Vibration Localization and Anti-Localization of Nonlinear Multi-Support Beams with Support Periodicity Defect
Abstract
1. Introduction
2. Nonlinear Vibration Equation of Beam with Non-Periodic Supports
3. Perturbation and Separation Solutions to Nonlinear Vibration of Non-Periodically Supported Beam
4. Mode Expansions of Asymptotic Solutions to Linear Partial Differential Equations for Periodic and Non-Periodic Beams
5. Harmonic Balance Solutions to Ordinary Differential Equations for Multi-Mode Coupling Vibrations of Periodic and Non-Periodic Beams
6. Results on Response Amplitude–Frequency Characteristics of Nonlinear Multi-Support Beam with Support Periodicity Defect
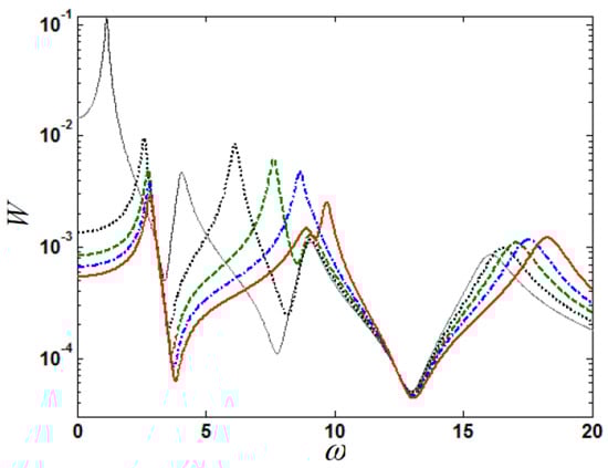
6.1. Effects of Support Periodicity Defect on Response Amplitude–Frequency Characteristics
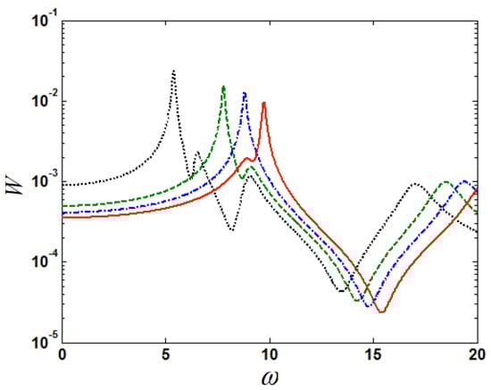
6.2. Effects of Non-Periodic Support Stiffness Increase on Amplitude–Frequency Characteristics and Vibration Anti-Localization
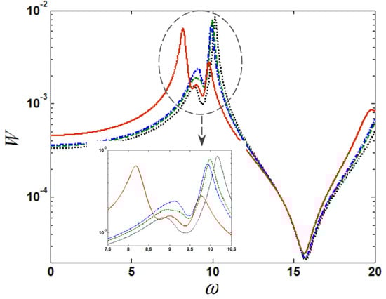
6.3. Effects of Non-Periodic Support Stiffness Reduction on Amplitude–Frequency Characteristics and Vibration Localization
7. Conclusions
Author Contributions
Funding
Institutional Review Board Statement
Informed Consent Statement
Acknowledgments
Conflicts of Interest
Appendix A
References
- Mead, D.J. Wave propagation in continuous periodic structures: Research contributions from Southampton, 1964–1995. J. Sound Vib. 1996, 190, 495–524. [Google Scholar] [CrossRef]
- Hussein, M.I.; Leamy, M.J.; Ruzzene, M. Dynamics of phononic materials and structures: Historical origins, recent progress and future outlook. ASME Appl. Mech. Rev. 2014, 66, 040802. [Google Scholar] [CrossRef]
- Chen, R.; Wu, T. Dynamic characteristics of a periodic rib-skin structure. J. Vib. Control 2016, 22, 662–677. [Google Scholar] [CrossRef]
- Ying, Z.G.; Ni, Y.Q. Dynamic characteristics of infinite-length and finite-length rods with high-wave-number periodic parameters. J. Vib. Control 2018, 24, 2344–2358. [Google Scholar] [CrossRef]
- Pierre, C. Mode localization and eigenvalue loci veering phenomena in disordered structures. J. Sound Vib. 1988, 126, 485–502. [Google Scholar] [CrossRef]
- Nayfeh, A.H.; Hawwa, M.A. Use of mode localization in passive control of structural buckling. AIAA J. 1994, 32, 2131–2133. [Google Scholar] [CrossRef]
- Hunt, G.W.; Wadee, M.A. Localization and mode interaction in sandwich structures. Proc. R. Soc. Lond. A 1998, 454, 1197–1216. [Google Scholar] [CrossRef]
- Bendisen, O.O. Localization phenomena in structural dynamics. Chaos Solitons Fractals 2000, 11, 1621–1660. [Google Scholar] [CrossRef]
- Luongo, A. Mode localization in dynamics and buckling of linear imperfect continuous structures. Nonlinear Dyn. 2001, 25, 133–156. [Google Scholar] [CrossRef]
- Ding, L.; Zhu, H.P.; Luo, H.; Yin, T. Flexural wave propagation and localization in periodic jointed tunnels subjected to moving loads. J. Vib. Control 2016, 22, 2788–2804. [Google Scholar] [CrossRef]
- Cai, C.W.; Cheung, Y.K.; Chan, H.C. Mode localization phenomena in nearly periodic systems. ASME J. Appl. Mech. 1995, 62, 141–149. [Google Scholar] [CrossRef]
- Elishakoff, I.; Li, Y.W.; Starnes, J.H. Buckling mode localization in elastic plates due to misplacement in the stiffener location. Chaos Solitons Fractals 1995, 5, 1517–1531. [Google Scholar] [CrossRef]
- Xie, W.C. Buckling mode localization in rib-stiffened plates with randomly misplaced stiffeners. Comput. Struct. 1998, 67, 175–189. [Google Scholar] [CrossRef]
- Ying, Z.G.; Ni, Y.Q.; Kang, L. Mode localization characteristics of damaged quasiperiodically supported beam structures with local weak coupling. Struct. Control Health Monit. 2019, 26, e2351. [Google Scholar] [CrossRef]
- Bouzit, D.; Pierre, C. Vibration confinement phenomena in disordered, mono-coupled, multi-span beams. ASME J. Vib. Acoust. 1992, 114, 521–530. [Google Scholar] [CrossRef]
- Cai, G.Q.; Lin, Y.K. Statistics distribution of frequency response in disordered periodic structures. AIAA J. 1992, 30, 1400–1407. [Google Scholar] [CrossRef]
- Bardell, N.S.; Langley, R.S.; Dunsdon, J.M.; Klein, T. The effect of period asymmetry on wave propagation in periodic beams. J. Sound Vib. 1996, 197, 427–445. [Google Scholar] [CrossRef]
- Yan, Z.Z.; Zhang, C.; Wang, Y.S. Attenuation and localization of bending waves in a periodic/disordered fourfold composite beam. J. Sound Vib. 2009, 327, 109–120. [Google Scholar] [CrossRef]
- Ruzzene, M.; Baz, A. Control of wave propagation in periodic composite rods using shape memory inserts. ASME J. Vib. Acoust. 2000, 122, 151–159. [Google Scholar] [CrossRef]
- Shelley, F.J.; Clark, W.M. Active mode localization in distributed parameter systems with consideration of limited actuator placement, part 1: Theory. ASME J. Vib. Acoust. 2000, 122, 160–164. [Google Scholar] [CrossRef]
- Romeo, F.; Luongo, A. Vibration reduction in piecewise bi-coupled periodic structures. J. Sound Vib. 2003, 268, 601–615. [Google Scholar] [CrossRef]
- Wu, T.Y.; Wang, K.W. Periodic isolator design enhancement via vibration confinement through eigenvector assignment and piezoelectric circuitry. J. Vib. Control 2007, 13, 989–1006. [Google Scholar] [CrossRef]
- Song, Y.; Wen, J.; Yu, D.; Wen, X. Suppression of vibration and noise radiation in a flexible floating raft system using periodic structures. J. Vib. Control 2015, 21, 217–228. [Google Scholar] [CrossRef]
- Chen, J.S.; Tsai, S.M. Sandwich structures with periodic assemblies on elastic foundation under moving loads. J. Vib. Control 2016, 22, 2519–2529. [Google Scholar] [CrossRef]
- Lallart, M.; Yan, L.; Richard, C.; Guyomar, D. Damping of periodic bending structures featuring nonlinearly interfaced piezoelectric elements. J. Vib. Control 2016, 22, 3930–3941. [Google Scholar] [CrossRef]
- Wang, Y.Z.; Li, F.M.; Wang, Y.S. Influences of active control on elastic wave propagation in a weakly nonlinear phononic crystal with a monoatomic lattice chain. Int. J. Mech. Sci. 2016, 106, 357–362. [Google Scholar] [CrossRef]
- Harne, R.L.; Urbanek, D.C. Enhancing broadband vibration energy suppression using local buckling modes in constrained metamaterials. ASME J. Vib. Acoust. 2017, 139, 061004. [Google Scholar] [CrossRef]
- Lee, S.Y.; Ke, H.Y.; Kao, M.J. Flexural waves in a periodic beam. ASME J. Appl. Mech. 1990, 57, 779–783. [Google Scholar] [CrossRef]
- Lee, S.Y.; Ke, H.Y. Flexural wave propagation in an elastic beam with periodic structure. ASME J. Appl. Mech. 1992, 59, S189–S196. [Google Scholar] [CrossRef]
- Cheung, Y.K.; Au, F.T.K.; Zheng, D.Y.; Cheng, Y.S. Vibration of multi-span non-uniform bridges under moving vehicles and trains by using modified beam vibration functions. J. Sound Vib. 1999, 228, 611–628. [Google Scholar] [CrossRef]
- Au, F.T.K.; Zheng, D.Y.; Cheung, Y.K. Vibration and stability of non-uniform beams with abrupt changes of cross-section by using C1 modified beam vibration functions. Appl. Math. Model. 1999, 23, 19–34. [Google Scholar] [CrossRef]
- Cottrell, J.A.; Realim, A.; Bazilevs, Y.; Hughes, T.J.R. Isogeometric analysis of structural vibrations. Comput. Methods Appl. Mech. Eng. 2006, 195, 5257–5296. [Google Scholar] [CrossRef]
- Sun, Y.; Liu, S.; Rao, Z.; Li, Y.; Yang, J. Thermodynamic response of beams on Winkler foundation irradiated by moving laser pulses. Symmetry 2018, 10, 328. [Google Scholar] [CrossRef]
- Shariati, A.; Jung, D.W.; Mohammad-Sedighi, H.; Zur, K.K.; Habibi, M.; Safa, M. Stability and dynamics of viscoelastic moving Rayleigh beams with an asymmetrical distribution of material parameters. Symmetry 2020, 12, 586. [Google Scholar] [CrossRef]
- Hawwa, M.A. Reflection of flexural waves in geometrically periodic beams. J. Sound Vib. 1997, 199, 453–461. [Google Scholar] [CrossRef]
- McIntyre, J.S.; Rasmussen, M.L.; Bert, C.W.; Kline, R.A. Resonance in fiber-reinforced composite materials with sinusoidal stiffness properties. Wave Motion 1999, 30, 97–123. [Google Scholar] [CrossRef]
- Wei, J.; Petyt, M. A method of analyzing finite periodic structures, part 2: Comparison with infinite periodic structure theory. J. Sound Vib. 1997, 202, 571–583. [Google Scholar] [CrossRef]
- Hvatov, A.; Sorokin, S. Free vibration of finite periodic structures in pass- and stop-bands of the counterpart infinite waveguides. J. Sound Vib. 2015, 347, 200–217. [Google Scholar] [CrossRef]
- Junyi, L.; Balint, D.S. An inverse method to determine the dispersion curves of periodic structures based on wave superposition. J. Sound Vib. 2015, 350, 41–72. [Google Scholar] [CrossRef]
- Domadiya, P.G.; Manconi, E.; Vanali, M.; Andersen, L.V.; Ricci, A. Numerical and experimental investigation of stop-bands in finite and infinite periodic one-dimensional structures. J. Vib. Control 2016, 22, 920–931. [Google Scholar] [CrossRef]
- Marathe, A.; Chatterjee, A. Wave attenuation in nonlinear periodic structures using harmonic balance and multiple scales. J. Sound Vib. 2005, 289, 871–888. [Google Scholar] [CrossRef]
- Lazarov, B.S.; Jensen, J.S. Low-frequency band gaps in chains with attached non-linear oscillators. Int. J. Non-Linear Mech. 2007, 42, 1186–1193. [Google Scholar] [CrossRef]
- Narisetti, R.K.; Leamy, M.J.; Ruzzene, M. A perturbation approach for predicting wave propagation in one-dimensional nonlinear periodic structures. ASME J. Vib. Acoust. 2010, 132, 031001. [Google Scholar] [CrossRef]
- Narisetti, R.K.; Ruzzene, M.; Leamy, M.J. Study of wave propagation in strongly nonlinear periodic lattices using a harmonic balance approach. Wave Motion 2012, 49, 394–410. [Google Scholar] [CrossRef]
- Clementi, F.; Demeio, L.; Mazzilli, C.E.N.; Lenci, S. Nonlinear vibrations of non-uniform beams by the MTS asymptotic expansion method. Contin. Mech. Thermodyn. 2015, 27, 703–717. [Google Scholar] [CrossRef]
- Yousefzadeh, B.; Phani, A.S. Supratransmission in a disordered nonlinear periodic structure. J. Sound Vib. 2016, 380, 242–266. [Google Scholar] [CrossRef]
- Bitar, D.; Kacem, N.; Bouhaddi, N. Investigation of modal interactions and their effects on the nonlinear dynamics of a periodic coupled pendulums chain. Int. J. Mech. Sci. 2017, 127, 130–141. [Google Scholar] [CrossRef]
- Vakakis, A.F. Dynamics of a nonlinear periodic structure with cycle symmetry. Acta Mech. 1992, 95, 197–226. [Google Scholar] [CrossRef]
- Vakakis, A.F.; Cetinkaya, C. Mode localization in a class of multidegree-of-freedom nonlinear systems with cyclic symmetry. SIAM J. Appl. Math. 1993, 53, 265–282. [Google Scholar] [CrossRef][Green Version]
- Freno, B.A.; Cizmas, P.G.A. A computationally efficient non-linear beam model. Int. J. Non-Linear Mech. 2011, 46, 854–869. [Google Scholar] [CrossRef]
- Weeger, O.; Wever, U.; Simeon, B. Isogeometric analysis of nonlinear Euler-Bernoulli beam vibrations. Nonlinear Dyn. 2013, 72, 813–835. [Google Scholar] [CrossRef]
- Jang, T.S. A general method for analyzing moderately large deflections of a non-uniform beam: An infinite Bernoulli–Euler–von Karman beam on a nonlinear elastic foundation. Acta Mech. 2014, 225, 1967–1984. [Google Scholar] [CrossRef]
- Masjedi, P.K.; Maheri, A. Chebyshev collocation method for the free vibration analysis of geometrically exact beams with fully intrinsic formulation. Eur. J. Mech. A/Solids 2017, 66, 329–340. [Google Scholar] [CrossRef]
- Ying, Z.G.; Ni, Y.Q. Vibrational amplitude frequency characteristics analysis of a controlled nonlinear meso-scale beam. Actuators 2021, 10, 180. [Google Scholar] [CrossRef]
- Pourasghar, A.; Chen, Z. Nonlinear vibration and modal analysis of FG nanocomposite sandwich beams reinforced by aggregated CNTs. Polym. Eng. Sci. 2019, 59, 1362–1370. [Google Scholar] [CrossRef]
- Pourasghar, A.; Chen, Z. Effect of hyperbolic heat conduction on the linear and nonlinear vibration of CNT reinforced size-dependent functionally graded microbeams. Int. J. Eng. Sci. 2019, 137, 57–72. [Google Scholar] [CrossRef]
- Baleanu, D.; Sajjadi, S.S.; Jajarmi, A.; Defterli, O. On a nonlinear dynamical system with both chaotic and non-chaotic behaviors: A new fractional analysis and control. Adv. Differ. Equ. 2021, 2021, 234. [Google Scholar] [CrossRef]
- Baleanu, D.; Sajjadi, S.S.; Asad, J.H.; Jajarmi, A.; Estiri, E. Hyperchaotic behaviors, optimal control, and synchronization of a nonautonomous cardiac conduction system. Adv. Differ. Equ. 2021, 2021, 157. [Google Scholar] [CrossRef]
- Domagalski, L.; Jedrysiak, J. Geometrically nonlinear vibrations of slender meso-periodic beams. the tolerance modeling approach. Compos. Struct. 2016, 136, 270–277. [Google Scholar] [CrossRef]
- Domagalski, L.; Swiatek, M.; Jedrysiak, J. An analytical-numerical approach to vibration analysis of periodic Timoshenko beams. Compos. Struct. 2019, 211, 490–501. [Google Scholar] [CrossRef]
- Ying, Z.G.; Ni, Y.Q. A multimode perturbation method for frequency response analysis of nonlinearly vibrational beams with periodic parameters. J. Vib. Control 2020, 26, 1260–1272. [Google Scholar] [CrossRef]
- Spencer, B.F.; Nagarajaiah, S. State of the art of structural control. ASCE J. Struct. Eng. 2003, 129, 845–856. [Google Scholar] [CrossRef]
- Casciati, F.; Rodellar, J.; Yildirim, U. Active and semi-active control of structures—Theory and applications: A review of recent advances. J. Intell. Mater. Syst. Struct. 2012, 23, 1181–1195. [Google Scholar] [CrossRef]
- Carden, E.P.; Fanning, P. Vibration based condition monitoring: A review. Struct. Health Monit. 2004, 3, 355–377. [Google Scholar] [CrossRef]
- Fan, W.; Qiao, P.Z. Vibration-based damage identification methods: A review and comparative study. Struct. Health Monit. 2011, 10, 83–111. [Google Scholar] [CrossRef]
- Yang, Y.B.; Yang, J.P. State-of-the-art review on modal identification and damage detection of bridges by moving test vehicles. Int. J. Struct. Stab. Dyn. 2017, 18, 1850025. [Google Scholar] [CrossRef]















Publisher’s Note: MDPI stays neutral with regard to jurisdictional claims in published maps and institutional affiliations. |
© 2021 by the authors. Licensee MDPI, Basel, Switzerland. This article is an open access article distributed under the terms and conditions of the Creative Commons Attribution (CC BY) license (https://creativecommons.org/licenses/by/4.0/).
Share and Cite
Ying, Z.-G.; Ni, Y.-Q. Vibration Localization and Anti-Localization of Nonlinear Multi-Support Beams with Support Periodicity Defect. Symmetry 2021, 13, 2234. https://doi.org/10.3390/sym13122234
Ying Z-G, Ni Y-Q. Vibration Localization and Anti-Localization of Nonlinear Multi-Support Beams with Support Periodicity Defect. Symmetry. 2021; 13(12):2234. https://doi.org/10.3390/sym13122234
Chicago/Turabian StyleYing, Zu-Guang, and Yi-Qing Ni. 2021. "Vibration Localization and Anti-Localization of Nonlinear Multi-Support Beams with Support Periodicity Defect" Symmetry 13, no. 12: 2234. https://doi.org/10.3390/sym13122234
APA StyleYing, Z.-G., & Ni, Y.-Q. (2021). Vibration Localization and Anti-Localization of Nonlinear Multi-Support Beams with Support Periodicity Defect. Symmetry, 13(12), 2234. https://doi.org/10.3390/sym13122234

