Computational Fluid Dynamics Based Kriging Prediction on Flutter Derivatives of Flat Steel Box Girders
Abstract
:1. Introduction
2. Design of Flat Steel Box Girder of Qingshan Yangtze River Bridge
3. CFD Based Flutter Derivative Identification
3.1. Identification Method of Flutter Derivatives
3.2. Flow Field Meshing of Qingshan Yangtze River Bridge
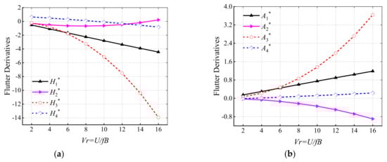
3.3. Flutter Derivative Identification of Flat Steel Box Girders
4. Kriging Prediction on Flutter Derivatives of Steel Box Girders
4.1. Kriging Prediction Method
4.2. Predicted Flutter Derivatives of Steel Box Girders
5. Conclusions
Author Contributions
Funding
Institutional Review Board Statement
Informed Consent Statement
Data Availability Statement
Conflicts of Interest
References
- Larsen, A.; Wall, A. Shaping of bridge box girders to avoid vortex shedding response. J. Wind Eng. Ind. Aerodyn. 2012, 104–106, 159–165. [Google Scholar] [CrossRef]
- Wang, H.; Tao, T.; Zhou, R.; Hua, X.; Kareem, A. Parameter sensitivity study on flutter stability of a long-span triple-tower suspension bridge. J. Wind Eng. Ind. Aerodyn. 2014, 128, 12–21. [Google Scholar] [CrossRef]
- Zhao, G.; Li, Y.; Bai, H. Wind tunnel test and the analysis of buffeting performance of free-standing tower of cable-stayed bridge under yaw wind. Adv. Mater. Res. 2012, 532–533, 215–219. [Google Scholar] [CrossRef]
- Larsen, A.; Larsose, G.L. Dynamic wind effects on suspension and cable-stayed bridges. J. Sound Vib. 2015, 334, 2–28. [Google Scholar] [CrossRef]
- Larose, G.L.; Davenport, A.G.; King, J.P.C. Wind effects on long span bridges: Consistency of wind tunnel results. J. Wind Eng. Ind. Aerodyn. 1992, 42, 1191–1202. [Google Scholar] [CrossRef]
- Diana, G.; Resta, F.; Zasso, A.; Belloli, M.; Rocchi, D. Forced motion and free motion aeroelastic tests on a new concept dynamometric section model of the Messina suspension bridge. J. Wind Eng. Ind. Aerodyn. 2004, 92, 441–462. [Google Scholar] [CrossRef]
- Li, K.; Li, S.; Ge, Y.; Yan, B. Wind effects on long span bridges: An investigation into the bimodal flutter details based on flutter derivatives’ contribution along the bridge deck’s surface. J. Wind Eng. Ind. Aerodyn. 2019, 192, 1–16. [Google Scholar] [CrossRef]
- Sarwar, M.W.; Ishihara, T.; Shimada, K.; Yamasaki, Y.; Ikeda, T. Prediction of aerodynamic characteristics of a box girder bridge section using the LES turbulence model. J. Wind Eng. Ind. Aerodyn. 2008, 96, 1895–1911. [Google Scholar] [CrossRef]
- Mannini, C.; Šoda, A.; Voß, R.; Schewe, G. Unsteady RANS simulations of flow around a bridge section. J. Wind Eng. Ind. Aerodyn. 2010, 98, 742–753. [Google Scholar] [CrossRef] [Green Version]
- Šarkić, A.; Fisch, R.; Höffer, R.; Bletzinger, K.U. Bridge flutter derivatives based on computed, validated pressure fields. J. Wind Eng. Ind. Aerodyn. 2012, 104–106, 141–151. [Google Scholar] [CrossRef]
- Ge, Y.; Xiang, H. Computational models and methods for aerodynamic flutter of long-span bridges. J. Wind Eng. Ind. Aerodyn. 2008, 96, 1912–1924. [Google Scholar] [CrossRef]
- Nagao, F.; Utsunomiya, H.; Oryu, T.; Manabe, S. Aerodynamic efficiency of triangular fairing on box girder bridge. J. Wind Eng. Ind. Aerodyn. 1993, 49, 565–574. [Google Scholar] [CrossRef]
- Montoya, M.C.; Nieto, F.; Hernandez, S.; Kusano, I.; Alvarez, A.J.; Jurado, J.A. CFD-based aeroelastic characterization of streamlined bridge deck cross-sections subject to shape modifications using surrogate models. J. Wind Eng. Ind. Aerodyn. 2018, 177, 405–428. [Google Scholar] [CrossRef]
- Farsani, H.Y.; Valentine, D.T.; Arena, A.; Lacarbonara, W.; Marzocca, P. Indicial functions in the aeroelasticity of bridge decks. J. Fluid Struct. 2014, 48, 203–215. [Google Scholar] [CrossRef]
- Arena, A.; Lacarbonara, W.; Valentine, D.T.; Marzocca, P. Aeroelastic behavior of long-span suspension bridges under arbitrary wind profiles. J. Fluid Struct. 2014, 50, 105–119. [Google Scholar] [CrossRef]
- Yang, Y.; Lu, H.; Tan, X.; Chai, H.K.; Wang, R.; Zhang, Y. Fundamental mode shape estimation and element stiffness evaluation of girder bridges by using passing tractor-trailers. Mech. Syst. Signal Process. 2022, 169, 108746. [Google Scholar] [CrossRef]
- Yang, Y.; Zhang, Y.; Tan, X. Review on Vibration-Based Structural Health Monitoring Techniques and Technical Codes. Symmetry 2021, 13, 1998. [Google Scholar] [CrossRef]
- Yang, Y.; Ling, Y.; Tan, X.; Wang, S.; Wang, R. Damage identification of frame structure based on approximate Metropolis–Hastings algorithm and probability density evolution method. Int. J. Struct. Stab. Dyn. 2022, 22, 2240014. [Google Scholar] [CrossRef]
- Scanlan, R.H.; Tomko, J.J. Airfoil and bridge deck flutter derivatives. J. Eng. Mech. ASCE 1971, 97, 1717–1737. [Google Scholar] [CrossRef]
- Lacarbonara, W.; Arena, A. Flutter of an arch bridge via a fully nonlinear continuum formulation. J. Aerospace Eng. 2011, 24, 112–123. [Google Scholar] [CrossRef]
- Arena, A.; Lacarbonara, W. Nonlinear parametric modeling of suspension bridges under aeroelastic forces: Torsional divergence and flutter. Nonlinear Dyn. 2012, 70, 2487–2510. [Google Scholar] [CrossRef]
- Sarkar, P.P.; Jones, N.P.; Scanlan, R.H. Identification of aeroelastic parameters of flexible bridges. J. Eng. Mech. 1994, 120, 1718–1742. [Google Scholar] [CrossRef]
- Cui, Y.; Chen, G. Simulations for identification of flutter derivatives of bridge section using the coupled-forced-vibration method. J. Vib. Eng. 2007, 20, 35–39. [Google Scholar]
- Chen, C.H.; Wu, J.C.; Chen, J.H. Prediction of flutter derivatives by artificial neural networks. J. Wind Eng. Ind. Aerodyn. 2008, 96, 1925–1937. [Google Scholar] [CrossRef]
- Elshaer, A.; Bitsuamlak, G.; El Damatty, A. Enhancing wind performance of tall buildings using corner aerodynamic optimization. Eng. Struct. 2017, 136, 133–148. [Google Scholar] [CrossRef]
- Gao, Y.; Turng, L.S.; Wang, X. Adaptive geometry and process optimization for injection molding using the kriging surrogate model trained by numerical simulation. Adv. Polym. Technol. 2008, 27, 1–16. [Google Scholar] [CrossRef]
- Durmaz, M.; Karslioglu, M.O.; Nohutcu, M. Regional VTEC modeling with multivariate adaptive regression splines. Adv. Space Res. 2010, 46, 180–189. [Google Scholar] [CrossRef]
- Liu, H.; Antar, Y.M.M.; Wu, Z. A model of an artificial neural network for frequency dependence of radar cross section. Microw. Opt. Technol. Lett. 1999, 20, 315–318. [Google Scholar] [CrossRef]
- Bernardini, E.; Spence, S.M.J.; Wei, D.; Kareem, A. Aerodynamic shape optimization of civil structures: A CFD-enabled Kriging-based approach. J. Wind Eng. Ind. Aerodyn. 2015, 144, 154–164. [Google Scholar] [CrossRef] [Green Version]
- Forrester, A.I.J.; Sóbester, A.; Keane, A.J. Engineering Design via Surrogate Modelling. A Practical Guide; John Wiley and Sons Ltd.: Hoboken, NJ, USA, 2008. [Google Scholar]
- Jones, D.R. A taxonomy of global optimization methods based on response surfaces. J. Glob. Optim. 2001, 21, 345–383. [Google Scholar] [CrossRef]





















| Girder Sections | Sizes | Angles | ||||
|---|---|---|---|---|---|---|
| B[m] | H[m] | B/H | θ1[°] | θ2[°] | θ0[°] | |
| S1 | 46.8 | 4.3875 | 10.67 | 61.10 | 7.47 | 68.57 |
| S2 | 48 | 4.5 | 10.67 | 51.74 | 7.60 | 59.34 |
| S3 | 49.2 | 4.6125 | 10.67 | 38.39 | 7.82 | 46.21 |
| S4 | 50.4 | 4.725 | 10.67 | 38.39 | 7.82 | 46.21 |
| S5 | 51.6 | 4.8375 | 10.67 | 33.71 | 7.93 | 41.64 |
| S6 | 52.8 | 4.95 | 10.67 | 29.95 | 8.03 | 37.98 |
| S7 | 49.2 | 4.3875 | 11.21 | 44.28 | 6.89 | 51.17 |
| S8 | 50.4 | 4.5 | 11.20 | 38.39 | 7.03 | 45.42 |
| S9 | 51.6 | 4.6125 | 11.19 | 33.71 | 7.16 | 40.87 |
| S10 | 52.8 | 4.725 | 11.18 | 29.95 | 7.29 | 37.24 |
| S11 | 46.8 | 4.5 | 10.40 | 61.10 | 7.92 | 69.02 |
| S12 | 48 | 4.6125 | 10.41 | 51.74 | 8.03 | 59.77 |
| S13 | 49.2 | 4.725 | 10.41 | 44.28 | 8.13 | 52.41 |
| S14 | 50.4 | 4.95 | 10.18 | 38.39 | 8.62 | 47.01 |
| S15 | 52.8 | 4.3875 | 12.03 | 29.95 | 6.17 | 36.12 |
| S16 | 52.8 | 4.5 | 11.73 | 29.95 | 6.55 | 36.50 |
| S17 | 46.8 | 4.725 | 9.91 | 61.10 | 8.81 | 69.91 |
| S18 | 46.8 | 4.95 | 9.45 | 61.10 | 9.70 | 70.80 |
| S19 | 48 | 4.8375 | 9.92 | 51.74 | 8.89 | 60.63 |
| Girder Sections | Flutter Derivatives | |||||||
|---|---|---|---|---|---|---|---|---|
| H1* | H2* | H3* | H4* | A1* | A2* | A3* | A4* | |
| S1 | −0.5373 | −0.2996 | −0.2037 | 0.6642 | 0.1536 | −0.0295 | 0.0715 | −0.0067 |
| S2 | −0.5272 | −0.2957 | −0.1992 | 0.6480 | 0.1511 | −0.0272 | 0.0706 | −0.0090 |
| S3 | −0.5135 | −0.2937 | −0.1866 | 0.6427 | 0.1514 | −0.0237 | 0.0674 | −0.0111 |
| S4 | −0.4971 | −0.2814 | −0.1880 | 0.6281 | 0.1502 | −0.0238 | 0.0700 | −0.0131 |
| S5 | −0.4847 | −0.2826 | −0.1814 | 0.6147 | 0.1502 | −0.0215 | 0.0697 | −0.0126 |
| S6 | −0.4616 | −0.2750 | −0.1702 | 0.6097 | 0.1507 | −0.0202 | 0.0702 | −0.0141 |
| S7 | −0.5274 | −0.2898 | −0.1959 | 0.6370 | 0.1506 | −0.0252 | 0.0709 | −0.0096 |
| S8 | −0.5139 | −0.2906 | −0.1884 | 0.6241 | 0.1500 | −0.0248 | 0.0704 | −0.0110 |
| S9 | −0.4920 | −0.2826 | −0.1833 | 0.6168 | 0.1450 | −0.0224 | 0.0701 | −0.0125 |
| S10 | −0.4682 | −0.2780 | −0.1718 | 0.6120 | 0.1510 | −0.0207 | 0.0706 | −0.0133 |
| S11 | −0.5306 | −0.2973 | −0.2020 | 0.6612 | 0.1538 | −0.0289 | 0.0713 | −0.0077 |
| S12 | −0.5988 | −0.2939 | −0.1979 | 0.6445 | 0.1513 | −0.0266 | 0.0705 | −0.0099 |
| S13 | −0.5185 | −0.2898 | −0.1959 | 0.6310 | 0.1501 | −0.0252 | 0.0699 | −0.0110 |
| S14 | −0.4811 | −0.2820 | −0.1883 | 0.6215 | 0.1518 | −0.0248 | 0.0690 | −0.0130 |
| S15 | −0.4774 | −0.2825 | −0.1752 | 0.6192 | 0.1517 | −0.0215 | 0.0712 | −0.0122 |
| S16 | −0.4448 | −0.2789 | −0.1717 | 0.6140 | 0.1512 | −0.0206 | 0.0710 | −0.0131 |
| S17 | −0.5242 | −0.2947 | −0.1993 | 0.6562 | 0.1526 | −0.0278 | 0.0707 | −0.0090 |
| S18 | −0.5134 | −0.2895 | −0.1943 | 0.6377 | 0.1501 | −0.0254 | 0.0697 | −0.0110 |
| S19 | −0.5176 | −0.2915 | −0.1970 | 0.6483 | 0.1522 | −0.0270 | 0.0701 | −0.0100 |
Publisher’s Note: MDPI stays neutral with regard to jurisdictional claims in published maps and institutional affiliations. |
© 2022 by the authors. Licensee MDPI, Basel, Switzerland. This article is an open access article distributed under the terms and conditions of the Creative Commons Attribution (CC BY) license (https://creativecommons.org/licenses/by/4.0/).
Share and Cite
Li, J.; Quan, Z.; Zhang, Y.; Cao, L.; Li, C. Computational Fluid Dynamics Based Kriging Prediction on Flutter Derivatives of Flat Steel Box Girders. Symmetry 2022, 14, 1304. https://doi.org/10.3390/sym14071304
Li J, Quan Z, Zhang Y, Cao L, Li C. Computational Fluid Dynamics Based Kriging Prediction on Flutter Derivatives of Flat Steel Box Girders. Symmetry. 2022; 14(7):1304. https://doi.org/10.3390/sym14071304
Chicago/Turabian StyleLi, Jinhua, Zhan Quan, Yao Zhang, Liyuan Cao, and Chunxiang Li. 2022. "Computational Fluid Dynamics Based Kriging Prediction on Flutter Derivatives of Flat Steel Box Girders" Symmetry 14, no. 7: 1304. https://doi.org/10.3390/sym14071304
APA StyleLi, J., Quan, Z., Zhang, Y., Cao, L., & Li, C. (2022). Computational Fluid Dynamics Based Kriging Prediction on Flutter Derivatives of Flat Steel Box Girders. Symmetry, 14(7), 1304. https://doi.org/10.3390/sym14071304

