Numerical Solutions of the Mathematical Models on the Digestive System and COVID-19 Pandemic by Hermite Wavelet Technique
Abstract
:1. Introduction
2. Hermite Wavelet Operation Matrix of Integration, the Definition of Fractional Derivatives, and Some Results on Convergence Analysis
Operational Matrix of Integration
3. Hermite Wavelets Method
3.1. Hermite Wavelets Method for Digestive Model
3.2. Hermite Wavelets Method for Fractional COVID-19 Pandemic Model
4. Applications of the Proposed Method
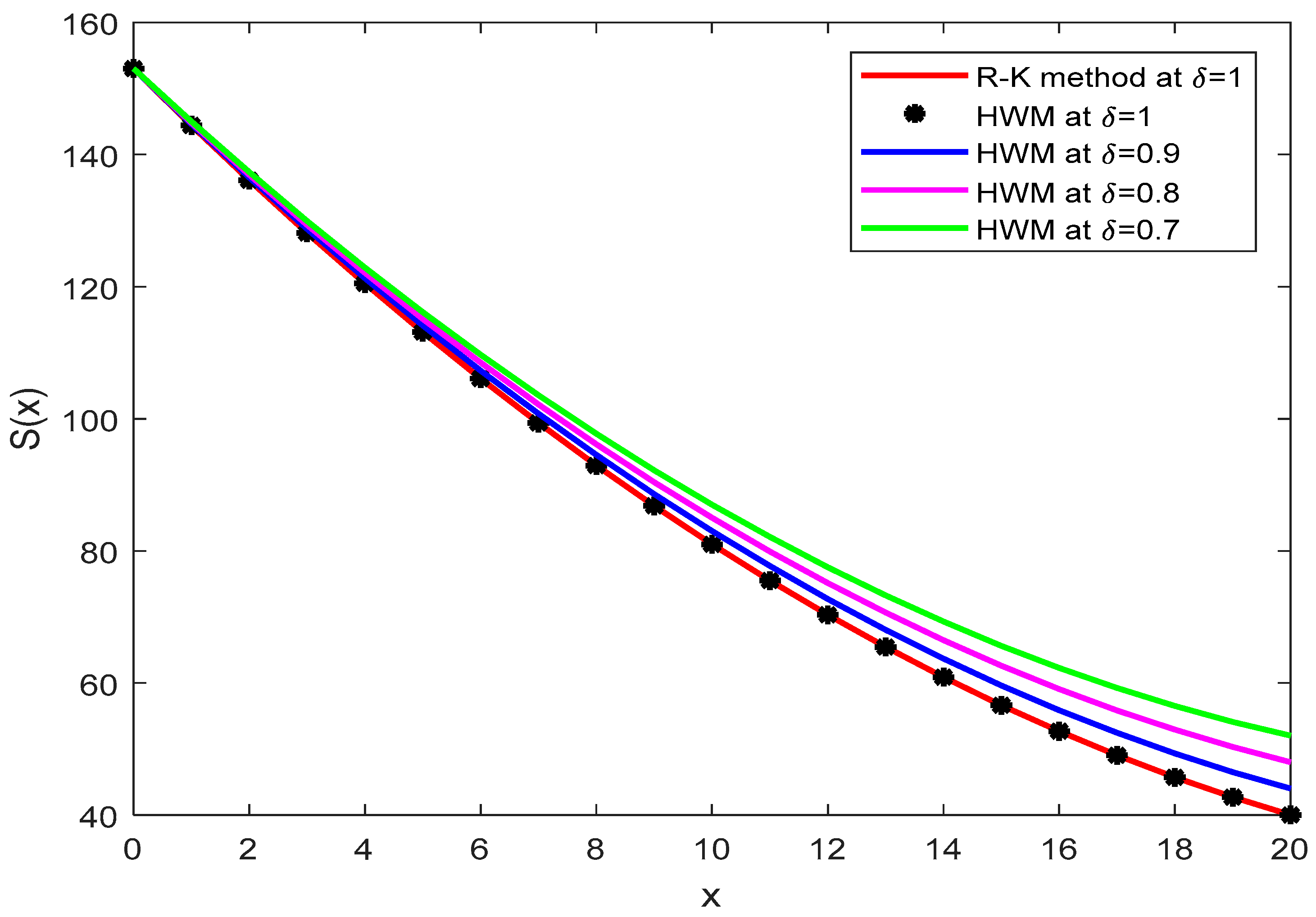
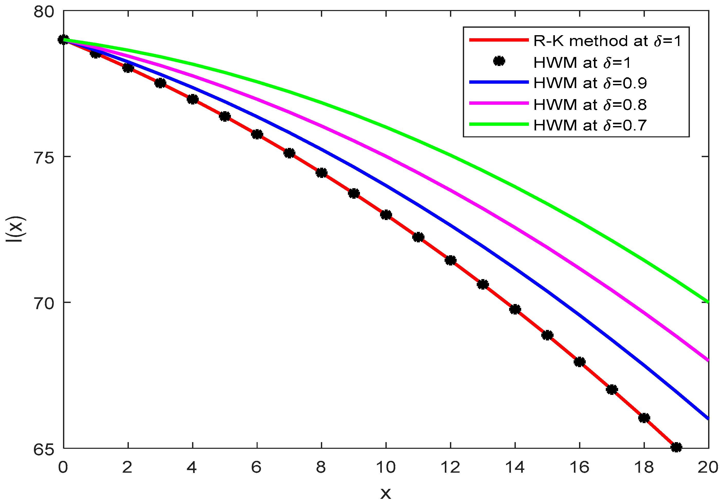
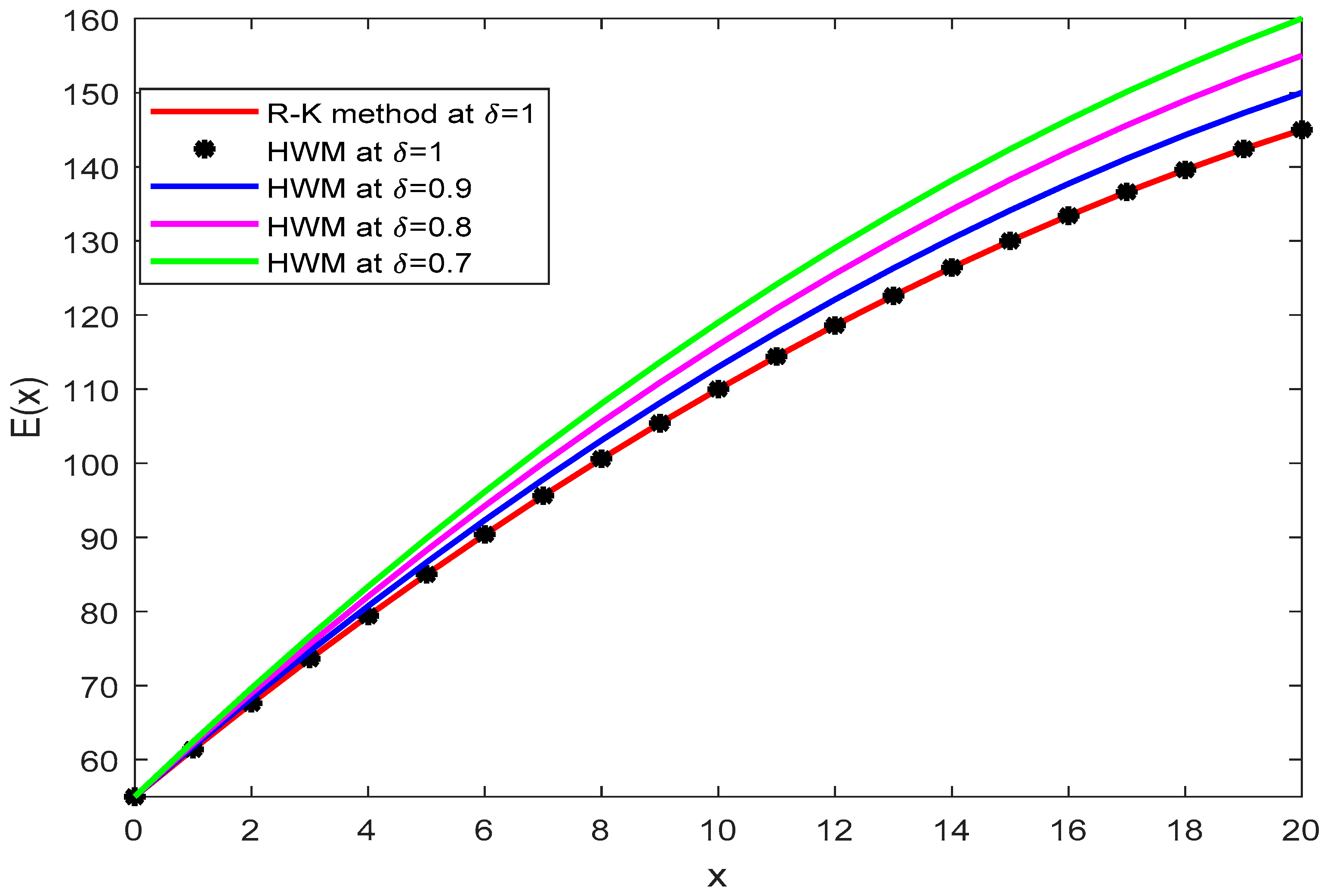
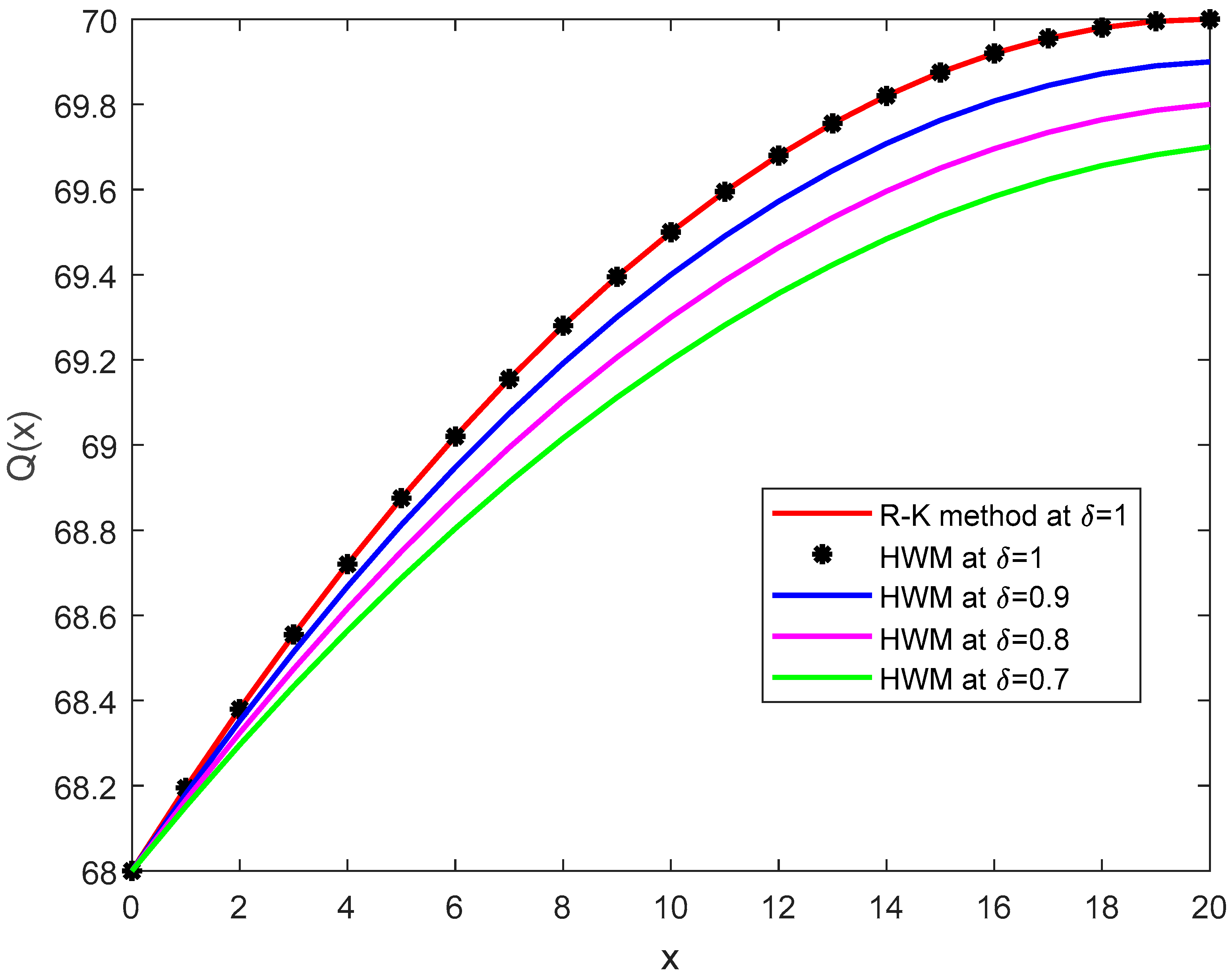
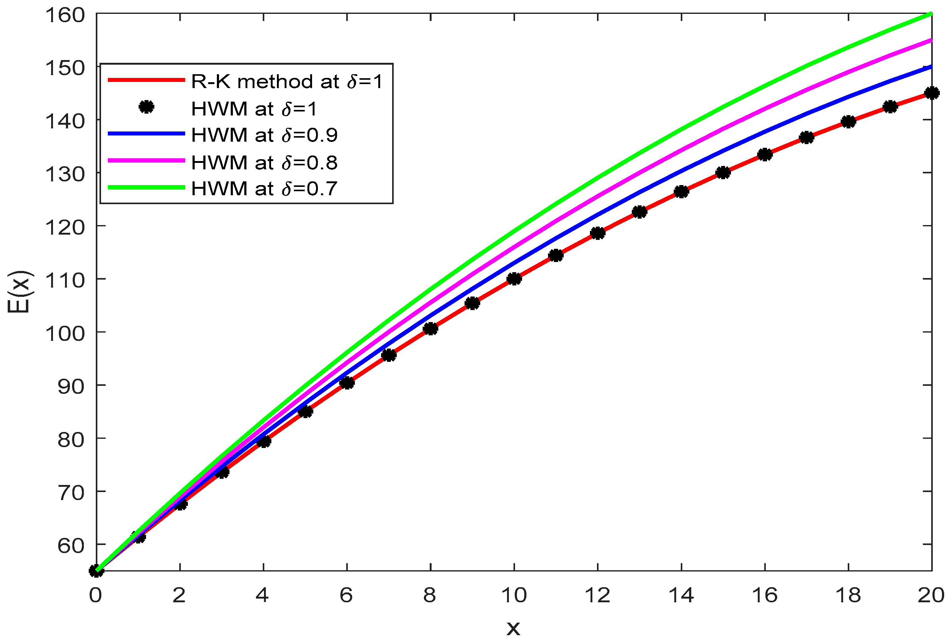
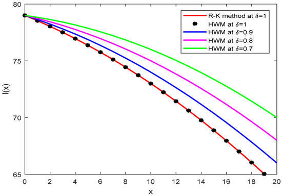
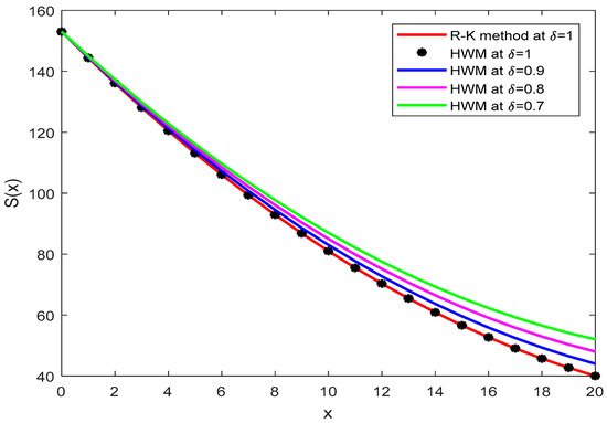
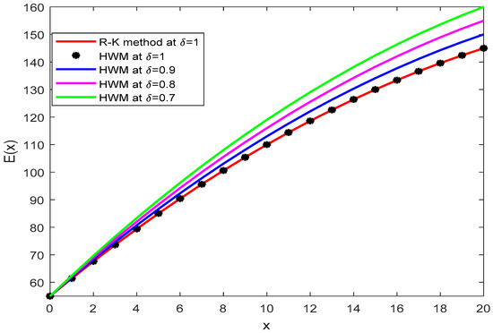
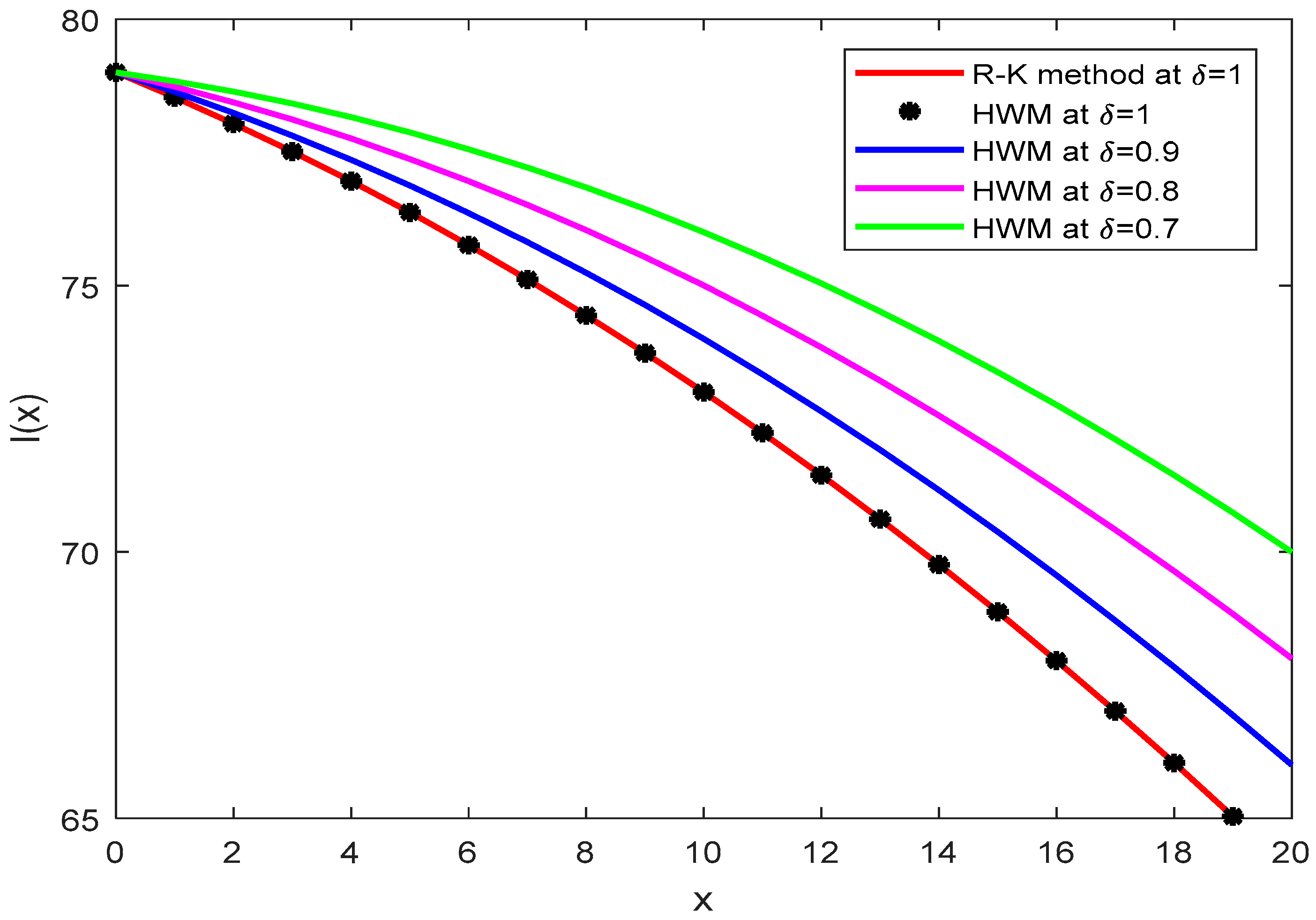
5. Results and Discussion
6. Conclusions
Author Contributions
Funding
Institutional Review Board Statement
Informed Consent Statement
Data Availability Statement
Conflicts of Interest
References
- Yousefi, S.A. Legendre wavelet method for solving differential equations of Lane–Emden type. Appl. Math. Comput. 2006, 181, 1417–1422. [Google Scholar] [CrossRef]
- Verma, A.K.; Rawani, M.K.; Cattani, C. A numerical scheme for a class of generalized Burgers’ equation based on Haar wavelet nonstandard finite difference method. Appl. Numer. Math. 2021, 168, 41–54. [Google Scholar] [CrossRef]
- Hosseininia, M.; Heydari, M.H.; Cattani, C. A wavelet method for nonlinear variable-order time fractional 2D Schrödinger equation. Discret. Contin. Dynam. Systems-S 2021, 14, 2273–2295. [Google Scholar] [CrossRef]
- Shiralashetti, S.C.; Kumbinarasaiah, S. Theoretical study on continuous polynomial wavelet bases through wavelet 288 series collocation method for nonlinear lane-Emden type equations. Appl. Math. Comput. 2017, 315, 591–602. [Google Scholar]
- Shiralashetti, S.C.; Kumbinarasaiah, S. Laguerre wavelets collocation method for the numerical solution of the Benjamina–Bona–Mohany equations. J. Taibah Univ. Sci. 2019, 13, 9–15. [Google Scholar] [CrossRef] [Green Version]
- Agarwal, P.; Singh, R.; Rehman, A. Numerical solution of a hybrid mathematical model of dengue transmission with relapse and memory via Adam–Bashforth–Moulton predictor-corrector scheme. Chaos Solitons Fractals 2021, 143, 110564. [Google Scholar] [CrossRef]
- Sánchez, Y.J.; Sabir, Z.; Günerhan, H.; Baskonus, H.M. Analytical and approximate solutions of design of a novel biological nervous stomach mathematical model. Discret. Dynam. Nat. Soc. 2020, 2020, 9. [Google Scholar]
- Praveen, A.; Ram, S. Modelling of transmission dynamics of Nipah virus (Niv): A fractional-order Approach. Phys. A Stat. Mech. Appl. 2020, 547, 124243. [Google Scholar]
- Günay, B.; Agarwal, P.; Guirao, J.L.G.; Momani, S. A Fractional Approach to a Computational Eco-Epidemiological Model with Holling Type-II Functional Response. Symmetry 2021, 13, 1159. [Google Scholar] [CrossRef]
- Attiqul, R.; Ram, S.; Praveen, A. Modeling, analysis, and prediction of new variants of COVID-19 and dengueco-infection on complex network. Chaos Solitons Fractals 2021, 150, 111008. [Google Scholar]
- Goyal, M.; Baskonus, H.M.; Prakash, A. Regarding new positive, bounded, and convergent numerical solution of nonlinear time-fractional HIV/AIDS transmission model. Chaos Solitons Fractals 2020, 139, 110096. [Google Scholar] [CrossRef]
- Yel, G.; Akturk, T. A New Approach to (3+1) Dimensional Boiti–Leon–Manna–Pempinelli Equation. Appl. Math. Nonlinear Sci. 2020, 5, 309–316. [Google Scholar] [CrossRef]
- Gao, W.; Veeresha, P.; Prakasha, D.G.; Baskonus, H.M.; Yel, G. New approach for the model describing the deathly disease in pregnant women using Mittag Leffler function. Chaos Solitons Fractals 2020, 134, 109696. [Google Scholar] [CrossRef]
- Singh, J.; Kumar, D.; Hammouch, Z.; Atangana, A. A fractional epidemiological model for computer viruses pertaining to a new fractional derivative. Appl. Math. Comput. 2018, 316, 504–515. [Google Scholar] [CrossRef]
- Kumbinarasaiah, S.; Rezazadeh, H. Numerical solution for the fractional-order one-dimensional telegraph equation via wavelet technique. Int. J. Nonlinear Sci. Numer. Simul. 2020, 22, 767–780. [Google Scholar]
- Zhang, Z.; Zeb, A.; Egbelowo, O.F.; Vedat, S.E. Dynamics of a fractional-order mathematical model for COVID-19 epidemic. Adv. Differ. Equ. 2020, 420, 1–11. [Google Scholar] [CrossRef] [PubMed] [Green Version]
- Vladimirov, V.S. Equations of Mathematical Physics; Marcel Dekker Incorporated: New York, NY, USA, 1971. [Google Scholar]
- Gupta, A.K.; Saha Ray, S. An investigation with Hermite Wavelets for accurate solution of Fractional Jaulent–Miodek equation associated with energy-dependent Schrödinger potential. Appl. Math. Comput. 2015, 270, 458–471. [Google Scholar] [CrossRef]
- Shiralashetti, S.C.; Kumbinarasaiah, S. New generalized operational matrix of integration to solve nonlinear singular boundary value problems using Hermite wavelets. Arab J. Basic Appl. Sci. 2019, 26, 2591–2600. [Google Scholar] [CrossRef] [Green Version]
- Lanbaran, N.M.; Celik, E.; Yigider, M. Evaluation of Investment Opportunities with Interval-Valued Fuzzy Topsis Method. Appl. Math. Nonlinear Sci. 2020, 5, 461–474. [Google Scholar] [CrossRef]
- Ihan, E.; Kiymaz, I.O. A generalization of truncated M-fractional derivative and applications to fractional differential equations. Appl. Math. Nonlinear Sci. 2020, 5, 171–188. [Google Scholar]
- Durur, H.; Yokus, A. Exact solutions of (2+1)-Ablowitz-Kaup-Newell-Segur equation. Appl. Math. Nonlinear Sci. 2021. [CrossRef]
- Li, Y.M.; Rashid, S.; Hammouch, Z.; Baleanu, D.; Chu, Y.M. New Newton’s Type Estimates Pertaining to Local Fractional Integral via Generalized p-Convexity with Applications. Fractals 2021, 29, 2140018-747. [Google Scholar] [CrossRef]
- Aksoy, N.Y. The Solvability of First Type Boundary Value Problem for a Schrödinger Equation. Appl. Math. Nonlinear Sci. 2020, 5, 211–220. [Google Scholar] [CrossRef] [Green Version]













| x | HWM | Numerical Result | HWM | Numerical Result | HWM | Numerical Result |
|---|---|---|---|---|---|---|
| T(x) | T(x) | F(x) | F(x) | M(x) | M(x) | |
| 0.0 | 0.9999 | 0.9999 | 0.0001 | 0.0001 | 0.0000 | 0 |
| 0.1 | 0.9798 | 0.9799 | 0.0282 | 0.0282 | −0.0805 | −0.0804 |
| 0.2 | 0.9593 | 0.9595 | 0.0524 | 0.0525 | −0.1620 | −0.1618 |
| 0.3 | 0.9387 | 0.9390 | 0.0728 | 0.0729 | −0.2445 | −0.2442 |
| 0.4 | 0.9179 | 0.9183 | 0.0892 | 0.0893 | −0.3281 | −0.3277 |
| 0.5 | 0.8969 | 0.8974 | 0.1016 | 0.1018 | −0.4127 | −0.4122 |
| 0.6 | 0.8759 | 0.8765 | 0.1100 | 0.1103 | −0.4985 | −0.4979 |
| 0.7 | 0.8548 | 0.8555 | 0.1142 | 0.1147 | −0.5852 | −0.5845 |
| 0.8 | 0.8336 | 0.8344 | 0.1144 | 0.1150 | −0.6732 | −0.6724 |
| 0.9 | 0.8125 | 0.8134 | 0.1104 | 0.1112 | −0.7622 | −0.7613 |
| 1.0 | 0.7914 | 0.7924 | 0.1022 | 0.1032 | −0.8524 | −0.8514 |
| 1.1 | 0.7705 | 0.7716 | 0.0897 | 0.0909 | −0.9438 | −0.9427 |
| 1.2 | 0.7496 | 0.7508 | 0.0729 | 0.0743 | −1.0364 | −1.0352 |
| 1.3 | 0.7290 | 0.7303 | 0.0517 | 0.0534 | −1.1302 | −1.1289 |
| 1.4 | 0.7086 | 0.7100 | 0.0262 | 0.0281 | −1.2254 | −1.2240 |
| 1.5 | 0.6885 | 0.6900 | −0.0038 | −0.0015 | −1.3218 | −1.3203 |
| 1.6 | 0.6687 | 0.6703 | −0.0383 | −0.0357 | −1.4195 | −1.4179 |
| 1.7 | 0.6493 | 0.6510 | −0.0773 | −0.0744 | −1.5187 | −1.5170 |
| 1.8 | 0.6303 | 0.6321 | −0.1208 | −0.1176 | −1.6193 | −1.6175 |
| 1.9 | 0.6117 | 0.6136 | −0.1690 | −0.1654 | −1.7213 | −1.7194 |
| 2.0 | 0.5937 | 0.5957 | −0.2218 | −0.2178 | −1.8248 | −1.8228 |
| x | HWM | Numerical Result | HWM | Numerical Result | HWM | Numerical Result |
|---|---|---|---|---|---|---|
| T(x) | T(x) | F(x) | F(x) | M(x) | M(x) | |
| 0.0 | 0.9999 | 0.9999 | 0.0001 | 0.0001 | 0.0000 | 0 |
| 0.1 | 0.9849 | 0.9849 | 0.0985 | 0.0984 | −0.0401 | −0.0401 |
| 0.2 | 0.9795 | 0.9795 | 0.1942 | 0.1941 | −0.0808 | −0.0808 |
| 0.3 | 0.9836 | 0.9837 | 0.2882 | 0.2882 | −0.1222 | −0.1222 |
| 0.4 | 0.9971 | 0.9973 | 0.3814 | 0.3815 | −0.1648 | −0.1646 |
| 0.5 | 1.0199 | 1.0202 | 0.4747 | 0.4749 | −0.2088 | −0.2085 |
| 0.6 | 1.0521 | 1.0525 | 0.5690 | 0.5693 | −0.2545 | −0.2541 |
| 0.7 | 1.0938 | 1.0943 | 0.6651 | 0.6655 | −0.3022 | −0.3017 |
| 0.8 | 1.1452 | 1.1458 | 0.7639 | 0.7644 | −0.3523 | −0.3516 |
| 0.9 | 1.2067 | 1.2075 | 0.8662 | 0.8670 | −0.4051 | −0.4043 |
| 1.0 | 1.2786 | 1.2796 | 0.9731 | 0.9740 | −0.4610 | −0.4600 |
| 1.1 | 1.3615 | 1.3627 | 1.0854 | 1.0865 | −0.5204 | −0.5192 |
| 1.2 | 1.4559 | 1.4573 | 1.2041 | 1.2054 | −0.5837 | −0.5822 |
| 1.3 | 1.5625 | 1.5642 | 1.3302 | 1.3318 | −0.6512 | −0.6495 |
| 1.4 | 1.6822 | 1.6842 | 1.4648 | 1.4667 | −0.7236 | −0.7216 |
| 1.5 | 1.8158 | 1.8181 | 1.6091 | 1.6112 | −0.8013 | −0.7990 |
| 1.6 | 1.9644 | 1.9670 | 1.7641 | 1.7666 | −0.8847 | −0.8822 |
| 1.7 | 2.1291 | 2.1320 | 1.9313 | 1.9341 | −0.9746 | −0.9717 |
| 1.8 | 2.3112 | 2.3145 | 2.1119 | 2.1150 | −1.0715 | −1.0683 |
| 1.9 | 2.5122 | 2.5158 | 2.3074 | 2.3109 | −1.1761 | −1.1725 |
| 2.0 | 2.7335 | 2.7375 | 2.5192 | 2.5232 | −1.2890 | −1.2850 |
| x | HWM | Numerical Result | HWM | Numerical Result | HWM | Numerical Result |
|---|---|---|---|---|---|---|
| T(x) | T(x) | F(x) | F(x) | M(x) | M(x) | |
| 0.0 | 0.9999 | 0.9999 | 0.0001 | 0.0001 | 0 | 0 |
| 0.1 | 0.9601 | 0.9602 | 0.1961 | 0.1960 | −0.0308 | −0.0307 |
| 0.2 | 0.8823 | 0.8825 | 0.3792 | 0.3790 | −0.0605 | −0.0603 |
| 0.3 | 0.7698 | 0.7701 | 0.5419 | 0.5416 | −0.0878 | −0.0875 |
| 0.4 | 0.6273 | 0.6277 | 0.6781 | 0.6777 | −0.1118 | −0.1114 |
| 0.5 | 0.4607 | 0.4612 | 0.7824 | 0.7819 | −0.1316 | −0.1311 |
| 0.6 | 0.2768 | 0.2774 | 0.8508 | 0.8502 | −0.1465 | −0.1459 |
| 0.7 | 0.0829 | 0.0836 | 0.8808 | 0.8801 | −0.1560 | −0.1553 |
| 0.8 | −0.1129 | −0.1121 | 0.8714 | 0.8706 | −0.1597 | −0.1589 |
| 0.9 | −0.3030 | −0.3021 | 0.8233 | 0.8224 | −0.1576 | −0.1567 |
| 1.0 | −0.4798 | −0.4788 | 0.7385 | 0.7375 | −0.1499 | −0.1489 |
| 1.1 | −0.6364 | −0.6353 | 0.6208 | 0.6197 | −0.1370 | −0.1359 |
| 1.2 | −0.7670 | −0.7658 | 0.4751 | 0.4739 | −0.1195 | −0.1183 |
| 1.3 | -0.8674 | −0.8661 | 0.3075 | 0.3062 | −0.0982 | −0.0969 |
| 1.4 | −0.9351 | −0.9337 | 0.1249 | 0.1235 | −0.0741 | −0.0727 |
| 1.5 | −0.9700 | −0.9685 | −0.0652 | −0.0667 | −0.0484 | −0.0469 |
| 1.6 | −0.9751 | −0.9735 | −0.2549 | −0.2565 | −0.0222 | −0.0206 |
| 1.7 | −0.9565 | −0.9548 | −0.4369 | −0.4386 | 0.0033 | 0.0050 |
| 1.8 | −0.9244 | −0.9226 | −0.6043 | −0.6061 | 0.0269 | 0.0287 |
| 1.9 | −0.8934 | −0.8915 | −0.7516 | −0.7535 | 0.0474 | 0.0493 |
| 2.0 | −0.8831 | −0.8811 | −0.8752 | −0.8772 | 0.0640 | 0.0660 |
Publisher’s Note: MDPI stays neutral with regard to jurisdictional claims in published maps and institutional affiliations. |
© 2021 by the authors. Licensee MDPI, Basel, Switzerland. This article is an open access article distributed under the terms and conditions of the Creative Commons Attribution (CC BY) license (https://creativecommons.org/licenses/by/4.0/).
Share and Cite
Srinivasa, K.; Baskonus, H.M.; Guerrero Sánchez, Y. Numerical Solutions of the Mathematical Models on the Digestive System and COVID-19 Pandemic by Hermite Wavelet Technique. Symmetry 2021, 13, 2428. https://doi.org/10.3390/sym13122428
Srinivasa K, Baskonus HM, Guerrero Sánchez Y. Numerical Solutions of the Mathematical Models on the Digestive System and COVID-19 Pandemic by Hermite Wavelet Technique. Symmetry. 2021; 13(12):2428. https://doi.org/10.3390/sym13122428
Chicago/Turabian StyleSrinivasa, Kumbinarasaiah, Haci Mehmet Baskonus, and Yolanda Guerrero Sánchez. 2021. "Numerical Solutions of the Mathematical Models on the Digestive System and COVID-19 Pandemic by Hermite Wavelet Technique" Symmetry 13, no. 12: 2428. https://doi.org/10.3390/sym13122428
APA StyleSrinivasa, K., Baskonus, H. M., & Guerrero Sánchez, Y. (2021). Numerical Solutions of the Mathematical Models on the Digestive System and COVID-19 Pandemic by Hermite Wavelet Technique. Symmetry, 13(12), 2428. https://doi.org/10.3390/sym13122428

