Microgrid Operations Planning Based on Improving the Flying Sparrow Search Algorithm
Abstract
1. Introduction
- A new optimization method (called ESSA) is proposed based on the SSA by applying elite reverse learning and FA’s mutation strategies.
- The proposed ESSA’s performance is evaluated by testing the selected benchmark functions.
- The microgrid scheduling cycle running of the power microgrid is mathematically modeled as the economy as the objective function for the optimization planning problem.
- The new proposed ESSA approach is applied to solve the microgrid scheduling cycle with the power source planning’s optimal output and total operation cost.
2. A Microgrid Optimizing Model
3. Proposed ESSA Algorithm
3.1. Sparrow Search Algorithm
3.2. Enhanced Sparrow Search Algorithm—(ESSA)
3.2.1. Elite Reverse Learning Strategy
3.2.2. Firefly Algorithm Mutation Strategy
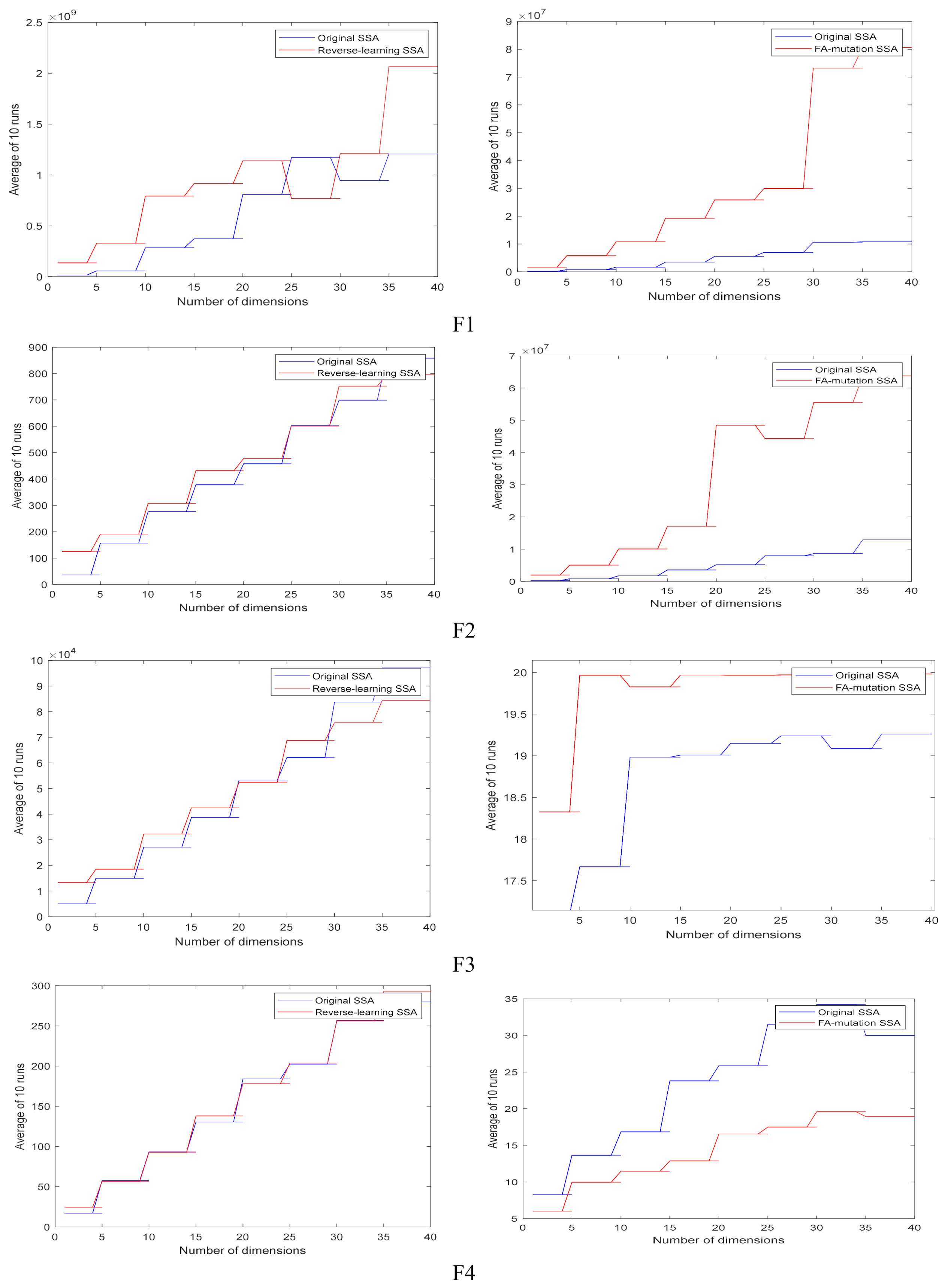
3.3. ESSA Algorithm Evaluations
4. Applied ESSA for Power Microgrid Operations Planning
4.1. The Objective Function
4.2. Microgrid Operations Planning
- -
- Step 1. Input system model parameters of a microgrid operation, daily load and microgrid output curves, unit generating set, time-of-use electricity price, and various pollution cost treatment coefficients.
- -
- Step 2. Initialize population sparrows randomly, and calculate the fitness value of each sparrow by using the objective function. A new solution set is formed by selecting sparrows with the best fitness value from the total set of forward and reverse solutions and combining them into the solution set according to the elite strategy. Selected sparrows with the worst fitness value in the solution set are removed to form a new set of solutions.
- -
- Step 3. Rank the fitness to find the current best fitness individual and the worst fitness individual.
- -
- Step 4. Update the positions of sparrows with higher fitness and sparrows with lower fitness, and randomly update the positions of some sparrows to get the current updated positions.
- -
- Step 5. Check the better sparrow positions: if the new position is superior to the old position, update the old position.
- -
- Step 6. Calculate the fitness value of the sparrow positions and then generate a new set of solutions by the reverse elite learning strategy and preserve the global and historical optimal values.
- -
- Step 7. Check the termination condition, e.g., if it reaches max-iteration, repeat steps 2 to 6; otherwise, output the best outcome value and best sparrow positions.
4.3. Analysis and Discussion Results
5. Conclusions
Author Contributions
Funding
Institutional Review Board Statement
Informed Consent Statement
Data Availability Statement
Conflicts of Interest
References
- Zeng, Z.; Zhao, R.; Yang, H.; Tang, S. Policies and demonstrations of micro-grids in China: A review. Renew. Sustain. Energy Rev. 2014, 29, 701–718. [Google Scholar] [CrossRef]
- Martin-Martínez, F.; Sánchez-Miralles, A.; Rivier, M. A literature review of Microgrids: A functional layer based classification. Renew. Sustain. Energy Rev. 2016, 62, 1133–1153. [Google Scholar] [CrossRef]
- Hongtao, L.; Wenjia, L. The analysis of effects of clean energy power generation. Energy Procedia 2018, 152, 947–952. [Google Scholar] [CrossRef]
- Kaur, A.; Kaushal, J.; Basak, P. A review on microgrid central controller. Renew. Sustain. Energy Rev. 2016, 55, 338–345. [Google Scholar] [CrossRef]
- Ngo, T.-G.; Nguyen, T.-T.T.; Nguyen, T.-X.H.; Nguyen, T.-D.; Do, V.-C.; Nguyen, T.-T. A Solution to Power Load Distribution Based on Enhancing Swarm Optimization BT—Advances in Engineering Research and Application. In Proceedings of the International Conference on Engineering Research and Applications (ICERA), Thai Nguyen, Vietnam, 1–2 December 2020; Sattler, K.-U., Nguyen, D.C., Vu, N.P., Long, B.T., Puta, H., Eds.; Springer International Publishing: Cham, Switzerland, 2020; pp. 53–63. [Google Scholar]
- Nguyen, T.-T.; Wang, H.-J.; Dao, T.-K.; Pan, J.-S.; Liu, J.-H.; Weng, S.-W. An Improved Slime Mold Algorithm and Its Application for Optimal Operation of Cascade Hydropower Stations. IEEE Access 2020, 8, 226754–226772. [Google Scholar] [CrossRef]
- Tsai, C.F.; Dao, T.K.; Pan, T.S.; Nguyen, T.T.; Chang, J.F. Parallel bat algorithm applied to the economic load dispatch problem. J. Internet Technol. 2016, 17, 761–769. [Google Scholar] [CrossRef]
- Dao, T.K.; Pan, T.S.; Nguyen, T.T.; Chu, S.C. Evolved Bat Algorithm for solving the Economic Load Dispatch problem. In Proceedings of the Advances in Intelligent Systems and Computing, Nanchang, China, 18–20 October 2014; Volume 329, pp. 109–119. [Google Scholar]
- Baziar, A.; Kavousi-Fard, A. Considering uncertainty in the optimal energy management of renewable micro-grids including storage devices. Renew. Energy 2013, 59, 158–166. [Google Scholar] [CrossRef]
- Cabrera-Tobar, A.; Bullich-Massagué, E.; Aragüés-Peñalba, M.; Gomis-Bellmunt, O. Review of advanced grid requirements for the integration of large scale photovoltaic power plants in the transmission system. Renew. Sustain. Energy Rev. 2016, 62, 971–987. [Google Scholar] [CrossRef]
- Nguyen, T.T.; Wang, M.J.; Pan, J.S.; Dao, T.K.; Ngo, T.G. A Load Economic Dispatch Based on Ion Motion Optimization Algorithm. In Proceedings of the Smart Innovation, Systems and Technologies, Jilin, China, 18–20 July 2019; Volume 157, pp. 115–125. [Google Scholar]
- Pan, J.; Liu, N.; Chu, S. A Hybrid Differential Evolution Algorithm and Its Application in Unmanned Combat Aerial Vehicle Path Planning. IEEE Access 2020, 8, 17691–17712. [Google Scholar] [CrossRef]
- Abdel-Basset, M.; Abdel-Fatah, L.; Sangaiah, A.K. Metaheuristic algorithms: A comprehensive review. In Computational Intelligence for Multimedia Big Data on the Cloud with Engineering Applications; Universitat Politècnica de Catalunya: Barcelona, Spain, 2018; pp. 185–231. ISBN 9780128133149. [Google Scholar]
- Yang, X.-S. Firefly Algorithm, Levy Flights and Global Optimization. In Research and Development in Intelligent Systems XXVI; Springer: London, UK, 2010; pp. 209–218. [Google Scholar] [CrossRef]
- Xue, J.; Shen, B. A novel swarm intelligence optimization approach: Sparrow search algorithm. Syst. Sci. Control Eng. 2020, 8, 22–34. [Google Scholar] [CrossRef]
- Tomassini, M. A Survey of Genetic Algorithms. Annu. Rev. Comput. Phys. World Sci. 1995, 3, 87–118. [Google Scholar]
- Shi, Y.; Eberhart, R. A modified particle swarm optimizer. In Proceedings of the 1998 IEEE International Conference on Evolutionary Computation Proceedings, IEEE World Congress on Computational Intelligence (Cat. No.98TH8360), Anchorage, AK, USA, 4–9 May 1998; pp. 69–73. [Google Scholar]
- Yang, X.-S. Harmony search as a metaheuristic algorithm. In Music-Inspired Harmony Search Algorithm; Springer: Berlin/Heidelberg, Germany, 2009; pp. 1–14. [Google Scholar]
- Dorigo, M.; Di Caro, G. Ant colony optimization: A new meta-heuristic. In Proceedings of the 1999 Congress on Evolutionary Computation-CEC99 (Cat. No. 99TH8406), Washington, DC, USA, 6–9 July 1999; Volume 2, pp. 1470–1477. [Google Scholar]
- Yang, X.-S.; Hossein Gandomi, A. Bat algorithm: A novel approach for global engineering optimization. Eng. Comput. Int. J. Comput. Eng. Softw. 2012, 29, 464–483. [Google Scholar] [CrossRef]
- Mirjalili, S.; Mirjalili, S.M.; Lewis, A. Grey Wolf Optimizer. Adv. Eng. Softw. 2014, 69, 46–61. [Google Scholar] [CrossRef]
- Hruschka, E.R.; Campello, R.J.G.B.; Freitas, A.A. A survey of evolutionary algorithms for clustering. IEEE Trans. Syst. Man Cybern. Part C Appl. Rev. 2009, 39, 133–155. [Google Scholar] [CrossRef]
- Fu, Q.; Nasiri, A.; Solanki, A.; Bani-Ahmed, A.; Weber, L.; Bhavaraju, V. Microgrids: Architectures, controls, protection, and demonstration. Electr. Power Compon. Syst. 2015, 43, 1453–1465. [Google Scholar] [CrossRef]
- Huang, W.-T.; Tai, N.-L.; Fan, C.-J.; Lan, S.-L.; Tang, Y.-Z.; Zhong, Y. Study on structure characteristics and designing of microgrid. Power Syst. Prot. Control 2012, 40, 149–155. [Google Scholar]
- Hassard, A. Reverse learning and the physiological basis of eye movement desensitization. Med. Hypotheses 1996, 47, 277–282. [Google Scholar] [CrossRef]
- Xia, X.; Tang, Y.; Wei, B.; Gui, L. Dynamic multi-swarm particle swarm optimization based on elite learning. IEEE Access 2019, 7, 184849–184865. [Google Scholar] [CrossRef]
- Liang, J.J.; Qu, B.Y.; Gong, D.W.; Yue, C.T. Problem Definitions and Evaluation Criteria for the CEC 2019 Special Session on Multimodal Multiobjective Optimization; The Computational Intelligence Laboratory, Zhengzhou University: ZhengZhou, China, 2019. [Google Scholar]
- Ma, Y.; Yang, P.; Zhao, Z.; Wang, Y. Optimal economic operation of islanded microgrid by using a modified pso algorithm. Math. Probl. Eng. 2015, 2015, 379250. [Google Scholar] [CrossRef]
- Amamra, S.-A.; Ahmed, H.; El-Sehiemy, R.A. Firefly algorithm optimized robust protection scheme for DC microgrid. Electr. Power Compon. Syst. 2017, 45, 1141–1151. [Google Scholar] [CrossRef]













| No. | Function Name | Function | Dim | Space | |
|---|---|---|---|---|---|
| F1 | Sphere | 30 | [−100, 100] | 0 | |
| F2 | Schwefel’s function 2.21 | 30 | [−10, 10] | 0 | |
| F3 | Schwefel’s function 1.2 | 30 | [−100, 100] | 0 | |
| F4 | Schwefel’s function 2.22 | 30 | [−100, 100] | 0 | |
| F5 | Dejong’s noisy | 30 | [−100, 100] | 0 | |
| F6 | Schwefel | 30 | [−500, 500] | −125,969 | |
| F7 | Rastringin | 30 | [−5.12, 5.12] | 0 | |
| F8 | Ackley | 30 | [−32, 32] | 0 | |
| F9 | Griewank | 30 | [−600, 600] | 0 | |
| F10 | Generalized penalized 2 | 30 | [−50, 50] | 0 | |
| F11 | Rosenbrock | 30 | [−30, 30] | 0 | |
| F12 | Sphere- steps | 30 | [−100, 100] | 0 |
| Algorithms | Strategy 1 Reverse-Learning SSA | Strategy 2 FA-Mutation SSA | Original (SSA) | Strategies 1&2 (ESSA) | ||||
|---|---|---|---|---|---|---|---|---|
| Average | Exe.Time | Average | Exe.Time | Average | Exe.Time | Average | Exe.Time | |
| F1 | 3.0 × 100 | 23.0 | 2.8 × 10−34 | 21.9 | 2.6 × 10−41 | 23.9 | 2.6 × 10−67 | 24.4 |
| F2 | 1.0 × 100 | 13.2 | 2.3 × 10−13 | 12.4 | 9.7 × 10−41 | 13.5 | 9.6 × 10−41 | 13.8 |
| F3 | 2.2 × 101 | 12.6 | 8.2 × 10−14 | 11.4 | 2.3 × 10−34 | 12.5 | 2.3 × 10−56 | 12.7 |
| F4 | 4.4 × 10−1 | 13.0 | 8.5 × 10−16 | 12.4 | 1.1 × 10−8 | 13.5 | 1.1 × 10−38 | 13.8 |
| F5 | 1.9 × 100 | 44.0 | 1.8 × 10−3 | 41.8 | 1.6 × 10−3 | 45.7 | 1.6 × 10−3 | 46.6 |
| F6 | −7.0 × 101 | 123.0 | −1.2 × 101 | 116.9 | −1.1 × 103 | 117.8 | −1.2 × 101 | 130.4 |
| F7 | 9.6 × 101 | 23.0 | 3.3 × 102 | 21.9 | 2.2 × 10−1 | 23.9 | 2.2 × 10−1 | 24.4 |
| F8 | 3.7 × 100 | 32.2 | 3.3 × 10−15 | 30.4 | 2.1 × 10−16 | 33.2 | 2.1 × 10−16 | 33.9 |
| F9 | 4.2 × 101 | 12.0 | 5.8 × 100 | 11.4 | 8.7 × 10−1 | 12.5 | 8.7 × 10−1 | 12.7 |
| F10 | 4.4 × 10−1 | 12.0 | 6.2 × 100 | 11.4 | 2.9 × 10−1 | 12.5 | 2.9 × 10−1 | 12.7 |
| F11 | −3.6 × 100 | 32.0 | −5.9 × 100 | 30.4 | −2.4 × 100 | 33.2 | −2.4 × 100 | 33.9 |
| F12 | −1.4 × 101 | 43.0 | −1.2 × 101 | 40.9 | −2.3 × 101 | 44.7 | −2.3 × 101 | 41.6 |
| Algorithms | PSO | GA | ESSA | |||
|---|---|---|---|---|---|---|
| Average | Sd. | Average | Sd. | Average | Sd. | |
| F1 | 5.07 × 100 | 1.72 × 100 | 1.63 × 10−2 | 9.80 × 10−3 | 6.20 × 10−68 | 3.19 × 10−77 |
| F2 | 6.92 × 100 | 2.73 × 100 | 2.52 × 10−2 | 9.80 × 10−3 | 1.77 × 10−40 | 4.16 × 10−40 |
| F3 | 1.43 × 102 | 6.54 × 102 | 2.65 × 102 | 2.40 × 102 | 3.31 × 10−65 | 1.31 × 10−64 |
| F4 | 5.16 × 100 | 1.41 × 100 | 1.50 × 100 | 6.45 × 10−1 | 5.19 × 10−29 | 2.24 × 10−38 |
| F5 | 1.27 × 101 | 9.09 × 100 | 1.94 × 10−2 | 8.23 × 10−3 | 7.24 × 10−4 | 6.41 × 10−4 |
| F6 | −3.21 × 103 | 4.49 × 102 | −5.46 × 103 | 9.53 × 102 | −1.11 × 104 | 7.13 × 102 |
| F7 | 1.90 × 102 | 4.05 × 101 | 4.30 × 101 | 1.80 × 101 | 0.00 × 100 | 0.00 × 100 |
| F8 | 3.04 × 100 | 3.85 × 10−1 | 2.56 × 10−2 | 9.39 × 10−3 | 8.88 × 10−16 | 0.00 × 10−0 |
| F9 | 2.98 × 101 | 8.58 × 100 | 2.50 × 10−1 | 1.23 × 10−1 | 0.00 × 100 | 0.00 × 100 |
| F10 | 3.57 × 100 | 2.22 × 100 | 5.60 × 100 | 4.13 × 100 | 1.16 × 100 | 5.27 × 10−1 |
| F11 | −3.27 × 100 | 5.92 × 10−2 | −3.22 × 100 | 8.40 × 10−2 | −3.30 × 100 | 4.12 × 10−2 |
| F12 | −8.55 × 100 | 3.38 × 100 | −9.75 × 100 | 2.23 × 100 | −1.02 × 101 | 1.29 × 10−5 |
| Algorithms | FA | SSA | ESSA | |||
|---|---|---|---|---|---|---|
| Average | Sd. | Average | Sd. | Average | Sd. | |
| F1 | 3.07 × 100 | 1.72 × 100 | 3.76 × 10−24 | 2.06 × 10−23 | 6.40 × 10−78 | 3.19 × 10−77 |
| F2 | 3.92 × 100 | 2.73 × 100 | 1.67 × 10−13 | 7.28 × 10−13 | 1.87 × 10−40 | 4.16 × 10−40 |
| F3 | 1.33 × 101 | 6.54 × 101 | 6.53 × 10−14 | 3.31 × 10−13 | 3.21 × 10−65 | 1.31 × 10−64 |
| F4 | 5.16 × 10−1 | 1.41 × 10−1 | 6.98 × 10−16 | 3.28 × 10−15 | 5.29 × 10−49 | 2.24 × 10−28 |
| F5 | 1.27 × 101 | 9.09 × 100 | 4.25 × 10−3 | 4.38 × 10−3 | 7.24 × 10−4 | 6.41 × 10−4 |
| F6 | −3.21 × 103 | 4.49 × 102 | −8.51 × 103 | 6.87 × 102 | −1.114 × 101 | 7.13 × 101 |
| F7 | 1.90 × 102 | 4.05 × 101 | 2.27 × 102 | 3.87 × 101 | 0.00 × 100 | 0.00 × 100 |
| F8 | 3.04 × 100 | 3.85 × 10−1 | 1.48 × 10−15 | 1.89 × 10−15 | 9.88 × 10−16 | 0.00 × 100 |
| F9 | 1.98 × 101 | 1.58 × 100 | 4.74 × 101 | 5.37 × 101 | 0.00 × 100 | 0.00 × 100 |
| F10 | 2.57 × 100 | 3.22 × 100 | 5.55 × 100 | 5.22 × 100 | 1.16 × 100 | 5.27 × 10−1 |
| F11 | −2.27 × 100 | 5.92 × 10−2 | −3.27 × 100 | 6.03 × 10−2 | −3.30 × 100 | 4.12 × 10−2 |
| F12 | −7.55 × 100 | 3.38 × 100 | −7.65 × 100 | 2.74 × 100 | −1.02 × 101 | 1.29 × 10−5 |
| Algorithms | BA | GWO | ESSA | |||
|---|---|---|---|---|---|---|
| Average | Sd. | Average | Sd. | Average | Sd. | |
| F1 | 1.89 × 100 | 1.70 × 100 | 1.75 × 10−24 | 1.09 × 10−23 | 1.64 × 10−78 | 4.77 × 10−78 |
| F2 | 6.26 × 10−1 | 2.26 × 100 | 1.45 × 10−13 | 1.02 × 10−12 | 6.02 × 10−41 | 3.20 × 10−41 |
| F3 | 1.35 × 101 | 2.34 × 101 | 5.12 × 10−14 | 2.61 × 10−14 | 1.41 × 10−65 | 1.90 × 10−64 |
| F4 | 2.77 × 10−1 | 1.23 × 10−1 | 5.31 × 10−16 | 2.51 × 10−16 | 7.11 × 10−39 | 1.97 × 10−39 |
| F5 | 1.18 × 100 | 6.83 × 100 | 1.10 × 10−3 | 5.61 × 10−3 | 9.86 × 10−4 | 3.39 × 10−6 |
| F6 | −4.48 × 103 | 5.41 × 102 | −7.18 × 103 | 4.45 × 102 | −6.99 × 101 | 4.59 × 102 |
| F7 | 5.99 × 101 | 1.12 × 101 | 2.06 × 102 | 1.67 × 101 | 1.37 × 10−1 | 2.28 × 10−3 |
| F8 | 2.30 × 100 | 4.70 × 10−1 | 2.08 × 10−15 | 1.08 × 10−15 | 1.33 × 10−16 | 4.14 × 10−3 |
| F9 | 2.60 × 101 | 2.19 × 100 | 3.65 × 100 | 2.00 × 101 | 0.01 × 100 | 6.96 × 10−3 |
| F10 | 2.78 × 10−1 | 3.86 × 100 | 3.86 × 100 | 5.18 × 100 | 1.81 × 10−1 | 7.43 × 10−2 |
| F11 | −2.26 × 100 | 5.49 × 10−2 | −3.71 × 100 | 8.19 × 10−2 | −1.49 × 100 | 1.75 × 10−2 |
| F12 | −8.71 × 100 | 3.33 × 100 | −7.50 × 100 | 8.58 × 10−1 | −1.45 × 101 | 1.13 × 10−5 |
| MicroPower Types | Power Capacity/kW | Climb Rate Constraint | Equipment Maintenance Factor | The Capacity Factor/% | ||
|---|---|---|---|---|---|---|
| Upper | Lower | |||||
| WT | 40.4 | 0 | 0.001 | 0.0296 | 2.37 | 22.13 |
| PV | 30.5 | 0 | 0.001 | 0.0096 | 6.65 | 29.34 |
| MT | 60.1 | 15 | 10 | 0.088 | 1.306 | 55.94 |
| FC | 40.2 | 5 | 2 | 0.087 | 4.275 | 30.34 |
| ES | 50.3 | −50 | 0.0001 | 0.004 | 0.087 | 32.67 |
| MG | 60.4 | −60 | 0.001 | 0.001 | 0.0001 | 0.002 |
| Emissions | |||||
|---|---|---|---|---|---|
| ) | MT | 184 | 0.00093 | 0.619 | 0.17 |
| FC | 635 | 0 | 0.023 | 0.054 | |
| ) | 0.0041 | 0.875 | 1.25 | 0.145 | |
| Periods | Period of Time | |
|---|---|---|
| Normal period | 07:00–10:00 | 0.49 |
| 15:00–18:00 | ||
| 21:00–23:00 | ||
| Peak period | 10:00–15:00 | 0.83 |
| 18:00–21:00 | ||
| Trough period | 23:00–07:00 | 0.17 |
| Operation Types | A Grid-Connected Operation | A Off-Grid Operation | ||||||
|---|---|---|---|---|---|---|---|---|
| Algorithms | FA | PSO | SSA | ESSA | FA | PSO | SSA | ESSA |
| Optimization results | 810.25 | 820.15 | 788.46 | 718.93 | 842.19 | 852.19 | 969.88 | 792.51 |
| Number of convergence | 310 | 320 | 299 | 233 | 282 | 262 | 375 | 242 |
Publisher’s Note: MDPI stays neutral with regard to jurisdictional claims in published maps and institutional affiliations. |
© 2022 by the authors. Licensee MDPI, Basel, Switzerland. This article is an open access article distributed under the terms and conditions of the Creative Commons Attribution (CC BY) license (https://creativecommons.org/licenses/by/4.0/).
Share and Cite
Nguyen, T.-T.; Ngo, T.-G.; Dao, T.-K.; Nguyen, T.-T.-T. Microgrid Operations Planning Based on Improving the Flying Sparrow Search Algorithm. Symmetry 2022, 14, 168. https://doi.org/10.3390/sym14010168
Nguyen T-T, Ngo T-G, Dao T-K, Nguyen T-T-T. Microgrid Operations Planning Based on Improving the Flying Sparrow Search Algorithm. Symmetry. 2022; 14(1):168. https://doi.org/10.3390/sym14010168
Chicago/Turabian StyleNguyen, Trong-The, Truong-Giang Ngo, Thi-Kien Dao, and Thi-Thanh-Tan Nguyen. 2022. "Microgrid Operations Planning Based on Improving the Flying Sparrow Search Algorithm" Symmetry 14, no. 1: 168. https://doi.org/10.3390/sym14010168
APA StyleNguyen, T.-T., Ngo, T.-G., Dao, T.-K., & Nguyen, T.-T.-T. (2022). Microgrid Operations Planning Based on Improving the Flying Sparrow Search Algorithm. Symmetry, 14(1), 168. https://doi.org/10.3390/sym14010168

