0.6 | −8.8514442 | −8.851444 | −8.85144422 | 5.3912475 | 5.391248 | 5.39124755 |
| 4 | 1 | −11.9485843 | −11.948584 | −11.94858428 | 7.5934262 | 7.593426 | 7.59342617 |
| MoS2/H2O | MoS2−SiO2/H2O−C2H6O2 | |||||||||||
|---|---|---|---|---|---|---|---|---|---|---|---|---|
| Da | M | Sq | S | Rd | ||||||||
| 0.04 | 2 | 3.2 | 2 | 0.5 | 0.1 | 0.1 | 0.3 | 1 | −1.34916991 | −2.43760429 | −0.21121505 | −2.89742728 |
| 0.06 | −1.36245421 | −2.41385979 | −0.21886821 | −2.77005155 | ||||||||
| 0.1 | −1.37544707 | −2.39085605 | −0.22679853 | −2.64453893 | ||||||||
| 0.04 | 6 | −1.31504548 | −2.49970926 | −0.19808463 | −3.1328579 | |||||||
| 14 | −1.25838822 | −2.60698691 | −0.17464376 | −3.62612217 | ||||||||
| 2 | 3.6 | −1.13585234 | −2.6143865 | −0.12586435 | −3.57622461 | |||||||
| 4 | −0.95338562 | −2.7883278 | −0.08616728 | −4.15987165 | ||||||||
| 3.2 | −2 | −0.92386278 | −2.96095613 | −0.09282364 | −4.81304915 | |||||||
| 0 | −1.12295604 | −2.70537179 | −0.12698724 | −3.93950167 | ||||||||
| 2 | −0.1 | −0.79960932 | −2.95380186 | −0.06620933 | −4.65301925 | |||||||
| 0.3 | −1.13661608 | −2.61269763 | −0.1260337 | −3.56934147 | ||||||||
| 0.5 | 0.15 | 0.15 | −1.52834388 | −2.58065725 | −0.3057826 | −2.9868471 | ||||||
| 0.2 | 0.2 | −1.72972588 | −2.74265991 | −0.4340701 | −3.0839793 | |||||||
| 0.1 | 0.1 | −0.1 | −1.0896009 | −3.22226056 | −0.0312476 | −5.69328936 | ||||||
| 0.1 | −1.21377331 | −2.84089142 | −0.11532536 | −4.39973995 | ||||||||
| 0.3 | 3 | −3.63080799 | −4.81817893 | −1.31211613 | −5.20644542 | |||||||
| 5 | −5.99010125 | −7.2109876 | −3.064243 | −7.52676646 | ||||||||
Publisher’s Note: MDPI stays neutral with regard to jurisdictional claims in published maps and institutional affiliations. |
© 2022 by the authors. Licensee MDPI, Basel, Switzerland. This article is an open access article distributed under the terms and conditions of the Creative Commons Attribution (CC BY) license (https://creativecommons.org/licenses/by/4.0/).
Share and Cite
Yaseen, M.; Rawat, S.K.; Shafiq, A.; Kumar, M.; Nonlaopon, K. Analysis of Heat Transfer of Mono and Hybrid Nanofluid Flow between Two Parallel Plates in a Darcy Porous Medium with Thermal Radiation and Heat Generation/Absorption. Symmetry 2022, 14, 1943. https://doi.org/10.3390/sym14091943
Yaseen M, Rawat SK, Shafiq A, Kumar M, Nonlaopon K. Analysis of Heat Transfer of Mono and Hybrid Nanofluid Flow between Two Parallel Plates in a Darcy Porous Medium with Thermal Radiation and Heat Generation/Absorption. Symmetry. 2022; 14(9):1943. https://doi.org/10.3390/sym14091943
Chicago/Turabian StyleYaseen, Moh, Sawan Kumar Rawat, Anum Shafiq, Manoj Kumar, and Kamsing Nonlaopon. 2022. "Analysis of Heat Transfer of Mono and Hybrid Nanofluid Flow between Two Parallel Plates in a Darcy Porous Medium with Thermal Radiation and Heat Generation/Absorption" Symmetry 14, no. 9: 1943. https://doi.org/10.3390/sym14091943
APA StyleYaseen, M., Rawat, S. K., Shafiq, A., Kumar, M., & Nonlaopon, K. (2022). Analysis of Heat Transfer of Mono and Hybrid Nanofluid Flow between Two Parallel Plates in a Darcy Porous Medium with Thermal Radiation and Heat Generation/Absorption. Symmetry, 14(9), 1943. https://doi.org/10.3390/sym14091943

