Abstract
We investigate the well-known one-dimensional perturbed Gelfand boundary value problem and approximate the values of and such that this problem has a unique solution when and and has three solutions when and The solutions of this problem are always even functions due to its symmetric boundary values and autonomous characteristics. We use numerical computation to show that . This result improves the existing result for and increases the accuracy of to We developed an algorithm that reduces errors and increases efficiency in our computation. The interval of for this problem to have three solutions for given values of is also computed with accuracy up to
1. Introduction
We study the well-known one-dimensional perturbed Gelfand two-point boundary value problem (BVP) [1,2]
where is the Frank-Kamenetskii parameter, or ignition parameter, is the activation energy parameter, is the dimensionless temperature, and the reaction term is the temperature dependence obeying the simple arrhenius reaction-rate law in irreversible chemical reaction kinetics. It has been a long-standing conjecture [3,4,5,6,7,8,9,10,11,12,13,14,15,16] about the shapes of evolutionary bifurcation curves and the exact multiplicity of positive solutions of (1) with In particular, Hastings and McLeod [3] proved the bifurcation curve is S-shaped on the plane when is large enough. Therefore, for each , there exist at least two positive solutions when is sufficiently large. Brown et al. [4] obtained a better result by finding an estimation of Wang [5] proved that BVP (1) has multiple solutions when This upper bound was improved to 4.35 by Korman and Li [6]. The most recent result about this problem is from S. Y. Huang and S. H. Wang [8,9], proving that BVP (1) has three solutions when . We prove that this problem has a unique solution for and has three solutions when . The interval of for BVP (1) to have three solutions for given value is also computed with accuracy up to
It is well-known that the solutions of this problem are always even functions due to its symmetric boundary values and autonomous characteristics. Since the equation in (1) is a quasi-linear differential equation, we will find an implicit general solution of this problem first and apply the boundary values to it. Because is always true and , has only one stagnation point that must be a maximum. For developing our algorithm, we first use this property and basic calculus techniques to convert BVP (1.1) to an integral equation.
Assuming that is the stagnation point for , we consider the following initial value problem
Integrating the equation in (2) once, we get the following integral equation
or
Since is the maximum, one has that for and for Hence we can write (4) as follows:
Integrating (5) again, we get the implicit solution of (2) as follows:
or
Applying the boundary conditions of (1) to (7), we get
and
It follows (8) and (9) that and
Hence, we have
Equation (11) has a unique solution C for certain values of and if and only if BVP (1) has a unique solution for the same values of and . Furthermore, the number of solutions C to Equation (11) is corresponding to the number of solutions of BVP (1) for the given values of and . In the following sections, we investigate the values of , and such that (11) has a unique solution when and and has three solutions when and In Section 2, we prove that BVP (1) has three solutions when for some values of and provide the graphical solutions for some values of and . In Section 3, we prove that there is a positive number such that BVP (1) has a unique solution for all values of and Based on the results in Section 2 and Section 3, an must exist. We prove that is between and in Section 4. In Section 5, we calculate and draw a graph that displays a region of and in which BVP (1) has three solutions. This region shows a clear relationship between , and We also draw the two corresponding solutions when is exactly the maximum or minimum of The article is concluded at Section 6.
2. Three Solutions of BVP (1), Their Graphical Representations and the Corresponding Interval when
As we have explained in the previous section, we will work with Equation (11). All the calculations in this article use 32 bit precision.
Since numerical computation of double integrals is time-consuming and also causes large errors, we first convert the left-side of (11) into a single integral. In fact, this is a crucial move for this computation to be possible. Using power series expansion, we have
where
and
Putting (12) into (11), we have
When w approaches C, the denominator of the integrand in (15) approaches 0, which causes very large error of the computation. To overcome this problem, we use (12) and integrate by parts to get
Putting (16) into (15), we have
where
It follows (11) that for and Therefore, Equation (17) has at least one solution for any , and whether Equation (17) has multiple positive roots depends on the number of extreme values of and the value of If has one maximum and one minimum, and is between them, (17) must have three roots. If is exactly the maximum or minimum of (17) has exactly two roots (the horizontal line at value meets the curve of at this maximum point and also cuts the curve at a point to the right of the maximum point, or meets the curve of at this minimum point and cuts the curve at a point to the left of the minimum point). Otherwise there is only one root.
Due to the fact that is a function with an integral, it is difficult to find the extremum by analysis. We now use numerical method to find the extrema, or stagnation points of Let
where
Taking out the common factor, we consider the following equivalent equation of (19):
where
We will find the roots of (21) by Newton’s method with the following iteration formula:
where
We implemented our algorithm using Mathematica to compute the x values where the extremum values occur and the corresponding extremum values of for several values of nearby and greater than 4, and results are recorded in the following table.
Table 1 shows that when gets closer and closer to 4, the two extremum points of get closer and closer, with the extremum points converging to a value between and and the extremum values converging to a value between and
Table 1.
Extrema distribution of .
When and the value of is between and where and are the minimum value and the maximum value of , respectively, Equation (17) has three roots, which are separated by the extreme points. When changes from to and or is very small and the allowable error decreases from to which means that decreases from to as decreases from to when we set in our numerical calculation. This is almost impossible if is chosen randomly, but we can manage to work it out by selecting
When we use Newton’s method and the Mathematica language to find the roots of (17) by choosing i.e., . The iteration formula here is as follows:
where and are calculated with (18) and (20), respectively. For several values of that are near and greater than 4, we performed some computation. The range of each in this table is the value of for which Equation (17) has three roots with the corresponding value of The three roots in the table are the roots of Equation (17) corresponding to the given values of and Our results are recorded in the following table.
Remark 1.
When Table 2 shows that if we take λ for to be between the maximum and the minimum of , for x near the three roots. In fact, Newton’s method does not work for finding the roots of (17) in this case so we have to switch to the dichotomy method. is taken as a fraction for ensuring the accuracy of calculation, otherwise it is difficult to get the three roots in high precision. This method is also used in the following drawings. To draw the solution curve of BVP (1) by using the inverse function mapping method, we rewrite Equation (10) as follows:
Table 2.
The range of and three roots of (17).
We use some internal functions of Mathematica to draw the three solutions of BVP (1) corresponding to the first six sets of data from Table 2 and present them in Figure 1. It is difficult to distinguish the solutions of BVP (1) graphically corresponding to the last two sets of data in Table 2 because the maximum values of the solutions approaches 4.89.
Figure 1.
Graphical solutions for some values of and .
3. The Interval of for BVP (1) to Have a Unique Solution
It is easy to prove the following lemma.
Lemma 1.
Let Then the function , has the following properties.
(1). and .
(2). When , it is decreasing over .
(3). When it has a local minimum at and a local maximum at
(4). When , is increasing and
First we refine the idea of Brown, Ibrahim and Shivaji [4]. Let . Then, Equation (11) can be written as
Now, we denote the left side of (27) by and take its derivative with respect to
where For the solution of BVP (1) to be unique, we need to be monotone. We take the derivative of with respect to
Therefore, when and and in turn we have for all and Therefore, Equation (27) or BVP (1) has a unique solution when .
The integrand of an integral does not need to be always nonnegative for the integral to be nonnegative. Heuristically, we should be able to get if the function in the integral of (28) is negative in a “small” interval. That means we should be able to allow to pass the value 4 for some “small” interval for Equation (27) or BVP (1) to have a unique solution. Based on this heuristic idea, we give the following theorem.
Theorem 1.
There exists an such that for all and
Proof.
Since we only need to consider the behavior of for all in a neighborhood of we may assume that First, we expand the integrand of the integral expression in around
Assume that and for a constant and or BVP (1) has three solutions for all values of . The existence of constant b is guaranteed by the fact that must change to positive from negative at some value of x because Equation (11) has three solutions. First, we break the integral expression of into three parts:
Since the integrand of is of order at and it is defined over closed intervals for and there is a positive constant such that Since we can take such that when Now, we can choose a small enough such that As we know that we can choose an such that for all which implies that This is clearly a contradiction and the proof of the Theorem is complete. □
Remark 2.
Theoretically, our next step is to prove that if when α is close to Because we do have difficulties to do this analytically, we now use our numerical result in Table 1 for help. The data in table one shows that the maximum point of or increases from and the minimum point of or decreases from when the value of α decreases from . Thus the numerical result shows that the interval of x in which must start with a number larger than . Applying this result to above theorem, it shows that there is a positive value ϵ such that BVP (1) has a unique solution for all
4. The Value of
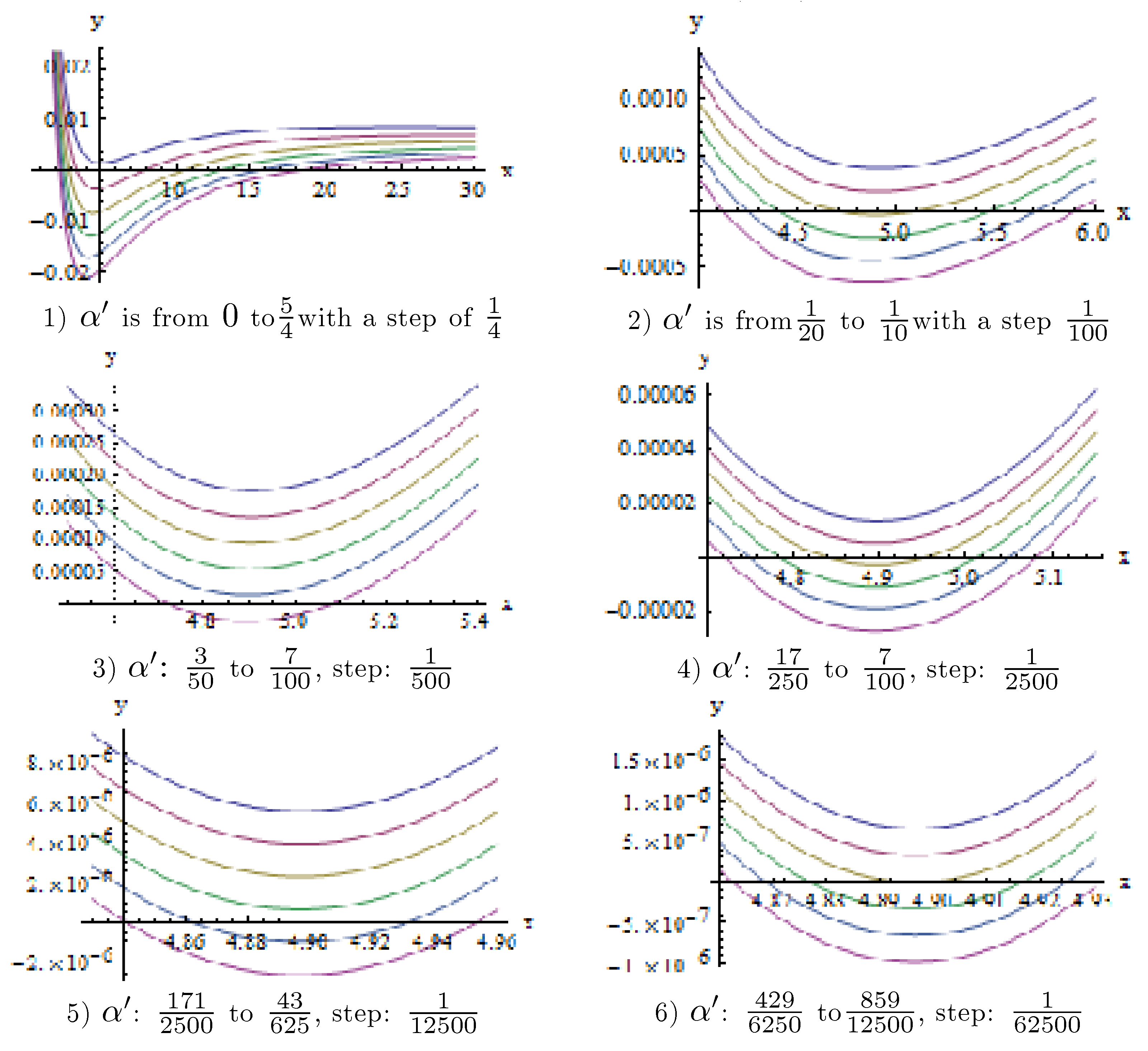
Now we get back to Equations (19) and (20) and use some internal functions of Mathematica and our algorithm to draw the graphs of for several values of and present them in Figure 2.
Figure 2.
Graphs of .
In these sets of graphs, the graph of moves down one curve as increases one given step. From these figures, we can see that is above the x axis entirely and therefore the function increases monotonously on when or increases above some points. We can clearly see that the third curve () from the top of set (6) is almost tangent to the axis, based on which we may claim that For getting a clear view, we refine the graph of for the value of between and .
From the left set of Figure 3, one can clearly see that the second graph from the bottom intersects the x-axis, and the third graph is above the x-axis, which shows that The right set of Figure 3 shows that the third graph from the bottom intersects the x-axis, and the fourth curve is above the x-axis, which shows Now, we can conclude that the value of is between and for BVP (1) to have a unique solution when and three solutions when As we have mentioned earlier, the distance between the three solutions is within even if there are three different solutions when the value of is less than We can reasonably say that BVP (1) has a unique solution when for practical purposes.
Figure 3.
Graphs of .
5. Multiple Solution Region Determined by and
When and Equation (17) has three roots, and in turn BVP (1) has three solutions. We want to draw the curves of and by curve fitting for displaying the dependence of the values of and . Because the data in Table 1 are not enough for fitting these two curves, we use Mathematica language and our algorithm to generate more data in addition to those in Table 1, and record it in Table 3 below.
Table 3.
Extrema distribution of for .
Using some internal functions of Mathematica and the data in Table 1 and Table 3, the curves of and are fitted out in Figure 4,
where
and
Figure 4.
Regions of multiple solutions and unique solution for BVP (1).
Figure 4 shows a clear relationship of the values of and for BVP (1) to have three solutions.
When or Equation (17) has only one root, thus BVP (1) has a unique solution. When or Equation (17) has two roots, thus BVP (1) has two solutions. Now, we try to graph the two solutions corresponding to some values of and
Let the two roots of Equation (17) are and Using the values of and we get the corresponding solutions of BVP (1) using (26). Their images are shown in Figure 5 with the corresponding graph of above them.
Figure 5.
Graphs of and (26) for ,.
Let the two roots of Equation (17) are and Using these values of and we get the corresponding two solutions of BVP (1) using (26). Their images are shown in Figure 6 with the corresponding graph of above them.
Figure 6.
Graphs of and (26) for ,.
It can be seen from (2) in Figure 6 that the function changes gently near the minimum point. If deviates slightly, it will enter the three positive solution region or the unique solution region. Therefore, it is quite challenging to find two positive solutions in the lower boundary of the three positive solution region.
6. Conclusions
In this article, we studied the well-known one-dimensional perturbed Gelfand two-point boundary value problem (1). We first converted it to equivalent integral representation (11). By reducing (11) to a single integral and combining Newton’s method with the dichotomy method, we developed a very efficient algorithm with high precision for computing the values of and such that this problem has a unique solution when and and has three solutions when and Our result improves the the existing result by Huang and Wang [8,9] from to This improvement of approximation is essential for finding the exact value of in future works. We also used a separate section to prove that there is a positive number such that BVP (1) has a unique solution for all values of and Once the value of is found, finding the values of and becomes necessary. We used our algorithm to approximate these values with accuracy up to corresponding to a few values of A region illustrating the dependence of the values of and is graphed. Hopefully, this pattern of dependence can help future researchers to figure out the precise dependence of these values. During the revision process of this article, we have noticed that the method of optimal fourth order multiple root solvers without using derivatives developed by Sharma, Kumar and Jäntschi [16] may be applied to this problem. We will certainly explore this alternate route and try to improve our result further in our future work.
Author Contributions
Both authors contributed equally. All authors have read and agreed to the published version of the manuscript.
Funding
This work is supported by the National Natural Science Foundation of China (Grant No. 61379009 and No. 61771010).
Institutional Review Board Statement
Not applicable.
Informed Consent Statement
Not applicable.
Data Availability Statement
The programming code needed for computation and the data generated are available upon request.
Acknowledgments
The authors express their many thanks to the reviewers for spending their precious time to review the paper and provide valuable comments, suggestions and corrections. Special thanks also go to James Pomfret and Zhen Lu for reading our paper and correcting the English errors.
Conflicts of Interest
The authors declare that they have no conflict of interest/competing interest.
References
- Bebernes, J.; Eberly, D. Mathematical Problems from Combustion Theory; Springer: New York, NY, USA, 1989. [Google Scholar]
- Boddington, T.; Gray, P.; Robinson, C. Thermal explosion and the disappearance of criticality at small activation energies: exact results for the slab. Proc. R. Soc. Lond. Ser. A Math. Phus. Eng. Sci. 1979, 368, 441–461. [Google Scholar]
- Hastings, S.P.; McLeod, J.B. The number of solutions to an equation from catalysis. Proc. R. Soc. Edinb. Sect. Math. 1985, 101, 213–230. [Google Scholar] [CrossRef]
- Brown, K.J.; Ibrahim, M.M.A.; Shivaji, R. S-Shaped bifurcation curves. Nonlinear Anal. 1981, 5, 475–486. [Google Scholar] [CrossRef]
- Wang, S.H. On S-shaped bifurcation curves. Nonlinear Anal. 1994, 22, 1475–1485. [Google Scholar] [CrossRef]
- Korman, P.; Li, Y. On the exactness of an S-Shaped bifurcation curve. Proc. Am. Math. Soc. 1999, 127, 1011–1020. [Google Scholar] [CrossRef]
- Hung, K.C.; Wang, S.H. A theorem on S-shaped bifurcation curve for a positone problem with convex, concave nonlinearity and its applications to the perturbed Gelfand problem. J. Differ. Equ. 2011, 251, 223–237. [Google Scholar] [CrossRef]
- Huang, S.Y.; Wang, S.H. On s-shaped bifurcation curves for a two-point boundary value problem arising in a theory of thermal explosion. Discret. Contin. Dyn. Syst. 2015, 35, 4839–4858. [Google Scholar] [CrossRef]
- Huang, S.Y.; Wang, S.H. Proof of a conjecture for the one-dimensional perturbed Gelfand Problem from combustion theory. Arch. Rational Mech. Anal. 2016, 222, 769–825. [Google Scholar] [CrossRef]
- Kang, S.; Lu, Y.; Feng, W. λ-Interval of Triple Positive Solutions for the Perturbed Gelfand Problem. Symmetry 2021, 13, 1606. [Google Scholar] [CrossRef]
- Du, Y. Exact multiplicity and S-shaped bifurcation curve for some semilinear elliptic problems from combustion theory. SIAM J. Math. Anal. 2000, 32, 707–733. [Google Scholar] [CrossRef]
- Du, Y.; Lou, Y. Proof of a conjecture for the perturbed Gelfand equation from combustion theory. J. Differ. Equ. 2001, 173, 213–230. [Google Scholar] [CrossRef][Green Version]
- Korman, P.; Li, Y.; Ouyang, T. Computing the location and direction of bifurcation. Math. Res. Lett. 2005, 12, 933–944. [Google Scholar] [CrossRef]
- Shi, J. Persistence and bifurcation of degenerate solutions. J. Funct. Anal. 1999, 169, 494–521. [Google Scholar] [CrossRef]
- Shivaji, R. Remarks on an S-shaped bifurcation curve. J. Math. Anal. Appl. 1985, 111, 374–387. [Google Scholar] [CrossRef]
- Sharma, J.R.; Kumar, S.; Jäntschi, L. On a class of optimal fourth order multiple root solvers without using derivatives. Symmetry 2019, 26, 1452. [Google Scholar] [CrossRef]
Publisher’s Note: MDPI stays neutral with regard to jurisdictional claims in published maps and institutional affiliations. |
© 2021 by the authors. Licensee MDPI, Basel, Switzerland. This article is an open access article distributed under the terms and conditions of the Creative Commons Attribution (CC BY) license (https://creativecommons.org/licenses/by/4.0/).





