Sign in to use this feature.

Years

Between: -

Subjects

remove_circle_outline
remove_circle_outline
remove_circle_outline
remove_circle_outline
remove_circle_outline
remove_circle_outline
remove_circle_outline
remove_circle_outline
remove_circle_outline

Journals

remove_circle_outline
remove_circle_outline
remove_circle_outline
remove_circle_outline

Article Types

Countries / Regions

remove_circle_outline
remove_circle_outline
remove_circle_outline
remove_circle_outline
remove_circle_outline

Search Results (558)

Search Parameters:
Keywords = fuel assembly

Order results
Result details
Results per page
Select all
Export citation of selected articles as:
19 pages, 535 KB  
Article
Life Cycle Assessment of Innovative Propulsion Technologies for Regional Aviation Within the HERA Project
by Felicia Molinaro and Marco Fioriti
Aerospace 2026, 13(4), 383; https://doi.org/10.3390/aerospace13040383 - 17 Apr 2026
Viewed by 181
Abstract
Hybrid-electric propulsion and alternative energy carriers are being considered to mitigate the climate impact of short-range regional aviation. Within this framework, the HERA (Hybrid Electric Regional Architecture) project investigates advanced propulsion architectures for a next-generation 72 passenger regional platform. This work presents a [...] Read more.
Hybrid-electric propulsion and alternative energy carriers are being considered to mitigate the climate impact of short-range regional aviation. Within this framework, the HERA (Hybrid Electric Regional Architecture) project investigates advanced propulsion architectures for a next-generation 72 passenger regional platform. This work presents a cradle-to-grave Life Cycle Assessment of two HERA reference configurations and compares them with a conventional 70 passenger turboprop representative of current service aircraft. The analysis focuses on lithium–sulphur batteries, proton exchange membrane fuel cells, liquid hydrogen storage tanks, and electric motors. The assessment is implemented through a parametric LCA tool supported by a detailed Life Cycle Inventory based on Ecoinvent v3.8 and evaluated using ReCiPe 2016 midpoint indicators. The system boundary includes raw material extraction, manufacturing and assembly, operation under defined mission profiles, maintenance with component replacement, and End-of-Life (EoL) treatment. Results show that the operational phase remains the main driver of climate change impacts, exceeding 95% of total CO2 equivalent emissions across configurations. The battery-based hybrid reduces fuel consumption but increases manufacturing and maintenance burdens. The fuel cell configuration shows a more balanced life cycle profile, with platinum identified as a critical hotspot. Full article
Show Figures

Figure 1

17 pages, 4818 KB  
Article
Fuel Assembly Design Symmetry Implications for a Boiling Water Reactor
by Hector Hernandez-Lopez and Gustavo Alonso
J. Nucl. Eng. 2026, 7(2), 29; https://doi.org/10.3390/jne7020029 - 14 Apr 2026
Viewed by 189
Abstract
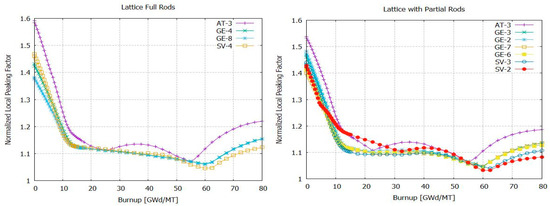
Fuel assembly design in Boiling Water Reactors has evolved to achieve more efficient use of uranium by optimizing the moderator distribution within the fuel assembly and increasing the number of smaller-diameter fuel rods to prevent rod power peaking. This evolution has gone from [...] Read more.
Fuel assembly design in Boiling Water Reactors has evolved to achieve more efficient use of uranium by optimizing the moderator distribution within the fuel assembly and increasing the number of smaller-diameter fuel rods to prevent rod power peaking. This evolution has gone from a 6-by-6 fuel rod arrangement to a 10-by-10 arrangement for the three major BWR fuel-assembly vendors. The designs of the fuel assemblies feature different radial and axial fuel rod distributions and inner water channels, with varying shapes and sizes. The main objective of these designs is to have a more homogeneous power distribution with a higher average burnup. The present study assesses the performance of these fuel assemblies, and the results show the impact of symmetry within the fuel assembly on the average enrichment and power distribution. Full article
Show Figures

Graphical abstract

17 pages, 20435 KB  
Article
Anthocyanin Boosts Electroactive Biofilms Formation and Regulates Intrinsic Catalytic Activity of Single Cells in Escherichia coli for Sustainable Bio-Electrocatalysis in Microbial Fuel Cells
by Kai Zong, Liwen Chen, Waseem Raza, Xin Wang, Lin Yang and Zhongwei Chen
Microorganisms 2026, 14(4), 872; https://doi.org/10.3390/microorganisms14040872 - 13 Apr 2026
Viewed by 288
Abstract
Microbial fuel cells (MFCs) are a sustainable approach to wastewater treatment and energy recovery. However, their practical utility is often limited by sluggish cathode kinetics. For this technology, developing cost-effective biocatalysts that do not compromise effectiveness is a primary challenge. In this study, [...] Read more.
Microbial fuel cells (MFCs) are a sustainable approach to wastewater treatment and energy recovery. However, their practical utility is often limited by sluggish cathode kinetics. For this technology, developing cost-effective biocatalysts that do not compromise effectiveness is a primary challenge. In this study, we utilized anthocyanin molecularly functionalized Escherichia coli (Cya-WT) to promote the formation of electroactive biofilms and regulate the intrinsic catalytic activity of single cells, thereby enhancing extracellular electron transfer. MFCs incorporating Cya-WT-loaded carbon cloth (CC) biocathodes were configured to simultaneously evaluate power generation and glucose degradation activity. The results indicated that Cya-WT exhibited significantly improved oxygen reduction reaction (ORR) activity, achieving a reduction peak current of 3.61 mA cm−2, compared to 2.02 mA cm−2 for wild-type E. coli (WT). The assembled MFC offers a peak power density of 268 ± 13.4 μW cm−2 and decomposes 17.1 ± 1.15 mM of glucose in 150 h, maintaining a consistent voltage output for 800 h. These results demonstrate that anthocyanin functionalization significantly enhances the electrocatalytic performance and metabolic capabilities of E. coli. This novel catalyst design method offers a new strategy for low-cost, renewable MFC cathode catalysts and shows good promise in MFC biopower generation through the assembly of carbon-based biocathodes. Full article
(This article belongs to the Special Issue Microbial Electrolysis Cells and Microbial Fuel Cells)
Show Figures

Figure 1

14 pages, 4310 KB  
Article
A Novel Sc-Doped PrBaFe2O6-δ Cathode Enables High Performance for Proton Ceramic Fuel Cells
by Erxi Zhang, Jingxiong Liu, Yujia Nie, Wei Zhou, Feng Li and Peixin Xu
Inorganics 2026, 14(4), 107; https://doi.org/10.3390/inorganics14040107 - 10 Apr 2026
Viewed by 349
Abstract
To optimize the oxygen reduction reaction activity and long-term stability of the PrBaFe2O6-δ (PBF) cathode for protonic ceramic fuel cell (PCFC), this study employed the sol–gel method to dope Sc at the Fe-site of PBF, preparing a novel PrBaFe1.8 [...] Read more.
To optimize the oxygen reduction reaction activity and long-term stability of the PrBaFe2O6-δ (PBF) cathode for protonic ceramic fuel cell (PCFC), this study employed the sol–gel method to dope Sc at the Fe-site of PBF, preparing a novel PrBaFe1.8Sc0.2O6-δ (PBFS) cathode. The effects of different sintering temperatures on the phase composition, microstructure, and electrochemical performance of the PBFS cathode were systematically studied. Results showed that the PBFS cathode sintered at 1000 °C formed a single cubic perovskite structure, exhibiting excellent chemical compatibility with the electrolyte. Sc doping induced Fe in the cathode to exhibit a mixed valence state of Fe2+/Fe3+/Fe4+, thus significantly increasing the oxygen vacancy concentration. The single cell assembled achieved a peak power density of 1.303 W·cm−2 and a polarization resistance as low as 0.035 Ω·cm2 with H2 as the fuel at 700 °C. Moreover, after 100 h of long-term operation at 650 °C, the power density decayed by only 5.23%, thus demonstrating excellent long-term stability. This study offers an efficient cobalt-free cathode candidate for PCFC. Full article
(This article belongs to the Section Inorganic Materials)
Show Figures

Figure 1

25 pages, 4504 KB  
Article
Discrete Element Modelling of Thermal Evolution of Forsmark Repository for Spent Nuclear Fuel Disposal and Long-Term Response of Discrete Fracture Network
by Jeoung Seok Yoon, Haimeng Shen, Arno Zang and Flavio Lanaro
Appl. Sci. 2026, 16(7), 3592; https://doi.org/10.3390/app16073592 - 7 Apr 2026
Viewed by 433
Abstract
Long-term safety assessment of deep geological repositories for spent nuclear fuel requires explicit evaluation of thermo-mechanical (TM) processes induced by decay heat and their influence on fractured host rock. A safety-relevant, though low-probability, scenario concerns shear reactivation of fractures intersecting deposition holes, which [...] Read more.
Long-term safety assessment of deep geological repositories for spent nuclear fuel requires explicit evaluation of thermo-mechanical (TM) processes induced by decay heat and their influence on fractured host rock. A safety-relevant, though low-probability, scenario concerns shear reactivation of fractures intersecting deposition holes, which could compromise canister integrity if displacement exceeds design limits. This study presents a three-dimensional discrete element modelling approach to analyze the thermal evolution of the Forsmark repository (Sweden) and the associated long-term response of a discrete fracture network (DFN) during the post-closure phase. The model explicitly represents repository panel, deterministic deformation zones, and a stochastically generated fracture network embedded in a bonded particle assembly representing the rock for Particle Flow Code (PFC) numerical simulations. Time-dependent heat release from spent nuclear fuel canisters is implemented using a physically based decay power function. A deposition panel-scale heat-loading formulation accounts for deposition-hole and tunnel spacing. Two emplacement scenarios are analyzed: (a) a simultaneous all-panel heating scenario, used as a conservative bounding case, and (b) a sequential panel heating scenario representing staged emplacement and closure. The simulations show that temperature and thermally induced stress evolution are sensitive to the emplacement and closure sequence. Sequential heating produces a more gradual thermal build-up and lower peak temperatures than simultaneous heating, indicating that thermal and stress perturbations in the host rock can be influenced not only through repository design, but also by operational strategy. Thermally induced fracture shear displacement displays a systematic temporal response. Fractures located within the deposition panel footprint develop shear displacement rapidly during the early post-closure period, reaching peak values at approximately 200 years, followed by gradual relaxation as temperatures decline. The average peak shear displacement on fractures is on the order of 2–3 mm, while fractures outside the panel footprint show smaller early-time displacements and a more prolonged long-term response. All simulated shear displacements remain more than one order of magnitude below the commonly cited canister damage threshold for Forsmark of approximately 50 mm, even for the conservative simultaneous heating case. These results indicate that thermally induced fracture shear is unlikely to cause direct mechanical damage to canisters. At the same time, the persistence of residual shear displacement after heating implies permanent fracture dilation, which may influence long-term hydraulic properties and indirectly affect processes such as groundwater flow and canister corrosion. The modelling framework and results presented here were conducted for review purposes independently from the Swedish safety case, and provide a mechanistic basis for evaluating thermally induced fracture deformation in crystalline rock repositories and contribute to bounding the role of thermo-mechanical processes in the safety assessment of spent nuclear fuel disposal at Forsmark. Full article
(This article belongs to the Special Issue Progress and Challenges of Rock Engineering)
Show Figures

Figure 1

15 pages, 1516 KB  
Article
Enhancing Stable Electricity Generation and Assimilative Ammonium-N Removal in Photosynthetic Algae–Microbial Fuel Cells Using a Chlorella Biofilm-Loaded ZnO-NiO@rGO Carbon-Fiber Composite Cathode
by Haiquan Zhan, Hong Wang, Yanzeng Li, Shiyu Liu, Shijie Yuan and Xiaohu Dai
Water 2026, 18(6), 733; https://doi.org/10.3390/w18060733 - 20 Mar 2026
Viewed by 468
Abstract
Photosynthetic algae–microbial fuel cells (PAMFCs) are attractive for energy-positive wastewater treatment and carbon mitigation. However, PAMFC performance under continuous flow is often constrained by limited cathodic electron-acceptor supply and unstable photosynthetic biofilms, while the extent to which cathode interfacial engineering can stabilize diurnal [...] Read more.
Photosynthetic algae–microbial fuel cells (PAMFCs) are attractive for energy-positive wastewater treatment and carbon mitigation. However, PAMFC performance under continuous flow is often constrained by limited cathodic electron-acceptor supply and unstable photosynthetic biofilms, while the extent to which cathode interfacial engineering can stabilize diurnal power output and assimilative NH4+–N removal remains unclear. In this study, the sponge-like and petal-like ZnO0.2-NiO@rGO-modified carbon fibers (ZnO0.2-NiO@rGO-pCFs and ZnO0.2-NiO@rGO-pCFp) and pre-fabricated carbon felt (pCF) were used as cathode materials to construct three sets of PAMFC systems. Under light–dark cycling, the engineered cathodes reached steady operation within about 6.5 d and increased the steady-state voltage to approximately 0.35 V, compared with approximately 0.08 V for pCF. Under continuous-flow conditions, cathodic NH4+–N removal exhibited a stable diurnal rhythm, with higher removal during illumination at about 43–51% than in the dark at about 29–30%, consistent with algal assimilation as the primary nitrogen sink, while cathode modification mainly improved the cathodic microenvironment and response stability. Compared with pCF, the ZnO0.2–NiO@rGO cathode enriched a more even, Chlorophyta-dominated algal biofilm with an approximate relative abundance of 80%, indicating that its selective interfacial environment favors biofilm stabilization and sustains in situ oxygen production and cathodic electron-acceptor supply. Consequently, the composite cathode enhanced voltage output and stabilized light-enhanced, assimilative NH4+–N removal under aeration-free operation, while establishing an interpretable link between electrochemical performance and 18S rDNA-derived community assembly features, thereby providing a low-cost cathode design basis for nitrogen removal in wastewater treatment. Full article
(This article belongs to the Special Issue Advanced Biological Wastewater Treatment and Nutrient Removal)
Show Figures

Figure 1

21 pages, 1759 KB  
Article
Design of a Modular Testing Facility for Sustainable Fuels Obtained from Plastic Waste Pyrolysis for Aerospace Engines
by Alexa-Andreea Crisan, Radu Eugen Kuncser, Simona-Nicoleta Danescu, Vlad Stefan Buzetelu, Madalina Botu and Daniel-Eugeniu Crunteanu
Inventions 2026, 11(2), 30; https://doi.org/10.3390/inventions11020030 - 19 Mar 2026
Viewed by 367
Abstract
The transition toward sustainable aviation fuels requires dedicated experimental platforms capable of evaluating alternative fuels under realistic propulsion conditions. This study presents the development and laboratory experimental validation of a modular testing installation designed for sustainable fuels derived from plastic waste pyrolysis, intended [...] Read more.
The transition toward sustainable aviation fuels requires dedicated experimental platforms capable of evaluating alternative fuels under realistic propulsion conditions. This study presents the development and laboratory experimental validation of a modular testing installation designed for sustainable fuels derived from plastic waste pyrolysis, intended for aerospace engine applications. The proposed system is conceived as an integrated small-scale gas turbine assembly that reproduces the functional characteristics of a jet engine and enables controlled laboratory investigations of dynamic behavior, combustion stability, and performance. The installation comprises a compressor, annular combustion chamber, and turbine mounted on a common shaft, along with a fully autonomous fuel supply system equipped with electronically controlled pumping, safety devices, and thermal conditioning of the fuel mixture via an attached Stirling engine. Combustion processes are continuously evaluated using an exhaust gas analysis system to assess fuel composition and combustion quality, while a high-speed camera operating at 50,000 fps enables detailed visualization of flame stability. Operating parameters, including temperatures, pressures, rotational speed, mass flow rates, and thrust, are monitored and recorded through an integrated control and data acquisition system with real-time analysis capabilities. Experimental results demonstrate stable operation and reliable ignition using alternative fuel mixtures, confirming the suitability of the modular installation as a versatile research platform for the assessment and comparative analysis of sustainable aerospace fuels. Full article
Show Figures

Figure 1

18 pages, 6146 KB  
Article
The First Principal Calculation of the Temperature-Dependent Crystalline Defect Evolution in UN
by Yongheng Lu, Tingyu Sun, Zongshu Li, Yueqing Qian, Chen Chen, Lu Yu, Zheng Pan, Jing Wang and Kun Yang
Materials 2026, 19(6), 1163; https://doi.org/10.3390/ma19061163 - 16 Mar 2026
Viewed by 360
Abstract
This study systematically investigates the influence of temperature on the defect formation mechanisms in uranium nitride (UN) crystals using first-principles calculations. The formation energies and lattice distortion characteristics of various defects at 0 K and 1780 K were calculated by constructing models of [...] Read more.
This study systematically investigates the influence of temperature on the defect formation mechanisms in uranium nitride (UN) crystals using first-principles calculations. The formation energies and lattice distortion characteristics of various defects at 0 K and 1780 K were calculated by constructing models of perfect crystals as well as vacancy, interstitial, antisite, and divacancy defects. The results demonstrate that elevated temperatures significantly reduce defect formation energies, with interstitial and divacancy defects exhibiting negative formation energies at 1780 K, indicating a tendency for spontaneous formation. The U interstitial defect induces the most pronounced lattice expansion of 5.1% at 0 K. Furthermore, interstitial defects cause the most significant lattice distortions, while Schottky defects exhibit the lowest formation energy. The current study provides theoretical insights into the defect behavior of UN fuel under high-temperature service conditions and offers valuable guidance for optimizing sintering process parameters. Full article
Show Figures

Figure 1

33 pages, 9350 KB  
Article
Machine Learning-Based Inversion of Axial-Segment Characterization for Spent Fuel Materials
by Qi Zhang, Zining Ni, Qi Huang, Chao Yang and Zhenping Chen
Coatings 2026, 16(3), 329; https://doi.org/10.3390/coatings16030329 - 8 Mar 2026
Viewed by 356
Abstract
The burnup, initial enrichment, and cooling time of spent nuclear fuel collectively determine the activities of key gamma-emitting nuclides (e.g., 134Cs, 137Cs, 154Eu). In safeguards verification, a non-destructive assay (NDA) using radiation detectors can directly acquire the gamma-ray emission signatures [...] Read more.
The burnup, initial enrichment, and cooling time of spent nuclear fuel collectively determine the activities of key gamma-emitting nuclides (e.g., 134Cs, 137Cs, 154Eu). In safeguards verification, a non-destructive assay (NDA) using radiation detectors can directly acquire the gamma-ray emission signatures associated with these characteristic nuclides. Previous studies have reported empirical relationships between the activities of nuclides such as 134Cs, 137Cs, and 154Eu and the assembly burnup. However, the non-uniform axial power distribution in fuel assemblies leads to variations in axial-segment burnup. Accordingly, this study utilizes a nuclide sample database of a typical pressurized water reactor (PWR) assembly generated by OpenMC 0.15.3 depletion calculations. The calculated results are analyzed, and a sensitivity analysis of the hydrogen-to-uranium atomic ratio (H/U) on the characteristic nuclides is presented, confirming the necessity of incorporating the H/U ratio as an input parameter to improve the cross-condition generalization of the surrogate models. Subsequently, MLP and CNN based on PyTorch 2.9.1 (CUDA 13.0 build: 2.9.1+cu130), and XGBoost 3.0.2 models are implemented to invert axial-segment burnup, initial enrichment, and the number densities of selected actinides under various discrete operating conditions based on characteristic nuclide activities. A comparative analysis of the prediction results from different feature inversion methods is provided. The results indicate that the MLP model performs best with Method A, which incorporates absolute 137Cs activity and the 154Eu/137Cs ratio, achieving a relative prediction deviation of only 5.2% for initial enrichment. Under Method C, the XGBoost model attains a relative prediction deviation of only 0.9% for axial-segment burnup (BU_zone). Full article
Show Figures

Figure 1

14 pages, 4901 KB  
Article
Irradiation-Induced Phase Stability in Ti- and Nb-Containing Nickel-Based High-Entropy Alloys at 500 °C
by Yan Li, Xintian Liang, Huilong Yang, Dongyue Chen, Zhengcao Li and Guma Yeli
Nanomaterials 2026, 16(5), 287; https://doi.org/10.3390/nano16050287 - 25 Feb 2026
Viewed by 365
Abstract
This study investigates the irradiation response of two L12-strengthened HEAs, (Ni2Co2FeCr)92Ti4Al4 (TiHEA) and (Ni2Co2FeCr)92Nb4Al4 (NbHEA), subjected to 6.4 MeV Fe3+ irradiation at [...] Read more.
This study investigates the irradiation response of two L12-strengthened HEAs, (Ni2Co2FeCr)92Ti4Al4 (TiHEA) and (Ni2Co2FeCr)92Nb4Al4 (NbHEA), subjected to 6.4 MeV Fe3+ irradiation at 500 °C up to 30 dpa. Transmission electron microscopy (TEM) and atom probe tomography (APT) consistently showed that the Ti-containing HEA maintains L12-ordered structure and compositional stability better than Nb-containing alloys under irradiation. This difference is attributed to the distinct solute–defect interactions. Ti imposes a weaker hindering effect on vacancy mobility, allowing vacancies to remain mobile and participate in thermal reordering processes that counteract ballistic mixing, whereas Nb acts as a strong vacancy trap, suppressing the diffusion required for structural recovery. Irradiation-induced dislocation loops in the two alloys further exhibited different characteristics. TiHEA showed larger loops at lower number density, and NbHEA exhibited a higher density of smaller loops, consistent with their respective stacking fault energies and loop mobility. Nanoindentation results indicated that TiHEA exhibited a slightly higher irradiation hardening rate (27%) than NbHEA (23%), likely associated with a stronger order-strengthening contribution, given the better preservation of precipitate order in TiHEA under irradiation. These findings show the critical role of solute addition in designing radiation-tolerant high-entropy alloys. Full article
(This article belongs to the Special Issue Fabrication and Properties of Alloys at Nanoscale)
Show Figures

Figure 1

32 pages, 2415 KB  
Article
Compilation of a Prediction-Based Validation Dataset for Heat Transfer Modeling of the Paks Spent Fuel Interim Storage Facility
by Attila Érchegyi and Ervin Rácz
Energies 2026, 19(5), 1124; https://doi.org/10.3390/en19051124 - 24 Feb 2026
Viewed by 394
Abstract
This study presents and systematizes a high-reliability measurement and technological dataset suitable for prediction-based validation of the Spent Fuel Interim Storage Facility (SFISF) of the Paks Nuclear Power Plant. The primary objective of this dataset is not the validation of a general-purpose software [...] Read more.
This study presents and systematizes a high-reliability measurement and technological dataset suitable for prediction-based validation of the Spent Fuel Interim Storage Facility (SFISF) of the Paks Nuclear Power Plant. The primary objective of this dataset is not the validation of a general-purpose software tool, but to establish a reproducible experimental basis for the objective and quantitative validation of a three-dimensional, facility-scale heat transfer and buoyancy-driven flow model of the SFISF, developed using the finite difference method (FDM), in a passively cooled system where heat conduction, thermal radiation, and natural convection simultaneously occur. The applied measurement systems (SMAS, CTRS, and the in-house developed CFEPR), their spatial arrangement, accuracy characteristics, as well as data post-processing and the generation of model execution inputs are described in detail. Special emphasis is placed on the functional separation of the available data into initialization data, model execution data, and independent validation datasets, ensuring that model assessment does not rely on calibration or parameter fitting. Furthermore, the estimation of decay heat generated by the stored fuel assemblies is presented using both a standard correlation method (ANSI/ANS-5.1) and isotope inventory-based calculations, and the discrepancies between these approaches are treated as input uncertainties and sensitivity analysis factors. The spectral solar load is considered based on the ASTM G-173 reference spectrum, while during cloudy periods an effective irradiance estimation derived from on-site lux measurements is applied. The results indicate that the available measurement and technological information is sufficient for supporting reproducible, transparent, and quantitative validation studies of the three-dimensional numerical model of the SFISF, as well as for assessing the impact of dominant input uncertainties. Full article
Show Figures

Figure 1

18 pages, 2570 KB  
Article
Functional Divergence and Toxin Coupling of Cyanobacterial Blooms Across the Lake–River Continuum: Insights from the Lake Taihu Watershed
by Xiang Wan, Yucong Li, Qingju Xue, Guoxiang Wang and Liqiang Xie
Toxins 2026, 18(2), 89; https://doi.org/10.3390/toxins18020089 - 9 Feb 2026
Viewed by 553
Abstract
While harmful cyanobacterial blooms (HCBs) are extensively characterized in eutrophic lakes, the ecological dynamics of connected river networks remain oversimplified, obscuring the mechanisms of community assembly and toxin distribution across the lake–river interface. This study investigated the spatial heterogeneity of HCBs and microcystins [...] Read more.
While harmful cyanobacterial blooms (HCBs) are extensively characterized in eutrophic lakes, the ecological dynamics of connected river networks remain oversimplified, obscuring the mechanisms of community assembly and toxin distribution across the lake–river interface. This study investigated the spatial heterogeneity of HCBs and microcystins (MCs) in the Lake Taihu watershed, revealing a complex functional divergence between lotic and lentic ecosystems. The rivers functioned as primary nutrient sources, with Total Nitrogen (3.35 ± 1.52 mg·L−1) and Total Phosphorus (0.21 ± 0.22 mg·L−1) concentrations being 1.7-fold and 1.8-fold higher, respectively, than those in the lake during peak periods. Conversely, the lake acted as a biological sink, supporting a peak cyanobacterial density (3.32 × 107 cells·L−1) nearly 1.5 times that of the river network. Phytoplankton community analysis revealed distinct ecological niches: while the lentic lake environment was almost exclusively dominated by colonial Microcystis (>90% relative abundance), the lotic river networks harbored a diverse assemblage with significant contributions from filamentous Oscillatoria and Dolichospermum. Correspondingly, intracellular MC (IMC) in the lake (up to 14.5 μg·L−1) significantly exceeded riverine levels (generally <1.0 μg·L−1). Despite these compositional differences, toxin dynamics exhibited strong bidirectional coupling (r > 0.75, p < 0.01), suggesting a spillover effect where the lake determines the watershed’s toxin burden during rivers outflow period. Redundancy Analysis (RDA) further elucidated that limnetic blooms were primarily regulated by water temperature and pH, whereas riverine communities were strictly constrained by hydrodynamic flow. Consequently, the health risk assessment revealed a highly heterogeneous landscape where, beyond the northern lake bays, specific semi-lentic river segments emerged as cryptic hotspots. These findings demonstrate that while nutrients fuel the system, hydrodynamic conditions act as the ultimate ecological filter determining the spatiotemporal distribution of cyanobacterial risks, necessitating an integrated approach to monitoring the entire lake–river continuum. Full article
Show Figures

Figure 1

28 pages, 32119 KB  
Article
NOAH: A Multi-Modal and Sensor Fusion Dataset for Generative Modeling in Remote Sensing
by Abdul Mutakabbir, Chung-Horng Lung, Marzia Zaman, Darshana Upadhyay, Kshirasagar Naik, Koreen Millard, Thambirajah Ravichandran and Richard Purcell
Remote Sens. 2026, 18(3), 466; https://doi.org/10.3390/rs18030466 - 1 Feb 2026
Viewed by 1308
Abstract
Earth Observation (EO) and Remote Sensing (RS) data are widely used in various fields, including weather, environment, and natural disaster modeling and prediction. EO and RS done through geostationary satellite constellations in fields such as these are limited to a smaller region, while [...] Read more.
Earth Observation (EO) and Remote Sensing (RS) data are widely used in various fields, including weather, environment, and natural disaster modeling and prediction. EO and RS done through geostationary satellite constellations in fields such as these are limited to a smaller region, while sun synchronous satellite constellations have discontinuous spatial and temporal coverage. This limits the ability of EO and RS data for near-real-time weather, environment, and natural disaster applications. To address these limitations, we introduce Now Observation Assemble Horizon (NOAH), a multi-modal, sensor fusion dataset that combines Ground-Based Sensors (GBS) of weather stations with topography, vegetation (land cover, biomass, and crown cover), and fuel types data from RS data sources. NOAH is collated using publicly available data from Environment and Climate Change Canada (ECCC), Spatialized CAnadian National Forest Inventory (SCANFI) and United States Geological Survey (USGS), which are well-maintained, documented, and reliable. Applications of the NOAH dataset include, but are not limited to, expanding RS data tiles, filling in missing data, and super-resolution of existing data sources. Additionally, Generative Artificial Intelligence (GenAI) or Generative Modeling (GM) can be applied for near-real-time model-generated or synthetic estimate data for disaster modeling in remote locations. This can complement the use of existing observations by field instruments, rather than replacing them. UNet backbone with Feature-wise Linear Modulation (FiLM) injection of GBS data was used to demonstrate the initial proof-of-concept modeling in this research. This research also lists ideal characteristics for GM or GenAI datasets for RS. The code and a subset of the NOAH dataset (NOAH mini) are made open-sourced. Full article
Show Figures

Figure 1

21 pages, 4865 KB  
Article
Nanostructured POSS Crosslinked Polybenzimidazole with Free Radical Scavenging Function for High-Temperature Proton Exchange Membranes
by Chao Meng, Xiaofeng Hao, Shuanjin Wang, Dongmei Han, Sheng Huang, Jin Li, Min Xiao and Yuezhong Meng
Nanomaterials 2026, 16(3), 164; https://doi.org/10.3390/nano16030164 - 26 Jan 2026
Viewed by 518
Abstract
High-temperature proton exchange membranes (HT-PEMs) are critical components of high-temperature fuel cells, facilitating proton transport and acting as a barrier to fuel and electrons; however, their performance is hampered by persistent issues of phosphoric acid leaching and oxidative degradation. Herein, a novel HT-PEM [...] Read more.
High-temperature proton exchange membranes (HT-PEMs) are critical components of high-temperature fuel cells, facilitating proton transport and acting as a barrier to fuel and electrons; however, their performance is hampered by persistent issues of phosphoric acid leaching and oxidative degradation. Herein, a novel HT-PEM with abundant hydrogen bond network is constructed by incorporating nanoscale polyhedral oligomeric silsequioxane functionalized with eight pendent sulfhydryl groups (POSS-SH) into poly(4,4′-diphenylether-5,5′-bibenzimidazole) (OPBI) matrix. POSS, a cage-like nanostructured hybrid molecule, features a well-defined silica core and highly designable surface organic groups, offering unique potential for enhancing membrane performance at the molecular level. Through controlled reactions between sulfhydryl groups and allyl glycidyl ether (AGE), two functional POSS crosslinkers—octa-epoxide POSS (OE-POSS) and mixed sulfhydryl-epoxy POSS (POSS-S-E)—were synthesized. These were subsequently used to fabricate crosslinked OPBI membranes (OPBI-OE-POSS and OPBI-POSS-S-E) via epoxy–amine coupling. The OPBI-POSS-S-E membranes demonstrated exceptional oxidative stability, which is attributed to the free radical scavenging ability of the retained sulfhydryl groups on the nano-sized POSS framework. After soaking in Fenton’s reagent at 80 °C for 108 h, the OPBI-POSS-S-E-20% membrane retained 79.4% of its initial weight, significantly surpassing both the OPBI-OE-POSS-20% and pristine OPBI membranes. The PA-doped OPBI-POSS-S-E-20% membrane achieved a proton conductivity of 50.8 mS cm−1 at 160 °C, and the corresponding membrane electrode assembly delivered a peak power density of 724 mW cm−2, highlighting the key role of POSS as a nano-modifier in advancing HT-PEM performance. Full article
(This article belongs to the Special Issue Preparation and Characterization of Nanomaterials)
Show Figures

Figure 1

17 pages, 10078 KB  
Article
Finite Element Simulation on Irradiation Effect of Nuclear Graphite with Real Three-Dimensional Pore Structure
by Shasha Lv, Yingtao Ma, Chong Tian, Jie Gao, Yumeng Zhao and Zhengcao Li
J. Nucl. Eng. 2026, 7(1), 4; https://doi.org/10.3390/jne7010004 - 31 Dec 2025
Viewed by 746
Abstract
The structural integrity of nuclear graphite is paramount for the lifespan of High-Temperature Gas-Cooled Reactors. The nuclear graphite components operate under extreme conditions involving high temperature, pressure, and intense neutron irradiation, leading to complex service behavior that is difficult to characterize only by [...] Read more.
The structural integrity of nuclear graphite is paramount for the lifespan of High-Temperature Gas-Cooled Reactors. The nuclear graphite components operate under extreme conditions involving high temperature, pressure, and intense neutron irradiation, leading to complex service behavior that is difficult to characterize only by experimental methods. This study employs the finite element method (FEM) to assess component stress and failure risk. The ManUMAT simulation method was first validated against irradiation data for Gilsocarbon graphite from an Advanced Gas-Cooled Reactor and was subsequently applied to stress–strain analysis of the nuclear graphite bricks in the HTR-PM side reflector layer. The 3D micropore structure of nuclear graphite was obtained via X-μCT and reconstructed in Avizo to establish an FEM model based on the actual pore geometry. Simulations of nuclear graphite over a 30 full-power-year service period predicted a significant contraction on the core-side and minimal thermal expansion on the out-side driven by the neutron doses. This research establishes a finite element framework that extends the ManUMAT approach by integrating a realistic pore structure model, thereby providing a foundation for quantifying the microstructural effects on macroscopic performance. Full article
Show Figures

Figure 1

Back to TopTop