Next Article in Journal
Midpoint Inequalities in Fractional Calculus Defined Using Positive Weighted Symmetry Function Kernels
Next Article in Special Issue
The Development of a Heterogeneous MP Data Model Based on the Ontological Approach
Previous Article in Journal
Partitioning Pattern of Natural Products Based on Molecular Properties Descriptors Representing Drug-Likeness
Previous Article in Special Issue
GLM-Based Flexible Monitoring Methods: An Application to Real-Time Highway Safety Surveillance
 
 
Font Type:
Arial Georgia Verdana
Font Size:
Aa Aa Aa
Line Spacing:
Column Width:
Background:
Article

Control Charts for Joint Monitoring of the Lognormal Mean and Standard Deviation

Department of Statistics, Feng Chia University, Taichung 40724, Taiwan
Symmetry 2021, 13(4), 549; https://doi.org/10.3390/sym13040549
Submission received: 27 January 2021 / Revised: 9 March 2021 / Accepted: 23 March 2021 / Published: 26 March 2021
(This article belongs to the Special Issue New Advances and Applications in Statistical Quality Control)

Abstract

The Shewhart X ¯ - and S-charts are most commonly used for monitoring the process mean and variability based on the assumption of normality. However, many process distributions may follow a positively skewed distribution, such as the lognormal distribution. In this study, we discuss the construction of three combined X ¯ - and S-charts for jointly monitoring the lognormal mean and the standard deviation. The simulation results show that the combined lognormal X ¯ - and S-charts are more effective when the lognormal distribution is more skewed. A real example is used to demonstrate how the combined lognormal X ¯ - and S-charts can be applied in practice.

1. Introduction

Control charts are widely used in statistical process control (SPC) for monitoring and detecting out-of-control processes. The research on constructing control charts for monitoring normal processes has been extensively studied. Most control charts are designed to monitor either the process mean or the process variability, but it is usually desirable to simultaneously monitor the process mean and the process variability because both may change at the same time. A change in the standard deviation usually leads to out-of-control signals on the mean chart. When the distribution of quality characteristics is normal, the Shewhart X ¯ -chart [1] is one of the most commonly used control charting techniques for monitoring the process mean, while the Shewhart S-chart is commonly used to monitor the process variability. However, in many manufacturing applications, the quality variable typically follows a positively skewed distribution, such as the lognormal distribution. For example, the percent viscosity increase (PVI) of an engine oil after it has been put to an accelerated aging test for a specific period of time is a critical quality dimension of engine oil in the automotive industry. Engineering experience indicates that the PVI follows a lognormal distribution. In this case, it is very important to simultaneously monitor the mean and the standard deviation of the PVI based on a lognormal distribution.
In general, the implementation of a control chart is done in two stages, also known as Phase I control and Phase II monitoring. In Phase I control, in order to evaluate the variation of the process over time, assess the process stability, and estimate the in-control process parameters, one collects and analyzes certain amounts of historical data. In Phase II monitoring, one collects data sequentially and monitors the process in real time to quickly detect changes in the process parameters.
In the literature, there have been several studies on constructing control charts for monitoring the lognormal mean or the lognormal standard deviation. In monitoring the lognormal mean, a modified control chart using the sample ratio was proposed by Morrison [2]. A control chart for monitoring the “geometric midrange” of a lognormal distribution was developed by Ferrell [3]. A control chart for sequentially testing the arithmetic mean of a lognormal distribution was constructed by Joffe and Sichel [4]. A simple heuristic method for constructing the X ¯ - and R- charts using the weighted variance (WV) method with no assumption on the form of the distribution was proposed by Bai and Choi [5]. Castagliola [6] proposed a new X ¯ control chart devoted to the monitoring of skewed populations. Huang et al. [7] discussed the control charts for the lognormal mean based on the confidence intervals of the lognormal mean. In monitoring the standard deviation, Abu-Shawiesh [8] presented a simple approach for robustly estimating the process standard deviation based on the median absolute deviation. Adekeye and Azubuike [9] derived the limits for control charts using the median absolute deviation for monitoring non-normal processes. Adekeye [10] proposed modified control limits based on the median absolute deviation. Huang et al. [11] proposed a control chart for monitoring the standard deviation of a lognormal process based on an approximate confidence interval of the lognormal standard deviation. Karagöz [12] proposed an asymmetric control limit for a range chart under a non-normal distributed process. Liao and Pearm [13] presented a modified weighted standard deviation index for the capability of a lognormal process. Shaheen et al. [14] presented a monitoring control chart based on lognormal process variation using a repetitive sampling scheme. Omar et al. [15] proposed an efficient approach for monitoring a positively skewed process. The control charts for jointly monitoring the mean and the standard deviation of a lognormal distribution are not as well established as those for a normal distribution. McCracken and Chakraborti [16] gave an overview of control charts for joint monitoring of the mean and variance. Yang [17] proposed a single-average loss control chart to monitor a process’s mean and variability. Chen and Lu [18] proposed a new sum-of-squares exponentially weighted moving average (SSEWMA) chart using auxiliary information—called the AIB-SSEWMA chart—for jointly monitoring the process mean and variability .
In this study, we discuss three combined X ¯ - and S-charts for jointly monitoring the mean and the standard deviation of a lognormal process: (1) The first combined charts are the conventional combined Shewhart X ¯ - and S-charts. (2) The second combined charts are constructed based on the median absolute deviation method. (3) The third combined charts are the combined lognormal X ¯ - and S-charts based on the methodologies studied in Huang et al. [7] and Huang et al. [11], respectively. The performances of these combined control charts are evaluated and compared in terms of the average run length (ARL), where the run length is defined as the number of samples taken before the first out-of-control signal alerts on a control chart [19].
The rest of this paper is organized as follows. The aforementioned combined X ¯ - and S-charts for jointly monitoring the lognormal mean and standard deviation are discussed in Section 2. Section 3 is devoted to assessing the performance of the combined X ¯ - and S-charts. A real example from the automotive industry is given in Section 4 to demonstrate how the aforementioned combined X ¯ - and S-charts can be used in practice. Concluding remarks are given in Section 5.

2. The Methodologies

In this section, we discuss three combined X ¯ - and S-charts for jointly monitoring the lognormal mean and the standard deviation. Let X i 1 , X i 2 , , X i n , i = 1 , 2 , , m , be m samples, each with size n, following the lognormal distribution with parameters μ and σ , with a probability density function
f ( x ) = 1 x 2 π σ e ( log x μ ) 2 2 σ 2 , x > 0 , < μ < , σ > 0
and, consequently, Y i j = log ( X i j ) , i = 1 , 2 , , m , j = 1 , 2 , , n , which follow a normal distribution with the mean, μ , and variance, σ 2 . Let θ and ξ denote the mean and the standard deviation of the lognormal distribution such that θ = e μ + σ 2 / 2 and ξ = ( e σ 2 1 ) e 2 μ + σ 2 .

2.1. The Combined Shewhart X ¯ - and S-Charts

The Shewhart X ¯ - and S-charts are based on the assumption that the distribution of the quality characteristic is normal. The upper control limit (UCL) and lower control limit (LCL) of the combined Shewhart X ¯ - and S-charts are given by
UCL S W x = θ + L x ξ n LCL S W x = θ L x ξ n
and
UCL S W s = c 4 ξ + L s ξ 1 c 4 2 LCL S W s = c 4 ξ L s ξ 1 c 4 2 ,
respectively, where L x and L s are multipliers chosen to satisfy a specific in-control chart performance and c 4 = ( 2 / ( n 1 ) ) 1 / 2 [ Γ ( n / 2 ) / Γ ( ( n 1 ) / 2 ) ] [1,19].
If the parameters θ and ξ are unknown, they can be estimated by θ ^ and ξ ^ using data obtained from Phase I control data. Let X ¯ i and S X ( i ) be the sample mean and sample standard deviation of the ith sample, i = 1 , 2 , , m , that is, X ¯ i = ( j = 1 n X i j ) / n and S X ( i ) = j = 1 n ( X i j X ¯ i ) 2 / ( n 1 ) , respectively. The sample grand mean is X ¯ ¯ = i = 1 m X ¯ i / m , and the average of the m standard deviations is S ¯ X = i = 1 m S X ( i ) / m . Then, the parameters θ and ξ are estimated by θ ^ S W = X ¯ ¯ and ξ ^ S W = S ¯ X / c 4 , respectively. Therefore, the control limits of the combined Shewhart X ¯ - and S-charts are estimated by
UCL S W x = X ¯ ¯ + L S W x S ¯ X c 4 n LCL S W x = X ¯ ¯ L S W x S ¯ X c 4 n ,
and
UCL S W s = S ¯ X + L S W s S ¯ X c 4 1 c 4 2 LCL S W s = S ¯ X L S W s S ¯ X c 4 1 c 4 2 ,
respectively, where L S W x and L S W s are multipliers that depend on n and the desired in-control average run length (ARL 0 ).
When Phase II joint monitoring begins, independent samples, each of size n, are repeatedly taken from the process. Assume that the true in-control parameter θ 0 and ξ 0 are equal to θ ^ S W and ξ ^ S W , respectively, for each sample, X 1 , X 2 , , X n ; one calculates X ¯ = ( j = 1 n X j ) / n and S X = j = 1 n ( X j X ¯ ) 2 / ( n 1 ) and plots X ¯ and S X against the sampling sequence, respectively. An out-of-control signal is detected when X ¯ is below LCL S W x or above UCL S W x , or when S X is below LCL S W s or above UCL S W s .

2.2. The Combined Median Absolute Deviation X ¯ - and S-Charts

The median absolute deviation (MAD), which measures the deviation of the data from the sample median, was first studied by Hampel [20]. It is a more robust scale estimator than the sample standard deviation and is often used as an initial value for computing more efficient and robust estimators. The MAD for a random sample, X 1 , X 2 , , X n , is defined as follows:
MAD = b × M e d i a n { | X i MD | } ,
where b is a constant used to make the estimator consistent for the parameter of interest and MD = M e d i a n { X i } is the sample median of X 1 , X 2 , , X n . If the sample observations are normally distributed, the constant b is equal to 1.4826, and the statistic b n MAD is an unbiased estimator of the standard deviation (Rousseeuw and Croux ) [21], where b n is a function of the sample size n; the values of b n were derived and tabulated in Abu-Shawiesh [8].
Based on the conventional Shewhart principle, when the parameters θ and ξ are unknown, they can be estimated by θ ^ and ξ ^ using data obtained from Phase I control data. Let MAD ¯ = i = 1 m MAD i / m be the average median absolute deviation, where MAD i is the median absolute deviation of the ith sample, i = 1 , 2 , , m . The parameter θ and ξ can be estimated by θ ^ M A D = X ¯ ¯ and ξ ^ M A D = b n MAD ¯ , respectively. Hence, the control limits of the combined X ¯ - and S-charts based on MAD are estimated by
UCL M A D x = X ¯ ¯ + L M A D x b n MAD ¯ n LCL M A D x = X ¯ ¯ L M A D x b n MAD ¯ n
and
UCL M A D s = c 4 b n MAD ¯ + L M A D s b n MAD ¯ 1 c 4 2 LCL M A D s = c 4 b n MAD ¯ L M A D s b n MAD ¯ 1 c 4 2 ,
respectively, where L M A D x and L M A D s are multipliers that depend on n and the desired ARL 0 .
When Phase II joint monitoring begins, independent samples, each of size n, are repeatedly taken from the process. For each sample, X 1 , X 2 , , X n , one calculates X ¯ = ( j = 1 n X j ) / n and b n MAD and plots X ¯ and b n MAD against the sampling sequence, respectively. An out-of-control signal is detected when X ¯ is below LCL M A D x or above UCL M A D x , or when b n MAD is below LCL M A D s or above UCL M A D s .

2.3. The Combined Lognormal X ¯ - and S-Charts

Based on the conventional Shewhart X ¯ -chart, if the parameters θ and ξ are unknown, they can be replaced by the estimators θ ^ and ξ ^ obtained from Phase I in-control data. According to Huang et al. [7], let Y ¯ i = j = 1 n Y i j / n and S Y ( i ) = j = 1 n ( Y i j Y ¯ i ) 2 / ( n 1 ) be the sample mean and the sample standard deviation of the ith sample, i = 1 , 2 , , m , respectively. The grand sample mean of Y is Y ¯ ¯ = i = 1 m Y ¯ i / m , and the average of the m standard deviations is S ¯ Y = i = 1 m S Y ( i ) / m . The parameters θ and ξ can be estimated by θ ^ L o g = e Y ¯ ¯ + S ¯ Y 2 / 2 and ξ ^ L o g = ( e S ¯ Y 2 1 ) e 2 Y ¯ ¯ + S ¯ Y 2 , respectively. Therefore, the control limits of the lognormal X ¯ -chart are estimated using
UCL L o g x = θ ^ L o g + L L o g x ξ ^ L o g n LCL L o g x = θ ^ L o g L L o g x ξ ^ L o g n ,
where L L o g x is set to satisfy a desired ARL 0 .
According to Huang, et al. [11], there are two cases for the standard deviation. For the first case of σ < 1 , the control limits of the lognormal S-chart are estimated using
UCL L o g s = Y ¯ ¯ + S ¯ Y 2 2 + log S ¯ Y + L L o g s S ¯ Y 2 n + S ¯ Y 4 2 ( n + 1 ) + ( n 4 ) 2 ( n 3 ) 2 + S ¯ Y 2 ( n 1 ) LCL L o g s = Y ¯ ¯ + S ¯ Y 2 2 + log S ¯ Y L L o g s S ¯ Y 2 n + S ¯ Y 4 2 ( n + 1 ) + ( n 4 ) 2 ( n 3 ) 2 + S ¯ Y 2 ( n 1 ) ,
where L L o g s is a multiplier that depends on n and the desired ARL 0 . For the second case of σ > 1 , the control limits of the lognormal S-chart are estimated using
UCL L o g s = Y ¯ ¯ + S ¯ Y 2 + L L o g s S ¯ Y 2 n + 2 S ¯ Y 4 n + 1 LCL L o g s = Y ¯ ¯ + S ¯ Y 2 L L o g s S ¯ Y 2 n + 2 S ¯ Y 4 n + 1 .
When Phase II joint monitoring begins, independent samples, each of size n, are repeatedly taken from the process. For each sample, Y 1 , Y 2 , , Y n , in the case of σ < 1 , one calculates and plots e Y ¯ + S Y 2 / 2 and Y ¯ + S Y 2 / 2 + log ( S Y ) against the sampling sequence, where Y ¯ = ( j = 1 n Y j ) / n and S Y = j = 1 n ( Y j Y ¯ ) 2 / ( n 1 ) . An out-of-control signal is detected if the plotting statistic e Y ¯ + S Y 2 / 2 is below LCL L o g x or above UCL L o g x , or when the plotting statistic Y ¯ + S Y 2 / 2 + log ( S Y ) falls below LCL L o g s or above UCL L o g s . For the case of σ > 1 , one computes and plots e Y ¯ + S Y 2 / 2 and Y ¯ + S Y 2 / 2 against the sampling sequence. An out-of-control signal is detected if the plotting statistic e Y ¯ + S Y 2 / 2 is below LCL L o g x or above UCL L o g x , or when the plotting statistic Y ¯ + S Y 2 / 2 falls below LCL L o g s or above UCL L o g s .
Remark 1.
The population standard deviation σ is usually unknown and needs to be estimated in practice. It can be estimated by utilizing data collected from Phase I control, when the process was in control. Based on the estimate, one can then decide whether to use Case I or Case II to construct the lognormal S-chart.

3. Chart Performance Evaluations and Comparisons

In this section, we conduct a simulation study to compare the performance of the combined lognormal X ¯ - and S-charts with the combined MAD X ¯ - and S-charts and the conventional Shewhart X ¯ - and S-charts in terms of the ARL.

3.1. Simulated Settings

Since E ( X ) = e μ + σ 2 / 2 , we set μ = σ 2 / 2 such that the mean of the lognormal distribution E ( X ) = 1 remains unchanged. Let ξ 0 = e σ 0 2 1 be the value of the in-control parameter. As discussed earlier, the control limits need to be determined using Phase I observations and will depend on σ 0 , the subgroup size n, and the number of Phase I samples m. Therefore, we approximate the control limits of the three combined X ¯ - and S-charts using simulations for various values of σ 0 and combinations of m = 50 and 100, as well as n = 5 and 10. The value of σ 0 is set to be between 0.2 and 2.0, with an increment of 0.2. The multipliers of the three combined control charts are calibrated to have an overall ARL 0 that is approximately equal to 370. Note that the considered ARL for the three combined control charts is conditional on the estimated UCL and LCL. Here, we describe how the simulation is conducted for the combined lognormal X ¯ - and S-charts, as it is similar for the other two combined charts. Given σ 0 , m, and n, the following steps are carried out:
Step 1: Choose a value of L L o g x and a value of L L o g s , and generate m independent samples of n observations each from a lognormal distribution with a mean of 1 and a standard deviation of ξ 0 . Compute the UCL L o g x and LCL L o g x , and calculate the UCL L o g s and LCL L o g s using either Equation (1) if σ 0 < 1 or Equation (2) if σ 0 1 .
Step 2: Repeatedly generate samples of n observations each from a lognormal distribution with a mean of 1 and standard deviation of ξ 0 . For each sample, calculate the two plotting statistics for the X ¯ -chart and S-chart, respectively. Then, evaluate whether the plotting statistic for the X ¯ -chart exceeds UCL L o g x or goes below LCL L o g x ; next, evaluate whether the plotting statistic for the S-chart exceeds UCL L o g s or goes below LCL L o g s . Stop when it does, and denote the number of samples generated by RL i .
Step 3: Repeat Step 2 5000 times, resulting in RL i , i = 1 , 2 , , 5000 . Calculate the simulated in-control average run length ARL s i m = i = 1 5000 R L i / 5000 .
Step 4: If ARL s i m 370 , stop. If ARL s i m 370 , return to Step 1. Choose a larger L S if ARL s i m < 370 and a smaller L S if ARL s i m > 370 .
The multipliers of the three combined X ¯ - and S-charts are given in Table 1 and Table 2 for different values of ξ 0 . Note that the multipliers of these three combined X ¯ - and S-charts increase when ξ 0 ( σ 0 ) increases.
Denote the out-of-control process parameters by θ 1 = θ 0 + a ξ 0 and ξ 1 = b ξ 0 , where a > 0 , b > 1 . Given ξ 0 = e σ 0 2 1 , we simulated the ARL 1 for the three combined charts in the same way as in Steps 2 and 3, which were mentioned earlier. The out-of-control ARLs (ARL 1 s) of the three combined X ¯ - and S-charts are summarized in Table 3 and Table 4 ( m = 50 ) and Table 5 and Table 6 ( m = 100 ).

3.2. Discussion of Results

According to the assessment of the numerical results summarized in Table 3, Table 4, Table 5 and Table 6, the combined lognormal X ¯ - and S-charts perform better than the other two combined X ¯ - and S-charts when σ 0 > 0.6 . Nevertheless, the ARL 1 s of the combined lognormal X ¯ - and S-charts are larger than those of the other two combined X ¯ - and S-charts when σ 0 < 0.6 . Note that smaller values of ξ 0 correspond to smaller values of σ 0 , under which the lognormal distribution is more symmetric. Therefore, when σ 0 is small, which means that the data are more symmetric, the combined lognormal X ¯ - and S-charts are less effective than the combined Shewhart X ¯ - and S-charts and the combined MAD X ¯ - and S-charts. On the other hand, as σ 0 becomes larger, the lognormal distribution becomes more skewed, thus making the combined lognormal X ¯ - and S-charts more effective in detecting changes in θ and ξ than the other two combined control charts.

4. Example from the Automotive Industry

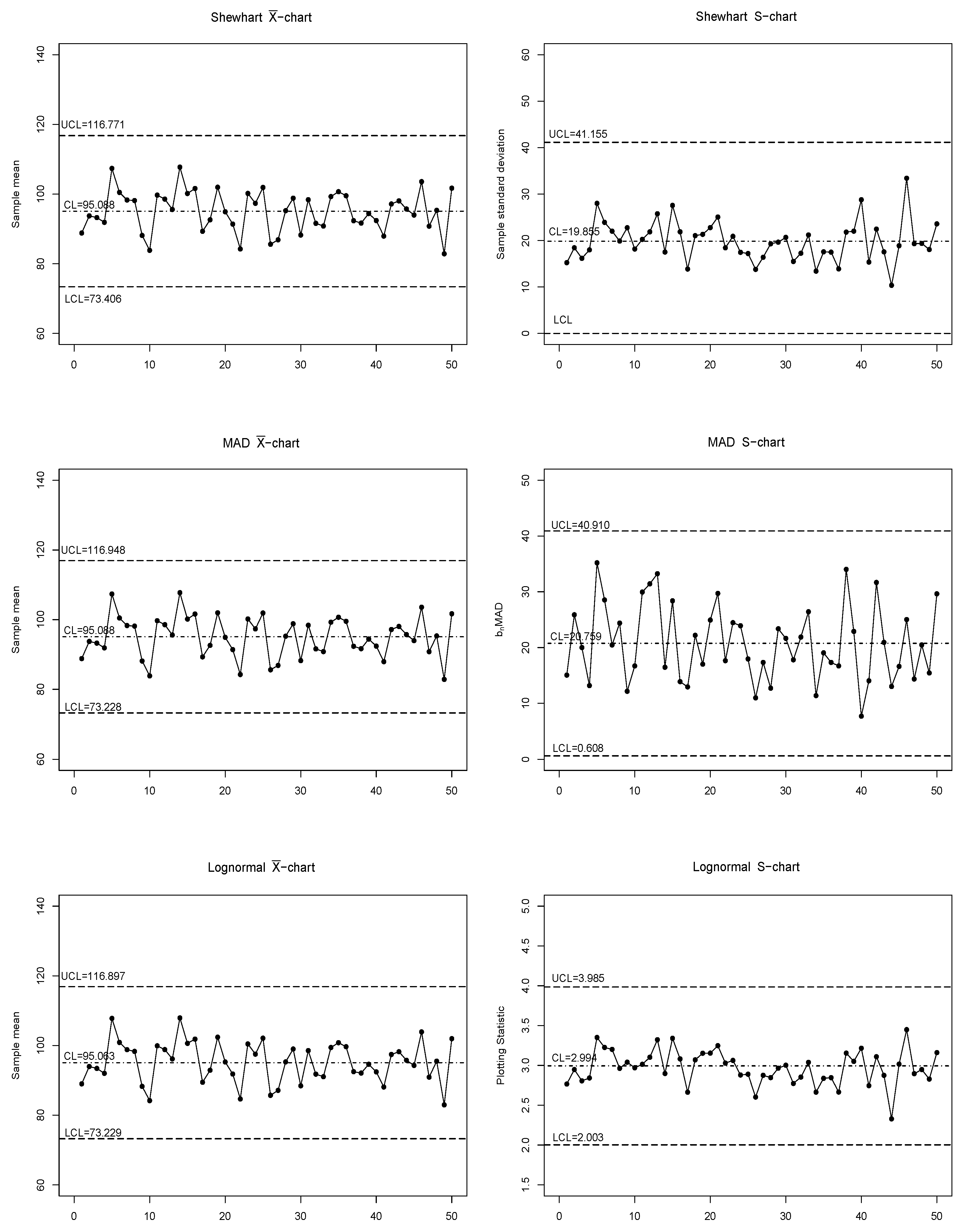
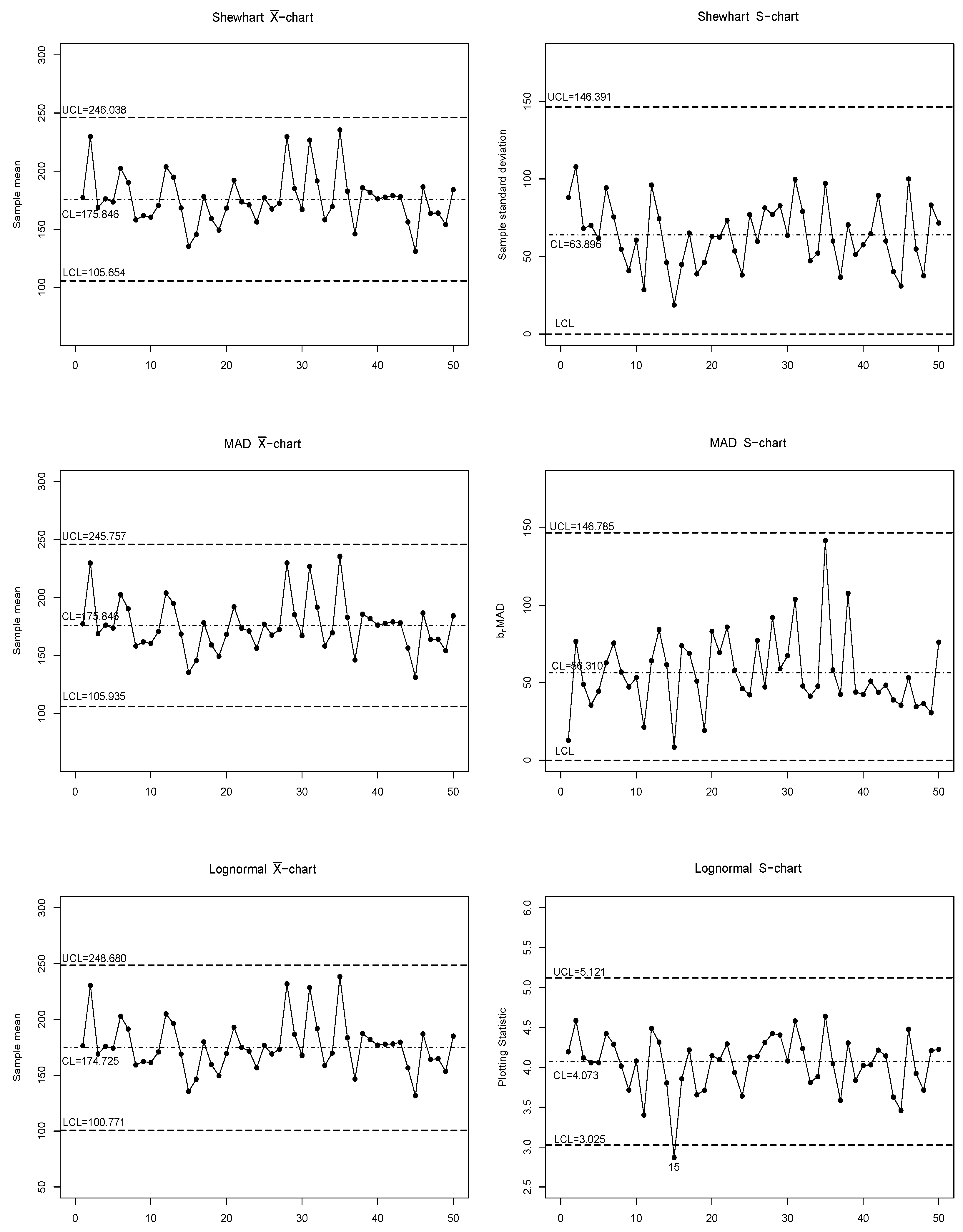
In this section, we present a real example to illustrate the applicability of the combined lognormal X ¯ - and S-charts. The ASTM D7320 Ref Oil Data were provided by the Test Monitoring Center [22]. In order to assess the engine oil quality, especially for new vehicles, the percent viscosity increase (PVI), which follows a lognormal distribution, needs to be tested. In this dataset, the quality of three reference oils—Ref Oils 434, 435, and 438—needs to be tested. We collected 50 samples, each of size 10, for each of these three reference oils, and used them to construct the Phase I control charts.
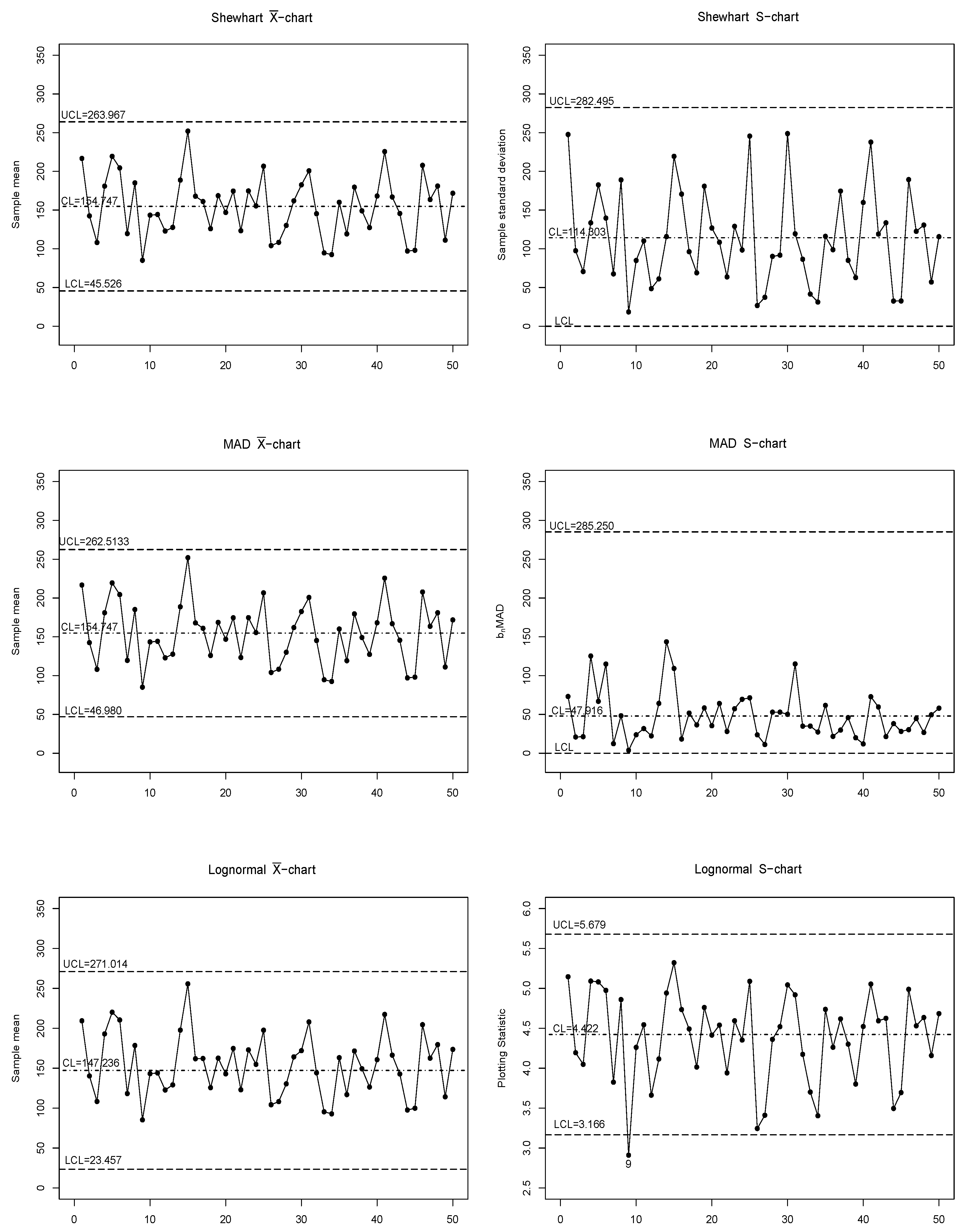
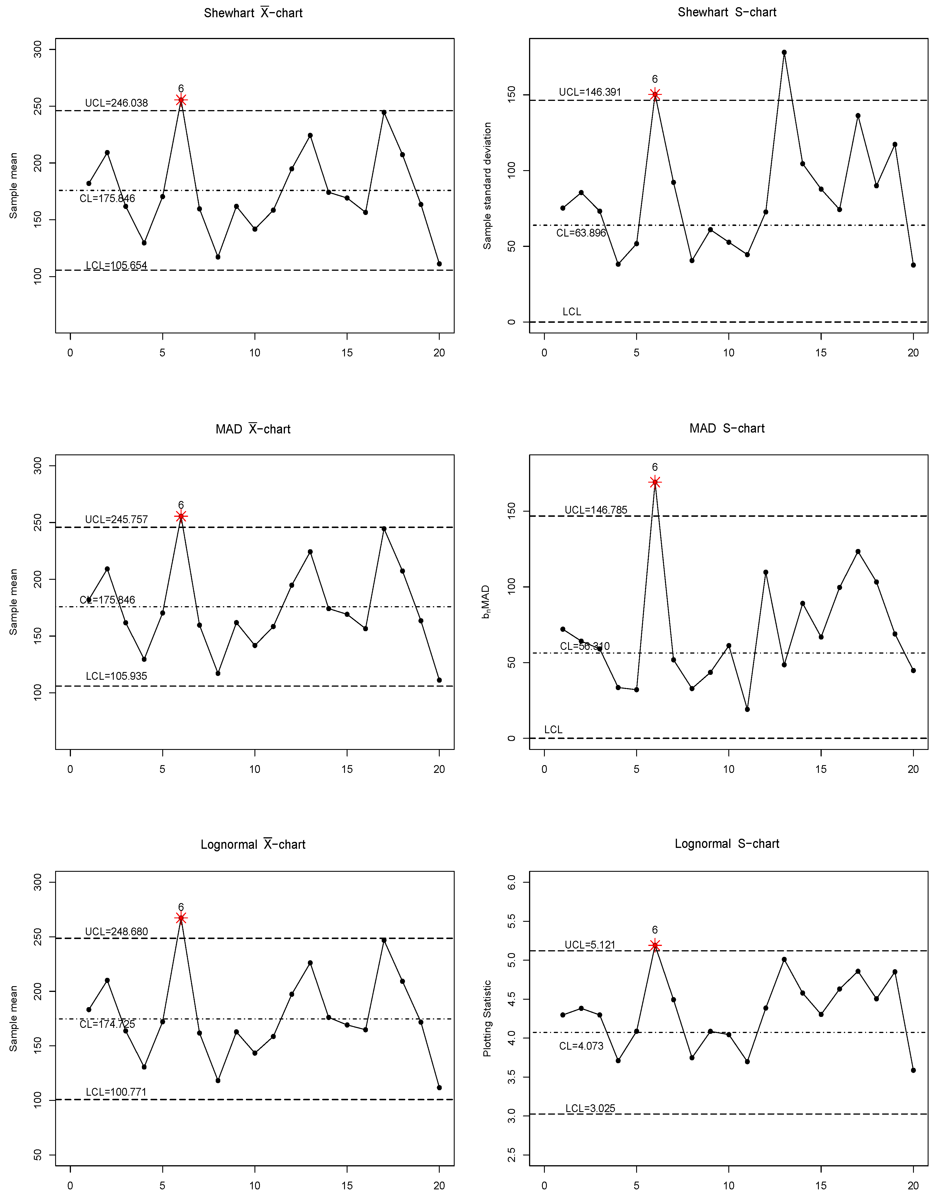
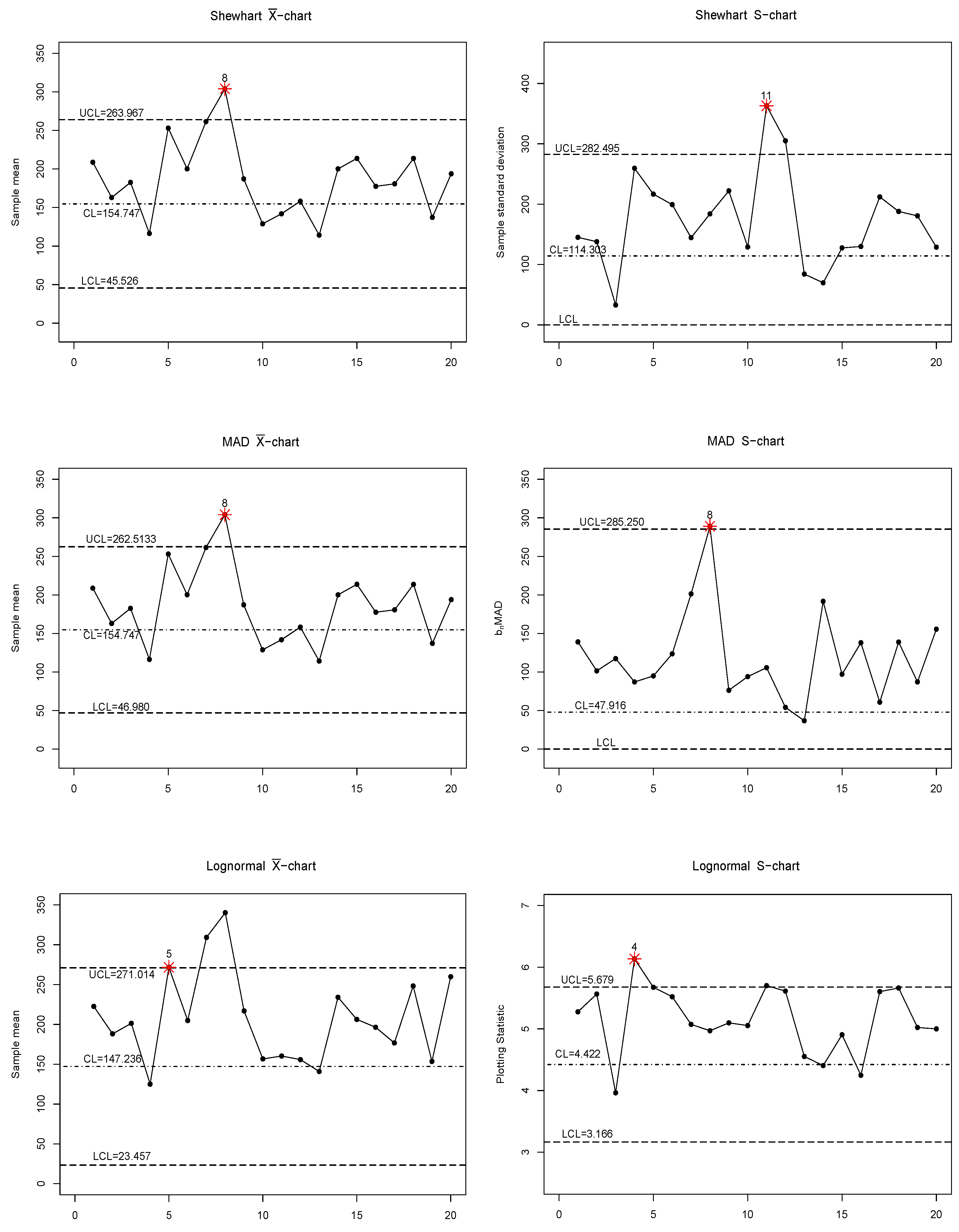
The multipliers of the three combined X ¯ - and S-charts were calibrated to have a Type I error approximately equal to 0.0027 in order to have a fair comparison. Summarized in Table 7 are the upper and lower control limits of the three combined X ¯ - and S-charts, the estimated means, and the estimated standard deviations of the PVI for the three reference oils. Figure A1, Figure A2 and Figure A3 show the three combined X ¯ - and S-charts for Ref Oils 434, 435, and 438, respectively.
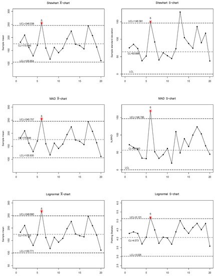
Neither the combined Shewhart X ¯ - and S-charts nor the combined MAD X ¯ - and S-charts showed any out-of-control samples for Ref Oil 434 (Figure A1). On the other hand, sample 9 was outside the control limits of the lognormal S-chart. Consequently, the control limits were recalculated without sample 9 for the Phase II joint monitoring of the combined lognormal X ¯ - and S-charts for Ref Oil 434. Similarly, there were no out-of-control samples in the combined Shewhart X ¯ - and S-charts or the combined MAD X ¯ - and S-charts for Ref Oil 435 (Figure A2), while sample 15 was out of control on the lognormal S-chart. Hence, the control limits of the combined lognormal X ¯ - and S-charts for Ref Oil 435 were recalculated without sample 15 for the Phase II joint monitoring. As for Ref Oil 438 (Figure A3), none of the three combined X ¯ -charts and S-charts showed any out-of-control samples.
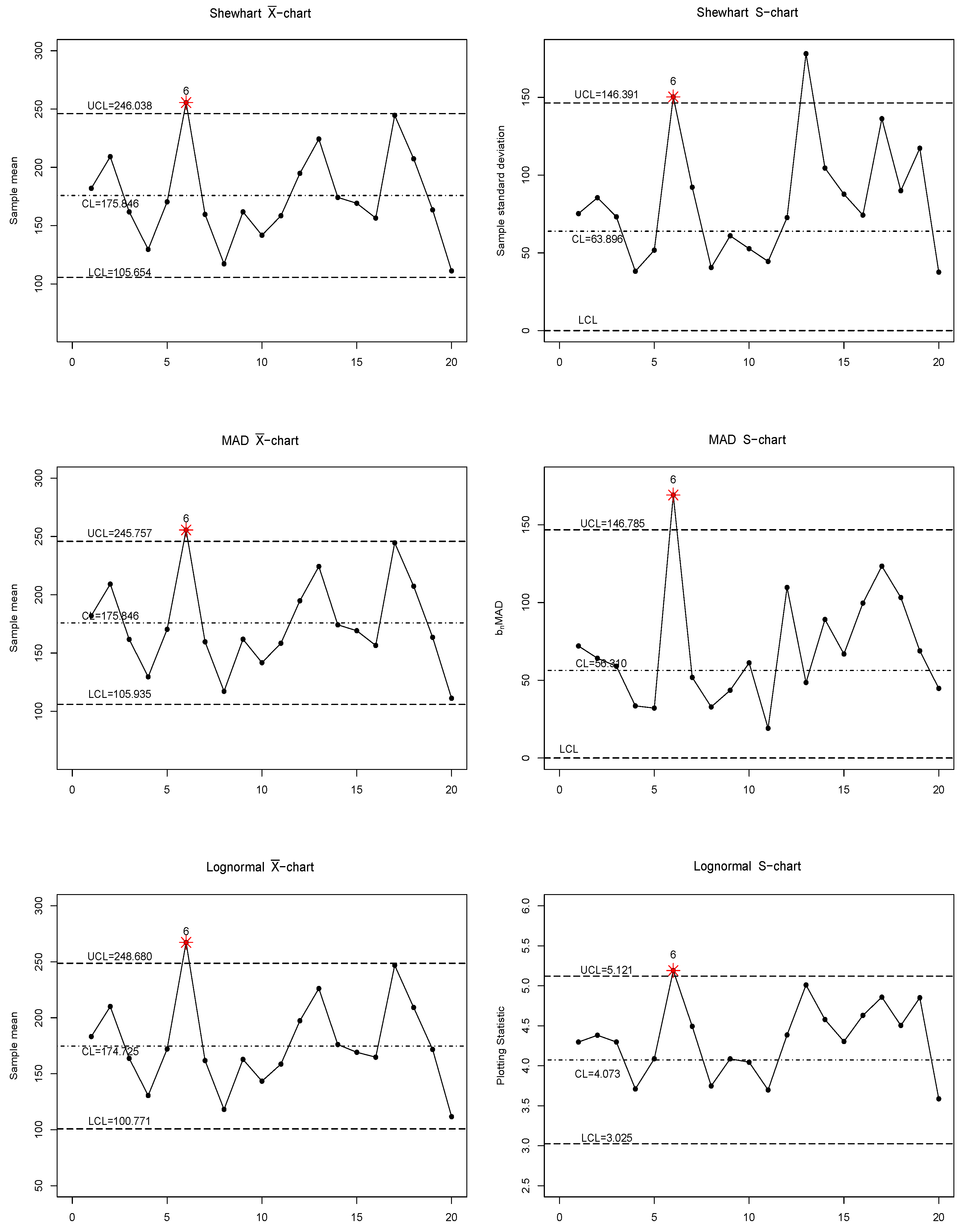
The sample mean and the sample standard deviation of the PVI calculated based on the Phase I samples were used as the “true mean" and the “true standard deviation", respectively, in the simulation process because the true population mean and population standard deviation were unknown. The mean and the standard deviation of the PVI were respectively assumed to be 154.747 and 127.376, 175.846 and 66.963, and 94.647 and 20.828 for Ref Oils 434, 435, and 438, respectively. For Phase II monitoring, 20 new samples with a subgroup size of 10 were generated when θ changed from θ 0 to θ 1 = θ 0 + ξ 0 and ξ changed from ξ 0 to ξ 1 = 2.5 ξ 0 . Note that the 20 new samples were computer simulated, not obtained from additional samples using the ASTM test method. All combined X ¯ - and S-charts were tuned to produce an overall ARL 0 that was approximately equal to 370. The resulting control charts for Ref Oils 434, 435, and 438 are shown in Figure A4, Figure A5 and Figure A6, respectively.
For Ref Oil 434 (Figure A4), the combined lognormal X ¯ - and S-charts detected out-of-control signals at samples 5 and 4 in the X ¯ - and S-charts, respectively, while the combined Shewhart X ¯ - and S-charts triggered at samples 8 and 11 in the X ¯ - and S-charts, respectively. In addition, out-of-control signals were detected at sample 8 in both the MAD X ¯ - and S-charts. For Ref Oil 435 (Figure A5), out-of-control signals were detected on sample 6 in both the Shewhart X ¯ - and S-charts and both the MAD X ¯ - and S-charts. At the same time, out-of-control signals also appeared at sample 6 in both the lognormal X ¯ - and S-charts. As for Ref Oil 438 (Figure A6), the combined Shewhart X ¯ - and S-charts detected out-of-control signals at samples 6 and 2 in the X ¯ - and S-charts, respectively, while the combined MAD X ¯ - and S-charts detected at sample 6 in both charts. In addition, out-of-control signals were detected at sample 6 in both the lognormal X ¯ - and S-charts.

5. Conclusions

In this study, we discuss the construction of three combined X ¯ - and S-charts for jointly monitoring the mean and the standard deviation of the lognormal distribution. The simulation studies show that the combined lognormal X ¯ - and S-charts have good performance when the underlying lognormal distribution is more skewed. The practical application of the combined lognormal X ¯ - and S-charts is also demonstrated in a real example.
The numerical results of the current work indicate that for skewed non-normal processes, it is possible to construct more effective control charts for monitoring the process mean, process variability, or both based on the actual process distribution. This is at least the case for lognormal processes. It would be worth it to investigate how to construct more effective control charts for other skewed non-normal processes.
Remark 2.
As for other skewed non-normal processes, the process mean or process variability may need to be approximated first, and these can be estimated using Phase I in-control data. Based on the conventional Shewhart X ¯ - and S-charts, one can construct the control limits of X ¯ - and S-charts for monitoring the process mean or process variability under other skewed non-normal processes.

Funding

This research was funded by by Ministry of Science and Technology, MOST 108-2118-M-035-005-MY3, Taiwan.

Institutional Review Board Statement

Not applicable.

Informed Consent Statement

Not applicable.

Data Availability Statement

The data presented in this study are available on request from the corresponding author.

Acknowledgments

The author would like to thank the editor and the reviewers for their valuable suggestions and constructive comments. The author also wants to thank Arthur B. Yeh at Bowling Green State University for his help and insightful suggestions.

Conflicts of Interest

The author declares no conflict of interest.

Appendix A

For Phase I, the three combined X ¯ - and S-charts are shown in Figure A1, Figure A2 and Figure A3 for Ref Oils 434, 435, and 438, respectively. For Phase II monitoring, the resulting control charts for Ref Oils 434, 435, and 438 are shown in Figure A4, Figure A5 and Figure A6, respectively.
Figure A1. The three combined X ¯ - and S-charts for the PVI of Ref Oil 434 in Phase I.
Figure A1. The three combined X ¯ - and S-charts for the PVI of Ref Oil 434 in Phase I.
Symmetry 13 00549 g0a1
Figure A2. The three combined X ¯ - and S-charts for the PVI of Ref Oil 435 in Phase I.
Figure A2. The three combined X ¯ - and S-charts for the PVI of Ref Oil 435 in Phase I.
Symmetry 13 00549 g0a2
Figure A3. The three combined X ¯ - and S-charts for the PVI of Ref Oil 438 in Phase I.
Figure A3. The three combined X ¯ - and S-charts for the PVI of Ref Oil 438 in Phase I.
Symmetry 13 00549 g0a3
Figure A4. The three combined X ¯ - and S-charts for the PVI of Ref Oil 434 in Phase II.
Figure A4. The three combined X ¯ - and S-charts for the PVI of Ref Oil 434 in Phase II.
Symmetry 13 00549 g0a4
Figure A5. The three combined X ¯ - and S-charts for the PVI of Ref Oil 435 in Phase II.
Figure A5. The three combined X ¯ - and S-charts for the PVI of Ref Oil 435 in Phase II.
Symmetry 13 00549 g0a5
Figure A6. The three combined X ¯ - and S-charts for the PVI of Ref Oil 438 in Phase II.
Figure A6. The three combined X ¯ - and S-charts for the PVI of Ref Oil 438 in Phase II.
Symmetry 13 00549 g0a6

References

  1. Shewhart, W.A. Economic quality control of manufactured product. Bell Syst. Tech. J. 1930, 9, 364–389. [Google Scholar] [CrossRef]
  2. Morrison, J. The lognormal distribution in quality control. Appl. Stat. 1958, 7, 160–172. [Google Scholar] [CrossRef]
  3. Ferrell, E.D. Control charts for lognormal universe. Ind. Qual. Control 1958, 15, 4–6. [Google Scholar]
  4. Joffe, A.D.; Sichel, H.S. A chart for sequentially testing observed arithmetic means from lognormal populations against a given standard. Technometrics 1968, 10, 605–612. [Google Scholar] [CrossRef]
  5. Bai, D.S.; Choi, I.S. X¯ and R control charts for skewed populations. J. Qual. Technol. 1995, 27, 120–131. [Google Scholar] [CrossRef]
  6. Castagliola, P. X¯ control chart for skewed populations using a scale weighted variance method. Int. J. Reliab. Qual. Saf. Eng. 2000, 7, 237–252. [Google Scholar] [CrossRef]
  7. Huang, W.H.; Wang, H.; Yeh, A.B. Control charts for the log-normal mean. Qual. Reliab. Eng. Int. 2016, 32, 1407–1416. [Google Scholar] [CrossRef]
  8. Abu-Shawiesh, M.O.A. A simple robust control chart based on MAD. J. Math. Stat. 2008, 4, 102–107. [Google Scholar]
  9. Adekeye, K.S. Modified simple robust control chart based on median absolute deviation. Int. J. Stat. Probab. 2012, 1, 91–95. [Google Scholar] [CrossRef]
  10. Adekeye, K.S.; Azubuike, P.I. Derivation of the limits for control charts using the median absolute deviation for monitoring non-normal process. J. Math. Stat. 2012, 8, 37–41. [Google Scholar]
  11. Huang, W.H.; Yeh, A.B.; Wang, H. A control chart for the log-normal standard deviation. Qual. Technol. Quant. Manag. 2018, 15, 1–36. [Google Scholar] [CrossRef]
  12. Karagöz, D. Asymmetric control limits for range chart with simple robust estimator under the non-normal distributed process. Math. Sci. 2018, 12, 249–262. [Google Scholar] [CrossRef]
  13. Liao, M.Y.; Pearn, W.L. Modified weighted standard deviation index for adequately interpreting a supplier’s lognormal process capability. Proc. Inst. Mech. Eng. Part B J. Eng. Manuf. 2019, 233, 999–1008. [Google Scholar] [CrossRef]
  14. Shaheen, U.; Azam, M.; Aslam, M. A control chart for monitoring the lognormal process variation using repetitive sampling. Qual. Reliab. Eng. Int. 2020, 36, 1028–1047. [Google Scholar] [CrossRef]
  15. Omar, M.H.; Arafat, S.Y.; Hossain, M.; Riaz, M. Inverse Maxwell Distribution and Statistical Process Control: An Efficient Approach for Monitoring Positively Skewed Process. Symmetry 2021, 13, 189. [Google Scholar] [CrossRef]
  16. McCracken, A.K.; Chakraborti, S. Control charts for joint monitoring of mean and variance: An overview. Qual. Technol. Quant. Manag. 2013, 10, 17–36. [Google Scholar] [CrossRef]
  17. Yang, S.F. Using a Single Average Loss Control Chart to Monitor Process Mean and Variability. Commun. Stat. Simul. Comput. 2013, 42, 1549–1562. [Google Scholar] [CrossRef]
  18. Chen, J.H.; Lu, S.L. A New Sum of Squares Exponentially Weighted Moving Average Control Chart Using Auxiliary Information. Symmetry 2020, 12, 1888. [Google Scholar] [CrossRef]
  19. Montgomery, D.C. Statistical Quality Control, 8th ed.; John Wiley & Sons (Asia) Pte. Ltd.: Hoboken, NJ, USA, 2019. [Google Scholar]
  20. Hampel, F.R. The influence curve and its role in robust estimation. J. Am. Stat. Assoc. 1974, 69, 383–393. [Google Scholar] [CrossRef]
  21. Rousseeuw, P.J.; Croux, C. Alternatives to the median absolute deviation. J. Am. Stat. Assoc. 1993, 88, 1273–1283. [Google Scholar] [CrossRef]
  22. D02 Committee. ASTM D7320 Test Method for Evaluation of Automotive Engine Oils in the Sequence IIIG, Spark-Ignition Engine; ASTM International: West Conshohocken, PA, USA, 2018. [Google Scholar]
Table 1. The multipliers of the three combined X ¯ - and S-charts based on different values of ξ 0 when the sample m = 50 with the subgroup size n = 5 and 10. (ARL 0 370 ).
Table 1. The multipliers of the three combined X ¯ - and S-charts based on different values of ξ 0 when the sample m = 50 with the subgroup size n = 5 and 10. (ARL 0 370 ).
n σ 0 ξ 0 ShewhartMADLognormal
X ¯ -ChartS-Chart X ¯ -ChartS-Chart X ¯ -ChartS-Chart
50.20.203.183.923.624.893.424.31
0.40.413.646.564.477.554.143.92
0.60.654.4110.435.8612.685.313.58
0.70.794.9711.535.9316.976.223.54
0.80.955.5112.417.1922.767.433.49
0.91.126.2714.6710.4926.488.853.51
1.01.317.1017.3013.1333.179.044.07
1.21.799.3723.9920.5956.4710.453.88
1.42.4711.7034.1234.3393.6611.233.74
1.63.4514.5344.2154.21150.3513.063.63
1.84.9519.8252.3185.53256.6424.563.51
2.07.3221.9864.76148.05427.1030.883.41
100.20.203.284.333.454.503.443.78
0.40.413.666.624.127.973.863.60
0.60.654.1410.905.3814.114.483.39
0.70.794.2811.205.9216.885.173.56
0.80.955.7714.247.8425.055.273.38
0.91.126.8816.749.9832.496.003.31
1.01.317.7019.6612.0644.176.124.13
1.21.798.3132.3122.6773.789.753.25
1.42.4710.4938.4934.0095.1110.863.26
1.63.4515.7048.7059.27161.3813.184.48
1.84.9520.4864.4897.42277.5323.993.09
2.07.3224.2871.28175.14485.2529.962.96
Table 2. The multipliers of the three combined X ¯ - and S-charts based on different values of ξ 0 when the sample m = 100 with the subgroup size n = 5 and 10. (ARL 0 370 ).
Table 2. The multipliers of the three combined X ¯ - and S-charts based on different values of ξ 0 when the sample m = 100 with the subgroup size n = 5 and 10. (ARL 0 370 ).
n σ 0 ξ 0 ShewhartMADLognormal
X ¯ -ChartS-Chart X ¯ -ChartS-Chart X ¯ -ChartS-Chart
50.20.203.433.983.655.193.624.31
0.40.413.846.674.688.644.253.72
0.60.654.6110.536.1614.285.813.68
0.70.795.0711.636.8318.776.623.56
0.80.955.6112.817.4926.567.633.69
0.91.126.7314.7711.3928.388.753.61
1.01.317.2017.5013.4343.179.044.02
1.21.799.7724.2121.5962.4710.253.95
1.42.4711.8035.1235.3398.6611.453.76
1.63.4514.6245.2156.41155.7514.623.66
1.84.9519.8953.5186.73266.4624.213.44
2.07.3222.1365.86150.05447.2330.263.23
100.20.203.484.673.255.523.643.48
0.40.413.976.944.328.173.843.67
0.60.654.4511.245.7815.114.883.46
0.70.794.9712.406.7217.885.473.23
0.80.955.6714.547.8226.056.273.28
0.91.126.9817.2411.7833.497.003.51
1.01.317.6020.5616.0646.178.124.04
1.21.798.2131.3132.6775.7811.453.63
1.42.4710.3837.5944.00107.1112.763.36
1.63.4515.6047.6063.27159.3818.384.25
1.84.9520.2863.78102.32272.5325.893.45
2.07.3225.3872.38165.14485.2531.663.99
Table 3. The ARL 1 s of the three combined X ¯ - and S-charts for different shift sizes a , b when the sample m = 50 with the subgroup size n = 5 under various values of in-control σ 0 ( θ 1 = θ 0 + a ξ 0 , ξ 1 = b ξ 0 ).
Table 3. The ARL 1 s of the three combined X ¯ - and S-charts for different shift sizes a , b when the sample m = 50 with the subgroup size n = 5 under various values of in-control σ 0 ( θ 1 = θ 0 + a ξ 0 , ξ 1 = b ξ 0 ).
σ 0 bMethoda σ 0 bMethoda
00.51.01.52.000.51.01.52.0
0.21Shewhart370.587633.13895.44091.73231.09330.71Shewhart370.3207155.774033.77426.51821.9279
MAD370.651433.05675.49741.73921.0953 MAD370.3010151.865832.73405.69431.2404
Lognormal370.667434.05495.56211.76871.1041 Lognormal370.9756155.466334.51196.39326.0618
1.5Shewhart9.41066.82893.39471.81611.2299 1.5Shewhart44.948627.204216.43694.39162.0714
MAD9.82326.84523.41301.82561.2240 MAD32.028225.757111.13323.55261.8292
Lognormal25.44099.48093.66921.91731.2532 Lognormal34.782933.373319.99159.12963.8278
2Shewhart3.23283.14042.43881.74801.3173 2Shewhart22.276414.23697.70263.90242.1394
MAD3.27273.11492.44671.74391.3165 MAD17.85509.82075.00022.60651.5831
Lognormal8.98185.67873.08961.89601.3359 Lognormal14.854613.73769.57225.67983.2390
2.5Shewhart2.01042.07381.87421.60141.3234 2.5Shewhart15.819410.50246.20643.68112.2267
MAD2.00802.07181.90711.59131.3477 MAD13.64988.00966.49872.62821.7091
Lognormal4.91184.08652.74001.87891.4099 Lognormal9.73877.94115.82262.55241.9664
3Shewhart1.53831.63151.59521.45781.3135 3Shewhart13.43768.62365.59123.51862.3480
MAD1.54131.64841.59611.46431.3094 MAD11.56357.09475.39553.70331.8276
Lognormal3.29983.25102.53331.92621.4989 Lognormal7.38326.97455.22483.41831.7068
0.41Shewhart370.852557.45009.46312.36751.19670.81Shewhart370.9561200.619451.749239.78975.5356
MAD370.770459.37969.74552.44111.2127 MAD370.1949172.523645.809333.60374.4000
Lognormal370.457864.750312.69923.04391.3340 Lognormal370.393089.483138.707128.62503.3813
1.5Shewhart23.206313.06985.33082.34981.3732 1.5Shewhart48.540333.150724.77075.83892.4189
MAD17.626611.91825.28322.36581.3923 MAD40.121029.455217.86045.17502.6354
Lognormal30.869114.34165.86282.61441.4868 Lognormal37.789019.618112.09743.63121.6426
2Shewhart9.05176.73474.06952.34761.5085 2Shewhart25.996717.12909.15854.69812.4421
MAD7.43805.91363.82702.29871.5223 MAD23.771712.39198.12074.04551.9666
Lognormal12.33457.62884.20172.42291.5861 Lognormal16.634311.23917.78953.52121.4357
2.5Shewhart5.60744.76083.40662.32251.6056 2.5Shewhart19.377912.32207.45594.23952.5540
MAD4.87284.20143.17592.25721.6220 MAD18.181210.08625.37103.02311.8996
Lognormal7.64145.43513.61752.35231.6571 Lognormal10.86579.37584.24062.56521.3031
3Shewhart4.27803.83543.01532.25371.7097 3Shewhart16.660910.24636.60534.07432.4744
MAD3.70983.43022.80592.14901.6486 MAD15.84638.97255.12003.03911.7997
Lognormal5.57524.46623.24162.31271.7068 Lognormal8.28148.40223.94982.34211.1035
0.61Shewhart370.7858107.630020.17444.17641.50400.91Shewhart370.8647272.188386.944617.14023.7232
MAD370.090398.922518.31333.94101.4588 MAD370.9004267.339182.782216.27533.6143
Lognormal370.9223163.399148.287210.04192.6444 Lognormal370.5228254.014973.126614.11212.7163
1.5Shewhart39.046921.91958.36763.41591.7065 1.5Shewhart57.491742.144820.22667.84313.1752
MAD39.931820.39958.03363.32911.6461 MAD58.561341.364719.59787.59683.1091
Lognormal42.287723.489112.09465.19262.3812 Lognormal41.261440.016912.39856.26382.8720
2Shewhart18.131411.73636.03493.20571.8352 2Shewhart32.829921.070111.76765.83443.0573
MAD14.847310.32345.72723.03291.8043 MAD33.077521.315211.62215.84412.9709
Lognormal13.730910.04706.80593.98592.3085 Lognormal18.761419.24999.63254.63762.4841
2.5Shewhart12.95158.49815.23653.13031.9703 2.5Shewhart24.955515.45999.05355.07482.9942
MAD10.44687.44284.76162.95651.9278 MAD24.751015.39808.93655.13982.9378
Lognormal8.83257.24784.16353.43082.2837 Lognormal12.305714.10527.70544.23122.1702
3Shewhart10.52337.22914.64843.09892.0432 3Shewhart21.551913.05718.07244.89443.0179
MAD8.63826.30104.34452.92961.9929 MAD21.701112.81857.84474.83212.9723
Lognormal6.54685.82884.10182.84632.2316 Lognormal9.397110.47186.07023.42031.4492
1.01Shewhart370.1082352.5607140.790429.43735.83231.61Shewhart370.6627197.5850137.9188124.428435.2713
MAD370.8587340.7272138.917428.92535.7747 MAD370.8194125.8934112.2759106.402839.2523
Lognormal370.8260305.0791108.371823.27035.1347 Lognormal370.620196.021085.502777.215528.8118
1.5Shewhart82.059253.125227.208110.59224.1476 1.5Shewhart188.006791.955557.272929.276419.8352
MAD79.199251.830626.279510.60954.2097 MAD168.624095.463361.988930.760818.8336
Lognormal62.295450.229724.647110.34234.0879 Lognormal124.062761.162255.838628.336817.0085
2Shewhart42.701126.338414.40867.32593.7441 2Shewhart139.793554.384128.797715.090014.5243
MAD41.144326.462314.66837.35093.6969 MAD126.960055.095830.578216.386014.0639
Lognormal35.154524.417613.69766.73833.5356 Lognormal76.982544.523829.472813.259512.6282
2.5Shewhart32.865519.627911.24506.25993.5027 2.5Shewhart120.026640.796421.088211.55719.2596
MAD31.734418.679211.14216.11923.5155 MAD109.631140.692022.200412.25558.7899
Lognormal26.770517.148010.68845.19283.4647 Lognormal33.798119.210117.765310.90528.2451
3Shewhart28.372416.45789.49515.64483.4626 3Shewhart108.833735.450717.707010.87807.8112
MAD27.035415.74929.45605.66253.4579 MAD99.715134.642218.329410.52077.1688
Lognormal22.824713.78558.27704.41953.3431 Lognormal21.602814.614112.57059.00145.9512
1.21Shewhart370.2070127.168593.034758.491928.21321.81Shewhart370.0281211.7618194.6514122.931944.5595
MAD370.1579112.983685.500750.807325.0635 MAD370.7778171.3655114.813097.499346.4308
Lognormal370.554173.500169.008242.936618.9995 Lognormal370.4372104.277196.386284.339836.3830
1.5Shewhart107.679180.843948.183631.034817.9942 1.5Shewhart228.2614105.204169.010736.885125.1169
MAD101.668274.359843.548728.988617.1623 MAD215.539996.268063.213239.692527.9185
Lognormal91.831358.852441.386226.248215.6045 Lognormal121.693467.509458.616235.534317.2989
2Shewhart68.644839.736123.213915.183813.8145 2Shewhart179.793861.050135.168928.906119.3550
MAD66.621538.440521.990514.294611.6379 MAD170.668059.168234.573427.285516.0695
Lognormal58.872833.682918.045712.302910.8368 Lognormal76.575844.874532.326922.317514.5751
2.5Shewhart55.099228.866016.622113.251811.1436 2.5Shewhart161.914947.649125.101418.81239.5373
MAD53.736927.482815.940612.861410.9320 MAD151.016441.117723.169919.849510.2423
Lognormal43.854324.954714.988210.71319.4383 Lognormal33.881326.573819.927217.59859.3929
3Shewhart48.372423.940813.73998.15597.7497 3Shewhart146.208840.975920.783812.63636.7109
MAD46.208423.324213.20617.77807.3648 MAD137.663538.510516.281211.85356.9841
Lognormal31.284221.529910.77226.00395.1424 Lognormal22.204517.496513.554210.95525.1279
1.41Shewhart370.2804234.3393150.270296.764651.63622.01Shewhart370.9529207.0595192.4963127.929556.2271
MAD370.1446186.6619114.497992.800245.9106 MAD370.7339195.0250139.961286.968050.1305
Lognormal370.3465141.092093.774981.309234.1376 Lognormal370.8155101.207094.861182.682443.7312
1.5Shewhart148.658988.856853.292724.81849.6825 1.5Shewhart244.1069108.341767.395338.473827.4324
MAD141.218198.189166.657632.989613.2180 MAD254.039595.273864.128835.142225.9771
Lognormal96.116348.542233.826222.72478.5101 Lognormal119.342965.082158.862633.853519.2322
2Shewhart102.347348.419426.620213.74687.8379 2Shewhart206.344660.053637.858328.406118.0862
MAD97.631051.942530.996517.07748.2794 MAD215.986259.224333.126727.228316.9412
Lognormal57.368832.296425.005711.76946.9322 Lognormal75.119745.771030.575522.205714.2517
2.5Shewhart85.287135.601319.533210.64025.8483 2.5Shewhart187.043448.195224.834818.31379.7941
MAD80.492837.791121.619112.31226.8970 MAD195.545741.982922.042518.65889.5545
Lognormal43.438224.600014.85379.95895.2384 Lognormal33.188525.732617.949716.01398.2033
3Shewhart75.891830.505216.16629.08085.4607 3Shewhart174.741040.457021.253912.80956.8517
MAD72.600431.563917.642710.34726.0633 MAD186.562636.942615.086411.92756.4438
Lognormal31.323021.768710.89158.38074.8195 Lognormal21.789916.696313.862010.01695.4363
Table 4. The ARL 1 s of the three combined X ¯ - and S-charts for different shift sizes a , b when the sample m = 50 with the subgroup size n = 10 under various values of in-control σ 0 ( θ 1 = θ 0 + a ξ 0 , ξ 1 = b ξ 0 ).
Table 4. The ARL 1 s of the three combined X ¯ - and S-charts for different shift sizes a , b when the sample m = 50 with the subgroup size n = 10 under various values of in-control σ 0 ( θ 1 = θ 0 + a ξ 0 , ξ 1 = b ξ 0 ).
σ 0 bMethoda σ 0 bMethoda
00.51.01.52.000.51.01.52.0
0.21Shewhart370.908119.32223.08851.14241.00140.71Shewhart370.276749.73354.65051.27101.0036
MAD370.425019.25602.41001.08701.0004 MAD370.478948.76924.73111.27121.0051
Lognormal370.729720.70563.29611.18971.0015 Lognormal370.3414180.611615.88442.28471.0673
1.5Shewhart7.40765.19282.08261.27321.0185 1.5Shewhart28.739813.53463.65391.45431.0426
MAD7.32965.08902.07581.20351.0163 MAD28.300713.41693.66031.46071.0384
Lognormal30.46347.40182.15681.29721.0273 Lognormal45.624123.17126.65342.18421.1719
2Shewhart2.18282.23551.79811.30801.0793 2Shewhart13.47187.99003.38611.61531.1009
MAD2.15412.13621.67531.25461.0509 MAD13.10967.93433.30071.61411.1088
Lognormal5.73114.08872.07131.31001.0886 Lognormal12.58326.69293.13162.15871.2745
2.5Shewhart1.38691.47331.38291.23611.0973 2.5Shewhart9.36896.96863.15511.71951.1860
MAD1.31811.44171.35631.20091.0765 MAD9.35836.97693.18261.71601.1855
Lognormal2.46952.42311.84011.34911.1048 Lognormal8.55676.01403.06901.41021.1690
3Shewhart1.17581.21331.20731.14811.0861 3Shewhart7.69015.18613.07731.81251.2640
MAD1.17131.21261.19081.13851.0701 MAD7.68315.12783.04481.78791.2610
Lognormal1.62971.70961.54741.32991.1476 Lognormal6.18544.90912.46111.40531.1318
0.41Shewhart370.276733.40373.21561.14991.00160.81Shewhart370.2878219.611327.24803.09301.1442
MAD370.908132.78843.08681.12571.0015 MAD370.9130231.943611.74551.84891.0291
Lognormal370.367534.35513.35071.16211.0017 Lognormal370.8994126.863510.51801.41611.0111
1.5Shewhart16.95368.88012.73101.30361.0224 1.5Shewhart47.636034.77419.80712.79041.2881
MAD16.57078.73602.72371.28941.0218 MAD46.306123.96436.23601.95961.1315
Lognormal33.98179.76272.78141.32311.0265 Lognormal38.365522.48356.16721.23221.1139
2Shewhart5.52294.50052.47011.42451.0749 2Shewhart23.316014.99017.04822.75211.3842
MAD5.41364.46322.46761.41111.0748 MAD22.110012.65334.92372.09221.2473
Lognormal8.33695.40502.56741.43851.0772 Lognormal14.306011.34614.71312.05611.1392
2.5Shewhart3.33962.98142.18631.50881.1405 2.5Shewhart15.39629.85425.54612.73331.5371
MAD3.28462.95302.17201.47401.1401 MAD15.25819.05204.42842.18821.3474
Lognormal4.14713.60422.35011.52471.1536 Lognormal8.88537.44733.95012.13921.3141
3Shewhart2.47182.40121.95371.52501.1983 3Shewhart13.17048.13014.70852.69731.6861
MAD2.44562.34291.94711.51231.1909 MAD12.29267.42194.16212.27081.4252
Lognormal2.84742.72562.12641.55191.1984 Lognormal7.04355.72023.66462.07421.4081
0.61Shewhart370.513552.04654.60721.26271.00340.91Shewhart370.0321249.021533.40064.95413.5103
MAD370.425057.42444.94321.29301.0045 MAD370.8518240.406915.03314.87663.3986
Lognormal370.429675.34786.75141.47391.0129 Lognormal370.9942206.445312.75133.74102.2861
1.5Shewhart31.580313.31333.52491.44111.0423 1.5Shewhart58.743639.473916.52384.72063.6789
MAD31.628014.12033.72931.48821.0489 MAD61.170338.969915.73334.68833.5494
Lognormal33.739114.79774.19321.64081.0699 Lognormal50.619623.752111.41193.41892.4456
2Shewhart13.23497.66553.25501.58791.1067 2Shewhart27.214620.790110.33424.99753.8407
MAD11.58937.68653.24831.52131.1011 MAD31.981318.81588.79834.45673.6840
Lognormal10.53237.63013.39551.70641.1516 Lognormal25.447912.26036.78443.98612.5404
2.5Shewhart8.52395.68413.07661.69091.1764 2.5Shewhart23.125613.52087.85763.70302.9191
MAD7.78605.51233.08671.73941.1980 MAD21.517111.92366.68453.94912.7285
Lognormal6.09735.09233.07571.76821.2296 Lognormal10.02449.02755.19022.76171.6205
3Shewhart6.75654.82212.89421.81931.2609 3Shewhart18.666010.50446.43443.48262.0193
MAD6.21304.51082.87191.81261.2415 MAD16.40259.76205.14703.92681.8118
Lognormal4.52943.84482.76361.80351.2935 Lognormal8.47417.63266.45022.64041.6675
1.01Shewhart370.6166332.8367188.956214.37272.03941.61Shewhart370.3005238.0582115.442733.447413.5167
MAD370.0342322.561171.50628.44271.6568 MAD370.0476214.9566105.595221.877312.6838
Lognormal370.0850302.215750.44465.39611.3435 Lognormal370.8943118.160875.021217.69847.3762
1.5Shewhart67.370768.059827.82416.76892.1004 1.5Shewhart154.070194.809442.017421.109811.0633
MAD63.423139.585021.11494.02921.7226 MAD149.515384.092234.750218.92868.5982
Lognormal50.417632.785412.11843.66011.4980 Lognormal86.686967.143424.218215.68607.9335
2Shewhart38.029826.565213.78815.25552.1974 2Shewhart106.367447.459920.454117.55179.9238
MAD36.979719.94378.56202.91631.8728 MAD99.367944.034617.917116.57487.5864
Lognormal22.885714.95197.14712.16471.5914 Lognormal79.844435.428814.619912.77015.8412
2.5Shewhart28.774717.22299.67874.67912.2443 2.5Shewhart83.630233.508515.119813.48128.8672
MAD27.043914.20566.41493.90891.8873 MAD82.937131.347113.215211.71666.6122
Lognormal15.34409.89095.51492.89821.6562 Lognormal60.309026.788711.05488.70664.0178
3Shewhart23.852913.32458.08334.28802.3511 3Shewhart74.557928.945812.46059.82497.8962
MAD22.621212.00435.73073.89151.9994 MAD71.501026.274711.43878.22525.6417
Lognormal12.02157.85314.67142.74701.7187 Lognormal49.844120.05747.15525.00352.2546
1.21Shewhart370.2590119.442395.704046.768623.63871.81Shewhart370.7331267.5101139.731199.835681.5189
MAD370.4981102.291588.062639.502121.6952 MAD370.9340218.7282111.279386.828873.7733
Lognormal370.198696.986175.170124.998515.2376 Lognormal370.3471152.802889.276676.324963.4091
1.5Shewhart111.246196.783144.821131.598423.0701 1.5Shewhart169.2932138.5298105.359485.599278.5866
MAD121.070485.562742.340125.664315.8411 MAD162.707997.196383.181371.910463.1722
Lognormal100.070475.342735.580719.027211.5984 Lognormal97.762386.312573.481261.262756.4756
2Shewhart65.477939.969420.31817.60312.8969 2Shewhart121.787282.294279.485856.728736.0529
MAD68.858031.577912.65124.58102.9623 MAD116.474179.329661.758548.130321.0153
Lognormal49.826529.956111.12363.63871.9623 Lognormal76.765651.315441.367731.465718.7674
2.5Shewhart49.785925.956113.78706.18832.8980 2.5Shewhart98.875852.802535.028621.763615.1767
MAD54.332022.57799.89304.26482.0798 MAD95.681945.583925.542216.614412.9906
Lognormal37.634518.60198.03983.07011.6952 Lognormal56.175539.433818.03709.29183.0296
3Shewhart42.043120.373511.12365.52262.9128 3Shewhart87.532833.542718.72339.80254.7402
MAD47.332018.72718.39364.05922.1918 MAD83.132429.500013.08076.04183.9906
Lognormal32.570812.54137.96633.00151.2411 Lognormal28.771117.069810.79234.69092.0893
1.41Shewhart370.0141224.6411140.227893.702348.81452.01Shewhart370.6166219.3423125.389089.502161.6925
MAD370.4412176.7376104.951490.507142.5477 MAD370.0342202.2915108.062686.768652.6387
Lognormal370.6708139.423895.234580.154232.1139 Lognormal370.0850149.850882.170164.998545.8041
1.5Shewhart131.439188.024435.300419.16519.6493 1.5Shewhart111.246196.986174.821165.664351.8411
MAD133.988582.278033.119918.58658.4798 MAD100.070485.562768.340158.598443.0801
Lognormal125.457675.792430.342316.73297.9722 Lognormal89.825660.970545.980239.329624.2376
2Shewhart83.496242.692118.47306.70875.6159 2Shewhart65.477939.969420.318117.60318.9623
MAD84.344541.356417.24056.21155.4942 MAD58.850831.577912.65179.58106.8969
Lognormal49.269927.676016.06025.75104.4475 Lognormal37.700922.570811.12365.02724.8957
2.5Shewhart67.180429.837013.45295.69884.6192 2.5Shewhart49.785925.956113.78707.60316.0798
MAD68.001628.427912.85305.38734.5376 MAD44.332022.57799.89304.26483.9128
Lognormal38.865426.391211.15614.88503.9722 Lognormal22.750718.60198.03983.93402.6015
3Shewhart57.701924.329611.29595.24082.7001 3Shewhart42.043120.373511.12365.52264.1918
MAD59.094723.775010.76985.06682.6163 MAD37.638518.72719.39364.05922.9238
Lognormal17.428914.45658.16513.23562.1152 Lognormal12.387210.54136.18833.05921.6532
Table 5. The ARL 1 s of the three combined X ¯ - and S-charts for different shift sizes a , b when the sample m = 100 with the subgroup size n = 5 under various values of in-control σ 0 ( θ 1 = θ 0 + a ξ 0 , ξ 1 = b ξ 0 ).
Table 5. The ARL 1 s of the three combined X ¯ - and S-charts for different shift sizes a , b when the sample m = 100 with the subgroup size n = 5 under various values of in-control σ 0 ( θ 1 = θ 0 + a ξ 0 , ξ 1 = b ξ 0 ).
σ 0 bMethoda σ 0 bMethoda
00.51.01.52.000.51.01.52.0
0.21Shewhart370.901655.36507.99032.14971.16000.71Shewhart370.5071190.450740.80537.83222.1362
MAD370.839536.40775.81711.79331.1031 MAD370.5397121.773925.11645.19801.6975
Lognormal370.988645.05887.09022.03231.1483 Lognormal370.6082136.881544.31887.53372.3633
1.5Shewhart10.68028.00564.09352.07771.3079 1.5Shewhart46.499530.402812.72284.86212.2102
MAD11.11297.69723.64331.89041.2454 MAD44.733924.73699.87573.85461.8598
Lognormal33.408811.60914.22571.99961.2921 Lognormal39.612941.539226.618212.35815.2618
2Shewhart3.47103.32372.65421.90401.4031 2Shewhart23.221815.14498.43454.13782.2363
MAD3.65313.43622.56171.79701.3341 MAD23.112713.67087.00703.53821.9994
Lognormal10.39746.55543.44822.01291.3937 Lognormal16.015615.349511.72256.86553.9728
2.5Shewhart2.10172.16871.97071.67461.3802 2.5Shewhart16.720410.85946.59213.78492.3460
MAD2.14332.21851.97411.65671.3601 MAD16.586310.25855.89613.36822.1043
Lognormal5.55674.53143.03732.01221.4773 Lognormal10.14409.13085.63682.25422.4445
3Shewhart1.63061.71651.65691.50191.3519 3Shewhart13.51889.21795.86143.69142.4272
MAD1.62481.72181.69211.52811.3418 MAD13.65608.62575.43033.34492.1905
Lognormal3.63753.52842.70082.03851.5424 Lognormal7.71647.23595.22973.22551.1370
0.41Shewhart370.931479.632812.27282.82661.29170.81Shewhart370.6176226.207657.989410.99072.7017
MAD370.615180.411812.24182.84651.2809 MAD370.4988190.574545.44558.56142.5818
Lognormal370.452869.983513.93383.35361.3719 Lognormal370.0727151.715641.90227.10192.3817
1.5Shewhart24.698815.04836.07972.62831.4666 1.5Shewhart50.304335.473015.86586.05612.5915
MAD24.326514.78106.13792.61621.4618 MAD46.028022.736512.05705.64481.7684
Lognormal31.547115.22856.19152.77231.5222 Lognormal41.812419.467710.90223.79741.5586
2Shewhart9.57957.29274.44702.54351.6030 2Shewhart27.282618.00429.81944.91932.6158
MAD9.50197.21794.38812.51761.6043 MAD26.940613.84086.76503.35381.9191
Lognormal12.27907.84054.36082.52411.6365 Lognormal16.634311.23917.78953.52121.4357
2.5Shewhart5.97495.07623.57732.45511.6784 2.5Shewhart20.177412.91577.78804.41822.5975
MAD5.93514.91813.58552.44071.6972 MAD21.334011.24235.86433.29891.9985
Lognormal7.23735.56493.62872.43761.6918 Lognormal10.86579.37584.24062.56521.3031
3Shewhart4.53624.03793.15492.37041.7642 3Shewhart17.241310.79906.75314.16982.6189
MAD4.49153.91633.11282.33441.7743 MAD18.08769.79645.58393.29152.1099
Lognormal5.13664.40693.24182.38351.7602 Lognormal9.14918.95754.40752.56521.9797
0.61Shewhart370.5410145.930827.03655.26731.72980.91Shewhart370.1778217.3113155.466430.37905.9278
MAD370.1480131.092024.67614.87231.6460 MAD370.0360244.3086162.059831.44556.0325
Lognormal370.8481277.004998.033919.42984.1632 Lognormal370.0608154.636973.146014.52914.2504
1.5Shewhart42.478025.266410.02903.90441.8515 1.5Shewhart63.640652.417326.870910.76474.1776
MAD38.457723.32329.45203.74501.8142 MAD69.131554.519628.396711.09394.2536
Lognormal39.639632.761117.06427.19423.1687 Lognormal41.778550.133122.47498.37122.5544
2Shewhart19.215512.92576.78233.51951.9833 2Shewhart35.164324.408014.39967.26393.6934
MAD17.621711.60096.55693.38241.9531 MAD38.350625.297214.87977.50303.7330
Lognormal15.96110.29098.54284.90312.8063 Lognormal28.998219.36269.41044.63762.4841
2.5Shewhart13.38619.18545.61613.26642.1017 2.5Shewhart26.160616.997310.43196.13943.4947
MAD12.14518.54035.38023.23152.0240 MAD28.113618.106010.86466.17373.5424
Lognormal9.44198.24744.16353.43082.2837 Lognormal12.305714.10527.31494.44522.4151
3Shewhart10.91077.61344.96263.23672.1613 3Shewhart22.313614.00408.84615.54313.3768
MAD9.99147.06734.76583.15132.1580 MAD24.163814.80699.29245.61403.4644
Lognormal6.98496.47894.17552.86352.5278 Lognormal9.914410.32776.09993.07262.3151
1.01Shewhart370.7898265.2932150.566071.534539.27001.61Shewhart370.2438195.3295132.0411122.940033.3969
MAD370.6102222.7192133.887270.054038.1148 MAD370.1108145.6593110.9581109.255845.6967
Lognormal370.6248156.4460110.845265.848130.0903 Lognormal370.6363101.422087.153770.855135.8838
1.5Shewhart83.811665.254257.498641.127624.3316 1.5Shewhart181.9572105.907262.020631.980819.8443
MAD73.691961.570250.596142.186524.7968 MAD179.8638103.997561.266436.621218.8419
Lognormal64.098557.996544.466534.842121.9756 Lognormal126.126369.188855.713030.778818.2854
2Shewhart52.811336.647425.249117.526716.7747 2Shewhart135.704960.973531.252729.195614.8769
MAD55.075630.647226.454518.126617.9899 MAD136.436757.604833.219128.371914.3049
Lognormal47.573621.785220.908116.074815.9452 Lognormal78.434347.167327.606125.727912.6375
2.5Shewhart32.680519.912017.433614.370912.5456 2.5Shewhart119.075249.255425.780918.89699.9685
MAD33.360322.356616.103014.647412.8234 MAD115.874843.729124.499717.43378.4911
Lognormal31.308513.638812.426411.60889.7954 Lognormal35.044627.799421.026820.84167.5749
3Shewhart28.876916.427910.72908.81036.5993 3Shewhart104.260838.153616.297011.49216.5133
MAD26.467918.765710.46808.01096.7217 MAD104.665136.508816.492611.56696.6382
Lognormal19.821210.33069.07987.29235.5481 Lognormal22.851518.720914.286610.70945.0796
1.21Shewhart370.6953125.936594.822457.322228.75611.81Shewhart370.5018210.4511189.5219125.139152.1819
MAD370.2559126.239685.012547.574723.0003 MAD370.7394178.2020135.811986.999548.8297
Lognormal370.314085.508571.608141.930020.3709 Lognormal370.2277106.468995.090682.050139.9855
1.5Shewhart119.661889.374657.644236.464419.9191 1.5Shewhart232.4151104.799767.806137.192227.8138
MAD112.901190.282154.015133.960419.1557 MAD219.665594.773165.692636.151928.2529
Lognormal90.849655.571342.779825.430517.6912 Lognormal122.421268.715657.976433.075518.5322
2Shewhart71.719943.161226.227618.549916.8099 2Shewhart186.265862.648834.240328.689819.2206
MAD76.066544.258925.705917.998015.4376 MAD178.982360.733535.417226.904016.2140
Lognormal58.032432.568924.082216.666914.0492 Lognormal76.672144.421932.887724.762414.3078
2.5Shewhart55.786030.971118.157710.46919.7772 2.5Shewhart164.641347.456724.673118.47389.4022
MAD61.556731.841717.929510.97199.6001 MAD153.084840.138521.490819.24269.5480
Lognormal43.537524.601714.09669.70048.5674 Lognormal33.895126.747518.904217.95908.7293
3Shewhart48.552325.058614.88908.98937.4467 3Shewhart150.859140.657720.934612.74426.5993
MAD52.846126.182314.84738.60697.1718 MAD142.660836.466216.523811.03326.1295
Lognormal31.143621.162210.27867.59856.5434 Lognormal22.332717.447813.653610.48805.7888
1.41Shewhart370.4344223.8190147.808696.442060.06542.01Shewhart370.6947203.4288191.9267128.000356.1778
MAD370.6994166.2400112.853692.044458.0154 MAD370.6296196.2946137.008989.670252.0158
Lognormal370.8020141.115694.130684.985742.8454 Lognormal370.4300105.864594.633782.169244.5951
1.5Shewhart155.611993.907877.693757.828343.8482 1.5Shewhart241.0581107.732767.734139.398129.4795
MAD154.8240110.455874.975158.426845.2447 MAD261.183699.465166.526036.265426.2014
Lognormal96.505149.259675.353149.217933.8839 Lognormal120.158265.429258.126332.407719.1157
2Shewhart109.545550.441838.020724.784217.3182 2Shewhart208.673460.946537.825728.349519.0270
MAD106.929555.746234.124228.495619.4324 MAD225.246457.033734.892030.716915.1717
Lognormal57.220732.100525.336922.686217.2442 Lognormal75.685143.794032.810124.698314.8541
2.5Shewhart89.481837.298429.973816.014012.2008 2.5Shewhart186.158849.453424.767517.29469.8132
MAD86.378440.608526.249916.116711.4734 MAD205.697743.718021.337119.09199.7325
Lognormal43.507324.870119.072715.166910.3011 Lognormal33.358926.695018.595617.61088.0072
3Shewhart80.344132.090919.88869.46557.6233 3Shewhart178.393040.306523.118113.81966.8294
MAD76.737333.639819.06779.08367.6451 MAD191.893335.621116.358911.02416.5674
Lognormal31.647521.594815.80648.70315.5612 Lognormal22.129217.351513.867710.81215.5185
Table 6. The ARL 1 s of the three combined X ¯ - and S-charts for different shift sizes a , b when the sample m = 100 with the subgroup size n = 10 under various values of in-control σ 0 ( θ 1 = θ 0 + a ξ 0 , ξ 1 = b ξ 0 ).
Table 6. The ARL 1 s of the three combined X ¯ - and S-charts for different shift sizes a , b when the sample m = 100 with the subgroup size n = 10 under various values of in-control σ 0 ( θ 1 = θ 0 + a ξ 0 , ξ 1 = b ξ 0 ).
σ 0 bMethoda σ 0 bMethoda
00.51.01.52.000.51.01.52.0
0.21Shewhart370.624919.27232.21091.06841.00080.71Shewhart370.336551.16714.79681.29131.0028
MAD370.385021.27392.34871.07841.0006 MAD370.058749.36594.74281.26401.0024
Lognormal370.429219.77562.26021.07351.0005 Lognormal370.9749180.564416.09722.26851.0657
1.5Shewhart7.71605.07172.09341.18981.0170 1.5Shewhart28.508013.64603.76221.44791.0384
MAD7.20934.99792.14671.20101.0173 MAD28.137113.41433.66481.46111.0406
Lognormal30.14367.34062.21091.19981.0169 Lognormal45.794323.34596.60402.18621.1875
2Shewhart2.23452.16821.67631.23781.0501 2Shewhart13.72868.04363.36371.60531.1107
MAD2.17432.09581.66991.25581.0532 MAD13.59567.85843.31851.60461.1128
Lognormal5.78474.02582.08271.29281.0538 Lognormal12.88046.99183.17592.14161.2866
2.5Shewhart1.42761.46771.36771.20791.0731 2.5Shewhart9.55166.07133.21891.72161.1954
MAD1.39951.45021.36421.19981.0730 MAD9.28345.91713.23141.71641.1830
Lognormal2.41742.43731.84501.35551.1086 Lognormal8.45915.59183.07701.44871.1772
3Shewhart1.18571.24031.20881.14241.0741 3Shewhart7.84045.19233.05701.83951.2752
MAD1.16321.20811.19471.13691.0713 MAD7.78735.13563.01861.80811.2748
Lognormal1.60681.70711.56251.31511.1410 Lognormal6.07194.23012.48871.43181.1206
0.41Shewhart370.882331.18203.02101.12391.00160.81Shewhart370.0325314.462428.27373.07551.1245
MAD370.723831.83053.09781.13241.0018 MAD370.8596234.678411.72981.84161.0301
Lognormal370.620733.70483.33261.16331.0013 Lognormal370.9259165.426910.35961.37421.0721
1.5Shewhart16.47818.68952.70611.29291.0212 1.5Shewhart45.351734.46829.97482.87611.2806
MAD16.81068.83972.73701.29251.0233 MAD47.014723.99186.29542.01531.1324
Lognormal32.75009.70972.75321.30711.0288 Lognormal39.359222.79616.13861.23251.1107
2Shewhart5.37454.35862.46421.42071.0804 2Shewhart21.208815.20766.77672.73381.4012
MAD5.45504.35632.48161.42671.0788 MAD21.890012.81294.95662.06591.2372
Lognormal8.00225.40402.55221.40121.0767 Lognormal14.782410.80084.71312.05591.1397
2.5Shewhart3.27142.93472.15431.47691.1337 2.5Shewhart14.692310.05345.47292.64091.5307
MAD3.26653.01372.16951.48691.1417 MAD15.09958.98754.51712.17021.3516
Lognormal4.08563.56772.34841.49541.1398 Lognormal8.72937.20874.04102.10911.3169
3Shewhart2.42502.35001.96271.48901.1919 3Shewhart12.11798.07844.83062.71871.6479
MAD2.46732.37081.94951.50131.2025 MAD12.62447.69724.11632.24831.4278
Lognormal2.80582.67812.07161.54761.1946 Lognormal6.54495.57643.57522.16661.4626
0.61Shewhart370.876749.10994.45521.25161.00430.91Shewhart370.1426247.232032.19644.43733.6033
MAD370.565556.60094.94191.28111.0047 MAD370.4514236.108112.82844.33733.6567
Lognormal370.976571.29616.49501.44601.0111 Lognormal370.2022206.985711.89983.96672.0657
1.5Shewhart31.277413.15733.49871.42281.0377 1.5Shewhart59.312539.014511.67384.18133.7827
MAD28.152613.65703.68701.48581.0456 MAD66.084732.537511.99194.41833.7991
Lognormal32.149314.45544.02551.58421.0644 Lognormal58.931822.630610.54913.85112.4525
2Shewhart13.06247.59763.18381.57031.1053 2Shewhart28.654519.39209.23414.23313.9003
MAD11.40527.54593.33091.60581.1172 MAD31.429418.07189.82144.38663.9219
Lognormal10.30267.32743.38511.69391.1417 Lognormal20.498812.78089.08113.16372.3557
2.5Shewhart8.49865.68313.04321.68551.1817 2.5Shewhart20.369112.08388.63513.86592.0091
MAD7.68015.51033.08271.71701.1947 MAD22.030412.25308.42833.92742.0054
Lognormal5.96654.90542.98331.75951.2095 Lognormal11.995010.11098.10453.19481.2632
3Shewhart6.77454.64492.89741.76411.2630 3Shewhart16.753010.93426.95113.67622.0894
MAD6.23634.45832.96001.82471.2862 MAD17.822610.87347.05973.76132.1485
Lognormal4.46063.76182.71331.77071.2931 Lognormal8.77757.47086.24982.71671.2442
1.01Shewhart370.5876332.1389188.440914.73232.09331.61Shewhart370.0288242.4147116.253334.873214.7930
MAD370.6514322.056771.47948.73921.2240 MAD370.9365218.1352106.310022.960512.2699
Lognormal370.6674302.054950.36215.76871.0941 Lognormal370.7202116.242873.041518.74359.1231
1.5Shewhart68.410665.059828.82417.76892.8004 1.5Shewhart157.762495.884144.034022.711712.1041
MAD64.823241.585022.11495.02922.1226 MAD147.032185.761634.500119.12799.7572
Lognormal50.440932.480912.25013.74001.5421 Lognormal87.656668.050822.817915.83598.2282
2Shewhart39.029828.545215.75816.23552.5974 2Shewhart108.398548.842521.422916.13699.8969
MAD37.979721.946711.56204.91631.9728 MAD98.021744.100418.089815.73918.0819
Lognormal22.885713.95198.14713.16471.6924 Lognormal76.146634.028615.095612.76287.9336
2.5Shewhart28.774718.222910.67874.64412.2333 2.5Shewhart81.676832.014414.714314.37188.0394
MAD27.043915.20567.41493.92391.2373 MAD82.732333.949414.118412.21877.7398
Lognormal15.34409.85695.54592.78821.2532 Lognormal60.889625.563312.71889.24436.9013
3Shewhart24.842915.12458.67334.34802.3341 3Shewhart72.180327.570413.516710.46517.6024
MAD23.641213.00435.73563.34151.9344 MAD71.804326.574012.16199.00306.6019
Lognormal12.02158.45314.63142.74501.7123 Lognormal48.987821.66158.01257.92845.4146
1.21Shewhart370.7639118.762196.094144.228124.86361.81Shewhart370.9133270.6285138.2420100.583780.5336
MAD370.6381102.547389.072540.768622.5156 MAD370.7464220.9564116.662786.477973.0828
Lognormal370.612593.175778.241823.302616.5286 Lognormal370.0479155.700891.847976.850665.5048
1.5Shewhart125.523893.355343.241332.483023.6877 1.5Shewhart167.7768139.3215106.459286.286678.3906
MAD120.642187.588642.578426.312416.4305 MAD160.560998.829983.965070.170562.8137
Lognormal107.271576.465036.272219.009211.2555 Lognormal93.311387.862172.233363.268057.9860
2Shewhart66.797238.444621.02468.80953.2671 2Shewhart121.468283.429778.856556.893836.0268
MAD64.546630.362414.05145.98773.4222 MAD117.327579.804062.901047.308622.7954
Lognormal47.430229.296312.54753.82932.0900 Lognormal78.794852.893542.478530.012717.3813
2.5Shewhart45.397426.733914.06516.88692.8287 2.5Shewhart97.110353.760035.349422.828515.2460
MAD44.185223.670410.30064.88762.4922 MAD96.372646.975426.902916.095412.7808
Lognormal38.511818.54479.36483.19811.9206 Lognormal57.157340.223817.334410.75884.8566
3Shewhart38.280420.560310.84005.04622.1198 3Shewhart87.319934.483919.635111.86375.7989
MAD37.467418.19859.30164.28402.2265 MAD82.123129.612714.55447.57684.8026
Lognormal30.905912.09818.04683.04131.4839 Lognormal27.294918.763912.99516.11103.8682
1.41Shewhart370.4334226.5348142.818292.361547.55652.01Shewhart370.4574216.7288126.825888.743859.8440
MAD370.6755179.8435106.018989.357743.1553 MAD370.4761203.4134109.983785.451452.3166
Lognormal370.2762135.904092.631182.818133.1501 Lognormal370.6554150.415585.048265.002846.2182
1.5Shewhart135.434087.688536.766218.44739.4632 1.5Shewhart113.662197.825476.394366.122652.6319
MAD130.854182.639634.938217.53808.1937 MAD100.755188.061866.788557.207544.5197
Lognormal120.220574.794831.733415.80907.3406 Lognormal86.688561.929246.198740.185126.1696
2Shewhart83.601643.179618.90667.25016.4774 2Shewhart66.018739.651021.184118.43629.6132
MAD82.673242.493817.85977.83596.7944 MAD59.859032.330113.634110.80407.6654
Lognormal49.858228.027316.65496.36555.6999 Lognormal37.980423.726411.67718.99806.1990
2.5Shewhart65.245929.611913.64786.47165.5629 2.5Shewhart48.347327.393613.85899.53317.2107
MAD64.693328.346612.02796.05115.3396 MAD45.230623.554110.05078.72184.8000
Lognormal35.656926.076411.19395.00324.4837 Lognormal24.750419.78668.96627.54462.7688
3Shewhart56.542024.376111.90335.07894.5688 3Shewhart41.655021.134211.39537.19483.0252
MAD53.748523.013911.47255.14014.4483 MAD36.223517.88108.98216.75342.9346
Lognormal19.394717.48149.01364.78613.9554 Lognormal14.759111.83537.76273.56941.9153
Table 7. The control limits, estimated means, and estimated standard deviations of percent viscosity increase (PVI) for the three reference oils in the Phase I control.
Table 7. The control limits, estimated means, and estimated standard deviations of percent viscosity increase (PVI) for the three reference oils in the Phase I control.
Reference( θ ^ 0 , ξ ^ 0 )Method X ¯ -ChartS-Chart
LCLUCLLCLUCL
Oil-434(154.747, 127.376)Shewhart45.526263.9670.000282.495
MAD46.980262.5130.000285.250
Lognormal23.457271.0143.1665.679
Oil-435(175.846, 66.963)Shewhart105.654246.0380.000146.391
MAD105.935245.7570.000146.785
Lognormal100.771248.6803.0255.121
Oil-438(95.088, 20.828)Shewhart73.406116.7710.00041.155
MAD73.228116.9480.60840.910
Lognormal73.229116.8972.0033.985
Publisher’s Note: MDPI stays neutral with regard to jurisdictional claims in published maps and institutional affiliations.

Share and Cite

MDPI and ACS Style

Huang, W.-H. Control Charts for Joint Monitoring of the Lognormal Mean and Standard Deviation. Symmetry 2021, 13, 549. https://doi.org/10.3390/sym13040549

AMA Style

Huang W-H. Control Charts for Joint Monitoring of the Lognormal Mean and Standard Deviation. Symmetry. 2021; 13(4):549. https://doi.org/10.3390/sym13040549

Chicago/Turabian Style

Huang, Wei-Heng. 2021. "Control Charts for Joint Monitoring of the Lognormal Mean and Standard Deviation" Symmetry 13, no. 4: 549. https://doi.org/10.3390/sym13040549

APA Style

Huang, W.-H. (2021). Control Charts for Joint Monitoring of the Lognormal Mean and Standard Deviation. Symmetry, 13(4), 549. https://doi.org/10.3390/sym13040549

Note that from the first issue of 2016, this journal uses article numbers instead of page numbers. See further details here.

Article Metrics

Back to TopTop