The CMS Magnetic Field Measuring and Monitoring Systems
Abstract
1. Introduction
2. Materials and Methods
2.1. Developing a Technique for Measuring the Magnetic Field Inside the CMS Solenoid
2.2. System for Monitoring the Magnetic Flux Density during the CMS Detector Operation
2.3. Developing a Flux Loop Technique of Measurements of the Magnetic Flux Density Inside the CMS Yoke Steel Blocks
2.3.1. Concept of the Magnetic Flux Density Measurements in Steel with the Flux Loops
2.3.2. Performance of a Special R&D Program to Model the Flux Loop Measurements
2.4. Analysis of Eddy Current Distributions in the CMS Magnet Yoke during the Solenoid Discharge
3. Results
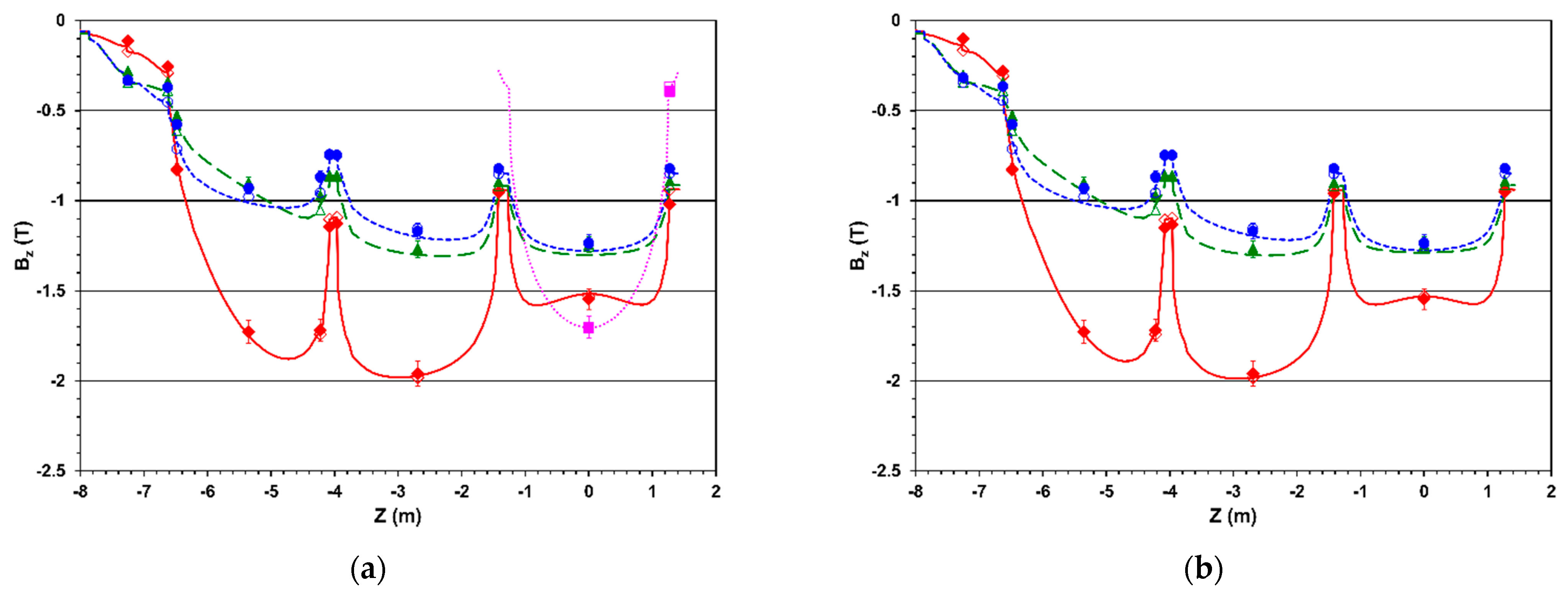
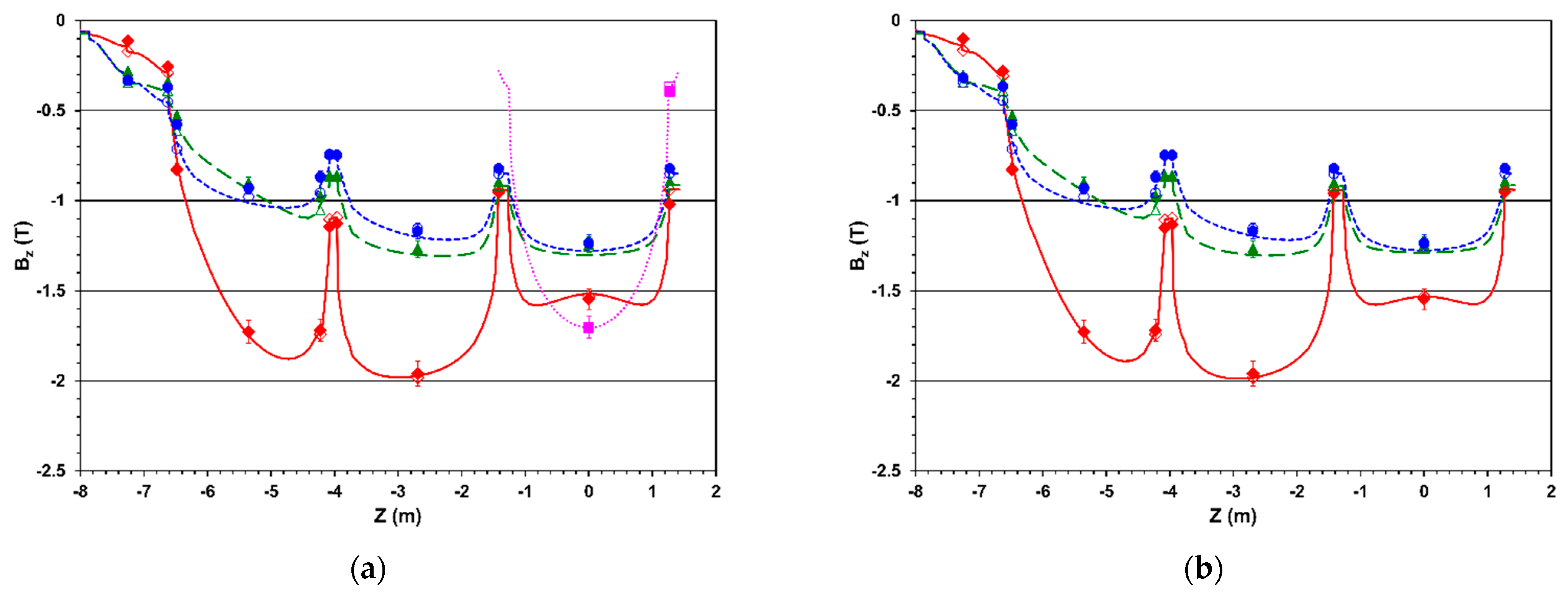
3.1. Measurements of the Magnetic Flux Density Inside the CMS Coil
3.2. Measuring the Magnetic Flux Density in the CMS Flux-Return Yoke Blocks
3.2.1. Flux Loop and B-Sensor Measurement System Description
3.2.2. Measurements of the Magnetic Flux Density in the Steel Yoke Blocks
4. Discussion
5. Conclusions
Author Contributions
Funding
Institutional Review Board Statement
Informed Consent Statement
Data Availability Statement
Conflicts of Interest
References
- Klyukhin, V. Design and Description of the CMS Magnetic System Model. Symmetry 2021, 13, 1052. [Google Scholar] [CrossRef]
- CMS Collaboration. The CMS experiment at the CERN LHC. Jinst 2008, 3, S08004. [Google Scholar] [CrossRef]
- Evans, L.; Bryant, P. LHC Machine. J. Instrum. 2008, 3, S08001. [Google Scholar] [CrossRef]
- Hervé, A. Constructing a 4-Tesla large thin solenoid at the limit of what can be safely operated. Mod. Phys. Lett. A 2010, 25, 1647–1666. [Google Scholar] [CrossRef]
- Kircher, F.; Bredy, P.; Calvo, A.; Curé, B.; Campi, D.; Desirelli, A.; Fabbricatore, P.; Farinon, S.; Hervé, A.; Horvath, I.; et al. Final Design of the CMS Solenoid Cold Mass. IEEE Trans. Appl. Supercond. 2000, 10, 407–410. [Google Scholar] [CrossRef]
- Herve, A.; Blau, B.; Bredy, P.; Campi, D.; Cannarsa, P.; Curé, B.; Dupont, T.; Fabbricatore, P.; Farinon, S.; Feyzi, F.; et al. Status of the Construction of the CMS Magnet. IEEE Trans. Appl. Supercond. 2004, 14, 542–547. [Google Scholar] [CrossRef]
- Campi, D.; Curé, B.; Gaddi, A.; Gerwig, H.; Hervé, A.; Klyukhin, V.; Maire, G.; Perinic, G.; Bredy, P.; Fazilleau, P.; et al. Commissioning of the CMS Magnet. IEEE Trans. Appl. Supercond. 2007, 17, 1185–1190. [Google Scholar] [CrossRef]
- Klyukhin, V.; Ball, A.; Bergsma, F.; Campi, D.; Curé, B.; Gaddi, A.; Gerwig, H.; Hervé, A.; Korienek, J.; Linde, F.; et al. Measurement of the CMS Magnetic Field. IEEE Trans. Appl. Supercond. 2008, 18, 395–398. [Google Scholar] [CrossRef]
- TOSCA/OPERA-3d 18R2 Reference Manual; Cobham CTS Ltd.: Kidlington, UK, 2018; pp. 1–916.
- Klyukhin, V.I.; Amapane, N.; Andreev, V.; Ball, A.; Curé, B.; Hervé, A.; Gaddi, A.; Gerwig, H.; Karimaki, V.; Loveless, R.; et al. The CMS Magnetic Field Map Performance. IEEE Trans. Appl. Supercond. 2010, 20, 152–155. [Google Scholar] [CrossRef]
- Klyukhin, V.I.; Amapane, N.; Ball, A.; Curé, B.; Gaddi, A.; Gerwig, H.; Mulders, M.; Hervé, A.; Loveless, R. Measuring the Magnetic Flux Density in the CMS Steel Yoke. J. Supercond. Nov. Magn. 2012, 26, 1307–1311. [Google Scholar] [CrossRef][Green Version]
- Klyukhin, V.; Campi, D.; Curé, B.; Gaddi, A.; Gerwig, H.; Grillet, J.P.; Hervé, A.; Loveless, R.; Smith, R.P. Developing the Technique of Measurements of Magnetic Field in the CMS Steel Yoke Elements with Flux-loops and Hall Probes. IEEE Trans. Nucl. Sci. 2004, 51, 2187–2192. [Google Scholar] [CrossRef]
- NMR Teslameter PT 2025—User’s Manual; METROLAB Instruments SA, GMW Associates: San Carlos, CA, USA, 2003; Available online: https://gmw.com/wp-content/uploads/2019/03/ML_MAN_PT2025-V2-R1-Sep-03.pdf (accessed on 13 December 2021).
- Sanfilippo, S. Hall probes: Physics and application to magnetometry. In Proceedings of the CAS–CERN Accelerator School: Magnets, Bruges, Belgium, 16–25 June 2009; Brandt, D., Ed.; CERN-2010-004. CERN: Geneva, Switzerland, 2010; pp. 439, 448–449, ISBN 978-92-9083-355-0. Available online: http://cdsweb.cern.ch/record/1158462/files/cern-2010-004.pdf (accessed on 13 January 2022).
- Boterenbrood, H. B-Sensor with Addressable Serial Peripheral Interface: User Manual; Version 1.5; NIKHEF: Amsterdam, The Netherlands, 2001; Available online: http://www.nikhef.nl/pub/departments/ct/po/html/Bsensor/Bsensor.pdf (accessed on 13 January 2022).
- Bergsma, F.; Blanc, P.H.; Garnier, F.; Giudici, P.A. A High Precision 3D Magnetic Field Scanner for Small to Medium Size Magnets. IEEE Trans. Appl. Superconduct. 2016, 26, 9000204. [Google Scholar] [CrossRef]
- Bergsma, F. Calibration of Hall sensors in three dimensions. In Proceedings of the 13th International Magnetic Measurement Workshop, Stanford, CA, USA, 19–22 May 2003; SLAC: Stanford, CA, USA, 2003. Available online: https://www.slac.stanford.edu/cgi-bin/getdoc/slac-wp-029-ch13-Bergsma.pdf (accessed on 13 January 2022).
- Bergsma, F. Progress on the 3D calibration of hall probes. In Proceedings of the 14th International Magnetic Measurement Workshop, Geneva, Switzerland, 26–29 September 2005; CERN: Geneva, Switzerland, 2005. Available online: https://indico.cern.ch/event/408147/contributions/980914/ (accessed on 13 January 2022).
- Bergsma, F. 3D Hall probes applications. In Proceedings of the 15th International Magnetic Measurement Workshop, Batavia, IL, USA, 21–24 August 2007; FNAL: Batavia, IL, USA, 2007. Available online: http://fxb.web.cern.ch/fxb/immw15/3d_HallProbes_Applications_Bergsma.pdf (accessed on 13 January 2022).
- LabVIEW Software; National Instruments: Austin, TX, USA, 2005.
- Boterenbrood, H. CANopen: High-Level Protocol for CAN-Bus; Version 3.0; NIKHEF: Amsterdam, The Netherlands, 2000; Available online: http://www.nikhef.nl/pub/departments/ct/po/doc/CANopen30.pdf (accessed on 13 January 2022).
- Boterenbrood, H. MDT-DCS CANopen Module: User Manual & reference; Version 2.6; NIKHEF: Amsterdam, The Netherlands, 2008; Available online: https://www.nikhef.nl/pub/departments/ct/po/html/MDT/MDT-DCS-CANnode-v26.pdf (accessed on 13 January 2022).
- SIEMENS Semiconductor Group. Hall Sensor KSY44 Datasheet; Siemens Corporation: Munich, Germany, 1998; Available online: http://www.hoeben.com/productdata/Siemens%20KSY44%20Datasheet.pdf (accessed on 13 January 2022).
- Schubiger, M.; Schindler, H.; Blanc, F.; Lindner, R.; Martinelli, M.; Sainvitu, P. Magnetic Feld Map with 2014 Measurements for the LHCb Dipole Magnet; LPHE Note 2015-03; LPHE: Lausanne, Switzerland, 2016; Available online: https://lphe.epfl.ch/publications/2015/LPHE-2015-003_v2.pdf (accessed on 13 January 2022).
- Tikhonov, A.N.; Samarsky, A.A. Equations of Mathematical Physics, 4th ed.; Nauka: Moscow, Russia, 1972; pp. 671–694. (In Russian) [Google Scholar]
- Tchébychew, P. Théorie des mécanismes connus sous le nom de parallélogrammes (lu dans l’assemblée le 28 janvier 1853). Mém. des sav. étrang. prés. à l’Acad. de St. Pétersbourg 1854, 7, 537–568. Available online: https://www.biodiversitylibrary.org/page/37115497#page/579/mode/1up (accessed on 13 January 2022).
- Klioukhine, V.; Smith, R.P.; Curé, B.; Lesmond, C. On a Possibility to Measure the Magnetic Field Inside the CMS Yoke Elements; CMS NOTE 2000/071; CERN: Geneva, Switzerland, 2000; Available online: http://cmsdoc.cern.ch/documents/00/note00_071.pdf (accessed on 13 January 2022).
- ELEKTRA/OPERA-3d User Guide; Version 9.0; Vector Fields Limited: Kidlington, Oxford, UK, 2003; pp. 6-19–6-34.
- Klyukhin, V.I.; Campi, D.; Curé, B.; Gaddi, A.; Gerwig, H.; Grillet, J.P.; Hervé, A.; Loveless, R.; Smith, R.P. Analysis of Eddy Current Distributions in the CMS Magnet Yoke during the Solenoid Discharge. IEEE Trans. Nucl. Sci. 2005, 52, 741–744. [Google Scholar] [CrossRef]
- Klyukhin, V.; Curé, B.; Amapane, N.; Ball, A.; Gaddi, A.; Gerwig, H.; Hervé, A.; Loveless, R.; Mulders, M. Using the Standard Linear Ramps of the CMS Superconducting Magnet for Measuring the Magnetic Flux Density in the Steel Flux-Return Yoke. IEEE Trans. Magn. 2019, 55, 8300504. [Google Scholar] [CrossRef]
- Landau, L.D.; Lifshitz, E.M. Electrodynamics of Continuous Media, 2nd ed.; Nauka: Moscow, Russia, 1982; pp. 154–163. (In Russian) [Google Scholar]
- Tamm, I.E. Fundamentals of the Theory of Electricity, 9th ed.; Nauka: Moscow, Russia, 1976; pp. 285–288. (In Russian) [Google Scholar]
- Klyukhin, V.I.; Amapane, N.; Ball, A.; Calvelli, V.; Curé, B.; Gaddi, A.; Gerwig, H.; Mulders, M.; Hervé, A.; Loveless, R. Validation of the CMS Magnetic Field Map. J. Supercond. Nov. Magn. 2015, 28, 701–704. [Google Scholar] [CrossRef][Green Version]
- USB-1208LS Analog and Digital I/O—User’s Guide; Measurement Computing Corporation: Norton, MA, USA, 2005; Available online: https://www.mccdaq.com/pdfs/manuals/USB-1208LS.pdf (accessed on 13 January 2022).
- AnywhereUSB—User’s Guide; Digi International Inc.: Minnetonka, MN, USA, 2005; Available online: https://www.digi.com/resources/documentation/digidocs/pdfs/90001085.pdf (accessed on 13 January 2022).
- 3Com OfficeConnect® Dual Speed Switch 5; 3Com Corporation: Marlborough, MA, USA, 2005; Available online: https://support.hpe.com/hpesc/public/docDisplay?docId=c02581538&docLocale=en_US (accessed on 13 January 2022).
- Klyukhin, V.I.; Ball, A.; Campi, D.; Curé, B.; Dattola, D.; Gaddi, A.; Gerwig, H.; Hervé, A.; Loveless, R.; Reithler, H.; et al. Measuring the Magnetic Field Inside the CMS Steel Yoke Elements. In Proceedings of the 2008 IEEE Nuclear Science Symposium Conference Record, Dresden, Germany, 19–25 October 2008; pp. 2270–2273. [Google Scholar] [CrossRef]
- Klyukhin, V.I.; Amapane, N.; Ball, A.; Curé, B.; Gaddi, A.; Gerwig, H.; Mulders, M.; Hervé, A.; Loveless, R. Flux Loop Measurements of the Magnetic Flux Density in the CMS Magnet Yoke. J. Supercond. Nov. Magn. 2017, 30, 2977–2980. [Google Scholar] [CrossRef]















Publisher’s Note: MDPI stays neutral with regard to jurisdictional claims in published maps and institutional affiliations. |
© 2022 by the authors. Licensee MDPI, Basel, Switzerland. This article is an open access article distributed under the terms and conditions of the Creative Commons Attribution (CC BY) license (https://creativecommons.org/licenses/by/4.0/).
Share and Cite
Klyukhin, V.; Ball, A.; Bergsma, F.; Boterenbrood, H.; Curé, B.; Dattola, D.; Gaddi, A.; Gerwig, H.; Hervé, A.; Loveless, R.; et al. The CMS Magnetic Field Measuring and Monitoring Systems. Symmetry 2022, 14, 169. https://doi.org/10.3390/sym14010169
Klyukhin V, Ball A, Bergsma F, Boterenbrood H, Curé B, Dattola D, Gaddi A, Gerwig H, Hervé A, Loveless R, et al. The CMS Magnetic Field Measuring and Monitoring Systems. Symmetry. 2022; 14(1):169. https://doi.org/10.3390/sym14010169
Chicago/Turabian StyleKlyukhin, Vyacheslav, Austin Ball, Felix Bergsma, Henk Boterenbrood, Benoit Curé, Domenico Dattola, Andrea Gaddi, Hubert Gerwig, Alain Hervé, Richard Loveless, and et al. 2022. "The CMS Magnetic Field Measuring and Monitoring Systems" Symmetry 14, no. 1: 169. https://doi.org/10.3390/sym14010169
APA StyleKlyukhin, V., Ball, A., Bergsma, F., Boterenbrood, H., Curé, B., Dattola, D., Gaddi, A., Gerwig, H., Hervé, A., Loveless, R., Teafoe, G., Wenman, D., Zeuner, W., & Zimmerman, J. (2022). The CMS Magnetic Field Measuring and Monitoring Systems. Symmetry, 14(1), 169. https://doi.org/10.3390/sym14010169

