Hydrodynamics Interactions of Metachronal Waves on Particulate-Liquid Motion through a Ciliated Annulus: Application of Bio-Engineering in Blood Clotting and Endoscopy
Abstract
1. Introduction
2. Problem Formulation
3. Solutions of the Proposed Problem
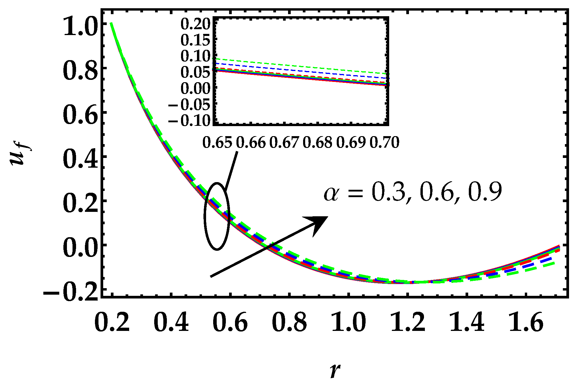
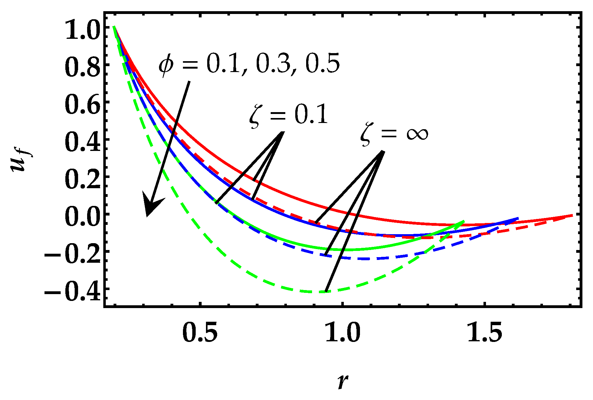
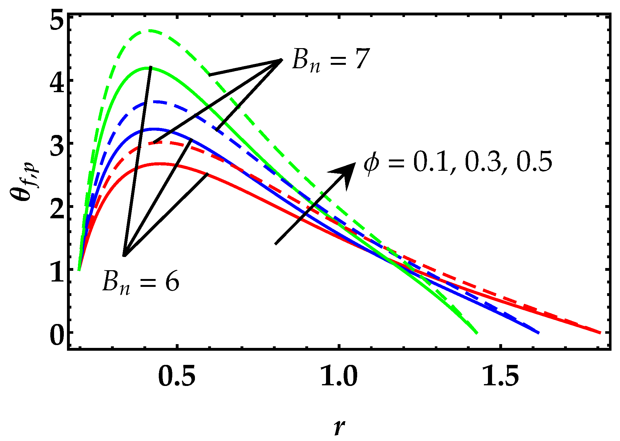
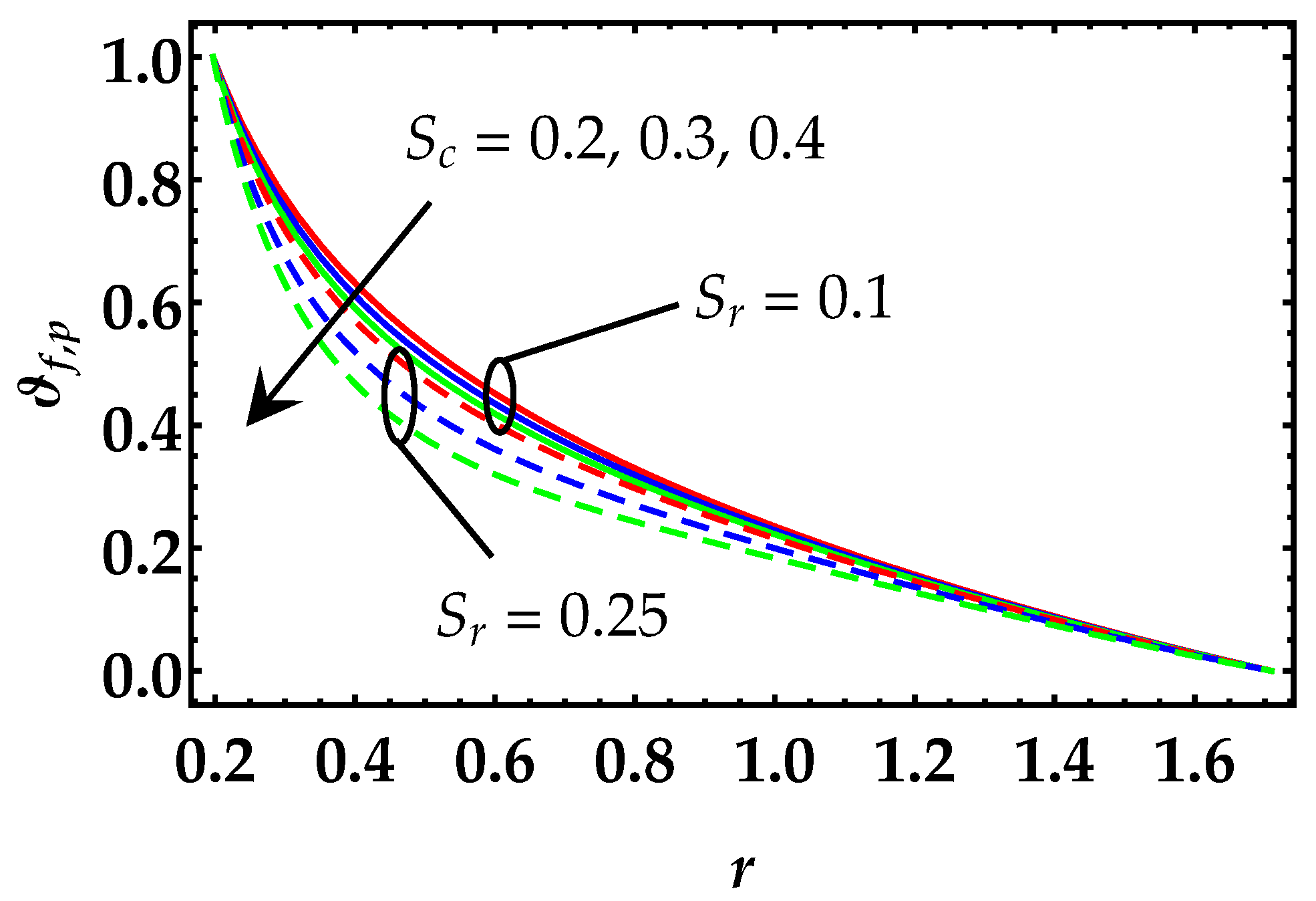
4. Graphical Analysis
5. Conclusions
- (i)
- It is noticed that particle volume strongly opposes the flow, whereas the fluid velocity also decreases for the endoscopic case as compared with the blot clot case.
- (ii)
- Velocity of the fluid also rises due to the enhancement in and .
- (iii)
- Temperature profile shows a higher magnitude in the presence of solid particles, while similar behavior is noticed during blood clot.
- (iv)
- Brinkman number shows the dominant behavior on the temperature profile and enhances the temperature profile remarkably.
- (v)
- Concentration profile reveals a decreasing behavior with the increase in the values of Soret and Schmidt numbers.
- (vi)
- and depict versatile behavior on the pressure rise profile.
- (vii)
- Particle volume fraction opposes the pressure rise, whereas the blood clot enhances the pressure rise.
- (viii)
- Trapping mechanism shows that the number of bolus gets bigger, and the streamlines gather as the height of the blood clot increases.
Author Contributions
Funding
Acknowledgments
Conflicts of Interest
Appendix A
References
- Lardner, T.; Shack, W. Cilia transport. Bull. Math. Biophys. 1972, 34, 325–335. [Google Scholar] [CrossRef] [PubMed]
- Nadeem, S.; Munim, A.; Shaheen, A.; Hussain, S. Physiological flow of Carreau fluid due to ciliary motion. AIP Adv. 2016, 6, 035125. [Google Scholar] [CrossRef]
- Nadeem, S.; Sadaf, H. Ciliary motion phenomenon of viscous nanofluid in a curved channel with wall properties. Eur. Phys. J. Plus 2016, 131, 65. [Google Scholar] [CrossRef]
- Maiti, S.; Pandey, S. Rheological fluid motion in tube by metachronal waves of cilia. Appl. Math. Mech. 2017, 38, 393–410. [Google Scholar] [CrossRef]
- Abo-Elkhair, R.; Mekheimer, K.S.; Moawad, A. Cilia walls influence on peristaltically induced motion of magneto-fluid through a porous medium at moderate Reynolds number: Numerical study. J. Egypt. Math. Soc. 2017, 25, 238–251. [Google Scholar] [CrossRef]
- Bhatti, M.; Zeeshan, A.; Rashidi, M. Influence of magnetohydrodynamics on metachronal wave of particle-fluid suspension due to cilia motion. Eng. Sci. Technol. Int. J. 2017, 20, 265–271. [Google Scholar] [CrossRef]
- Ashraf, H.; Siddiqui, A.M.; Rana, M.A. Fallopian tube assessment of the peristaltic-ciliary flow of a linearly viscous fluid in a finite narrow tube. Appl. Math. Mech. 2018, 39, 437–454. [Google Scholar] [CrossRef]
- Ramesh, K.; Tripathi, D.; Bég, O.A. Cilia-assisted hydromagnetic pumping of biorheological couple stress fluids. Propuls. Power Res. 2019, 8, 221–233. [Google Scholar] [CrossRef]
- Soo, S.L. Particulates And Continuum-Multiphase Fluid Dynamics: Multiphase Fluid Dynamics; Routledge: Abingdon, UK, 2018. [Google Scholar]
- Hu, H.H.; Joseph, D.D.; Crochet, M.J. Direct simulation of fluid particle motions. Theor. Comput. Fluid Dyn. 1992, 3, 285–306. [Google Scholar] [CrossRef]
- Feng, J.; Huang, P.; Joseph, D. Dynamic simulation of sedimentation of solid particles in an Oldroyd-B fluid. J. Non-Newton. Fluid Mech. 1996, 63, 63–88. [Google Scholar] [CrossRef]
- Lima, R.; Ishikawa, T.; Imai, Y.; Takeda, M.; Wada, S.; Yamaguchi, T. Radial dispersion of red blood cells in blood flowing through glass capillaries: The role of hematocrit and geometry. J. Biomech. 2008, 41, 2188–2196. [Google Scholar] [CrossRef] [PubMed]
- Mekheimer, K.S.; Abd Elmaboud, Y. Peristaltic transport of a particle–fluid suspension through a uniform and non-uniform annulus. Appl. Bion. Biomech. 2008, 5, 47–57. [Google Scholar] [CrossRef]
- Mekheimer, K.S.; Mohamed, M.S. Peristaltic transport of a pulsatile flow for a particle-fluid suspension through a annular region: Application of a clot blood model. Int. J. Sci. Eng. Res. 2014, 5, 849–859. [Google Scholar]
- Bhatti, M.; Zeeshan, A.; Ijaz, N. Slip effects and endoscopy analysis on blood flow of particle-fluid suspension induced by peristaltic wave. J. Mol. Liquids 2016, 218, 240–245. [Google Scholar] [CrossRef]
- Bhatti, M.M.; Zeeshan, A. Study of variable magnetic field and endoscope on peristaltic blood flow of particle-fluid suspension through an annulus. Biomed. Eng. Lett. 2016, 6, 242–249. [Google Scholar] [CrossRef]
- Maskeen, M.M.; Mehmood, O.U.; Zeeshan, A. Hydromagnetic solid–liquid pulsatile flow through concentric cylinders in a porous medium. J. Visual. 2018, 21, 407–419. [Google Scholar] [CrossRef]
- Ellahi, R.; Zeeshan, A.; Hussain, F.; Abbas, T. Two-phase couette flow of couple stress fluid with temperature dependent viscosity thermally affected by magnetized moving surface. Symmetry 2019, 11, 647. [Google Scholar] [CrossRef]
- Zeeshan, A.; Hussain, F.; Ellahi, R.; Vafai, K. A study of gravitational and magnetic effects on coupled stress bi-phase liquid suspended with crystal and Hafnium particles down in steep channel. J. Mol. Liquids 2019, 286, 110898. [Google Scholar] [CrossRef]
- Prakash, J.; Tripathi, D.; Tiwari, A.K.; Sait, S.M.; Ellahi, R. Peristaltic pumping of nanofluids through a tapered channel in a porous environment: Applications in blood flow. Symmetry 2019, 11, 868. [Google Scholar] [CrossRef]
- Riaz, A.; Bhatti, M.M.; Ellahi, R.; Zeeshan, A.; M Sait, S. Mathematical Analysis on an Asymmetrical Wavy Motion of Blood under the Influence Entropy Generation with Convective Boundary Conditions. Symmetry 2020, 12, 102. [Google Scholar] [CrossRef]
- Gireesha, B.; Mahanthesh, B.; Gorla, R.S.R.; Manjunatha, P. Thermal radiation and Hall effects on boundary layer flow past a non-isothermal stretching surface embedded in porous medium with non-uniform heat source/sink and fluid-particle suspension. Heat Mass Transf. 2016, 52, 897–911. [Google Scholar] [CrossRef]
- Bhatti, M.; Zeeshan, A.; Ijaz, N.; Bég, O.A.; Kadir, A. Mathematical modelling of nonlinear thermal radiation effects on EMHD peristaltic pumping of viscoelastic dusty fluid through a porous medium duct. Eng. Sci. Technol. Int. J. 2017, 20, 1129–1139. [Google Scholar] [CrossRef]
- Kumar, K.G.; Rudraswamy, N.; Gireesha, B.; Manjunatha, S. Non linear thermal radiation effect on Williamson fluid with particle-liquid suspension past a stretching surface. Results Phys. 2017, 7, 3196–3202. [Google Scholar] [CrossRef]
- Bhatti, M.; Zeeshan, A.; Ellahi, R.; Shit, G. Mathematical modeling of heat and mass transfer effects on MHD peristaltic propulsion of two-phase flow through a Darcy-Brinkman-Forchheimer porous medium. Adv. Powder Technol. 2018, 29, 1189–1197. [Google Scholar] [CrossRef]
- Mahanthesh, B.; Gireesha, B. Scrutinization of thermal radiation, viscous dissipation and Joule heating effects on Marangoni convective two-phase flow of Casson fluid with fluid-particle suspension. Results Phys. 2018, 8, 869–878. [Google Scholar] [CrossRef]
- Zhu, L.T.; Liu, Y.X.; Luo, Z.H. An enhanced correlation for gas-particle heat and mass transfer in packed and fluidized bed reactors. Chem. Eng. J. 2019, 374, 531–544. [Google Scholar] [CrossRef]
- Bhatti, M.; Ellahi, R.; Zeeshan, A.; Marin, M.; Ijaz, N. Numerical study of heat transfer and Hall current impact on peristaltic propulsion of particle-fluid suspension with compliant wall properties. Mod. Phys. Lett. B 2019, 33, 1950439. [Google Scholar] [CrossRef]
- Horne, A.W.; Critchley, H.O. Mechanisms of disease: The endocrinology of ectopic pregnancy. Exp. Rev. Mol. Med. 2012, 14. [Google Scholar] [CrossRef]
- Srivastava, L.; Srivastava, V. Peristaltic transport of blood: Casson model—II. J. Biomech. 1984, 17, 821–829. [Google Scholar] [CrossRef]
- Akbar, N.S.; Butt, A.W. Heat transfer analysis of Rabinowitsch fluid flow due to metachronal wave of cilia. Results Phys. 2015, 5, 92–98. [Google Scholar] [CrossRef]
- Manzoor, N.; Bég, O.A.; Maqbool, K.; Shaheen, S. Mathematical modelling of ciliary propulsion of an electrically-conducting Johnson-Segalman physiological fluid in a channel with slip. Comput. Methods Biomech. Biomed. Eng. 2019, 685–695. [Google Scholar] [CrossRef] [PubMed]
- Chamkha, A.J.; Al-Subaie, M.A. Hydromagnetic buoyancy-induced flow of a particulate suspension through a vertical pipe with heat generation or absorption effects. Turk. J. Eng. Environ. Sci. 2010, 33, 127–134. [Google Scholar]
- Marble, F.E. Dynamics of dusty gases. Ann. Rev. Fluid Mech. 1970, 2, 397–446. [Google Scholar] [CrossRef]















© 2020 by the authors. Licensee MDPI, Basel, Switzerland. This article is an open access article distributed under the terms and conditions of the Creative Commons Attribution (CC BY) license (http://creativecommons.org/licenses/by/4.0/).
Share and Cite
Bhatti, M.M.; Elelamy, A.F.; M. Sait, S.; Ellahi, R. Hydrodynamics Interactions of Metachronal Waves on Particulate-Liquid Motion through a Ciliated Annulus: Application of Bio-Engineering in Blood Clotting and Endoscopy. Symmetry 2020, 12, 532. https://doi.org/10.3390/sym12040532
Bhatti MM, Elelamy AF, M. Sait S, Ellahi R. Hydrodynamics Interactions of Metachronal Waves on Particulate-Liquid Motion through a Ciliated Annulus: Application of Bio-Engineering in Blood Clotting and Endoscopy. Symmetry. 2020; 12(4):532. https://doi.org/10.3390/sym12040532
Chicago/Turabian StyleBhatti, Muhammad Mubashir, Asmaa F. Elelamy, Sadiq M. Sait, and Rahmat Ellahi. 2020. "Hydrodynamics Interactions of Metachronal Waves on Particulate-Liquid Motion through a Ciliated Annulus: Application of Bio-Engineering in Blood Clotting and Endoscopy" Symmetry 12, no. 4: 532. https://doi.org/10.3390/sym12040532
APA StyleBhatti, M. M., Elelamy, A. F., M. Sait, S., & Ellahi, R. (2020). Hydrodynamics Interactions of Metachronal Waves on Particulate-Liquid Motion through a Ciliated Annulus: Application of Bio-Engineering in Blood Clotting and Endoscopy. Symmetry, 12(4), 532. https://doi.org/10.3390/sym12040532

