Abstract
Even at the end of the twentieth century, the view of the one-step [4+2] cycloaddition (Diels-Alder) reaction mechanism was widely accepted as the only possible one, regardless of the nature of the reaction components. Much has changed in the way these reactions are perceived since then. In particular, multi-step mechanisms with zwitterionic or diradical intermediates have been proposed for a number of processes. This review provided a critical analysis of such cases.
1. Introduction
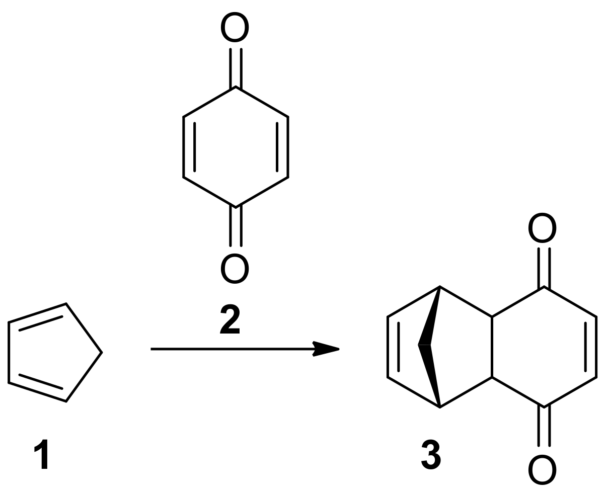
The history of the [4+2] cycloaddition reaction began in 1928, when Otto Diels and his student, Kurt Alder, published the work in which they described the cycloaddition of cyclopentadiene (1) to quinone (2) (Scheme 1) [1]. Since then, the number of literature reports dealing with the most diverse aspects of [4+2] cycloaddition has been steadily increasing.
Scheme 1.
The “original” Diels-Alder reaction between cyclopentadiene (1) and quinone (2).
Today, this reaction-named after the discoverers of the Diels-Alder reaction-is the most universal method of obtaining six-membered carbon and heterocyclic structures (Figure 1) [2,3,4]. Currently, in addition to conjugated 1,3-dienes, conjugated nitroalkenes [5,6,7] are tested quite frequently as hetero-analogues of the dienes. The role of hetero-analogues of ethene as components of the cycloaddition reaction includes molecular segments containing nitrogen [8,9], oxygen [10,11], sulphur [12,13], selenium [14], and others.
Figure 1.
Number of publications regarding to the Diels-Alder reaction in the 1935–2020 years according to the Scopus database.
According to the classical school of organic chemistry, the course of the [4+2] cycloaddition reaction was usually interpreted on the basis of the FMO theory and the rules of the conservation of the symmetry of orbitals [15,16]. At present, this “philosophy” based on the analysis of molecular orbitals seems to be quite outdated as it does not always provide adequate information [17]. Instead, nowadays, the parameters of global and local electrophilicity and nucleophilicity, defined within the Conceptual DFT (CDFT), are used [18]. Moreover, Domingo generally challenges the term “pericyclic reaction” in relation to most [4+2] cycloaddition processes [19]. In the light of the current state of knowledge, the [4+2] cycloaddition reactions should be classified according to the nature of intermolecular interactions in the elementary reaction. These interactions may be polar or non-polar, depending on how much the global electrophilicities/nucleophilicities of the reaction components will differ [20]. The nature of these interactions, however, does not impose in advance the one- or two-step nature of cycloaddition. In the case of both polar and non-polar processes, two-step reactions are possible. However, while in polar reactions the intermediates are zwitterionic species [21], in non-polar reactions, they are diradical ones [22] (Scheme 2).
Scheme 2.
General classification of [4+2] cycloaddition reaction mechanisms.
Even in the 1960s, the one-step “concerted” mechanism of [4+2] cycloadditions was adopted as dogma [23]. Such a mechanism implies the retention of the original addends stereoconfiguration (cis-stereospecificity), since in this case the formation of new sigma-bonds occurs simultaneously with the destruction of the pi bonds. The situation becomes more complicated, however, when we allow the possibility of the acyclic intermediate appearing in the reaction environment. Then, both cis-stereospecific products and those with a relative configuration of the substituents other than in the addends may appear in the post-reaction mixture [24]. This is possible as a consequence of free rotation around single bonds within the intermediate (Scheme 3). Thus, the reaction mechanism is crucial for the number and configuration of products for [4+2] cycloadditions.
Scheme 3.
The influence of the [4+2] cycloaddition reaction mechanism on its stereochemistry.
Nowadays, various techniques, both experimental and quantum-chemical, are used to study the mechanistic aspects of the cycloaddition reaction. The first information about the reaction mechanism can be obtained from thorough analysis of the reaction mixture. In particular, the two-step mechanism may suggest the loss of stereoconfiguration due to addends (Scheme 3), but also the presence of acyclic products with a conformation suggesting that they were transformed from the originally formed zwitterions and/or diradicals. The presence of this first group of intermediates in the reaction mixture can be proved independently by spectral analysis using NMR or UV/VIS techniques [25]. Investigation of the reaction course with kinetic methods can, in turn, provide data on the substituent and solvent effects and activation parameters, which shed light on the nature of the reaction transition states [26,27,28,29]. In turn, measurements of kinetic isotope effects make it possible to estimate the degree of advancement of new, specific chemical bonds [30,31,32]. On the other hand, data on the process step may be provided by thermogravimetric studies of retro-cycloaddition processes [33]. In the literature, some [4+2] cycloaddition reaction cases can be found, in which the presence of zwitterionic/diradical intermediate can be proposed based on research using the above-mentioned methods. However, these studies are very diverse in nature and practical value.
2. Diels-Alder Reactions
The simplest “prototype” case of the [4+2] cycloaddition reaction between buta-1,3-diene 4 and ethene 5 (Scheme 4) was the subject of both experimental and theoretical studies of various research groups. In experimental conditions, this reaction is carried out at a temperature of 175 °C and a pressure of 6000 bar [34]. Quantum chemistry studies at various theoretical levels have shown that the path leading to the product follows one high-synchronic transition state, which is confirmed by experimental determinations of kinetic isotope effects [35,36,37,38]. Quantum-chemical studies have shown that a path passing through two transition states and an intermediate (7) of a radical nature is theoretically possible [37,38]. This path, however, regardless of the level of theory applied, must be considered insurmountable from a kinetic perspective.
Scheme 4.
The [4+2] cycloaddition reaction between buta-1,3-diene 4 and ethene 5.
Similar studies were also carried out for the analogous reaction with cyclopentadiene 1, leading to very similar conclusions [39,40,41]. In an analogous reaction with the participation of perfluorinated ethylene analogue 8, apart from the expected norbornene 9, perflurocyclobutane 11 is also formed (Scheme 5), which, as the authors suggest, testifies to the formation of a diradical intermediate undergoing various cyclisation processes along competing paths [42,43]. The diradical nature of the postulated intermediate was confirmed based on the quantum-chemical calculations at UB3LYP/6-311G(d) [44]. At the same time, the conversion of diradical 10 to cyclobutane 11 is the only possible path of cyclisation. The conformation excludes cyclisation of the diradical 10 to adduct 9. The gradual rotation around the C(F2)-CF2 bond occurs simultaneously with the gradual dissociation of the bond between the tetrafuoroethene 8 and cyclopentadiene 1 substructures. As a result, it led to the reconstruction of the original addends, which are converted to 9 according to the aforementioned one-step mechanism.
Scheme 5.
The [4+2] cycloaddition reaction between cyclopentadiene 1 and perfluoroethene 8.
The cycloadditions of cyclopentadiene 1 to nitroalkenes having the CF3 group in the 2-position of the nitrovinyl fragment are clearly polar. This is due to the presence of two electron-withdrawing groups (EWG) groups adjacent to the reaction centres of the 2-π-electron component. These processes lead to mixtures of appropriate, stereoisomeric nitronorbornenes 14 + 15 differing endo/exo in the location of the nitro group (Scheme 6) [45]. The DFT calculations showed that the isomer with the exo orientation 15 of the nitro group was formed by an asynchronous but one-step mechanism, while the isomer with the endo orientation 14 of the nitro group was formed by a two-step mechanism with the heterocyclic intermediate 13 [46]. At the same time, in the case of reactions involving nitroalkenes additionally functionalised in position 1, a third, competitive path to the zwitterion 16 with an “extended” conformation is possible.
Scheme 6.
The [4+2] cycloaddition reaction between cyclopentadiene 1 and CF3-functionalised nitroalkenes 12.
Cycloadditions of cyclopentadiene 1 to 2-arylonitroethenes 16 took place at elevated temperature and led to mixtures of endo- and exo-isomeric nitronorbornenes, and their one-step nature is not in doubt regardless of the reaction conditions [47,48,49]. Analogous reactions with the participation of 2-aryl-1-cyano-1-nitroethenes 17 (Scheme 7), despite the greater concentration of substituents at the reaction centres, take place very easily even at 0 °C [50,51]. The reason is the strongly polar nature of the cycloaddition, determined by the extremely π-deficient nature of the nitroalkene. The data on the mechanism of this transformation is provided by the DFT computational study data [52]. In “conventional” solvents (such as dichloromethane or toluene), exo-nitronorbornenes 20 are formed by a one-step mechanism through highly asynchronous transition states, whereas endo-nitronorbornenes 19 are formed by a two-step mechanism with a heterocyclic intermediate 18. The introduction of an ionic liquid into the reaction medium causes, on the path leading to final exo-nitronorbornene 20, a change of the one-step mechanism into a two-step mechanism with zwitterionic intermediate 21. This is a consequence of the interaction of the ionic liquid cations with the 2-π-component of the analysed reaction [53]. It should be noted that, for analogous reactions involving the less β-deficient 2-π-components, a similar catalytic effect accelerates the cycloaddition but does not promote the stepwise mechanism [54].
Scheme 7.
The [4+2] cycloaddition reaction between cyclopentadiene 1 and 2-aryl-1-cyano-1-nitroethenes 17.
DFT calculations suggest that, according to the two-step mechanism with heterocyclic intermediate, a similar reaction of cyclopentadiene 1 with methyl p,β-dinitrocinnamate 22 occurs [55] (Scheme 8).
Scheme 8.
The [4+2] cycloaddition reaction between cyclopentadiene 1 and methyl p, β-dinitrocinnamate 22.
The cycloaddition reactions of cyclopentadiene 1 with fumaric acid esters 26 (Scheme 9) have been the subject of detailed studies by many research groups. Such studies have been carried out with the retention of the stereoconfiguration of the dienophile, and the one-step character has been confirmed by kinetic studies [23,56,57,58].
Scheme 9.
The [4+2] cycloaddition reaction between cyclopentadiene 1 and fumaric acid esters 26.
However, in a similar reaction with the participation of perchlorocyclopentadiene 28, together with the cycloadduct (31) presenting an identical stereoconfiguration to that brought in from the dienophile, a product with the different Z/E stereoconfiguration (32) was formed with the yield of 27% [59] (Scheme 10). This suggests the stepwise nature of the analysed cycloaddition. Taking into account the non-polar nature of the addends interactions, this reaction is most likely occurring through the stereoisomeric diradical intermediates 30. The cycloadditions of the same diene with other E-1,2-disubstituted ethene analogues 29 are similar.
Scheme 10.
The [4+2] cycloaddition reaction between perchlorocyclopentadiene 28 and 1,2-disubstituted alkenes 29.
As is well known, arenes generally do not show the properties typical of alkenes or conjugated dienes. Sometimes, however, they can participate in [4+2] cycloaddition reactions as diene analogues [60]. For example, the reaction of anthracene 33 with 1,2-disubstituted nitroalkene 34 leads to the expected cycloadduct 35, and additionally, small amounts of the Michael adduct 37 [61] (Scheme 11). The presence of the latter product in the reaction mixture indicates that the zwitterionic intermediate 37 must have arisen in the course of the addends interactions. However, detailed DFT studies have shown that it is not a common intermediate for 35 and 37 formation processes, and that the cycloaddition leading to the Diels-Alder adduct is carried out according to the one-step mechanism [62].
Scheme 11.
The [4+2] cycloaddition reaction between anthracene 33 and 1-bromonitroethene 34.
Furan 38 reacts with the same nitroalkene [63] and 2-methylfuran 43 with methyl 3-nitroacrylate 44 [64] in a similar way (Scheme 12 and Scheme 13).
Scheme 12.
The [4+2] cycloaddition reaction between furan 38 and 1-bromonitroethene 34.
Scheme 13.
The [4+2] cycloaddition reaction between 2-methylfuran 43 and methyl 3-nitroacrylate 44.
The reaction between 4,6-dinitrobenzofuroxan (50) and 1-trimethylsilyloxybuta-1,3-diene (48/49) (Scheme 14) has been the subject of comprehensive mechanistic studies. According to the analysis of the nature of electrophile-nucleophile interactions, the authors suggested [65] a polar nature for the cycloaddition, which prompted them to perform experimental tests to confirm the presence of zwitterionic intermediate in the reaction environment. These studies were performed in two ways, studying the kinetics of the reaction and monitoring the cycloaddition environment with spectroscopic methods. Both of these techniques confirmed the formation of the zwitterionic intermediate product, which, according to the authors, undergoes competitive cyclisation to the cyclohexene analogue (52) or to the HDA-type adduct (54). Later DFT studies showed that, in fact, the course of this reaction is even more complex [66]. In the first step of the reaction, two different zwitterions (51 and 53) can form, one of which is cyclised to cyclohexene 52 and the other to its heterocyclic analogue 54. In addition, there is a possibility of free rotation within zwitterionic intermediates, which puts both possible isomeric forms of the intermediate in a certain balance with each other.
Scheme 14.
The [4+2] cycloaddition reactions between 4,6-dinitrobenzofuroxan 50 and 1-trimethylsilyloxybuta-1,3-diene 48/49.
DFT calculations suggest that zwitterionic intermediates are also formed during the reaction of 1-methoxy-3-trimethylsilyloxy-buta-1,3-diene 55 with 3-nitropyridine 56 [67] (Scheme 15).
Scheme 15.
The [4+2] cycloaddition reaction between 1-methoxy-3-trimethylsilyloxy-buta-1,3-diene 55 reaction and 3-nitropyridine 56.
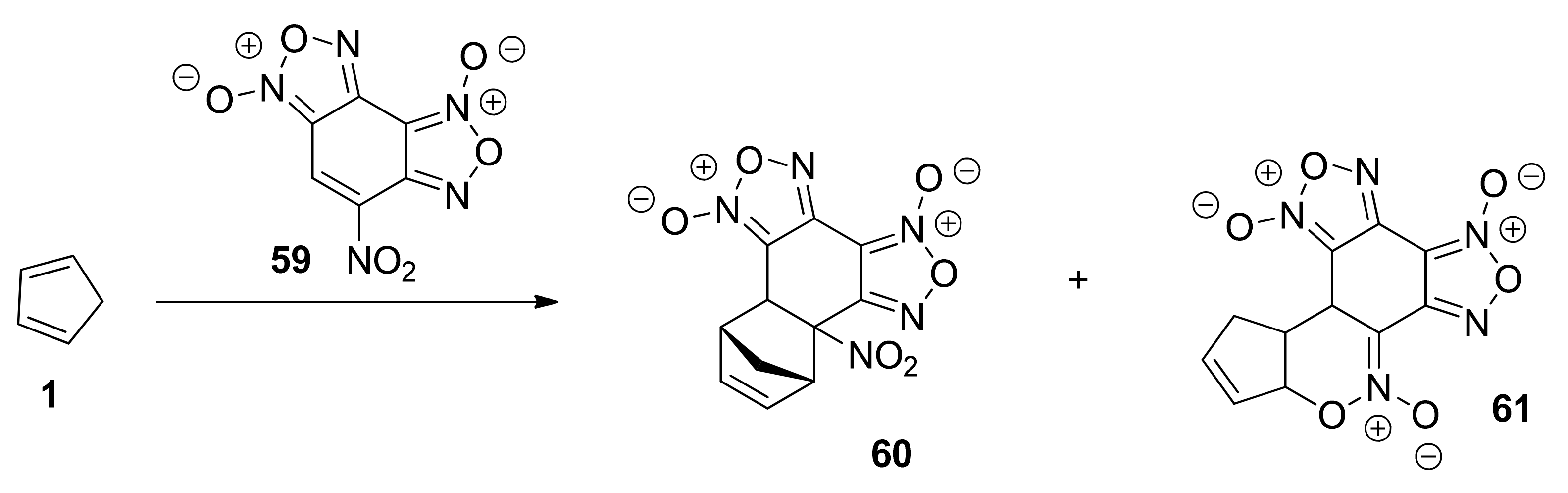
However, a similar reaction with the participation of cyclopentadiene 1 and nitrobenzodifuroxan 60, despite its polar nature, takes place according to the one-step mechanism [68,69] (Scheme 16).
Scheme 16.
The [4+2] cycloaddition reaction between cyclopentadiene 1 and nitrobenzodifuroxan 59.
3. Hetero Diels-Alder Reactions Involving Heteroanalogs of Dienes
The vast majority of the [4+2] cycloaddition reactions described in the literature with the participation of nitroalkenes as diene heteroanalogues take place under catalytic conditions [70,71,72]. However, in the case of the more highly deficient nitroalkenes, activated by the presence of an additional EWG group, the reaction may take place under thermal conditions. At the same time, due to the strongly polar nature of interactions in such processes, they can be realised with the participation of a zwitterionic intermediate. Thus, the authors of [73] described a series of cycloadditions of 2-aryl-1-cyano-1-nitroethenes 17 to vinyl ethyl ether 62. These reactions take place at temperatures ranging from 0–25 °C, leading to the expected cycloadducts 63 within a few minutes (Scheme 17). However, comprehensive kinetic studies including the analysis of the substituent and solvent effects in these cycloadditions ruled out the presence of acyclic intermediates 64 on the reaction paths [74]. DFT simulations of the profiles of the reaction paths led to a similar conclusion.
Scheme 17.
The [4+2] cycloaddition reaction between 2-aryl-1-cyano-1-nitroethenes 17 and vinyl ethyl ether 62.
The presence of a zwitterionic intermediate was postulated by the authors of [75] in reference to the [4+2] cycloaddition of ethyl α,p-dinitrocinnamate 65 with a series of alkyl vinyl ethers 62. DFT studies have shown that zwitterionic intermediates 67 can be reversibly formed in the course of the reaction (Scheme 18) [76]. However, their direct cyclisation to cycloadducts is not possible due to conformation (the bending of the molecule causes the reaction centres to be too far apart). The conversion of zwitterions 67 to cycloadducts 66 is accomplished by the dissociation step into individual addends, followed by a one-step, polar cycloaddition.
Scheme 18.
The [4+2] cycloaddition reaction between α,p-dinitrocinnamate 65 and vinyl ethyl ether 62.
The reaction of 4,4,4-trifluoro-2-nitrobut-2-ene 68 with 3,3-dimethyl-2-morpholinobutene 69, apart from the expected cycloadduct 71, also yields the acyclic adduct 72 (Scheme 19). This gave the authors of [77] the basis for the statement that the reaction is carried out through a zwitterionic intermediate, which on competing pathways can either cyclise to 71 or convert to 72 via the [1,3]-H-sigmatropic shift step. DFT calculations confirm that heterocyclic ring formation is accomplished via zwitterionic intermediate 70 [78]. However, it is not the same intermediate that appears through the conversion of addends into 72.
Scheme 19.
The [4+2] cycloaddition reaction between 4,4,4-trifluor-2-nitrobut-2-ene 68 and enamine 69.
Similar cycloadditions with the use of the same nitroalkene 68 and pull-push enamine 73 were also the subject of research [79]. These reactions led to mixtures of the corresponding [4+2] and [2+2] cycloadducts (75 and 76 respectively) (Scheme 20). The presence of the latter cycloadduct leads to the conclusion that a zwitterionic intermediate must be formed in the course of addends interactions, because [2+2] cycloadditions do not occur as one-step processes. However, it is not known whether zwitterion 74 is a common intermediate for both competing cycloadditions.
Scheme 20.
The [4+2] cycloaddition reaction between 4,4,4-trifluor-2-nitrobut-2-ene 68 and pull-push enamine 73.
It is not only nitroalkenes that can be heteroanalogues of diene in stepwise cycloadditions. For example, the reactions between 3,5,6-triphenyl-1,2,4-triazine 77 and 2-cyclopropylidene-1,3-dimethylimidazolidine 78 at −40 °C lead to a relatively stable zwitterion 79, which can be identified by spectroscopic methods [80] (Scheme 21). Due to the significant degree of spatial hindrance, cyclisation of zwitterion 81 requires a higher temperature, at which there is a spontaneous elimination of nitrogen from the resulting cycloadduct 80.
Scheme 21.
The [4+2] cycloaddition reaction between 3,5,6-triphenyl-1,2,4-triazine 77 and 2-cyclopropylidene-1,3-dimethylimidazolidine 78.
4. Hetero Diels-Alder Reactions Involving Heteroanalogs of Dienophiles
Reactions of 1,3-butaliene 4 with formaldehyde and thioformaldehyde (82) were the subject of theoretical studies using the CASSCF(8,7)/6-31(d,p) and CASSCF(6.6)/6-31G(d,p) theory levels [81]. These studies revealed optimised geometries of diradicals 84 that could be formed in the course of these reactions (Scheme 22). At the same time, the process of their formation should be considered forbidden from the kinetic point of view in the conditions of competition with one-step [4+2] cycloaddition.
Scheme 22.
The [4+2] cycloaddition reaction between 1,3-butaliene 4 and formaldehyde and thioformaldehyde (82).
In addition,1-phenyl-1-tosyl-azine-ethene 85 reactions with thioketones 86, 88 were investigated [82]. These reactions, regardless of the structure of the thioketone, always take place in a completely regioselective manner (Scheme 23). DFT calculations showed, however, that their mechanism may be completely different. In particular, cycloadditions involving diarylthioketones 86 follow an asynchronous but one-step mechanism. In contrast, analogous processes involving 1-thioxo-2,2,4,4-tetramethylcyclobutan-3-one 88 take place in a two-step mechanism with zwitterionic intermediate 89.
Scheme 23.
The [4+2] cycloaddition reaction between 1-phenyl-1-tosyl-azine-ethene 85 reactions with thioketones 86, 88.
Reactions of isomeric hexa-2,4-dienes 91 and 92 with diarylselenoketones 93 take place in a regioselective manner [83] (Scheme 24). However, regardless of the initial geometric configuration of the diene, identical stereoisomeric products 94 and 95 were detected in the post-reaction mixture. This observation prompts us to assume the presence of acyclic intermediates in the reaction environment, which through isomerisation are responsible for the presence of non-stereospecific cycloadducts. Unfortunately, there are no other premises indicating a two-step reaction mechanism [83]. Neither are there hints as to the nature of the hypothetical intermediates 96. Based on similar premises, a two-step mechanism of the reaction of 2,3-dimethyl-buta-1,3-dienes with diarylthioketones is predicted [84].
Scheme 24.
The [4+2] cycloaddition reaction between hexa-2,4-dienes 91 and 92 with diarylselenoketones 93.
Carbon dioxide 97, as it is commonly known, is not a very highly reactive molecule [85,86]. Even with a relatively active nucleophile, which is cyclopentadiene 1, it does not undergo the cycloaddition reaction. DFT calculations have shown that, in the gas phase, such a process would be carried out according to a one-step mechanism, through a transition state of relatively high synchronicity (Scheme 25) [87]. However, the energy of this transition state is so high that it excludes the likelihood of effective conversion of the reaction components under normal conditions. The introduction of a solvent and catalysts in the form of Lewis acids (LA) with boron core into the reaction medium lowers the activation barrier to such an extent that the [4+2] cycloaddition process can be carried out at room temperature. Moreover, the one-step mechanism observed in the gas phase gives way to the two-step mechanism with zwitterionic intermediate.
Scheme 25.
The [4+2] cycloaddition reaction between cyclopentadiene 1 and carbon dioxide 97.
5. Conclusions
Even 30 years ago, the discussion on examples of stepwise [4+2] cycloaddition reactions took the form of an analysis of incidental cases that elude the “classic” rule. Today, many examples of such reactions can be found in the literature. It is no longer possible to treat them marginally anymore. It is significant that the vast majority of such processes are carried out with the participation of zwitterionic-type intermediates. The processes in which it is possible to look for intermediates with diradical nature type belong to the minority. Sometimes the presence of an acyclic intermediate does not affect the stereochemistry of the reaction. This happens, for example, when intermediates with the “extended” conformation are formed, which, due to their conformation, cannot be converted into cycloadducts in one step. In the literature one can find such cases relating to both zwitterionic and diradical intermediates. It should also be mentioned that the collected material regarding the analysed class of reactions has a different value. There are cases where the stepwise mechanism is postulated on the basis of an ambiguous stereochemical criterion. There are also cases where the results of kinetic studies have been collected that allow for the indirect observation of transition states and/or rapid spectroscopic studies that allow to look for signs of labile intermediates in the reaction environment. Much of the existing work is supported by quantum-chemical computation data. Finally, there are incidental cases where acyclic intermediates can be isolated under certain conditions as relatively stable connections. Overall, the number of postulated stepwise [4+2] cycloaddition cases is constantly increasing and the coming years should bring significant progress in this area.
Funding
This research received no external funding.
Institutional Review Board Statement
Not applicable.
Informed Consent Statement
Not applicable.
Data Availability Statement
Not applicable.
Conflicts of Interest
The author declares no conflict of interest.
References
- Diels, O.; Alder, K. Synthesen in der hydroaromatischen Reihe. Liebigs Ann. Chem. 1928, 460, 98–122. [Google Scholar] [CrossRef]
- Funel, J.-A.; Abele, S. Industrial Applications of the Diels-Alder Reaction. Angew. Chem. Int. Ed. 2013, 52, 3822–3863. [Google Scholar] [CrossRef]
- Nicolaou, K.C.; Snyder, S.A.; Montagnon, T.; Vassilikogiannakis, G. The Diels-Alder Reaction in Total Synthesis. Angew. Chem. Int. Ed. 2002, 41, 1668–1698. [Google Scholar] [CrossRef]
- Juhl, M.; Tanner, D. Recent applications of intramolecular Diels-Alder reactions to natural product synthesis. Chem. Soc. Rev. 2009, 38, 2983–2992. [Google Scholar] [CrossRef]
- Łapczuk-Krygier, A.; Kącka-Zych, A.; Kula, K. Recent progress in the field of cycloaddition reactions involving conjugated nitroalkenes. Curr. Chem. Lett. 2019, 8, 13–38. [Google Scholar] [CrossRef]
- Yan, G.; Borah, A.J.; Wang, L. Recent advances in the synthesis of nitroolefin compounds. Org. Biomol. Chem. 2014, 12, 6049–6058. [Google Scholar] [CrossRef] [PubMed]
- Halimehjani, A.Z.; Namboothiri, I.N.N.; Hooshmanda, S.E. Nitroalkenes in the synthesis of carbocyclic compounds. RSC Adv. 2014, 4, 31261–31299. [Google Scholar] [CrossRef]
- Lamri, S.; Heddam, A.; Kara, M.; Yahia, W.; Nacereddine, A.K. The Role of the Catalyst on the Reactivity and Mechanism in the Diels-Alder Cycloaddition Step of the Povarov Reaction for the Synthesis of a Biological Active Quinoline Derivative: Experimental and Theoretical Investigations. Organics 2021, 2, 57–71. [Google Scholar] [CrossRef]
- Kącka-Zych, A. Understanding the uniqueness of the stepwise [4+1] cycloaddition reaction between conjugated nitroalkenes and electrophilic carbene systems with a molecular electron density theory perspective. Int. J. Quantum Chem. 2021, 121, e26440. [Google Scholar] [CrossRef]
- Lystsova, E.A.; Khramtsova, E.E.; Maslivets, M.A. Acyl(imidoyl)ketenes: Reactive Bidentate Oxa/Aza-Dienes for Organic Synthesis. Symmetry 2021, 13, 1509. [Google Scholar] [CrossRef]
- Khramtsova, E.E.; Dmitriev, M.; Maslivets, M.A. Synthesis of 1,4-benzothiazinones from acylpyruvic acids or furan-2,3-diones and o-aminothiophenol. Beilstein J. Org. Chem. 2020, 16, 2322–2331. [Google Scholar]
- Benhamed, L.; Mekelleche, S.M.; Charif, I.E.; Benchouk, W.; Ríos-Gutiérrez, M.; Domingo, L.R. Understanding the influence of the trifluoromethyl group on the chemo-, regio-, and stereoselectivity of [3+2]-cycloadditions of thiocarbonyl S-methanides with a,b-unsaturated ketones. A molecular electron density theory study. ChemistrySelect 2020, 5, 12791–12806. [Google Scholar] [CrossRef]
- Kula, K.; Łapczuk-Krygier, A. A DFT computational study on the [3+2] cycloaddition between parent thionitrone and nitroethene. Curr. Chem. Lett. 2018, 7, 27–34. [Google Scholar] [CrossRef]
- Fang, Y.; Zhu, Z.-L.; Xu, P.; Wang, S.-Y.; Ji, S.-J. Aerobic radical-cascade cycloaddition of isocyanides, selenium and imidamides: Facile access to 1,2,4-selenadiazoles under metal-free conditions. Green Chem. 2017, 19, 1613–1618. [Google Scholar] [CrossRef]
- Fukui, K. Molecular Orbitals in Chemistry, Physics, and Biology; Academic Press: New York, NY, USA, 1964. [Google Scholar]
- Woodward, R.B.; Hoffmann, R. The Conservation of Orbital Symmetry. Angew. Chem. Int. Ed. Engl. 1969, 8, 781–853. [Google Scholar] [CrossRef]
- Domingo, L.R. Molecular electron density theory: A modern view of reactivity in organic chemistry. Molecules 2016, 21, 1319. [Google Scholar] [CrossRef] [PubMed]
- Domingo, L.R.; Ríos-Gutiérrez, M.; Pérez, P. Applications of the conceptual density functional indices to organic chemistry reactivity. Molecules 2016, 21, 748. [Google Scholar] [CrossRef] [Green Version]
- Domingo, L.R.; Ríos-Gutiérrez, M.; Chamorro, E.; Pérez, P. Aromaticity in Pericyclic Transition State Structures? A Critical Rationalisation Based on the Topological Analysis of Electron Density. ChemistrySelect 2016, 1, 6026–6039. [Google Scholar] [CrossRef]
- Domingo, L.R.; Sáez, J.A. Understanding the mechanism of polar Diels-Alder reactions. Org. Biomol. Chem. 2009, 7, 3576–3583. [Google Scholar] [CrossRef] [PubMed]
- Domingo, L.R.; Chamorro, E.; Pérez, P. Understanding the Mechanism of Non-Polar Diels-Alder Reactions. A Comparative ELF Analysis of the Concerted and Stepwise Diradical Mechanisms. Org. Biomol. Chem. 2010, 8, 5495–5504. [Google Scholar] [CrossRef]
- Domingo, L.R.; Ríos-Gutiérrez, M.; Pérez, P. Unveiling the Lewis Acid Catalysed Diels-Alder Reactions through the Molecular Electron Density Theory. Molecules 2020, 25, 2535. [Google Scholar] [CrossRef]
- Martin, J.G.; Hill, R.K. Stereochemistry of the Diels-Alder Reaction. Chem. Rev. 1961, 61, 537–562. [Google Scholar] [CrossRef]
- Jasiński, R.; Dresler, E. On the Question of Zwitterionic Intermediates in the [3+2] Cycloaddition Reactions: A Critical Review. Organics 2020, 1, 49–69. [Google Scholar] [CrossRef]
- Jasiński, R.; Mirosław, B.; Demchuk, O.M.; Babyuk, D.; Łapczuk-Krygier, A. In the search for experimental and quantumchemical evidence for zwitterionic nature of (2E)-3-[4-(dimethylamino)phenyl]-2-nitroprop-2-enenitrile—An extreme example of donor-p-acceptor push-pull molecule. J. Mol. Struct. 2016, 1108, 689–697. [Google Scholar] [CrossRef]
- Kostiv, I.; Marshalok, O.; Marshalok, G.; Pyrig, I. Effect of the Reactants Molar Ratio on the Kinetics of the Reaction to Obtain 2-hydroxyethyl-1,3,4 trimethyl-cyclohex-3-encarboxylate. Chem. Chem. Tekh. 2015, 9, 277–280. [Google Scholar] [CrossRef] [Green Version]
- Kostiv, I.S. Investigation of the reaction mechanism of [4+2] cyclization of 2,3 dimethylbuta-1,3-diene to methylacrylate using the Michaelis-Menten equation. French. Ukr. J. Chem. 2018, 6, 74–81. [Google Scholar] [CrossRef] [Green Version]
- Demchuk, O.M.; Jasiński, R.; Strzelecka, D.; Dziuba, K.; Kula, K.; Chrzanowski, J.; Krasowska, D. A clean and simple method for deprotection of phosphines from borane complexes. Pure Appl. Chem. 2018, 90, 49–62. [Google Scholar] [CrossRef]
- Jasiński, R.; Mróz, K. Kinetic aspects of [3+2] cycloaddition reactions between (E)-3,3,3-trichloro-1-nitroprop-1-ene and ketonitrones. React. Kinet. Mech. Catal. 2015, 116, 35–41. [Google Scholar] [CrossRef] [Green Version]
- Singleton, D.A.; Schulmeier, B.E.; Hang, C.; Thomas, A.A.; Leung, S.-W.; Merrigan, S.R. Isotope effects and the distinction between synchronous, asynchronous, and stepwise Diels-Alder reactions. Tetrahedron 2001, 57, 5149–5160. [Google Scholar] [CrossRef]
- Saettel, N.J.; Wiest, O.; Singleton, D.A.; Meyer, M.P. Isotope effects and the mechanism of an electron-transfer-catalyzed Diels-Alder reaction. J. Am. Chem. Soc. 2002, 124, 11552–11559. [Google Scholar] [CrossRef] [PubMed]
- Yang, Y.; Zhang, X.; Zhong, L.P.; Lan, J.; Li, X.; Li, C.-C.; Chung, L.-W. Unusual KIE and dynamics effects in the Fe-catalyzed hetero-Diels-Alder reaction of unactivated aldehydes and dienes. Nat. Commun. 2020, 11, 1850. [Google Scholar] [CrossRef] [Green Version]
- Kula, K.; Kącka-Zych, A.; Łapczuk-Krygier, A.; Wzorek, Z.; Nowak, A.; Jasiński, R. Experimental and theoretical mechanistic study on the thermal decomposition of 3,3-diphenyl-4-(trichloromethyl)-5-nitropyrazoline. Molecules 2021, 26, 1364. [Google Scholar] [CrossRef]
- Barlett, P.D.; Schueller, K.E. Cycloaddition. VIII. Ethylene as a Dienophile. A minute Amount of 1,2 Cycloaddition of Etylene to Butadiene. J. Am. Chem. Soc. 1968, 90, 6071–6077. [Google Scholar] [CrossRef]
- Houk, K.N.; Lin, Y.-T.; Brown, F.K. Evidence for the Concerted Mechanism of the Diels-Alder reaction of Butadiene with Ethylene. J. Am. Chem. Soc. 1986, 108, 554–556. [Google Scholar] [CrossRef]
- Bernardi, F.; Bottoni, A.; Field, M.J.; Guest, M.F.; Hillier, I.H.; Robb, M.A.; Venturini, A. MC-SCF Study of the Diels-Alder Reaction between Ethylene and Butadiene. J. Am. Chem. Soc. 1988, 110, 3050–3055. [Google Scholar] [CrossRef]
- Goldstein, E.; Beno, B.; Houk, K.N. Density Functional Theory Prediction ofthe Relative Energies and Isotope Effects for the Concerted and Stepwise Mechanisms of the Diels-Alder Reaction of Butadiene and Ethylene. J. Am. Chem. Soc. 1996, 118, 6036–6043. [Google Scholar] [CrossRef]
- Sakai, S. Theoretical Analysis of Concerted and Stepwise Mechanims of Diels-Alder Reaction between Butadiene and Ethylene. J. Phys. Chem. A 2000, 104, 922–927. [Google Scholar] [CrossRef]
- Jursic, B.; Zdravkovski, Z. DFT study of the Diels-Alder reactions between ethylene with buta-1,3-diene and cyclopentadiene. J. Chem. Soc. Perkin Trans. 2 1995, 6, 1223–1226. [Google Scholar] [CrossRef]
- Jorgensen, W.L.; Lim, D.; Blake, J.F. Ab initio study of Diels-Alder reactions of cyclopentadiene with ethylene, isoprene, cyclopentadiene, acrylonitrile, and methyl vinyl ketone. J. Am. Chem. Soc. 1993, 115, 2936–2942. [Google Scholar] [CrossRef]
- Branchadell, A. Density functional study of Diels-Alder reactions between cyclopentadiene and substituted derivatives of ethylene. Int. J. Quantum Chem. 1998, 61, 381–388. [Google Scholar] [CrossRef]
- Drysdale, J.J.; Gilbert, W.W.; Sinclair, H.K.; Sharkey, W.H. A New Synthesis of Tropolone. J. Am. Chem. Soc. 1958, 80, 3672–3675. [Google Scholar] [CrossRef]
- Christova, N.B.; Pavlova, S.D.; Kostov, G.K. Kinetics of cycloaddition of tetrafluoroethylene to dicyclopentadiene. React. Kinet. Catal. Lett. 1993, 49, 393–402. [Google Scholar] [CrossRef]
- Jasiński, R. A reexamination of molecular mechanism of the Diels-Alder reaction between tetrafluoroethene and cyclopentadiene. React. Kinet. Mech. Catal. 2016, 119, 49–57. [Google Scholar] [CrossRef] [Green Version]
- Klenz, O.; Miethchen, R.; Michalik, M. Organofluorine compounds and fluorinating agents. Part 16: Monoalkylations and cycloadditions with trans-3,3,3-trifluoro-1-nitropropene. J. Fluor. Chem. 1996, 81, 205–210. [Google Scholar] [CrossRef]
- Jasiński, R. β-Trifluoromethylated nitroethenes in Diels-Alder reaction with cyclopentadiene: A DFT computational study. J. Fluor. Chem. 2018, 206, 1–7. [Google Scholar] [CrossRef]
- Allen, C.F.H.; Bell, A. β-Nitrostyrene in the Diene Synthesis. J. Org. Chem. 1943, 61, 521–522. [Google Scholar] [CrossRef]
- Bourguignon, J.; Le Nard, G.; Queguiner, G. Synthèse d’aryl nitronorbornènes par cycloaddition de Diels-Alder entre les aryl-nitroéthylènes et le cyclopentadiène. Justification de la stéréochimie et de la réactivité relative observées par la méthode CNDO/II. Obtention d’aryl aminonorbornènes. Can. J. Chem. 1985, 63, 2354–2361. [Google Scholar] [CrossRef]
- Jasiński, R.; Socha, J.; Mróz, K. Mechanizm [4+2] cykloaddycji cyklopentadienu do E-b-nitrostyrenu w świetle obliczeń B2LYP/6-311G**. Czas. Techn. 2010, 107/1Ch, 123–127. [Google Scholar]
- Łapczuk-Krygier, A.; Ponikiewski, L.; Jasiński, R. The Crystal Structure of (1RS,4RS,5RS,6SR)-5-Cyano-5-nitro-6-phenyl-bicyclo[2.2.1]hept-2-ne. Cryst. Rep. 2014, 59, 961–963. [Google Scholar] [CrossRef]
- Łapczuk-Krygier, A.; Dresler, E.; Jasiński, R. Ionic liquids as an effective and eco-friendly medium for synthesis of nitrosubstituted norbornene analogs. Przem. Chem. 2016, 95, 1928–1931. [Google Scholar]
- Jasiński, R. First example of stepwise, zwitterionic mechanism for bicyclo[2.2.1]hept-5-ene (norbornene) formation process catalyzed by the 1-butyl-3-methylimidazolium cations. Monatsh. Chem. 2016, 147, 1207–1213. [Google Scholar] [CrossRef] [Green Version]
- Jasiński, R. A stepwise, zwitterionic mechanism for the 1,3-dipolar cycloaddition between (Z)-C-4-methoxyphenyl-N-phenylnitrone and gem-chloronitroethene catalyzed by 1-butyl-3-methylimidazolium ionic liquid cations. Tetrahedron Lett. 2015, 56, 532–535. [Google Scholar] [CrossRef]
- Benhamed, L.; Mekelleche, S.M.; Benchouk, W. Theoretical Insight into the Reversal of Chemoselectivity in Diels-Alder Reactions of α,β-Unsaturated Aldehydes and Ketones Catalyzed by Brønsted and Lewis Acids. Organics 2021, 2, 38–49. [Google Scholar] [CrossRef]
- Jasiński, R. Solvent effect on the mecchanism of [4+2] cycloaddition of cyclopentadiene with methyl (Z)-p,-dinitrocinnamate. Czas. Techn. PK 2012, 109/2-M, 139–144. [Google Scholar]
- Huertas, D.; Florscher, M.; Dragojlovic, V. Solvent-free Diels-Alder reactions of in situ generated cyclopentadiene. Green Chem. 2009, 11, 91–95. [Google Scholar] [CrossRef]
- Silvestri, M.; Dills, C.E. A kinetic study of the Diels-Alder reaction: An experiment illustrating simple second-order reaction kinetic. J. Chem. Educ. 1989, 66, 690–691. [Google Scholar] [CrossRef]
- Kiesman, W.F.; Petter, R.C. Lewis-acid catalysis of the asymmetric Diels-Alder reaction of dimenthyl fumarate and cyclopentadiene. Tetrahedron Asymmetry 2002, 13, 957–960. [Google Scholar] [CrossRef]
- Mark, V. Nonstereospecific Diels-Alder reactions. I. Reaction of hexachlorocyclopentadiene with 1,2-disubstituted ethylenes. J. Org. Chem. 1974, 39, 3179–3181. [Google Scholar] [CrossRef]
- Kącka-Zych, A.; Pérez, P. Perfluorobicyclo[2.2.0]hex-1(4)-ene as unique partner for Diels-Alder reactions with benzene: A density functional theory study. Theor. Chem. Acc. 2021, 140, 17. [Google Scholar] [CrossRef]
- Anisimova, N.A.; Kuzhaeva, A.A.; Berkova, G.A.; Deiko, L.I.; Berestovitskaya, V.M. Reactions of 2-Nitro- and 2-Bromo-2-nitroethenylphosphonates with Anthracene. Russ. J. Gen. Chem. 2005, 75, 689–693. [Google Scholar] [CrossRef]
- Kącka-Zych, A. Participation of Phosphorylated Analogues of Nitroethene in Diels-Alder Reactions with Anthracene: A Molecular Electron Density Theory Study and Mechanistic Aspect. Organics 2020, 1, 36–48. [Google Scholar] [CrossRef]
- Anisimova, N.A.; Kuznaeva, A.A.; Berkova, G.A.; Berestovitskaya, V.M.; Deiko, L.I. Specific Features of the Reaction of 2-Nitro- and 2-Bromo-2-Nitroethenylphosphonates with Furan. Russ. J. Gen. Chem. 2005, 75, 1750–1756. [Google Scholar] [CrossRef]
- Itoh, K.; Kitoh, K.; Kishimoto, S. Concerted and stepwise mechanisms in the Diels–Alder and Michael reactions of furans with methyl 3-nitroacrylate—Experimental and theoretical studies. Canad. J. Chem. 2006, 84, 392–406. [Google Scholar] [CrossRef]
- Lakhdar, S.; Terrier, F.; Vichard, D.; Berionni, G.; El-Guesmi, N.; Goumont, R.; Boubaker, T. The Diels-Alder Reaction of 4,6-Dinitrobenzofuroxan with 1-Trimethylsilyloxybuta-1,3-diene: A Case Example of a Stepwise Cycloaddition. Chem. Eur. J. 2010, 16, 5681–5690. [Google Scholar] [CrossRef]
- Linder, M.; Johansson, A.J.; Brinck, T. Mechanistic Insights into the Stepwise Diels-Alder Reaction of 4,6-Dinitrobenzofuroxan. Org. Lett. 2012, 14, 118–121. [Google Scholar] [CrossRef]
- Ormachea, C.M.; Mancini, P.M.E.; Kneeteman, M.N.; Domingo, L.R. A Understanding the participation of 3-nitropyridine in polar Diels-Alder reactions. A DFT study. Comput. Theor. Chem. 2015, 1072, 37–42. [Google Scholar] [CrossRef]
- Kurbatov, S.; Goumont, R.; Lakhdar, S.; Marrot, J.; Terrier, F. 4-Nitrobenzodifuroxan: A highly reactive nitroolefin in Diels–Alder reactions. Tetrahedron 2005, 61, 8167–8176. [Google Scholar] [CrossRef]
- Steglenko, D.V.; Kletsky, M.E.; Kurbatov, S.V.; Tatarov, A.V.; Minkin, V.I.; Goumont, R.; Terrier, F. A theoretical and experimental study of the polar Diels-Alder cycloaddition of cyclopentadiene with nitrobenzodifuroxan. J. Phys. Org. Chem. 2009, 22, 298–307. [Google Scholar] [CrossRef]
- Denmark, S.E.; Kesler, B.S.; Moon, Y.C. Inter- and intramolecular [4+2] cycloadditions of nitroalkenes with olefins. 2-Nitrostyrenes. J. Org. Chem. 1992, 57, 4912–4924. [Google Scholar] [CrossRef]
- Pipic, A.; Zeller, M.; Tsetsakos, P. Sequential Diels-Alder/[3,3]-sigmatropic rearrangement reactions of β-nitrostyrene with 3-methyl-1,3-pentadiene. Beilstein J. Org. Chem. 2013, 9, 2137–2146. [Google Scholar]
- Denmark, S.E.; Cramer, C.J.; Sternberg, J.A. Intermolecular [4+2]-Cycloadditions of Nitroalkenes with Cyclic Olefins. Transformations of Cyclic Nitronates. Helv. Chim. Acta 1986, 69, 1971–1989. [Google Scholar] [CrossRef]
- Fringuelli, F.; Matteucci, M.; Piermatti, O.; Pizzo, F.; Burla, M.C. [4+2] Cycloadditions of Nitroalkenes in Water. Highly Asymmetric Synthesis of Functionalized Nitronates. J. Org. Chem. 2001, 66, 4661–4666. [Google Scholar] [CrossRef]
- Jasiński, R.; Magdalena Kubik, M.; Łapczuk-Krygier, A.; Kącka, A.; Dresler, E.; Boguszewska-Czubara, A. An experimental and theoretical study of the hetero Diels-Alder reactions between (E)-2-aryl-1-cyano-1-nitroethenes and ethyl vinyl ether: One-step or zwitterionic, two-step mechanism? React. Kinet. Mech. Catal. 2014, 113, 333–345. [Google Scholar] [CrossRef] [Green Version]
- Tohda, Y.; Yamawaki, N.; Matsui, H.; Kawashima, T.; Ariga, M.; Mori, Y. Synthesis and a novel fragmentation of 6-alkoxy-5,6-dihydro-4H-1,2-oxazine 2-oxide. Bull. Chem. Soc. Jpn. 1988, 61, 461–465. [Google Scholar] [CrossRef] [Green Version]
- Jasiński, R. Searching for zwitterionic intermediates in Hetero Diels–Alder reactions between methyl α,p-dinitrocinnamate and vinyl-alkyl ethers. Comput. Theor. Chem. 2014, 1046, 93–98. [Google Scholar] [CrossRef]
- Korotaev, V.Y.; Barkov, A.Y.; Slepukhin, P.A.; Kodess, M.I.; Sosnovskikh, V.Y. Uncatalyzed reactions of a-(trihaloethylidene)nitroalkanes with push–pull enamines: A new type of ring–ring tautomerism in cyclobutane derivatives and the dramatic effect of the trihalomethyl group on the reaction pathway. Tetrahedron Lett. 2011, 52, 5764–5768. [Google Scholar] [CrossRef]
- Kącka-Zych, A.; Jasiński, R. Molecular mechanism of Hetero Diels-Alder reactions between (E)-1,1,1-trifluoro-3-nitrobut-2-enes and enamine systems in the light of Molecular Electron Density Theory. J. Mol. Graph. Model. 2020, 101, 107714. [Google Scholar] [CrossRef]
- Korotayev, Y.V.; Barkov, A.Y.; Slepukhin, P.A.; Kodess, M.I.; Sosnovskikh, V.Y. Diastereoselective reactions of 1,1,1-trichloro(trifluoro)-3-nitrobut-2-enes with morpholinoalk-1-enes. Mendeleev Commun. 2011, 21, 112–114. [Google Scholar] [CrossRef]
- Ernd, M.; Heuschmann, M.; Zipse, H. Cycloadditions of Aryl-Substituted 1,2,4-triazines with 2-cyclopropylidene-1,3-dimethylimidazolidine-Zwitterions as Discrete Intermediate. Helv. Chim. Acta. 2005, 88, 1491–1518. [Google Scholar] [CrossRef]
- Sakai, S. Theoretical analysis of concerted and stepwise mechanisms of the hetero-Diels-Alder reaction of butadiene with formaldehyde and thioformaldehyde. J. Mol. Struct. 2003, 630, 177–185. [Google Scholar] [CrossRef]
- Mlostoń, G.; Urbaniak, K.; Sobiecka, M.; Heimgartner, H.; Würthwein, E.-U.; Zimmer, R.; Lentz, D.; Reissig, H.-U. Hetero-Diels-Alder Reactions of In Situ-Generated Azoalkenes with Thioketones; Experimental and Theoretical Studies. Molecules 2021, 26, 2544. [Google Scholar] [CrossRef]
- Wilker, S.; Erker, G. Stereochemistry of the [4+2] Cycloaddition of Diarylselenoketones with Conjugated Dienes. J. Am. Chem. Soc. 1995, 117, 10922–10930. [Google Scholar] [CrossRef]
- Mlostoń, G.; Grzelak, P.; Linden, A.; Heimgartner, H. Thia-Diels-Alder reactions of hetaryl thioketones with nonactivated 1,3-dienes leading to 3,6-dihydro-2H-pyrans: Evidence for a diradical mechanism. Chem. Heterocycl. Compd. 2017, 53, 518–525. [Google Scholar] [CrossRef] [Green Version]
- Liu, Q.; Wu, L.; Jackstell, R.; Beller, M. Using carbon dioxide as a building block in organic synthesis. Nat. Commun. 2015, 6, 5933. [Google Scholar] [CrossRef]
- Álvarez, A.; Borges, M.; Corral-Pérez, J.J.; Olcina, J.G.; Hu, L.; Cornu, D.; Huang, R.; Stoian, D.; Urakawa, A. CO2 Activation over Catalytic Surfaces. Phys. Chem. Phys. 2017, 18, 135–3141. [Google Scholar]
- Kula, K.; Kącka-Zych, A.; Łapczuk-Krygier, A.; Jasiński, R. Analysis of the possibility and molecular mechanism of carbon dioxide consumption in the Diels-Alder processes. Pure Appl. Chem. 2021, 93, 427–446. [Google Scholar] [CrossRef]
Publisher’s Note: MDPI stays neutral with regard to jurisdictional claims in published maps and institutional affiliations. |
© 2021 by the author. Licensee MDPI, Basel, Switzerland. This article is an open access article distributed under the terms and conditions of the Creative Commons Attribution (CC BY) license (https://creativecommons.org/licenses/by/4.0/).

























