Research of Interaction between Ultra-Short Ultra-Intense Laser Pulses and Multiple Plasma Layers
Abstract
1. Introduction
2. Theory
3. Simulation Results of The Spatial Distribution of Particles
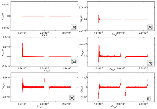
4. Numerical Simulation Results of Particle Phase-Space Distribution
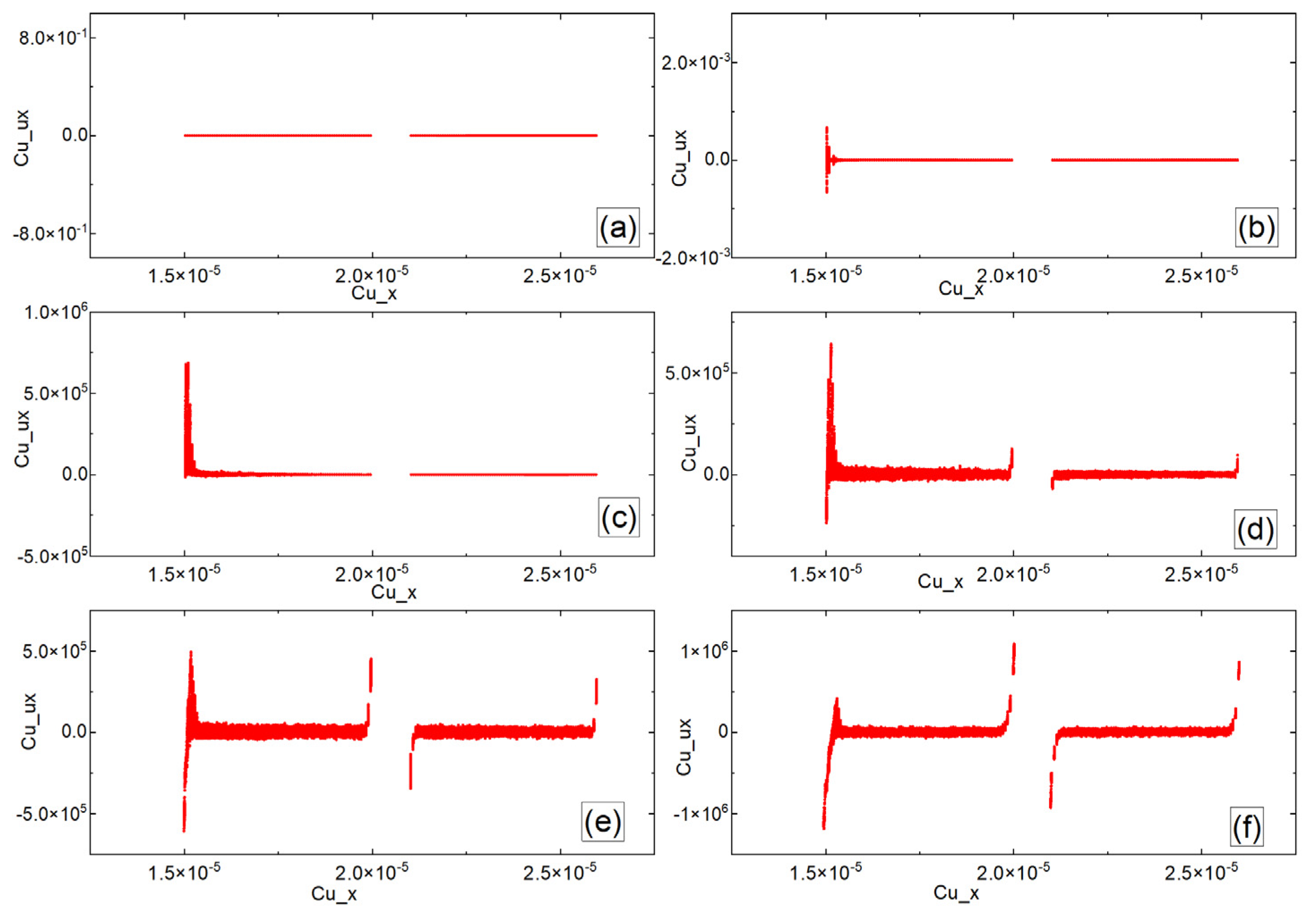
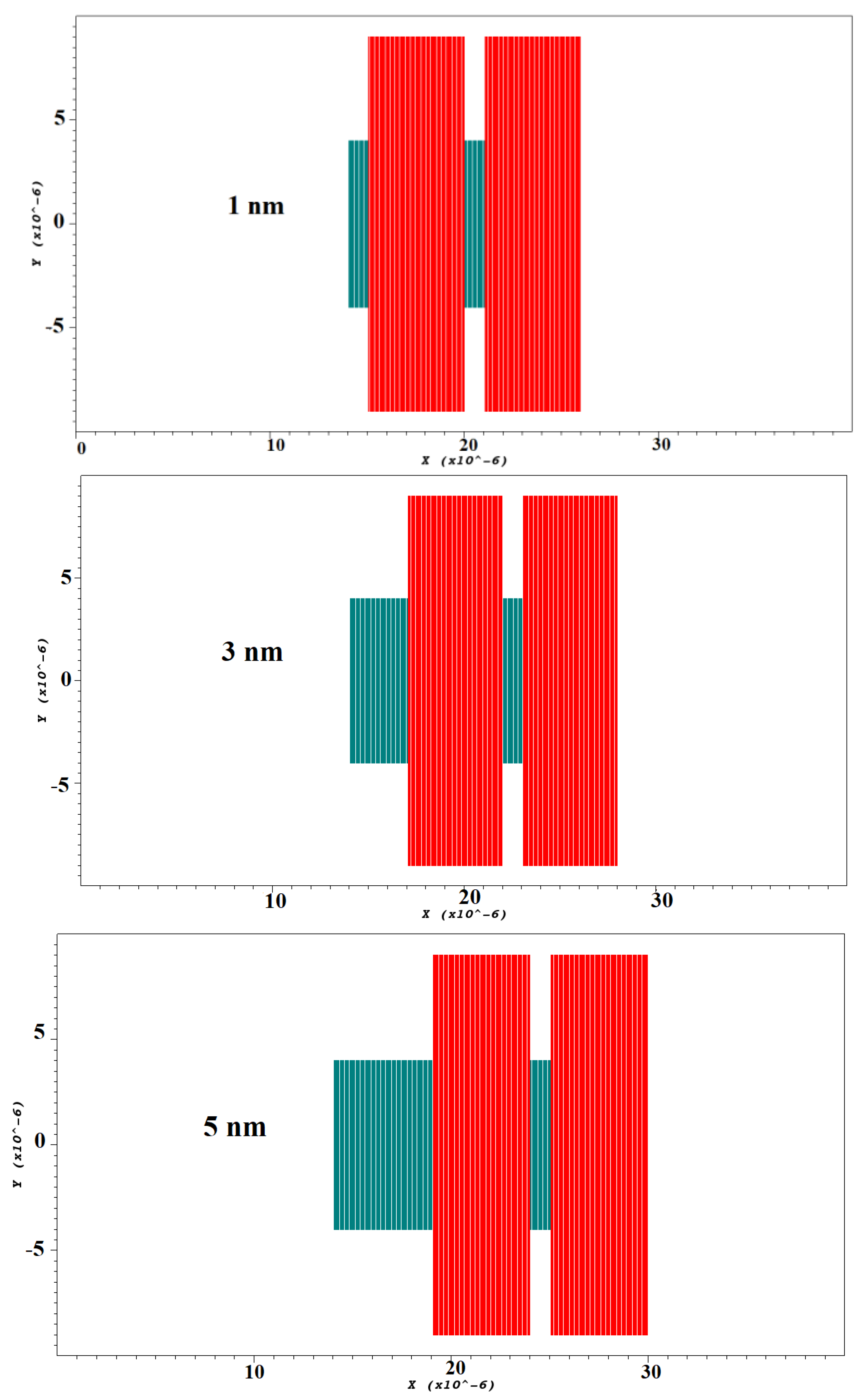
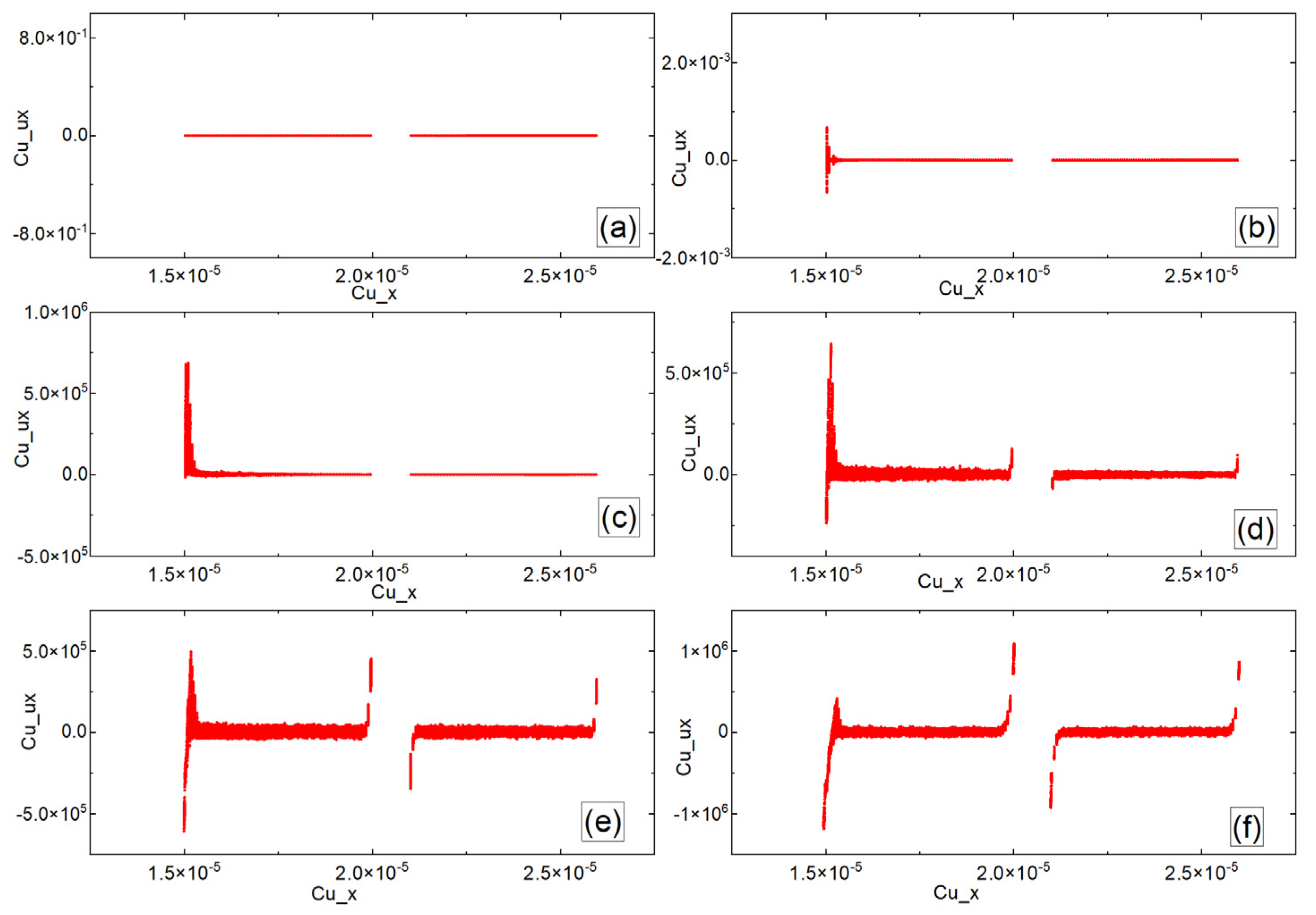
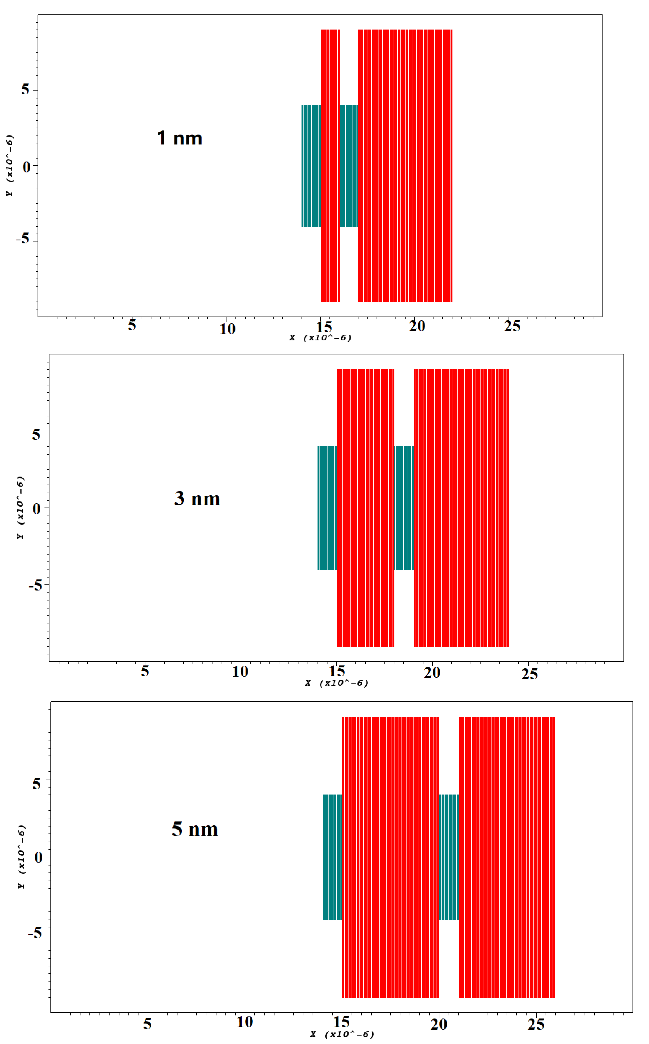
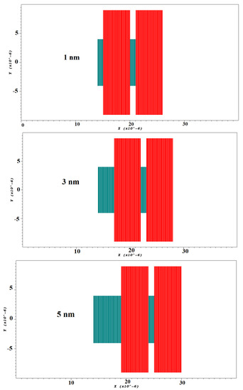
5. The Influence of the Different Thicknesses of the First Hydrogen Layer on Phase-Space Distribution under Asymmetric Structure of the Hydrogen Layer (Numerical Simulation)
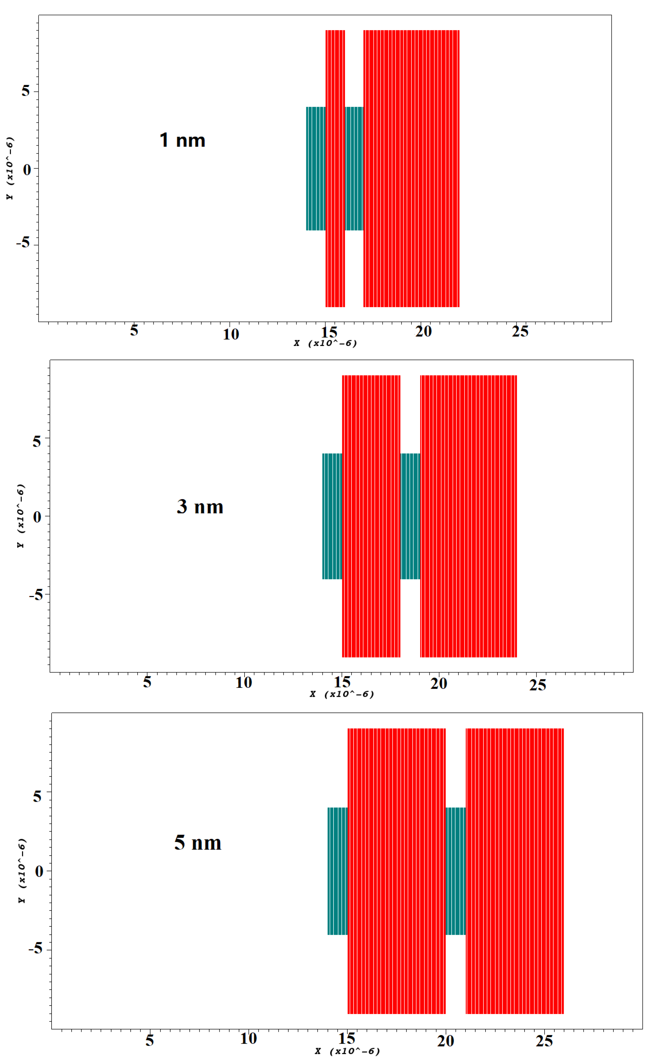
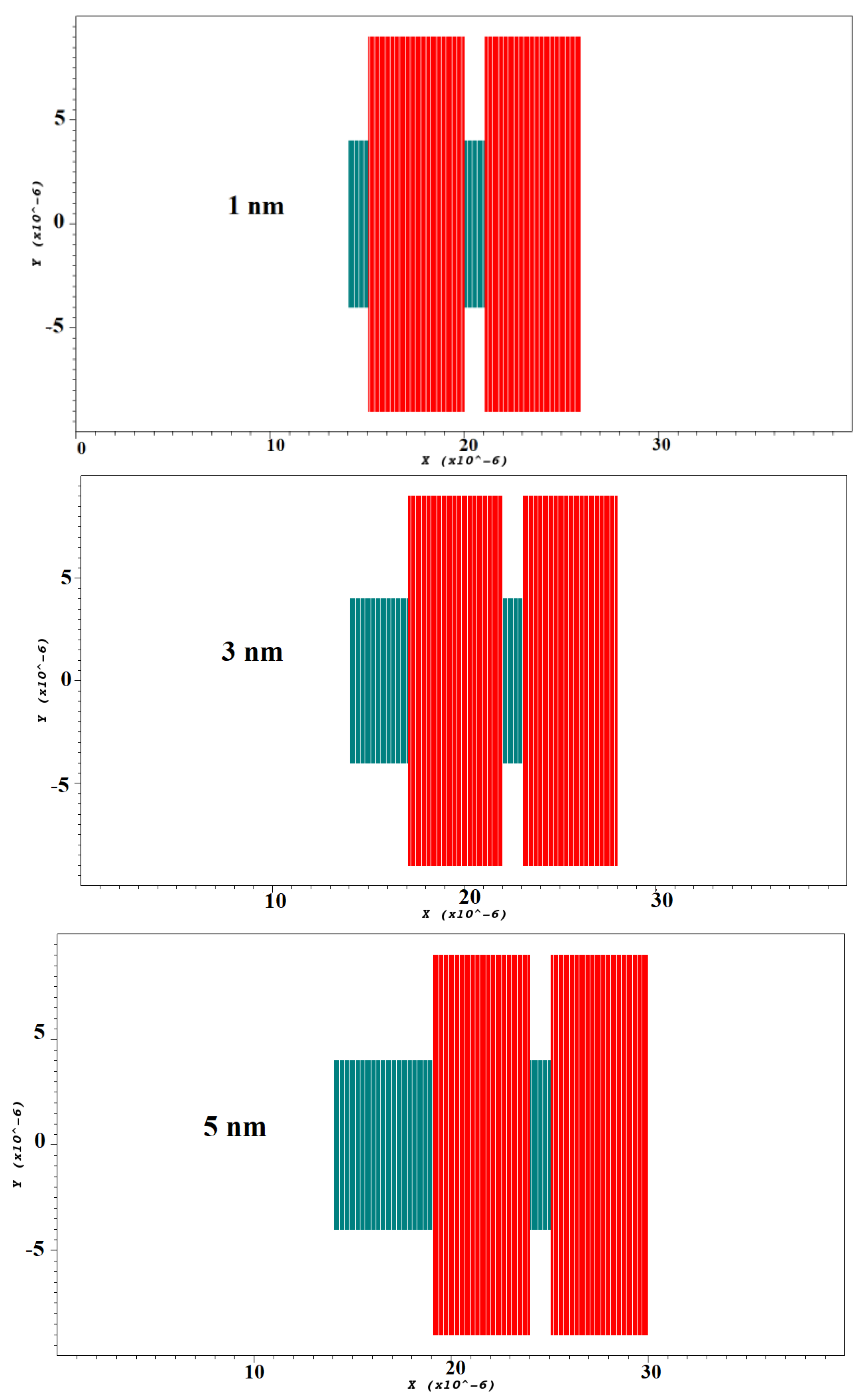
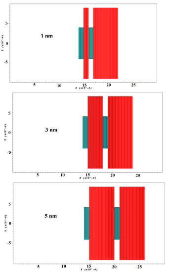
6. The Influence of the Different Thicknesses of the First Copper Layer on Phase-Space Distribution under Asymmetric Structure of Copper Layer (Numerical Simulation)
7. Conclusions
Author Contributions
Funding
Institutional Review Board Statement
Informed Consent Statement
Data Availability Statement
Conflicts of Interest
References
- Bulanov, S.V.; Yamagiwa, M.; Esirkepov, T.Z.; Dylov, D.V.; Kamenets, F.F.; Knyazev, N.S.; Koga, J.K.; Kando, M.; Ueshima, Y.; Saito, K.; et al. Electron bunch acceleration in the wake wave breaking regime. Plasma Phys. Rep. 2006, 32, 263–281. [Google Scholar] [CrossRef]
- Pukhov, A.; Meyer-ter-Vehn, J. Laser Wake Field Acceleration: The Highly Non-Linear Broken-Wave Regime. Appl. Phys. B 2002, 74, 355–361. [Google Scholar] [CrossRef]
- Faure, J.; Glinec, Y.; Pukhov, A.; Kiselev, S.L.; Gordienko, S.N.; Lefebvre, E.; Rousseau, J.-P.; Burgy, F.; Malka, V. A laser–plasma accelerator producing monoenergetic electron beams. Nat. Cell Biol. 2004, 431, 541–544. [Google Scholar] [CrossRef] [PubMed]
- Geddes, C.G.R.; Toth, C.; Van Tilborg, J.J.; Esarey, E.; Schroeder, C.; Bruhwiler, D.; Nieter, C.; Cary, J.; Leemans, W.P. High-quality electron beams from a laser wakefield accelerator using plasma-channel guiding. Nat. Cell Biol. 2004, 431, 538–541. [Google Scholar] [CrossRef] [PubMed]
- Peter, M.; Bruhwiler, D.L.; Cary, J.R.; Dimitrov, D.A. Ion Acceleration and Wave Generation by Overdense Laser-Plasma Interaction. AIP Conf. Proc. 2004, 737, 621–627. [Google Scholar]
- Wolowski, J.; Badziak, A.J.; Czarnecka, S.; Gammino, J.; Láska, K.L.; Mezzasalma, A.; Parys, P.; Pfeifer, M.; Rohlena, K. Interaction of High-Energy Laser Pulses with Plasmas of Different Density Gradients. In Proceedings of the 32nd EPS Conference on Plasma Physics 2005 (EPS 2005), Tarragona, Spain, 27 June–1 July 2005; Volume 29C. [Google Scholar]
- Hora, H.; Badziak, J.; Boody, F.; Höpfl, R.; Jungwirth, K.; Králikova, B.; Krása, J.; Láska, L.; Parys, P.; Perina, V.; et al. Effects of ps and ns laser pulses for giant ion source. Opt. Commun. 2002, 207, 333–338. [Google Scholar] [CrossRef]
- Wang, G.H.; Wang, X.F.; Dong, K.G. Ultra-short ultra-intense laser guiding and its influence on electron acceleration. Acta Phys. Sin. 2012, 61, 165201. [Google Scholar]
- Yang, Z.; Yuan, P.; Li, Z.; Yang, Z. L-shell X-ray emission measurement of Au plasma produced by intense femtosecond laser. High Power Laser Part Beams 2012, 24, 1896–1900. [Google Scholar] [CrossRef]
- Lifschitz, A.; Sylla, F.; Kahaly, S.; Flacco, A.; Veltcheva, M.; Sanchez-Arriaga, G.; Lefebvre, E.; Malka, V. Ion acceleration in underdense plasmas by ultra-short laser pulses. New J. Phys. 2014, 16, 033031. [Google Scholar] [CrossRef][Green Version]
- Huang, L.G.; Bussmann, M.; Kluge, T.; Lei, L.; Yu, W.; Cowan, T.E. Ion heating dynamics in solid buried layer targets irradiated by ultra-short intense laser pulses. Phys. Plasmas 2013, 20, 093109. [Google Scholar] [CrossRef]
- Tatomirescu, D.; Popescu, A.; d’Humieres, E.; Vizman, D. Numerical Simulation of Laser Ion Acceleration at Ultra High Intensity. AIP Conf. Proc. 2017, 1796, 020013. [Google Scholar]
- Tatomirescu, D.; d’Humieres, E.; Vizman, D. Improving the particle beam characteristics resulting from laser ion acceleration at ultra high intensity through target manipulation—Numerical modeling. AIP Conf. Proc. 2017, 1916, 030002. [Google Scholar]
- Ma, Y.; Zhao, J.; Li, Y.; Li, D.; Chen, L.; Liu, J.; Dann, S.J.D.; Ma, Y.; Yang, X.; Ge, Z.; et al. Ultrahigh-charge electron beams from laser-irradiated solid surface. Proc. Natl. Acad. Sci. USA 2018, 115, 6980–6985. [Google Scholar] [CrossRef] [PubMed]
- Fiore, G.; Catelan, P. On cold diluted plasmas hit by short laser pulses. Nucl. Inst. Methods Phys. Res. A 2018, 909, 41. [Google Scholar] [CrossRef]
- Ma, W.; Kim, I.J.; Yu, J.; Choi, I.W.; Singh, P.K.; Lee, H.W.; Sung, J.H.; Lee, S.K.; Lin, C.; Liao, Q.; et al. Laser Acceleration of Highly Energetic Carbon Ions Using a Double-Layer Target Composed of Slightly Underdense Plasma and Ultrathin Foil. Phys. Rev. Lett. 2019, 122, 014803. [Google Scholar] [CrossRef] [PubMed]
- Abuduresuli, A.; Amat, N.; Okada, T. Numeral Simulation of Energetic Ion Generation. J. Xinjiang Univ. 2007, 24, 2. [Google Scholar]
- Ma, Y.; Chang, W.; Yin, Y.; Cao, L.; Yue, Z. Particle Simulation on Plasma Bubble and Energetic Ion Generation Produced by Laser. Chin. J. High Presure Phys. 2002, 16, 147–151. [Google Scholar]
















Publisher’s Note: MDPI stays neutral with regard to jurisdictional claims in published maps and institutional affiliations. |
© 2021 by the authors. Licensee MDPI, Basel, Switzerland. This article is an open access article distributed under the terms and conditions of the Creative Commons Attribution (CC BY) license (https://creativecommons.org/licenses/by/4.0/).
Share and Cite
Feng, F.; Lei, G. Research of Interaction between Ultra-Short Ultra-Intense Laser Pulses and Multiple Plasma Layers. Symmetry 2021, 13, 1175. https://doi.org/10.3390/sym13071175
Feng F, Lei G. Research of Interaction between Ultra-Short Ultra-Intense Laser Pulses and Multiple Plasma Layers. Symmetry. 2021; 13(7):1175. https://doi.org/10.3390/sym13071175
Chicago/Turabian StyleFeng, Fang, and Gang Lei. 2021. "Research of Interaction between Ultra-Short Ultra-Intense Laser Pulses and Multiple Plasma Layers" Symmetry 13, no. 7: 1175. https://doi.org/10.3390/sym13071175
APA StyleFeng, F., & Lei, G. (2021). Research of Interaction between Ultra-Short Ultra-Intense Laser Pulses and Multiple Plasma Layers. Symmetry, 13(7), 1175. https://doi.org/10.3390/sym13071175

