Symmetric Heat Transfer Pattern of Fuel Assembly Subchannels in a Sodium-Cooled Fast Reactor
Abstract
1. Introduction
2. Numerical Methods
2.1. Mathematical Model
2.2. Physical Model
2.2.1. Fluid Physical Model
2.2.2. Heat Convection Model
2.2.3. Friction Pressure Drop Model
2.2.4. Subchannel Model
2.3. Entransy Dissipation Equations
2.3.1. Entransy Dissipation in Heat Transfer Process
2.3.2. Entransy Dissipation in Flow Process
3. Results and Discussion
3.1. Thermal-Hydraulic Parameters of the Subchannels
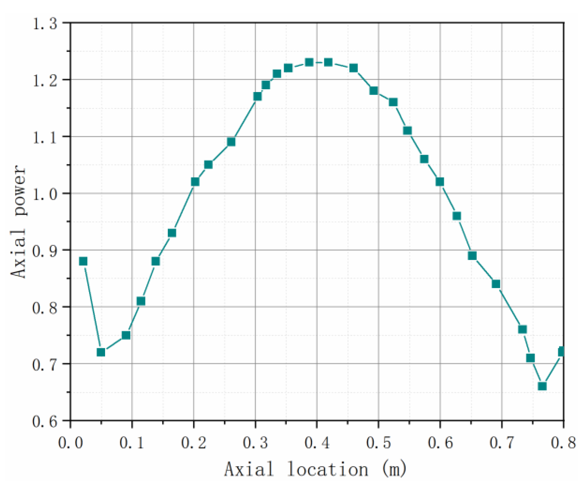
3.1.1. Distribution of the Axial Power
3.1.2. Distribution of the Coolant Temperature
3.1.3. Distribution of the Cladding Temperature
3.1.4. Distribution of the Hot Rod Temperature
3.2. Entransy Analysis of Subchannels
3.2.1. Distribution of Fractional Entransy Dissipation
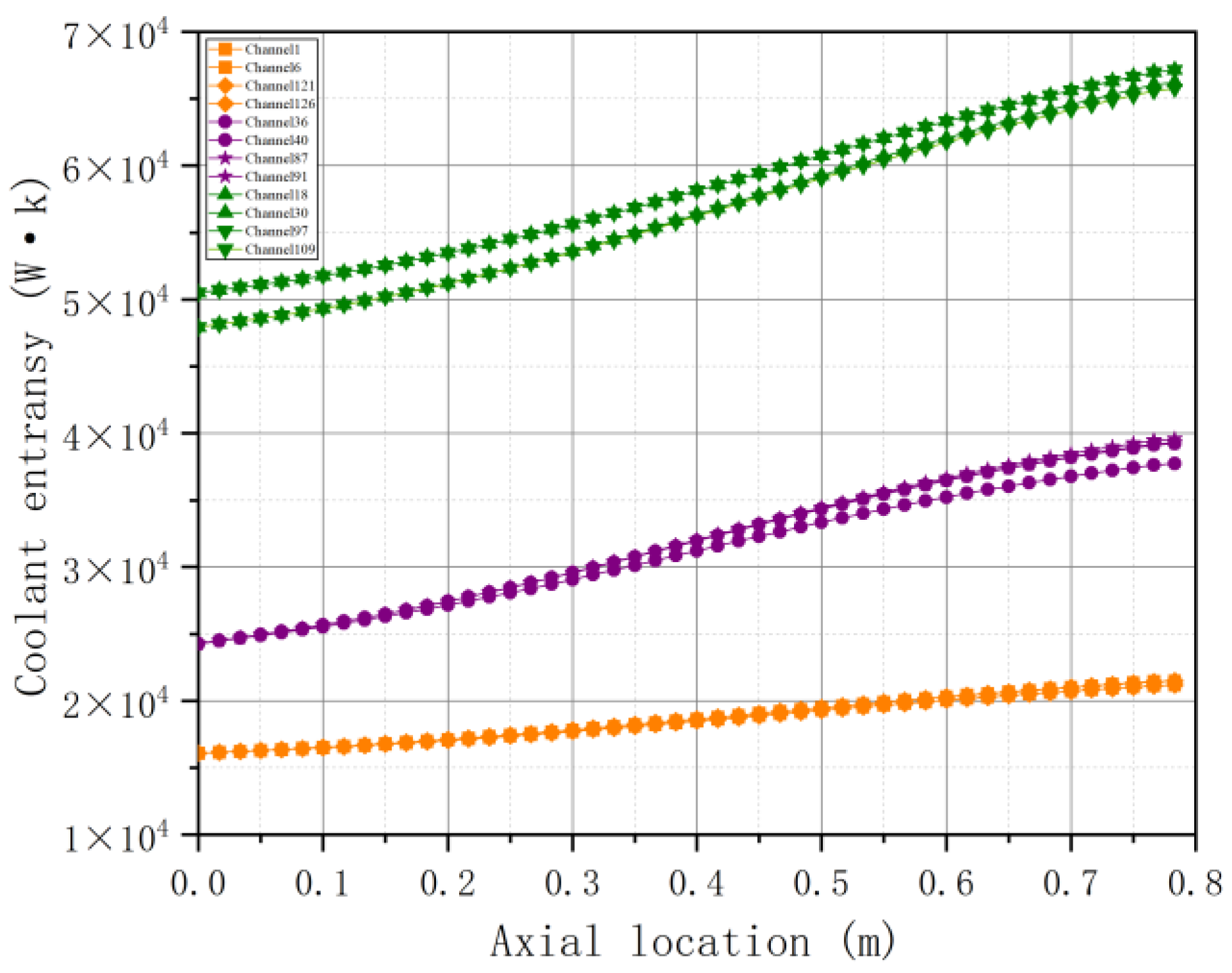
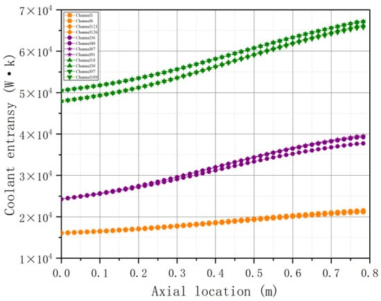
3.2.2. Distribution of Coolant Entransy in Flow Process
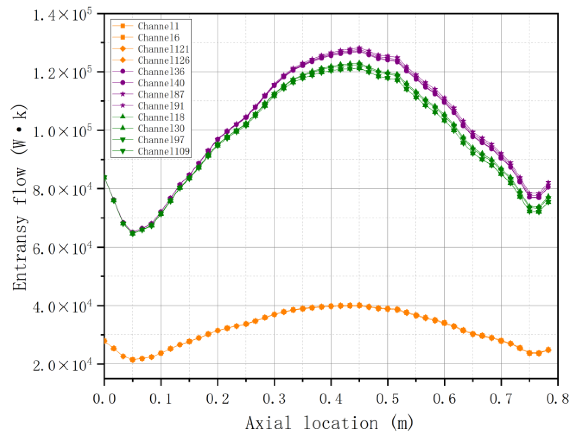
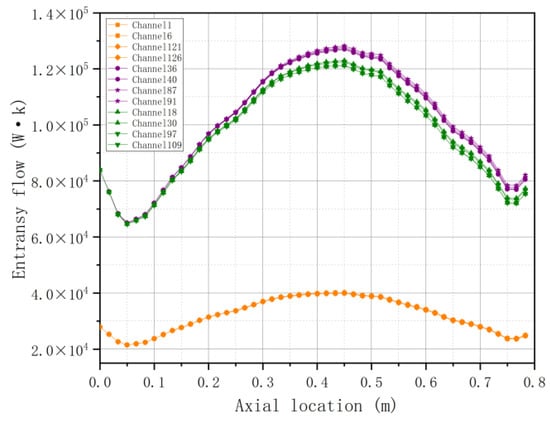
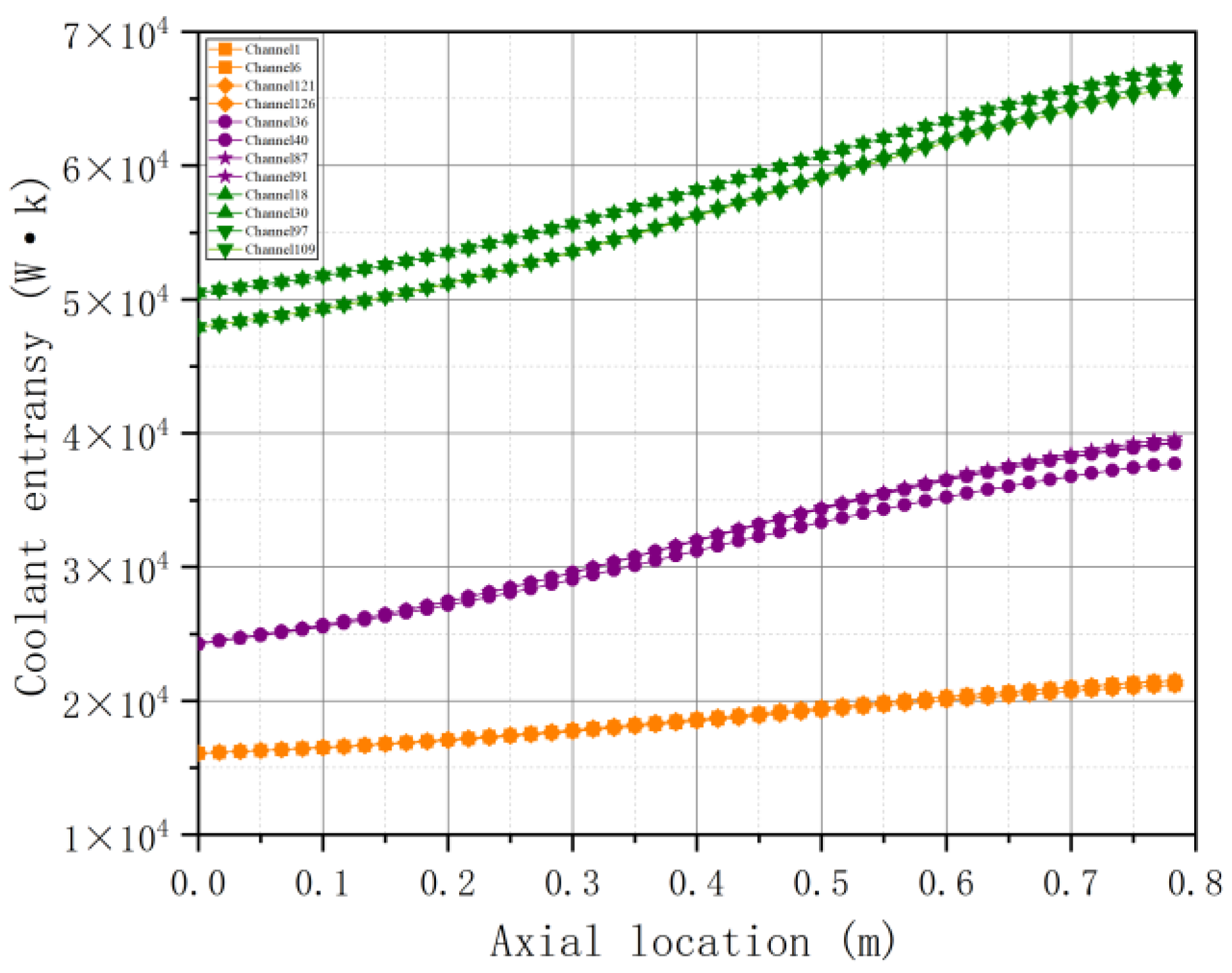
3.2.3. Distribution of Entransy Flow in Heat Transfer Process
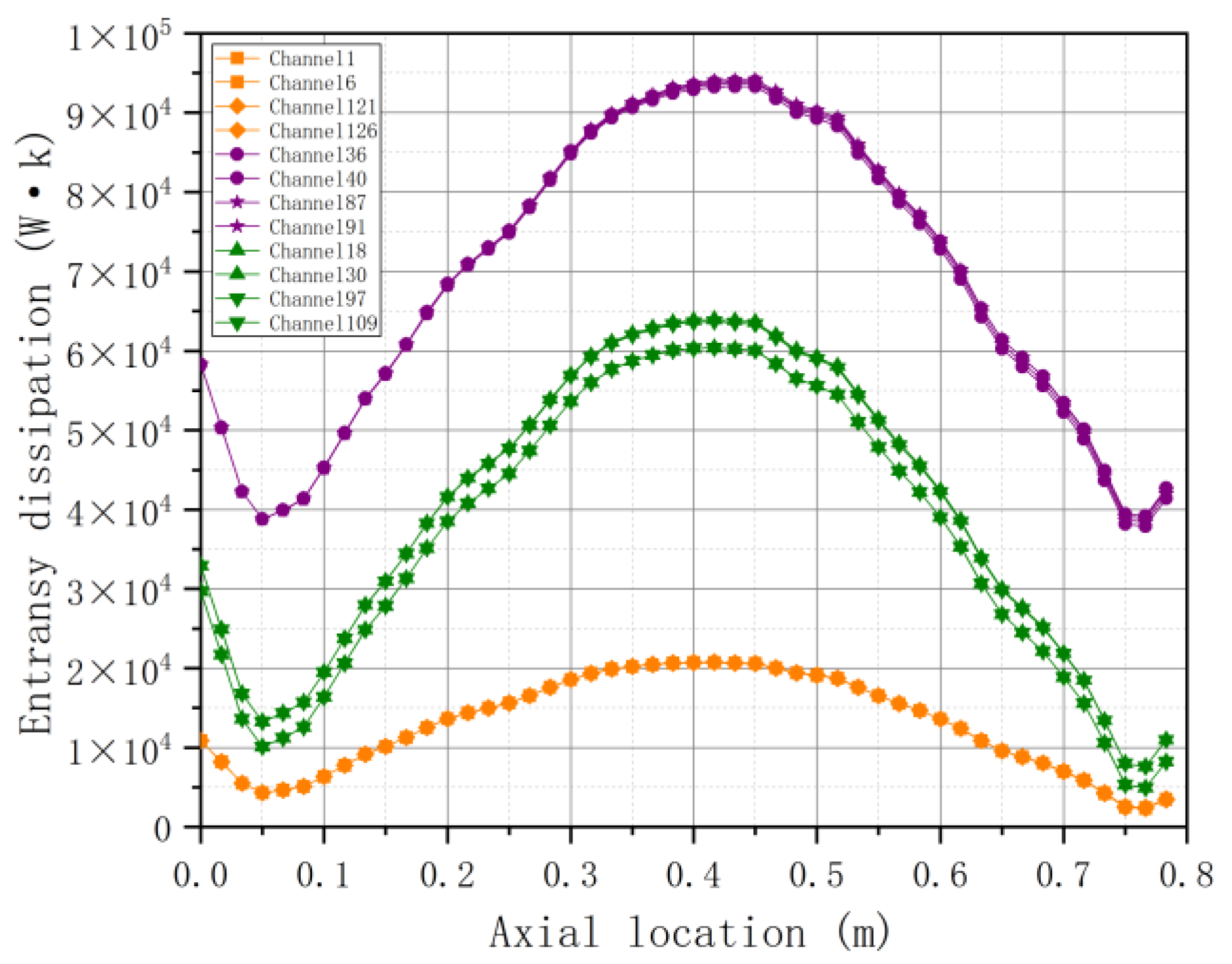
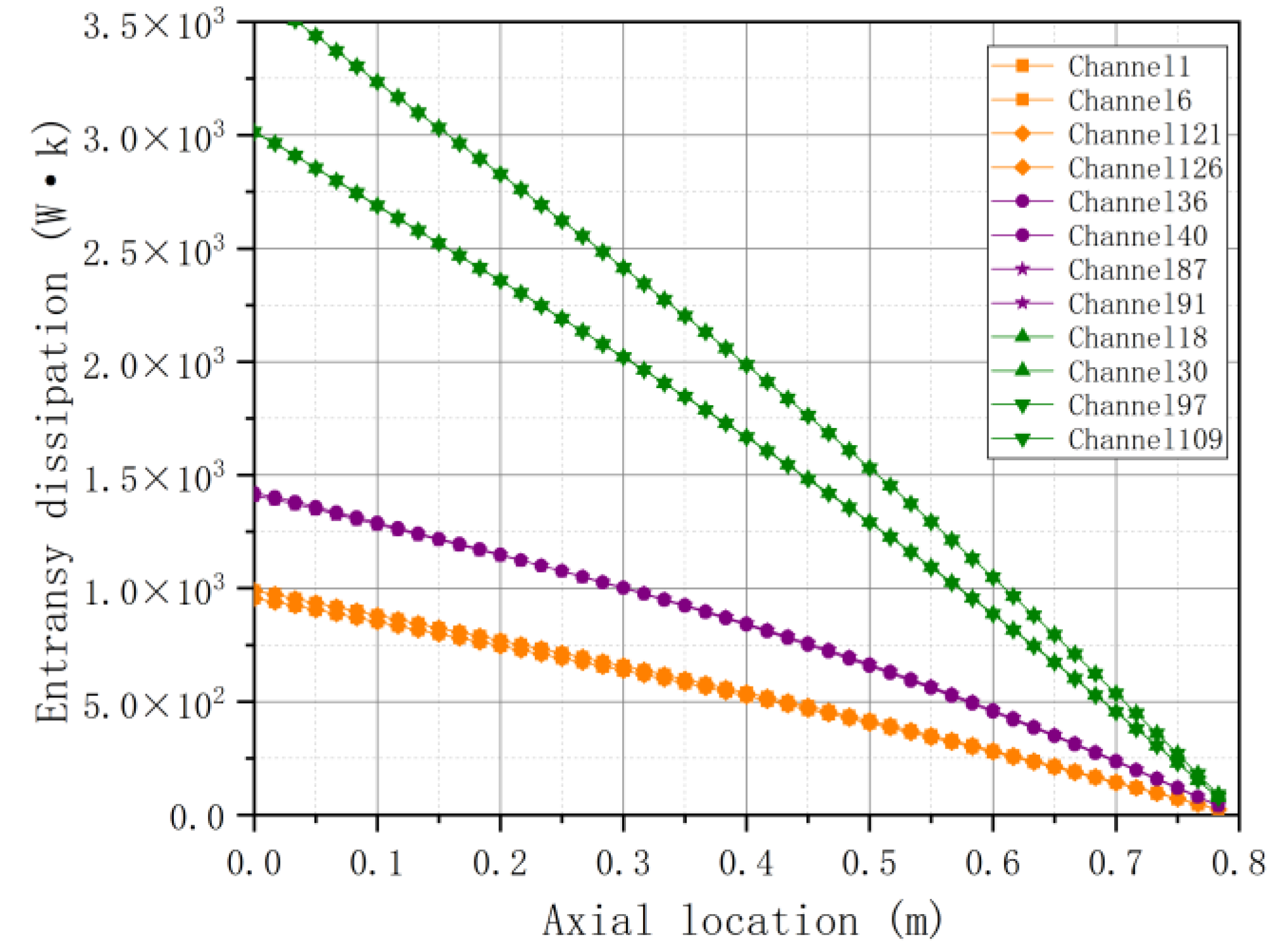
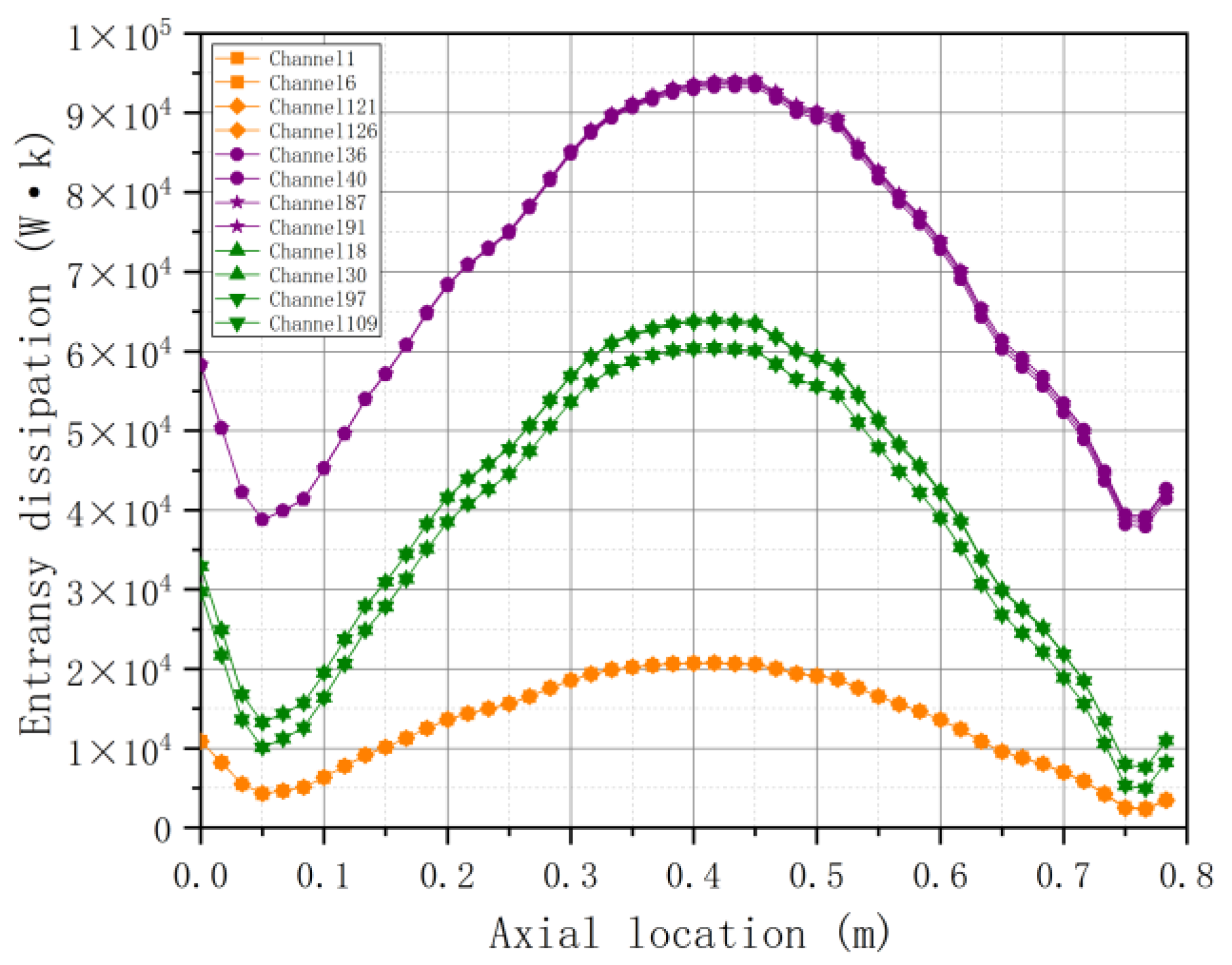
3.2.4. Entransy Dissipation Distribution of Subchannels
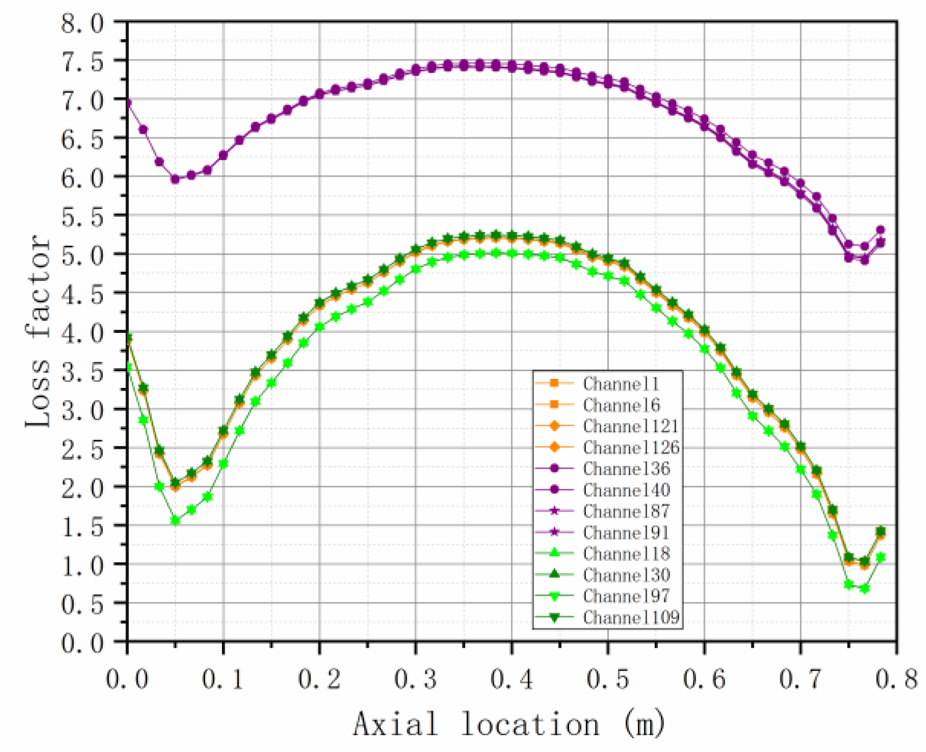
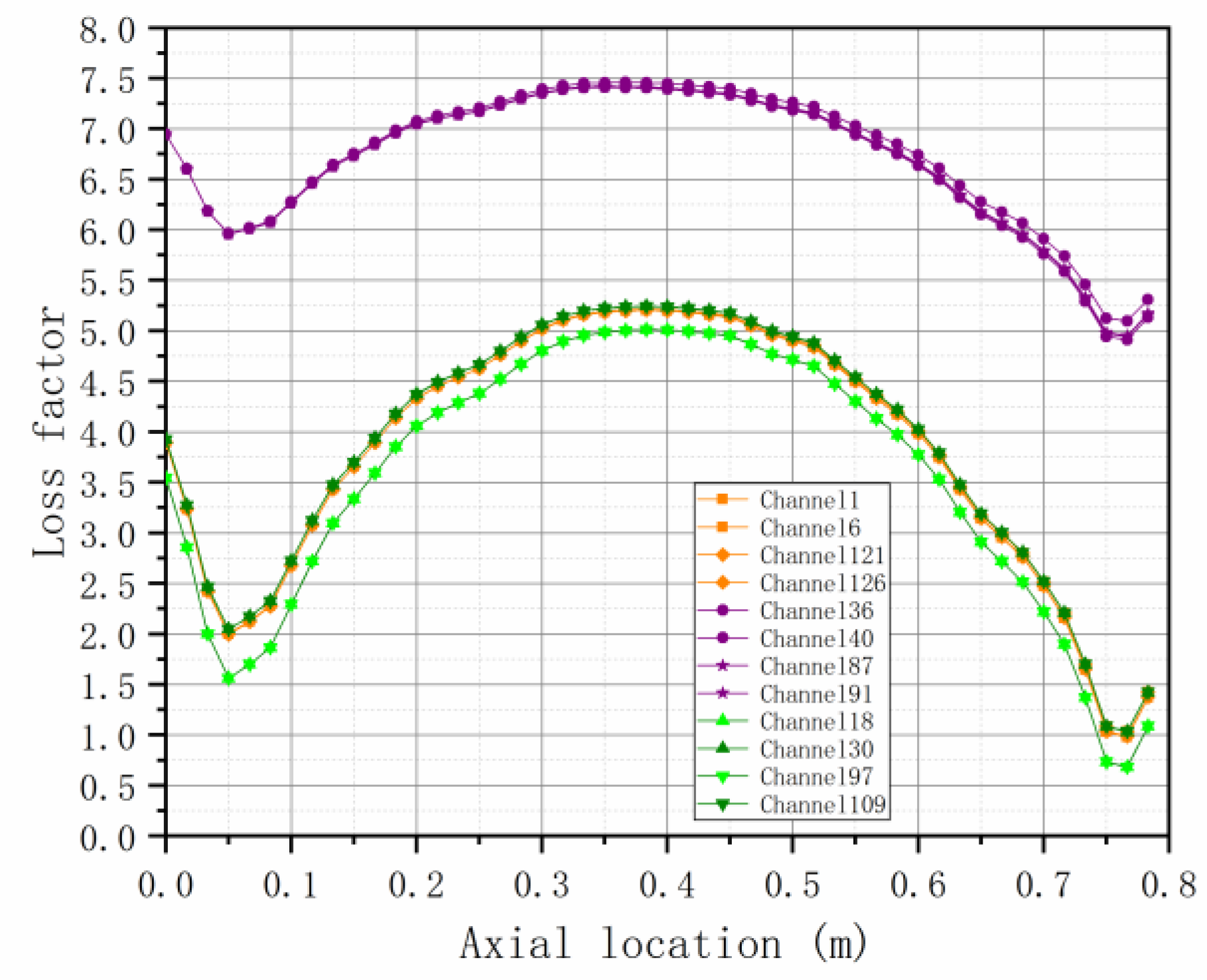
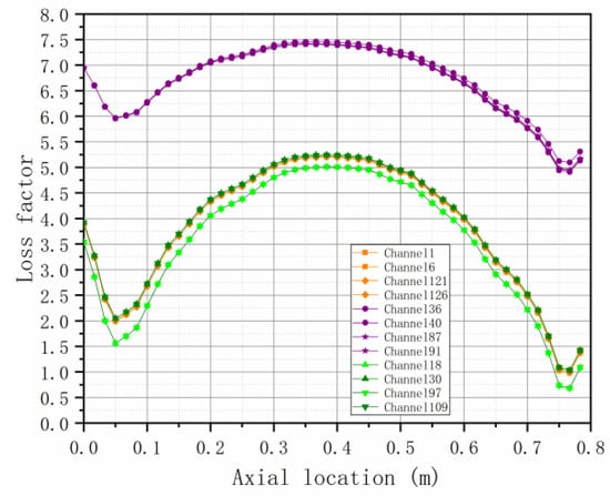
3.2.5. Entransy Loss Factor Distribution of Subchannels
4. Conclusions
Author Contributions
Funding
Institutional Review Board Statement
Informed Consent Statement
Data Availability Statement
Acknowledgments
Conflicts of Interest
References
- Yue, N.; Zhang, D.; Chen, J.; Song, P.; Wang, X.A.; Wang, S.; Qiu, S.; Su, G.H.; Zhang, Y. The development and validation of the inter-wrapper flow model in sodium-cooled fast reactors. Prog. Nucl. Energy 2018, 108, 54–65. [Google Scholar] [CrossRef]
- Wang, C.; Zhang, D.; Qiu, S.; Tian, W.; Wu, Y.; Su, G. Study on the characteristics of the sodium heat pipe in passive residual heat removal system of molten salt reactor. Nucl. Eng. Des. 2013, 265, 691–700. [Google Scholar] [CrossRef]
- Liu, L.; Zhang, D.; Lu, Q.; Wang, K.; Qiu, S. Preliminary neutronic and thermal-hydraulic analysis of a 2 MW Thorium-based Molten Salt Reactor with Solid Fuel. Prog. Nucl. Energy 2016, 86, 1–10. [Google Scholar] [CrossRef]
- Yang, H.Y. International forum on generation IV nuclear energy systems (GIF) progress in the development of sodium-cooled fast reactors. Annu. Rep. China Inst. At. Energy 2009, 1, 4–5. [Google Scholar]
- Chellapandi, P.; Velusamy, K. Thermal hydraulic issues and challenges for current and new generation FBRs. Nucl. Eng. Des. 2015, 294, 202–225. [Google Scholar] [CrossRef]
- Hou, Y.D.; Wang, L.; Wang, M.J.; Zhang, K.; Zhang, X.S.; Hu, W.J.; Wu, Y.W.; Tian, W.X.; Qiu, S.Z.; Su, G.H. Experimental study of liquid sodium flow and heat transfer characteristics along a hexagonal 7-rod bundle. Appl. Therm. Eng. 2019, 149, 578–587. [Google Scholar] [CrossRef]
- Qiu, Z.; Ma, Z.; Wu, Y.; Qiu, S.; Su, G. Experimental research on the thermal hydraulic characteristics of liquid sodium flowing in annuli with low Peclet number. Ann. Nucl. Energy 2015, 75, 483–491. [Google Scholar] [CrossRef]
- Gao, X.Z.; Ren, L.X. Numerical simulation study on thermal hydraulics of lead-bismuth fast reactor fuel assembly. Technol. Innov. Appl. 2019, 22, 4. [Google Scholar]
- Zhang, S.M.; Zhang, D.H. Development and verification of sub-channel analysis code for solid fuel core of sodium cooling fast reactor. At. Energy Sci. Technol. 2018, 52, 320–325. [Google Scholar]
- Liang, J.T.; Lu, D.G.; Zhao, H.Q.; Fu, J.P.; Yang, J.; Guo, Z.X.; Zhang, Y.H. Three-dimensional numerical simulation of pool-type sodium-cooled fast reactor double-loop 12% difference asymmetric power operation and flow regulation mitigation conditions. Sci. Technol. Eng. 2021, 21, 7. [Google Scholar]
- Zhang, Y.M.; Zhang, X.J.; Zhang, S.W.; Sun, J.B. Releasing and harmful analysis of active material in nuclear reactor on accident condition. Chem. Def. Ships 2014, 3, 1–7. [Google Scholar]
- Guo, Z.Y.; Zhu, H.Y.; Liang, X.G. Entransy—A physical quantity describing heat transfer ability. Int. J. Heat Mass Transf. 2007, 50, 2545–2556. [Google Scholar] [CrossRef]
- Cheng, X.T.; Liang, X.G. Work entransy and its applications. Sci. China Technol. Sci. 2015, 58, 2097–2103. [Google Scholar] [CrossRef]
- Chen, L.G. Progress in entransy theory and its applications. Sci. Bull. 2012, 57, 23. [Google Scholar] [CrossRef]
- Cheng, X.; Zhang, Q.; Liang, X. Analyses of entransy dissipation, entropy generation and entransy–dissipation-based thermal resistance on heat exchanger optimization. Appl. Therm. Eng. 2012, 38, 31–39. [Google Scholar] [CrossRef]
- Chen, L.; Xiao, Q.; Feng, H. Constructal Optimizations for Heat and Mass Transfers Based on the Entransy Dissipation Extremum Principle, Performed at the Naval University of Engineering; a Review. Entropy 2018, 20, 74. [Google Scholar] [CrossRef]
- Chen, X.; Zhao, T.; Zhang, M.Q.; Chen, Q. Entropy and entransy in convective heat transfer optimization: A review and perspective. Int. J. Heat Mass Transf. 2019, 137, 1191–1220. [Google Scholar] [CrossRef]
- Xie, Z.H.; Chen, L.G.; Sun, F.R. Comparative study on constructal optimizations of T-shaped fin based on entransy dissipation rate minimization and maximum thermal resistance minimization. Sci. China Technol. Sci. 2011, 54, 10. [Google Scholar] [CrossRef]
- Han, C.H.; Kim, K.H. Entransy and Exergy Analyses for Optimizations of Heat-Work Conversion with Carnot Cycle. J. Therm. Sci. 2016, 25, 242–249. [Google Scholar] [CrossRef]
- Chen, L.G.; Yang, A.B.; Feng, H.J.; Ge, Y.L.; Xia, S.J. Constructal design progress for eight types of heat sinks. Sci. China 2020, 63, 5–37. [Google Scholar] [CrossRef]
- Hoffmann, K.; Kulmus, K.; Essex, C.; Prehl, J. Between Waves and Diffusion: Paradoxical Entropy Production in an Exceptional Regime. Entropy 2018, 20, 881. [Google Scholar] [CrossRef] [PubMed]
- Liu, X.B.; Meng, J.A.; Guo, Z.Y. Heat exchanger thermal resistance analysis based on entransy dissipation. Prog. Nat. Sci. 2008, 10, 1186–1190. [Google Scholar]
- Cheng, X.G.; Meng, J.A.; Guo, Z.Y. Potential capacity dissipation minimization and entropy generation minimization in heat conduction optimization. J. Eng. Thermophys. 2005, 26, 1034–1036. [Google Scholar]
- Lin, C.; Yang, H.Y.; Chou, Z.W. Preliminary development of sub-channel code for the natural convection assembly of sodium cooled fast reactor. At. Energy Sci. Technol. 2021, 55, 9. [Google Scholar]
- Wang, X.K.; Qi, S.P.; Yang, J.; Ye, S.S.; Wang, L.X.; Feng, Z.R.; Zhong, D.T.; Jia, H.Y.; Yang, X.Y.; Liu, Y.Z.; et al. Development of system code FR-Sdaso for sodium cooled fast reactor. At. Energy Sci. Technol. 2020, 54, 9. [Google Scholar]
- Moorthi, A.; Sharma, A.K.; Velusamy, K. A review of sub-channel thermal hydraulic codes for nuclear reactor core and future directions. Nucl. Eng. Des. 2018, 332, 329–344. [Google Scholar] [CrossRef]
- Sha, W.T.; Schmitt, R.C.; Huebotter, P.R. Boundary-Value Thermal-Hydraulic Analysis of a Reactor Fuel Rod Bundle. Nucl. Sci. Eng. 2017, 59, 140–160. [Google Scholar] [CrossRef]
- Shan, J.Q.; Qiu, H.Z. Research on the derivation of the partial derivative formula of sodium physical properties for safety analysis. Nucl. Power Eng. 1997, 18, 6. [Google Scholar]
- Seo, H.; Kim, J.H.; Bang, I.C. Subchannel analysis of a small ultra-long cycle fast reactor core. Nucl. Eng. Des. 2014, 270, 389–395. [Google Scholar] [CrossRef]
- Novendstern, E.H. Turbulent flow pressure drop model for fuel rod assemblies utilizing a helical wire-wrap spacer system. Nucl. Eng. Des. 1972, 22, 28–42. [Google Scholar] [CrossRef]










| Parameter | Unit | Value/Formula |
|---|---|---|
| Melting point | K | TM = 370.95 |
| Boiling point | K | TB = 1156.15 |
| Enthalpy of liquid | J/kg | hs = −6.7511 × 104 + 1630.22 T ± 0.41674 T2 + 1.54279 × 10−4 T3 |
| Density | kg/m3 | ρ = 1011.6 ± 0.22051 T ± 1.92243 × 10−5 T2 + 5.63769 × 10−9 T3 |
| Isobaric specific heat | J/(kg·K) | Cp = 1630.22 ± 0.83354 T + 4.62838 × 10−4 T2 |
| kinetic viscosity | N∙s/m2 | μ = 10−2.4892 + 220.65 T−1 ± 0.4925 log10T |
| Thermal conductivity | W/(m·K) | λ = 109.7 ± 6.4499 × 10−2 T − 1.1728 × 10−5 T2 |
| Parameter | Unit | Value/Description |
|---|---|---|
| Full length | m | 2.592 |
| Number of rods | root | 61 |
| Center distance | m | 7 × 10−3 |
| Full length of cladding | m | 1.313 |
| The outer diameter of cladding | m | 6 × 10−3 |
| The inner diameter of cladding | m | 5.4 × 10−3 |
| Coolant flow rate | m/s | <5 |
| Cladding material | / | CN-1515 |
| Maximum temperature of cladding | °C | 670 |
| Inlet and outlet temperature | °C | 360/530 |
| Maximum line power density | kW/m | 4.10 |
Publisher’s Note: MDPI stays neutral with regard to jurisdictional claims in published maps and institutional affiliations. |
© 2022 by the authors. Licensee MDPI, Basel, Switzerland. This article is an open access article distributed under the terms and conditions of the Creative Commons Attribution (CC BY) license (https://creativecommons.org/licenses/by/4.0/).
Share and Cite
Huang, C.; Liu, J.; Hai, L.; Dong, Z.; Niu, X. Symmetric Heat Transfer Pattern of Fuel Assembly Subchannels in a Sodium-Cooled Fast Reactor. Symmetry 2022, 14, 2423. https://doi.org/10.3390/sym14112423
Huang C, Liu J, Hai L, Dong Z, Niu X. Symmetric Heat Transfer Pattern of Fuel Assembly Subchannels in a Sodium-Cooled Fast Reactor. Symmetry. 2022; 14(11):2423. https://doi.org/10.3390/sym14112423
Chicago/Turabian StyleHuang, Chao, Jianquan Liu, Lihan Hai, Zenghao Dong, and Xinyi Niu. 2022. "Symmetric Heat Transfer Pattern of Fuel Assembly Subchannels in a Sodium-Cooled Fast Reactor" Symmetry 14, no. 11: 2423. https://doi.org/10.3390/sym14112423
APA StyleHuang, C., Liu, J., Hai, L., Dong, Z., & Niu, X. (2022). Symmetric Heat Transfer Pattern of Fuel Assembly Subchannels in a Sodium-Cooled Fast Reactor. Symmetry, 14(11), 2423. https://doi.org/10.3390/sym14112423
