Terahertz Metamaterial Modulator Based on Phase Change Material VO2
Abstract
:1. Introduction
2. Metamaterials (MM) Structure and Design
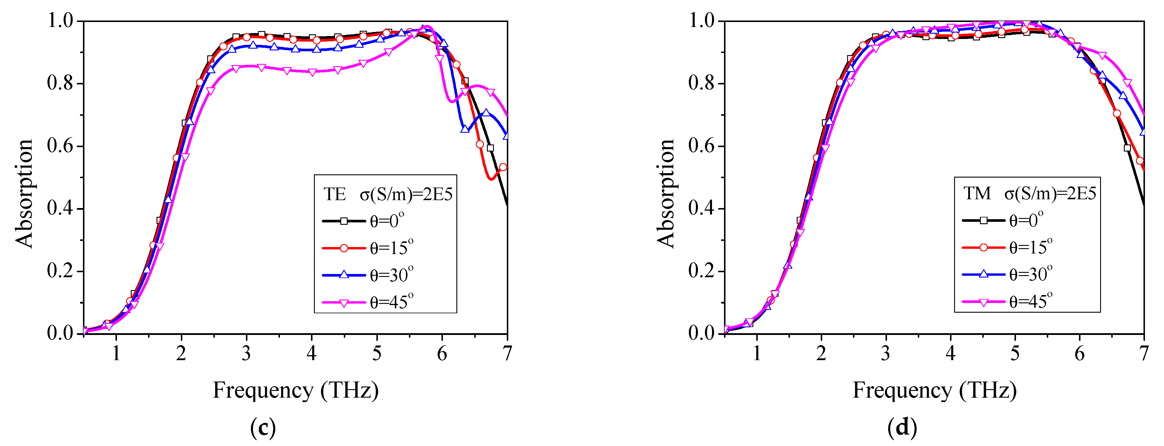
3. Results and Discussion
4. Conclusions
Author Contributions
Funding
Conflicts of Interest
References
- Huang, X.; Yang, F.; Gao, B.; Yang, Q.; Wu, J.; He, W. Metamaterial absorber with independently tunable amplitude and frequency in the terahertz regime. Opt. Express 2019, 27, 25902–25911. [Google Scholar] [CrossRef]
- Liu, C.; Liu, P.; Yang, C.; Lin, Y.; Liu, H. Analogue of dual-controlled electromagnetically induced transparency based on a graphene metamaterial. Carbon 2019, 142, 354–362. [Google Scholar] [CrossRef]
- Davis, T.J.; Gómez, D.E.; Eftekhari, F. All-optical modulation and switching by a metamaterial of plasmonic circuits. Opt. Lett. 2014, 39, 4938–4941. [Google Scholar] [CrossRef]
- Huang, W.X.; Zhao, G.R.; Guo, J.J.; Wang, M.S.; Shi, J.P. Nearly perfect absorbers operating associated with fano resonance in the infrared range. Chin. Phys. Lett. 2016, 33, 088103. [Google Scholar] [CrossRef]
- Guo, Y.; Yan, L.; Pan, W.; Shao, L. Scattering engineering in continuously shaped metasurface: An approach for electromagnetic illusion. Sci. Rep. 2016, 6, 30154. [Google Scholar] [CrossRef] [Green Version]
- Zhang, Z.; Cao, X.; Gao, J.; Li, S. Broadband metamaterial reflectors for polarization manipulation based on cross/ring resonators. Radioengineering 2016, 25, 436–441. [Google Scholar] [CrossRef]
- Zhang, Y.; Feng, Y.; Jiang, T.; Cao, J.; Zhao, J.; Zhu, B. Tunable broadband polarization rotator in terahertz frequency based on graphene metamaterial. Carbon 2018, 133, 170–175. [Google Scholar] [CrossRef]
- Zarrabi, F.B.; Pirooj, A.; Pedram, K. Metamaterial loads used in microstrip antenna for circular polarization. Int. J. RF Microw. Comput.-Aided Eng. 2019, 29, e21869. [Google Scholar] [CrossRef]
- Wang, W.; Zheng, Z.; Fang, X.; Zhang, H.; Jin, M.; Lu, J.; Luo, Q.; Gao, S. A waveguide slot filtering antenna with an embedded metamaterial structure. IEEE Trans. Antennas Propag. 2019, 67, 2953–2960. [Google Scholar] [CrossRef]
- Yan, S.; Vandenbosch, G.A.E. Radiation pattern-reconfigurable wearable antenna based on metamaterial structure. IEEE Antennas Wirel. Propag. Lett. 2016, 15, 1715–1718. [Google Scholar] [CrossRef]
- Li, X.; Zhou, H.; Gao, Z.; Wang, H.; Lv, G. Metamaterial slabs covered UWB antipodal Vivaldi antenna. IEEE Antennas Wirel. Propag. Lett. 2017, 16, 2943–2946. [Google Scholar] [CrossRef]
- Labidi, M.; Choubani, F. Performances enhancement of metamaterial loop antenna for terahertz applications. Opt. Mater. 2018, 82, 116–122. [Google Scholar] [CrossRef]
- Lin, M.; Xu, M.; Wan, X.; Liu, H.; Wu, Z.; Liu, J.; Deng, B.; Guan, D.; Zha, S. Single sensor to estimate DOA with programmable metasurface. IEEE Internet Things J. 2021, 8, 10187–10197. [Google Scholar] [CrossRef]
- Cen, C.; Yi, Z.; Zhang, G.; Zhang, Y.; Liang, C.; Chen, X.; Tang, Y.; Ye, X.; Yi, Y.; Wang, J.; et al. Theoretical design of a triple-band perfect metamaterial absorber in the THz frequency range. Results Phys. 2019, 14, 102463. [Google Scholar] [CrossRef]
- Zhou, Y.; Xia, H.; Zhang, L.; Zhao, Y.; Xie, W. Temperature insensitive ultra-broadband THz metamaterial absorber based on metal square ring resonators. Results Phys. 2021, 22, 103915. [Google Scholar] [CrossRef]
- Chen, J.; Yang, M.-S.; Li, Y.-D.; Cheng, D.-K.; Guo, G.-L.; Jiang, L.; Zhang, H.-T.; Song, X.-X.; Ye, Y.-X.; Ren, Y.-P.; et al. Tunable terahertz wave broadband absorber based on metamaterial. Acta Phys. Sin. 2019, 68, 247802. [Google Scholar] [CrossRef]
- Liu, Y.; Yang, H.; Huang, X.; Yu, Z.; Li, S.; Yang, Y. A metamaterial polarization converter with half reflection and half transmission simultaneously. Phys. Lett. A 2021, 389, 127101. [Google Scholar] [CrossRef]
- Yu, X.; Gao, X.; Qiao, W.; Wen, L.; Yang, W. Broadband tunable polarization converter realized by graphene-based metamaterial. IEEE Photonics Technol. Lett. 2016, 28, 2399–2402. [Google Scholar] [CrossRef]
- Xiao, Z.; Zou, H.; Zheng, X.; Wen, L.; Yang, W. A tunable reflective polarization converter based on hybrid metamaterial. Opt. Quantum Electron. 2017, 49, 401. [Google Scholar] [CrossRef]
- Bai, H.; Yan, M.B.; Li, W.H.; Wang, J.F.; Zheng, L.; Wang, H.; Qu, S.B. Tunable frequency selective surface with angular stability. IEEE Antennas Wirel. Propag. Lett. 2021, 20, 1108–1112. [Google Scholar] [CrossRef]
- Guo, Q.X.; Zhao, Z.Q.; Su, J.X.; Li, Z.R. Dual-polarization absorptive/transmissive frequency-selective surface with tunable passband. IEEE Trans. Electromagn. Compat. 2021, 63, 1347–1356. [Google Scholar] [CrossRef]
- Li, H.; Costa, F.; Wang, Y.; Cao, Q.; Monorchio, A. A switchable and tunable multifunctional absorber/reflector with polarization-insensitive features. Int. J. RF Microw. Comput.-Aided Eng. 2021, 31, e22573. [Google Scholar] [CrossRef]
- Ghosh, S.; Srivastava, K.V. Polarization-insensitive single-and broadband switchable absorber/reflector and its realization using a novel biasing technique. IEEE Trans. Antennas Propag. 2016, 64, 3665–3670. [Google Scholar] [CrossRef]
- Qu, M.; Chang, T.; Guo, G.; Li, S. Design of graphene-based dual-polarized switchable rasorber/absorber at terahertz. IEEE Access 2020, 8, 127220–127225. [Google Scholar] [CrossRef]
- Liu, S.; Cui, T.J.; Xu, Q.; Bao, D.; Du, L.; Wan, X.; Tang, W.; Ouyang, C.; Zhou, X.; Yuan, H.; et al. Anisotropic coding metamaterials and their powerful manipulation of differently polarized terahertz waves. Light Sci. Appl. 2016, 5, e16076. [Google Scholar] [CrossRef]
- Liu, S.; Zhang, L.; Cu, T.J.; Yang, Q.L.; Xu, Q.; Yang, Y.; Noor, A.; Zhang, Q.; Iqbal, S.; Wan, X.; et al. Frequency-dependent dual-functional coding metasurfaces at terahertz frequencies. Adv. Opt. Mater. 2016, 4, 1965–1973. [Google Scholar] [CrossRef]
- Pan, S.; Lin, M.; Xu, M.; Zhu, S.; Bian, L.A.; Li, G. A low-profile programmable beam scanning holographic array antenna without phase shifters. IEEE Internet Things J. 2021. [Google Scholar] [CrossRef]
- Fang, J.; Huang, J.; Gou, Y.; Shang, Y. Research on broadband tunable metamaterial absorber based on PIN diode. Optik 2020, 200, 163171. [Google Scholar] [CrossRef]
- Luo, Y.; He, Y.; Xu, S.; Yang, G. Programmable zeroth-order resonance with uniform manipulation using the nonlinearity of PIN diodes. IEEE Antennas Wirel. Propag. Lett. 2019, 18, 2419–2423. [Google Scholar] [CrossRef]
- Jiang, H.; Cui, Y.; Jiang, Y. Two-dimensional tunable polarization-dependent absorptions for binary and ternary coding. Opt. Mater. Express 2020, 10, 787–795. [Google Scholar] [CrossRef]
- Liu, W.; Song, Z. Terahertz absorption modulator with largely tunable bandwidth and intensity. Carbon 2021, 174, 617–624. [Google Scholar] [CrossRef]
- He, X.; Shi, S.; Yang, X.; Li, S.; Wu, F.; Jiang, J. Voltage-tunable terahertz metamaterial based on liquid crystal material for bandpass filters and phase shifters. Integr. Ferroelectr. 2017, 178, 131–137. [Google Scholar] [CrossRef]
- Song, Z.; Zhang, J. Achieving broadband absorption and polarization conversion with a vanadium dioxide metasurface in the same terahertz frequencies. Opt. Express 2020, 28, 12487–12497. [Google Scholar] [CrossRef]
- Jeong, Y.G.; Bahk, Y.M.; Kim, D.S. Dynamic terahertz plasmonics enabled by phase-change materials. Adv. Opt. Mater. 2020, 8, 1900548. [Google Scholar] [CrossRef]
- Hashemi, M.R.M.; Yang, S.H.; Wang, T.; Sepúlveda, N.; Jarrahi, M. Electronically-controlled beam-steering through vanadium dioxide metasurfaces. Sci. Rep. 2016, 6, 35439. [Google Scholar] [CrossRef] [PubMed]
- Shin, J.H.; Park, K.H.; Ryu, H.C. Electrically controllable terahertz square-loop metamaterial based on VO2 thin film. Nanotechnology 2016, 27, 195202. [Google Scholar] [CrossRef] [PubMed]
- Coy, H.; Cabrera, R.; Sepúlveda, N.; Fernández, F. Optoelectronic and all-optical multiple memory states in vanadium dioxide. J. Appl. Phys. 2010, 108, 113115. [Google Scholar] [CrossRef] [Green Version]
- Zhao, S.; Hu, F.; Xu, X.; Jiang, M.; Zhang, W.; Yin, S.; Jiang, W. Electrically triggered dual-band tunable terahertz metamaterial band-pass filter based on Si3N4–VO2–Si3N4 sandwich. Chin. Phys. B 2019, 28, 054203. [Google Scholar] [CrossRef]
- Sanphuang, V.; Ghalichechian, N.; Nahar, N.K.; Volakis, J.L. Reconfigurable THz filters using phase-change material and integrated heater. IEEE Trans. Terahertz Sci. Technol. 2016, 6, 583–591. [Google Scholar] [CrossRef]
- Li, T.; Luo, X.; Hu, F.; Li, G.; Xu, W.; Zhou, Y.; Wang, Z.; Zhang, X.; Zhang, L.; Wang, Y. Terahertz bandstop-to-bandpass converter based on VO2 hybrid metasurface. J. Phys. D Appl. Phys. 2021, 54, 435105. [Google Scholar] [CrossRef]
- Yahiaoui, R.; Chase, Z.A.; Kyaw, C.; Seabron, E.; Mathews, J.; Searles, T.A. Dynamically tunable single-layer VO2/metasurface based THz cross-polarization converter. J. Phys. D Appl. Phys. 2021, 54, 235101. [Google Scholar] [CrossRef]
- Yang, C.; Gao, Q.; Dai, L.; Zhang, Y.; Zhang, H.; Zhang, Y. Bifunctional tunable terahertz circular polarization converter based on Dirac semimetals and vanadium dioxide. Opt. Mater. Express 2020, 10, 2289–2303. [Google Scholar] [CrossRef]
- Lv, F.; Wang, L.; Xiao, Z.; Chen, M.; Cui, Z.; Xu, Q. Asymmetric transmission polarization conversion of chiral metamaterials with controllable switches based on VO2. Opt. Mater. 2021, 114, 110667. [Google Scholar] [CrossRef]
- Zhao, Y.; Huang, Q.; Cai, H.; Lin, X.; Lu, Y. A broadband and switchable VO2-based perfect absorber at the THz frequency. Opt. Commun. 2018, 426, 443–449. [Google Scholar] [CrossRef]
- Ren, Z.; Cheng, L.; Hu, L.; Liu, C.; Jiang, C.; Yang, S.; Ma, Z.; Zhou, C.; Wang, H.; Zhu, X. Photoinduced broad-band tunable terahertz absorber based on a VO2 thin film. ACS Appl. Mater. Interfaces 2020, 12, 48811–48819. [Google Scholar] [CrossRef] [PubMed]
- Zhang, Y.; Wu, P.; Zhou, Z.; Chen, X.; Yi, Z.; Zhu, J.; Zhang, T.; Jile, H. Study on temperature adjustable terahertz metamaterial absorber based on vanadium dioxide. IEEE Access 2020, 8, 85154–85161. [Google Scholar] [CrossRef]
- Song, Z.; Wang, K.; Li, J.; Liu, Q.H. Broadband tunable terahertz absorber based on vanadium dioxide metamaterials. Opt. Express 2018, 26, 7148–7154. [Google Scholar] [CrossRef] [PubMed]






Publisher’s Note: MDPI stays neutral with regard to jurisdictional claims in published maps and institutional affiliations. |
© 2021 by the authors. Licensee MDPI, Basel, Switzerland. This article is an open access article distributed under the terms and conditions of the Creative Commons Attribution (CC BY) license (https://creativecommons.org/licenses/by/4.0/).
Share and Cite
Dong, Y.; Yu, D.; Li, G.; Lin, M.; Bian, L.-A. Terahertz Metamaterial Modulator Based on Phase Change Material VO2. Symmetry 2021, 13, 2230. https://doi.org/10.3390/sym13112230
Dong Y, Yu D, Li G, Lin M, Bian L-A. Terahertz Metamaterial Modulator Based on Phase Change Material VO2. Symmetry. 2021; 13(11):2230. https://doi.org/10.3390/sym13112230
Chicago/Turabian StyleDong, Yanfei, Dingwang Yu, Gaosheng Li, Mingtuan Lin, and Li-An Bian. 2021. "Terahertz Metamaterial Modulator Based on Phase Change Material VO2" Symmetry 13, no. 11: 2230. https://doi.org/10.3390/sym13112230
APA StyleDong, Y., Yu, D., Li, G., Lin, M., & Bian, L.-A. (2021). Terahertz Metamaterial Modulator Based on Phase Change Material VO2. Symmetry, 13(11), 2230. https://doi.org/10.3390/sym13112230

