The Observational Shadow Features of a Renormalization Group Improved Black Hole Considering Spherical Accretions
Abstract
1. Introduction
2. Photon Sphere and Effective Potential of RGI Black Holes
3. Static Spherical Accretion and Infalling Spherical Accretion
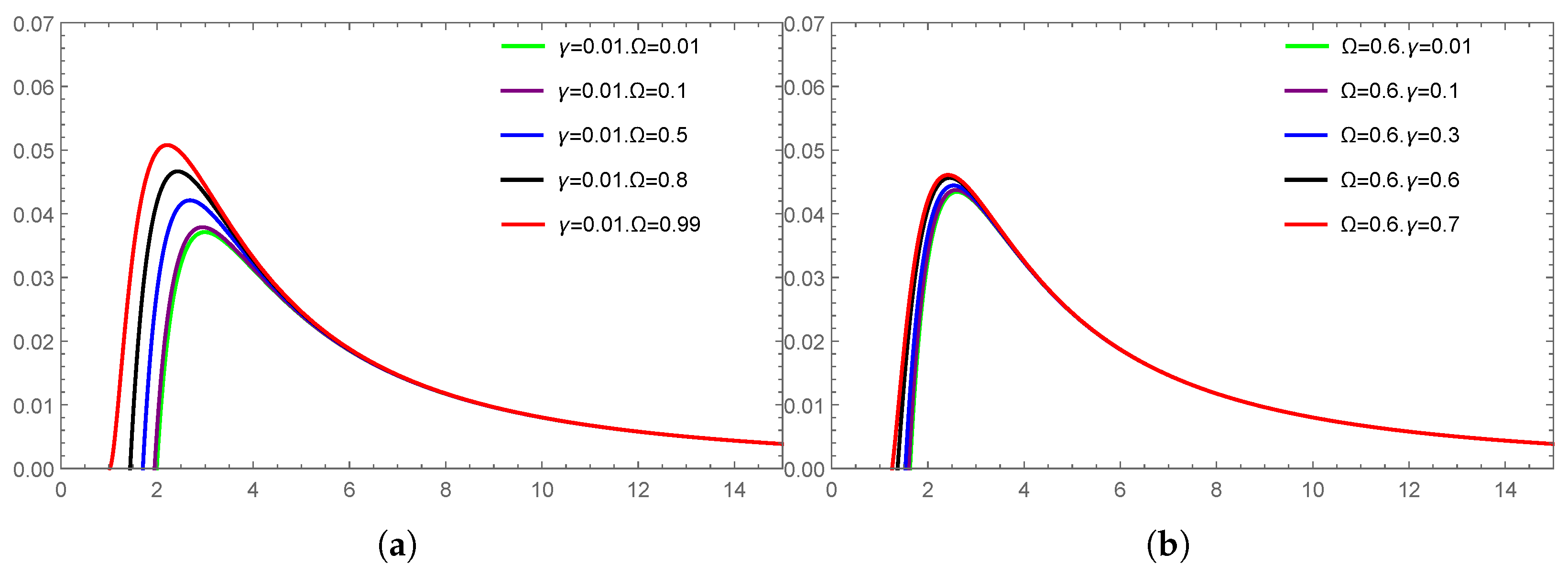
3.1. Shadows and Photon Spheres for the Static Spherical Accretion
3.2. Shadows and Photon Spheres for Infalling Spherical Accretion
4. Conclusions and Discussions
Author Contributions
Funding
Institutional Review Board Statement
Informed Consent Statement
Data Availability Statement
Conflicts of Interest
References
- van der Bij, J.J.; Radu, E. Regular and black hole solutions of the Einstein-Yang-Mills-Higgs equations: The Case of nonminimal coupling. Nucl. Phys. B 2000, 585, 637–665. [Google Scholar] [CrossRef]
- Vagenas, E.C. Two-dimensional dilatonic black holes and Hawking radiation. Mod. Phys. Lett. A 2002, 17, 609–618. [Google Scholar] [CrossRef]
- Wu, S.Q.; Yan, M.L. Entropy of a Kerr de Sitter black hole due to arbitrary spin fields. Phys. Rev. D 2004, 69, 044019. [Google Scholar] [CrossRef]
- Gergely, L.A.; Pidokrajt, N.; Winitzki, S. Geometro-thermodynamics of tidal charged black holes. Eur. Phys. J. C 2011, 71, 1569. [Google Scholar] [CrossRef]
- Berti, E.; Cardoso, V.; Pani, P. Breit-Wigner resonances and the quasinormal modes of anti-de Sitter black holes. Phys. Rev. D 2009, 79, 101501. [Google Scholar] [CrossRef]
- Dabholkar, A.; Gomes, J.; Murthy, S. Nonperturbative black hole entropy and Kloosterman sums. J. High Energy Phys. 2015, 3, 074. [Google Scholar] [CrossRef]
- Hendi, S.H.; Panahiyan, S.; Panah, B.E.; Jamil, M. Alternative approach to thermodynamic phase transitions. Chin. Phys. C 2019, 43, 113106. [Google Scholar] [CrossRef]
- Jusufi, K.; Azreg-Aïnou, M.; Jamil, M.; Wei, S.W.; Wu, Q.; Wang, A. Quasinormal modes, quasiperiodic oscillations, and the shadow of rotating regular black holes in nonminimally coupled Einstein-Yang-Mills theory. Phys. Rev. D 2021, 103, 024013. [Google Scholar] [CrossRef]
- Abbott, B.P.; Abbott, R.; Abbott, T.D.; Abernathy, M.R.; Acernese, F.; Ackley, K.; Cavalieri, R. Observation of Gravitational Waves from a Binary Black Hole Merger. Phys. Rev. Lett. 2016, 116, 061102. [Google Scholar] [CrossRef]
- Akiyama, K.; Alberdi, A.; Alef, W.; Asada, K.; Azulay, R.; Baczko, A.K.; Ball, D.; Baloković, M.; Barrett, J.; Bintley, D.; et al. First M87 Event Horizon Telescope Results. I. The Shadow of the Supermassive Black Hole. Astrophys. J. Lett. 2019, 875, L1. [Google Scholar]
- Akiyama, K.; Alberdi, A.; Alef, W.; Asada, K.; Azulay, R.; Baczko, A.K.; Ball, D.; Baloković, M.; Barrett, J.; Bintley, D.; et al. First M87 Event Horizon Telescope Results. II. Array and Instrumentation. Astrophys. J. Lett. 2019, 875, L2. [Google Scholar]
- Akiyama, K.; Alberdi, A.; Alef, W.; Asada, K.; Azulay, R.; Baczko, A.K.; Ball, D.; Baloković, M.; Barrett, J.; Bintley, D.; et al. First M87 Event Horizon Telescope Results. III. Data Processing and Calibration. Astrophys. J. Lett. 2019, 875, L3. [Google Scholar]
- Akiyama, K.; Alberdi, A.; Alef, W.; Asada, K.; Azulay, R.; Baczko, A.K.; Ball, D.; Baloković, M.; Barrett, J.; Bintley, D.; et al. First M87 Event Horizon Telescope Results. IV. Imaging the Central Supermassive Black Hole. Astrophys. J. Lett. 2019, 875, L4. [Google Scholar]
- Akiyama, K.; Alberdi, A.; Alef, W.; Asada, K.; Azulay, R.; Baczko, A.K.; Ball, D.; Baloković, M.; Barrett, J.; Bintley, D.; et al. First M87 Event Horizon Telescope Results. V. Physical Origin of the Asymmetric Ring. Astrophys. J. Lett. 2019, 875, L5. [Google Scholar]
- Akiyama, K.; Alberdi, A.; Alef, W.; Asada, K.; Azulay, R.; Baczko, A.K.; Ball, D.; Baloković, M.; Barrett, J.; Bintley, D.; et al. First M87 Event Horizon Telescope Results. VI. The Shadow and Mass of the Central Black Hole. Astrophys. J. Lett. 2019, 875, L6. [Google Scholar]
- Synge, J.L. The Escape of Photons from Gravitationally Intense Stars. Mon. Not. Roy. Astron. Soc. 1966, 131, 463–466. [Google Scholar] [CrossRef]
- Bardeen, J.M.; Press, W.H.; Teukolsky, S.A. Rotating Black Holes: Locally Nonrotating Frames, Energy Extraction, and Scalar Synchrotron Radiation. Astrophys. J. 1972, 178, 347–370. [Google Scholar] [CrossRef]
- Farah, J.R.; Pesce, D.W.; Johnson, M.D.; Blackburn, L. On the Approximation of the Black Hole Shadow with a Simple Polar Curve. Astrophys. J. 2020, 900, 77. [Google Scholar] [CrossRef]
- Wei, S.W.; Zou, Y.C.; Liu, Y.X.; Mann, R.B. Curvature radius and Kerr black hole shadow. J. Cosmol. Astropart. Phys. 2019, 08, 030. [Google Scholar] [CrossRef]
- Wang, M.; Chen, S.; Jing, J. Shadow casted by a Konoplya-Zhidenko rotating non-Kerr black hole. J. Cosmol. Astropart. Phys. 2017, 10, 051. [Google Scholar] [CrossRef]
- Qian, W.L.; Chen, S.; Shao, C.G.; Wang, B.; Yue, R.H. Cuspy and fractured black hole shadows in a toy model with axisymmetry. Eur. Phys. J. C 2022, 82, 91. [Google Scholar] [CrossRef]
- Cunha, P.V.P.; Herdeiro, C.A.R.; Radu, E. Fundamental photon orbits: Black hole shadows and spacetime instabilities. Phys. Rev. D 2017, 96, 024039. [Google Scholar] [CrossRef]
- Zhang, H.X.; Li, C.; He, P.Z.; Fan, Q.Q.; Deng, J.B. Optical properties of a Brane-World black hole as photons couple to the Weyl tensor. Eur. Phys. J. C 2020, 80, 461. [Google Scholar] [CrossRef]
- Odintsov, S.D.; Oikonomou, V.K. Dissimilar donuts in the sky? Effects of a pressure singularity on the circular photon orbits and shadow of a cosmological black hole. Europhys. Lett. 2022, 139, 59003. [Google Scholar] [CrossRef]
- Amir, M.; Jusufi, K.; Banerjee, A.; Hansraj, S. Shadow images of Kerr-like wormholes. Class. Quant. Grav. 2019, 36, 215007. [Google Scholar] [CrossRef]
- Konoplya, R.A.; Pappas, T.; Zhidenko, A. Einstein-scalar-Gauss-Bonnet black holes: Analytical approximation for the metric and applications to calculations of shadows. Phys. Rev. D 2020, 101, 044054. [Google Scholar] [CrossRef]
- Lin, F.L.; Patel, A.; Pu, H.Y. Black Hole Shadow with Soft Hair. arXiv 2022, arXiv:2202.13559. [Google Scholar] [CrossRef]
- Ma, L.; Lu, H. Bounds on photon spheres and shadows of charged black holes in Einstein-Gauss-Bonnet-Maxwell gravity. Phys. Lett. B 2020, 807, 135535. [Google Scholar] [CrossRef]
- Kumar, R.; Ghosh, S.G.; Wang, A. Gravitational deflection of light and shadow cast by rotating Kalb-Ramond black holes. Phys. Rev. D 2020, 101, 104001. [Google Scholar] [CrossRef]
- Xavier, S.V.M.C.B.; Cunha, P.V.P.; Crispino, L.C.B.; Herdeiro, C.A.R. Shadows of charged rotating black holes: Kerr-Newman versus Kerr-Sen. Int. J. Mod. Phys. D 2020, 29, 2041005. [Google Scholar] [CrossRef]
- Wielgus, M.; Horak, J.; Vincent, F.; Abramowicz, M. Reflection-asymmetric wormholes and their double shadows. Phys. Rev. D 2020, 102, 084044. [Google Scholar] [CrossRef]
- Konoplya, R.A.; Zhidenko, A. Analytical representation for metrics of scalarized Einstein-Maxwell black holes and their shadows. Phys. Rev. D 2019, 100, 044015. [Google Scholar] [CrossRef]
- Ghasemi-Nodehi, M.; Azreg-Aïnou, M.; Jusufi, K.; Jamil, M. Shadow, quasinormal modes, and quasiperiodic oscillations of rotating Kaluza-Klein black holes. Phys. Rev. D 2020, 102, 104032. [Google Scholar] [CrossRef]
- Ghosh, S.G.; Amir, M.; Maharaj, S.D. Ergosphere and shadow of a rotating regular black hole. Nucl. Phys. B 2020, 957, 115088. [Google Scholar] [CrossRef]
- Ahmed, F.; Singh, D.; Ghosh, S.G. Five dimensional rotating regular black holes and shadow. Gen. Rel. Grav. 2022, 54, 21. [Google Scholar] [CrossRef]
- Jusufi, K.; Amir, M.; Ali, M.S.; Maharaj, S.D. Quasinormal modes, shadow and greybody factors of 5D electrically charged Bardeen black holes. Phys. Rev. D 2020, 102, 064020. [Google Scholar] [CrossRef]
- Heydari-Fard, M.; Heydari-Fard, M.; Sepangi, H.R. On null geodesics and shadow of hairy black holes in Einstein-Maxwell-dilaton gravity. arXiv 2021, arXiv:2110.02713. [Google Scholar] [CrossRef]
- Bambhaniya, P.; Dey, D.; Joshi, A.B.; Joshi, P.S.; Solanki, D.N.; Mehta, A. Shadows and negative precession in non-Kerr spacetime. Phys. Rev. D 2021, 103, 084005. [Google Scholar] [CrossRef]
- Fathi, M.; Olivares, M.; Villanueva, J.R. Ergosphere, Photon Region Structure, and the Shadow of a Rotating Charged Weyl Black Hole. Galaxies 2021, 9, 43. [Google Scholar] [CrossRef]
- Jusufi, K.; Saurabh. Black hole shadows in Verlinde’s emergent gravity. Mon. Not. Roy. Astron. Soc. 2021, 503, 1310–1318. [Google Scholar] [CrossRef]
- Guo, M.; Li, P.C. Innermost stable circular orbit and shadow of the 4D Einstein–Gauss–Bonnet black hole. Eur. Phys. J. C 2020, 80, 588. [Google Scholar] [CrossRef]
- Wang, M.; Chen, S.; Jing, J. Kerr black hole shadows in Melvin magnetic field with stable photon orbits. Phys. Rev. D 2021, 104, 084021. [Google Scholar] [CrossRef]
- Bisnovatyi-Kogan, G.S.; Tsupko, O.Y.; Perlick, V. Shadow of a black hole at local and cosmological distances. arXiv 2019, arXiv:1910.10514. [Google Scholar]
- Perlick, V.; Tsupko, O.Y. Calculating black hole shadows: Review of analytical studies. Phys. Rep. 2022, 947, 1–39. [Google Scholar] [CrossRef]
- Bardeen, J.M.; Petterson, J.A. The Lense-Thirring Effect and Accretion Disks around Kerr Black Holes. Astrophys. J. Lett. 1975, 195, L65. [Google Scholar] [CrossRef]
- Moncrief, V. Stability of stationary, spherical accretion onto a Schwarzschild black hole. Astrophys. J. 1980, 235, 1038–1046. [Google Scholar] [CrossRef]
- Hui, L.; Law, Y.T.; Santoni, L.; Sun, G.; Tomaselli, G.M.; Trincherini, E. Black hole superradiance with (dark) matter accretion. arXiv 2022, arXiv:2208.06408. [Google Scholar]
- Luminet, J.P. Image of a spherical black hole with thin accretion disk. Astron. Astrophys. 1979, 75, 228–235. [Google Scholar]
- Cunha, P.V.P.; Eiró, N.A.; Herdeiro, C.A.R.; Lemos, J.P.S. Lensing and shadow of a black hole surrounded by a heavy accretion disk. J. Cosmol. Astropart. Phys. 2020, 03, 035. [Google Scholar] [CrossRef]
- Gralla, S.E.; Holz, D.E.; Wald, R.M. Black Hole Shadows, Photon Rings, and Lensing Rings. Phys. Rev. D 2019, 100, 024018. [Google Scholar] [CrossRef]
- Zeng, X.X.; Zhang, H.Q. Influence of quintessence dark energy on the shadow of black hole. Eur. Phys. J. C 2020, 80, 1058. [Google Scholar] [CrossRef]
- Zeng, X.X.; He, K.J.; Li, G.P. Influence of dark matter on shadows and rings of a brane-world black hole illuminated by various accretions. Sci. China Phys. Mech. Astron 2022, 65, 290411. [Google Scholar] [CrossRef]
- Zeng, X.X.; Zhang, H.Q.; Zhang, H. Shadows and photon spheres with spherical accretions in the four-dimensional Gauss–Bonnet black hole. Eur. Phys. J. C 2020, 80, 872. [Google Scholar] [CrossRef]
- Li, G.P.; He, K.J. Shadows and rings of the Kehagias-Sfetsos black hole surrounded by thin disk accretion. J. Cosmol. Astropart. Phys. 2021, 06, 037. [Google Scholar] [CrossRef]
- Li, G.P.; He, K.J. Observational appearances of a f(R) global monopole black hole illuminated by various accretions. Eur. Phys. J. C 2021, 81, 1018. [Google Scholar] [CrossRef]
- He, K.J.; Guo, S.; Tan, S.C.; Li, G.P. The feature of shadow images and observed luminosity of the Bardeen black hole surrounded by different accretions. arXiv 2021, arXiv:2103.13664. [Google Scholar]
- Gan, Q.; Wang, P.; Wu, H.; Yang, H. Photon ring and observational appearance of a hairy black hole. Phys. Rev. D 2021, 104, 044049. [Google Scholar] [CrossRef]
- Gan, Q.; Wang, P.; Wu, H.; Yang, H. Photon spheres and spherical accretion image of a hairy black hole. Phys. Rev. D 2021, 104, 024003. [Google Scholar] [CrossRef]
- Peng, J.; Guo, M.; Feng, X.H. Observational signature and additional photon rings of an asymmetric thin-shell wormhole. Phys. Rev. D 2021, 104, 124010. [Google Scholar] [CrossRef]
- Peng, J.; Guo, M.; Feng, X.H. Influence of quantum correction on black hole shadows, photon rings, and lensing rings. Chin. Phys. C 2021, 45, 085103. [Google Scholar] [CrossRef]
- Zhang, Z.; Chen, S.; Qin, X.; Jing, J. Polarized image of a Schwarzschild black hole with a thin accretion disk as photon couples to Weyl tensor. Eur. Phys. J. C 2021, 81, 991. [Google Scholar] [CrossRef]
- Qin, X.; Chen, S.; Jing, J. Image of a regular phantom compact object and its luminosity under spherical accretions. Class. Quant. Grav. 2021, 38, 115008. [Google Scholar] [CrossRef]
- Narayan, R.; Johnson, M.D.; Gammie, C.F. The Shadow of a Spherically Accreting Black Hole. Astrophys. J. Lett. 2019, 885, L33. [Google Scholar] [CrossRef]
- Okya, M.; Övgün, A. Nonlinear electrodynamics effects on the black hole shadow, deflection angle, quasinormal modes and greybody factors. J. Cosmol. Astropart. Phys. 2022, 01, 009. [Google Scholar] [CrossRef]
- Wilson, K.G. Renormalization group and critical phenomena. i. renormalization group and the kadanoff scaling picture. Phys. Rev. B 1971, 4, 3174–3183. [Google Scholar] [CrossRef]
- Bonanno, A.; Reuter, M. Renormalization group improved black hole space-times. Phys. Rev. D 2000, 62, 043008. [Google Scholar] [CrossRef]
- Lu, X.; Xie, Y. Weak and strong deflection gravitational lensing by a renormalization group improved Schwarzschild black hole. Eur. Phys. J. C 2019, 79, 1016. [Google Scholar] [CrossRef]
- Rayimbaev, J.; Abdujabbarov, A.; Jamil, M.; Ahmedov, B.; Han, W.B. Dynamics of test particles around renormalization group improved Schwarzschild black holes. Phys. Rev. D 2020, 102, 084016. [Google Scholar] [CrossRef]
- Yang, R. Quantum gravity corrections to accretion onto a Schwarzschild black hole. Phys. Rev. D 2015, 92, 084011. [Google Scholar] [CrossRef]
- Bambi, C. Can the supermassive objects at the centers of galaxies be traversable wormholes? The first test of strong gravity for mm/sub-mm very long baseline interferometry facilities. Phys. Rev. D 2013, 87, 107501. [Google Scholar] [CrossRef]
- Wang, Y.; Sun, W.; Liu, F.; Wu, X. Construction of Explicit Symplectic Integrators in General Relativity. I. Schwarzschild Black Holes. Astrophys. J. 2021, 907, 66. [Google Scholar] [CrossRef]
- Wang, Y.; Sun, W.; Liu, F.; Wu, X. Construction of Explicit Symplectic Integrators in General Relativity. II. Reissner–Nordström Black Holes. Astrophys. J. 2021, 909, 22. [Google Scholar] [CrossRef]
- Wang, Y.; Sun, W.; Liu, F.; Wu, X. Construction of Explicit Symplectic Integrators in General Relativity. III. Reissner–Nordström-(anti)-de Sitter Black Holes. Astrophys. J. Suppl. 2021, 254, 8. [Google Scholar] [CrossRef]
- Wu, X.; Wang, Y.; Sun, W.; Liu, F. Construction of Explicit Symplectic Integrators in General Relativity. IV. Kerr Black Holes. Astrophys. J. 2021, 914, 63. [Google Scholar] [CrossRef]
- Zhou, N.; Zhang, H.; Liu, W.; Wu, X. A Note on the Construction of Explicit Symplectic Integrators for Schwarzschild Spacetimes. Astrophys. J. 2022, 927, 160. [Google Scholar] [CrossRef]
- Sun, W.; Wang, Y.; Liu, F.; Wu, X. Applying explicit symplectic integrator to study chaos of charged particles around magnetized Kerr black hole. Eur. Phys. J. C 2021, 81, 785. [Google Scholar] [CrossRef]
- Allahyari, A.; Khodadi, M.; Vagnozzi, S.; Mota, D.F. Magnetically charged black holes from non-linear electrodynamics and the Event Horizon Telescope. J. Cosmol. Astropart. Phys. 2020, 02, 003. [Google Scholar] [CrossRef]






| 1.99496 | 1.94841 | 1.83568 | 1.70503 | 1.54357 | 1.44096 | 1.30513 | 1.0160 | |
| 2.99441 | 2.94296 | 2.82017 | 2.68223 | 2.52194 | 2.42919 | 2.32357 | 2.21168 | |
| 5.19035 | 5.13710 | 5.01140 | 4.87296 | 4.71684 | 4.62951 | 4.53348 | 4.43673 |
| 1.62954 | 1.60212 | 1.56878 | 1.53148 | 1.48865 | 1.43736 | 1.37059 | 1.25628 | |
| 2.60555 | 2.58515 | 2.5615 | 2.53665 | 2.51046 | 2.4827 | 2.45311 | 2.42133 | |
| 4.79755 | 4.78124 | 4.76255 | 4.74319 | 4.7231 | 4.70219 | 4.68036 | 4.65746 |
Publisher’s Note: MDPI stays neutral with regard to jurisdictional claims in published maps and institutional affiliations. |
© 2022 by the authors. Licensee MDPI, Basel, Switzerland. This article is an open access article distributed under the terms and conditions of the Creative Commons Attribution (CC BY) license (https://creativecommons.org/licenses/by/4.0/).
Share and Cite
Chen, Y.-X.; Mou, P.-H.; Li, G.-P. The Observational Shadow Features of a Renormalization Group Improved Black Hole Considering Spherical Accretions. Symmetry 2022, 14, 1959. https://doi.org/10.3390/sym14101959
Chen Y-X, Mou P-H, Li G-P. The Observational Shadow Features of a Renormalization Group Improved Black Hole Considering Spherical Accretions. Symmetry. 2022; 14(10):1959. https://doi.org/10.3390/sym14101959
Chicago/Turabian StyleChen, Yun-Xian, Ping-Hui Mou, and Guo-Ping Li. 2022. "The Observational Shadow Features of a Renormalization Group Improved Black Hole Considering Spherical Accretions" Symmetry 14, no. 10: 1959. https://doi.org/10.3390/sym14101959
APA StyleChen, Y.-X., Mou, P.-H., & Li, G.-P. (2022). The Observational Shadow Features of a Renormalization Group Improved Black Hole Considering Spherical Accretions. Symmetry, 14(10), 1959. https://doi.org/10.3390/sym14101959
