NM-polynomials and Topological Indices of Some Cycle-Related Graphs
Abstract
:1. Introduction
2. Materials and Methods
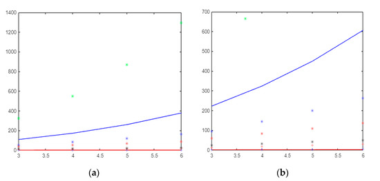
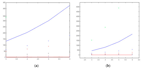
3. Results
|
|
|
|
|
4. Discussion and Conclusions
Funding
Institutional Review Board Statement
Informed Consent Statement
Data Availability Statement
Conflicts of Interest
References
- Gutman, I. A property of the Simple Topological Index. MATCH Commun. Math. Comput. Chem. 1990, 25, 131–140. [Google Scholar]
- Xiao, C.; Chen, H.; Raigorodskii, A.M. A connection between the Kekulé structures of pentagonal chains and the Hosoya index of caterpillar trees. Disc. Appl. Math. 2017, 232, 230–234. [Google Scholar] [CrossRef]
- Wiener, H. Structural Determination of Paraffin Boiling Points. J. Am. Chem. Soc. 1947, 69, 17–20. [Google Scholar] [CrossRef] [PubMed]
- Deutsch, E.; Klavzar, S. M-Polynomial and Degree-Based Topological Indices. Iran. J. Math. Chem. 2015, 6, 93–102. [Google Scholar]
- Kirmani, S.A.K.; Ali, P.; Azam, F. Topological indices and QSPR/QSAR analysis of some antiviral drugs being investigated for the treatment of COVID-19 patients. Int. J. Quantum Chem. 2021, 121, e26594. [Google Scholar] [CrossRef]
- Mondal, S.; Siddiqui, M.K.; De, N.; Pal, A. Neighborhood M-Polynomial of Crystallographic Structures. Biointerface Res. Appl. Chem. 2021, 11, 9372–9381. [Google Scholar]
- Havare, Ö.Ç. Topological Indices and QSPR modeling of Some Novel Drugs Used in the Cancer Treatment. Int. J. Quantum Chem. 2021, 121, e26813. [Google Scholar] [CrossRef]
- Mondal, S.; Imran, M.; De, N.; Pal, A. Neighborhood M-polynomial of titanium compounds. Arab. J. Chem. 2021, 14, 103244. [Google Scholar] [CrossRef]
- Mondal, S.; De, N.; Pal, A. Neighborhood degree sum-based molecular descriptors of fractal and Cayley tree dendrimers. Eur. Phys. J. Plus 2021, 136, 303. [Google Scholar] [CrossRef]
- Haoer, R.S. Topological indices of metal-organic networks via neighborhood M-polynomial. J. Discret. Math. Sci. Cryptogr. 2021, 24, 369–390. [Google Scholar] [CrossRef]
- Réti, T.; Ali, A.; Varga, P.; Bitay, E. Some properties of the neighborhood first Zagreb index. Discret. Math. Lett. 2019, 2, 10–17. [Google Scholar]
- Ponomarenko, E.I.; Raigorodskii, A.M. New upper bounds for the independence numbers of graphs with vertices in {−1, 0, 1} n and their applications to problems of the chromatic numbers of distance graphs. Math. Notes 2014, 96, 140–148. [Google Scholar] [CrossRef]
- Sowmya, S. On Topological Indices of Cycle Related Graph. Adv. Math. Sci. J. 2020, 9, 4221–4230. [Google Scholar] [CrossRef]
- Asif, F.; Kashif, A.; Zafar, S.; Ojiema, M.O. Mostar Index of Cycle-Related Structures. J. Chem. 2022, 2022, 9411947. [Google Scholar] [CrossRef]
- Natarajan, C.; Selvamuthukumaran, S.; Farahani, M.R. On leap Zagreb indices of some cycle related graphs. TWMS J. Appl. Eng. Math. 2022, 12, 954–968. [Google Scholar]
- Basavanagoud, B.; Barangi, A.P.; Jakkannavar, P. M-polynomial of some graph operations and cycle related graphs. Iran. J. Math. Chem. 2019, 10, 127–150. [Google Scholar]
- Havare, O.C. Mostar Index (Mo) and edge Mo index for some cycle related graphs. Rom. J. Math. Comput. Sci. 2020, 10, 53–66. [Google Scholar]
- Javaraju, S.; Alsinai, A.; Alwardi, A.; Ahmed, H.; Soner, N.D. Reciprocal leap indices of some wheel related graphs. J. Prime Res. Math. 2021, 17, 101–110. [Google Scholar]
- Chartrand, G.; Lesniak, L. Graphs and Digraphs; The CRS Press: Baltimore, MD, USA, 2005. [Google Scholar]
- Verma, A.; Mondal, S.; De, N.; Pal, A. Topological properties of bismuth Tri-iodide using neighborhood M-polynomial. Int. J. Math. Trends Technol. 2019, 67, 83–90. [Google Scholar]
- Ghorbani, M.; Hosseinzadeh, M.A. The third version of Zagreb index. Disc. Math. Algorithms Appl. 2013, 5, 1350039. [Google Scholar] [CrossRef]
- Mondal, S.; De, N.; Pal, A. On some new neighbourhood degree based index. Acta Chem. Iasi. 2019, 27, 31–46. [Google Scholar] [CrossRef]
- Mondal, S.; Dey, A.; De, N.; Pal, A. QSPR analysis of some novel neighbourhood degree-based topological descriptors. Complex Intell. Syst. 2021, 7, 977–996. [Google Scholar] [CrossRef]
- Gallian, J.A. A Dynamic Survey of Graph Labeling. Electron. J. Comb. 2018, 1, #DS6. [Google Scholar]






| Molecular Descriptors | Mathematical Expressions | Derivation from |
|---|---|---|
| Third version of Zagreb [21] | ||
| Neighborhood Harmonic [20] | ||
| Neighborhood Second Zagreb [22] | ||
| Neighborhood Second modified Zagreb [20] | ||
| Neighborhood inverse sum indeg [20] | ||
| Neighborhood Forgotten [22] | ||
| Third NDe [23] | ||
| Fifth NDe [23] |
Publisher’s Note: MDPI stays neutral with regard to jurisdictional claims in published maps and institutional affiliations. |
© 2022 by the author. Licensee MDPI, Basel, Switzerland. This article is an open access article distributed under the terms and conditions of the Creative Commons Attribution (CC BY) license (https://creativecommons.org/licenses/by/4.0/).
Share and Cite
Çolakoğlu, Ö. NM-polynomials and Topological Indices of Some Cycle-Related Graphs. Symmetry 2022, 14, 1706. https://doi.org/10.3390/sym14081706
Çolakoğlu Ö. NM-polynomials and Topological Indices of Some Cycle-Related Graphs. Symmetry. 2022; 14(8):1706. https://doi.org/10.3390/sym14081706
Chicago/Turabian StyleÇolakoğlu, Özge. 2022. "NM-polynomials and Topological Indices of Some Cycle-Related Graphs" Symmetry 14, no. 8: 1706. https://doi.org/10.3390/sym14081706
APA StyleÇolakoğlu, Ö. (2022). NM-polynomials and Topological Indices of Some Cycle-Related Graphs. Symmetry, 14(8), 1706. https://doi.org/10.3390/sym14081706

