FlexMonitor: A Flexible Monitoring Framework in SDN
Abstract
1. Introduction
2. Related Work
3. FlexMonitor
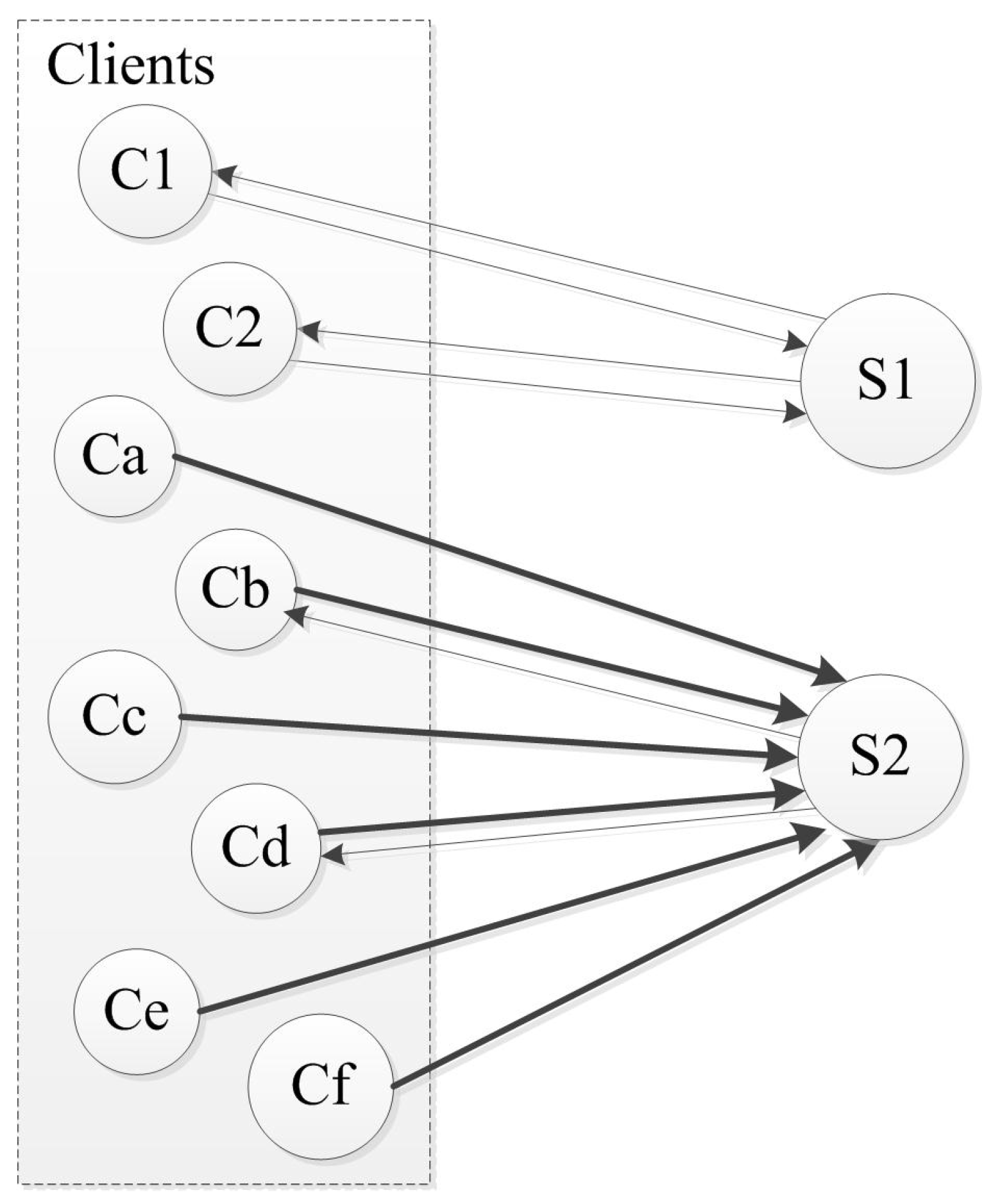
3.1. Overview
3.2. Monitoring Strategy and Data Source
3.2.1. Strategy
3.2.2. Data Source
3.3. Monitoring Request
3.4. Scalability
4. Example
4.1. DDoS Detection
4.2. Detection Algorithm
| Algorithm 1 DDoS detection. |
Input: Des_List, ActiveFlow_List Output: Attacked_Target_Set
|
5. Evaluation
5.1. Experimental Settings
5.2. Evaluation Metrics
5.2.1. Detection Accuracy
5.2.2. Different Threshold
5.2.3. Different Detection Period
5.2.4. Cost
6. Conclusions
Author Contributions
Funding
Acknowledgments
Conflicts of Interest
References
- Mardani, M.; Giannakis, G.B. Estimating Traffic and Anomaly Maps via Network Tomography. IEEE/ACM Trans. Netw. 2016, 24, 1533–1547. [Google Scholar] [CrossRef]
- Kim, J.; Sim, A.; Sang, C.S.; Kim, I. An approach to online network monitoring using clustered patterns. In Proceedings of the International Conference on Computing, Networking and Communications, Silicon Valley, CA, USA, 26–29 January 2017; pp. 656–661. [Google Scholar]
- Yu, C.; Lumezanu, C.; Zhang, Y.; Singh, V.; Jiang, G.; Madhyastha, H.V. FlowSense: Monitoring Network Utilization with Zero Measurement Cost. In Proceedings of the International Conference on Passive and Active Network Measurement, Hong Kong, China, 18–19 March 2013; pp. 31–41. [Google Scholar]
- Yang, Z.; Yeung, K.L. An efficient flow monitoring scheme for SDN networks. In Proceedings of the 2017 IEEE 30th Canadian Conference on Electrical and Computer Engineering, Windsor, ON, Canada, 30 April–3 May 2017; pp. 1–4. [Google Scholar]
- Shirali-Shahreza, S.; Ganjali, Y. Traffic statistics collection with FleXam. In Proceedings of the ACM Conference on SIGCOMM, London, UK, 17–21 August 2015; pp. 117–118. [Google Scholar]
- Li, T.; Sun, Z.; Jia, C.; Su, Q.; Lee, M. Using NetMagic to observe fine-grained per-flow latency measurements. ACM SiGCOMM Comput. Commun. Rev. 2011, 41, 466–467. [Google Scholar] [CrossRef]
- Xuan, T.P.; Fukuda, K. Adaptive and distributed monitoring mechanism in software-defined networks. In Proceedings of the International Conference on Network and Service Management, Tokyo, Japan, 26–30 November 2017; pp. 1–5. [Google Scholar]
- Shah, S.A.R.; Bae, S.; Jaikar, A.; Noh, S.Y. An adaptive load monitoring solution for logically centralized SDN controller. In Proceedings of the Network Operations and Management Symposium, Kanazawa, Japan, 5–7 October 2016; pp. 1–6. [Google Scholar]
- Xiao, K. The Research and Application of Simple Network Management Protocol SNMP. China Comput. Commun. 2018. Available online: http://erlang.org/doc/apps/snmp/snmp.pdf (accessed on 1 October 2018).
- Li, Y.; Kim, C.; Kim, C.; Yu, M. FlowRadar: A better NetFlow for data centers. In Proceedings of the Usenix Conference on Networked Systems Design and Implementation, Santa Clara, CA, USA, 16–18 March 2016; pp. 311–324. [Google Scholar]
- Song, P.; Liu, Y.; Liu, T.; Qian, D. Controller-proxy: Scaling network management for large-scale SDN networks. Comput. Commun. 2017, 108, 52–63. [Google Scholar] [CrossRef]
- Megyesi, P.; Botta, A.; Aceto, G. Available bandwidth measurement in software defined networks. In Proceedings of the 31st Annual ACM Symposium on Applied Computing, Pisa, Italy, 4–8 April 2016; pp. 651–657. [Google Scholar]
- Tang, F.; Li, L.; Barolli, L.; Tang, C. An Efficient Sampling and Classification Approach for Flow Detection in SDN-Based Big Data Centers. In Proceedings of the IEEE International Conference on Advanced Information Networking and Applications, Taipei, Taiwan, 27–29 March 2017; pp. 1106–1115. [Google Scholar]
- Adrichem, N.L.M.V.; Doerr, C.; Kuipers, F.A. OpenNetMon: Network monitoring in OpenFlow Software-Defined Networks. In Proceedings of the Network Operations and Management Symposium, Krakow, Poland, 5–9 May 2014; pp. 1–8. [Google Scholar]
- Henni, D.E.; Hadjaj-Aoul, Y.; Ghomari, A. Probe-SDN: A smart monitoring framework for SDN-based networks. In Proceedings of the Global Information Infrastructure and NETWORKING Symposium, Saint Pierre, France, 25–27 October 2017; pp. 1–6. [Google Scholar]
- Chowdhury, S.R.; Bari, M.F.; Ahmed, R.; Boutaba, R. PayLess: A low cost network monitoring framework for Software Defined Networks. In Proceedings of the Network Operations and Management Symposium, Krakow, Poland, 5–9 May 2014; pp. 1–9. [Google Scholar]
- Su, Z.; Wang, T.; Xia, Y.; Hamdi, M. FlowCover: Low-cost flow monitoring scheme in software defined networks. In Proceedings of the Global Communications Conference, Austin, TX, USA, 8–12 December 2015; pp. 1956–1961. [Google Scholar]
- Liu, J.; Li, Y.; Chen, M.; Dong, W. Software-defined internet of things for smart urban sensing. IEEE Commun. Mag. 2015, 53, 55–63. [Google Scholar] [CrossRef]
- Xu, Y.; Yan, Y.; Dai, Z.; Wang, X. A management model for SDN-based data center networks. In Proceedings of the Computer Communications Workshops, Toronto, ON, Canada, 27 April–2 May 2014; pp. 113–114. [Google Scholar]
- Tsiropoulou, E.E.; Baras, J.S.; Papavassiliou, S.; Sinha, S. RFID-based smart parking management system. Cyber-Phys. Syst. 2017, 3, 22–41. [Google Scholar] [CrossRef]
- Sagduyu, Y.E.; Ephremides, A. A game-theoretic analysis of denial of service attacks in wireless random access. Wirel. Netw. 2009, 15, 651–666. [Google Scholar] [CrossRef]
- Tsiropoulou, E.E.; Baras, J.S.; Papavassiliou, S.; Qu, G. On the Mitigation of Interference Imposed by Intruders in Passive RFID Networks. In Proceedings of the International Conference on Decision and Game Theory for Security, New York, NY, USA, 2–4 November 2016. [Google Scholar]
- Kandoi, R.; Antikainen, M. Denial-of-service attacks in OpenFlow SDN networks. In Proceedings of the IFIP/IEEE International Symposium on Integrated Network Management, Ottawa, ON, Canada, 11–15 May 2015; pp. 1322–1326. [Google Scholar]
- Yang, X.; Han, B.; Sun, Z.; Huang, J. SDN-based DDoS Attack Detection with Cross-Plane Collaboration and Lightweight Flow Monitoring. In Proceedings of the GLOBECOM 2017, Singapore, 4–8 December 2017. [Google Scholar]














| Data Source | Monitoring Strategy | Approaches | Application Scenario | Kind of Data |
|---|---|---|---|---|
| raw packets | switch selection | sampling from the targeted switches | extract the flow features or analyze the content of packets, such as detecting malicious traffic, etc. | the header of packet or the whole packet |
| statistics data | switch selection | polling or sampling from the targeted switches | traffic engineering, hot spot detection, link capacity planning, etc. | port packets/bytes, flow packets/bytes, etc. |
| end-to-end measuring data | end–host pair selection | make the active measurements between the targeted end–host pairs | hard to directly obtain the required statistics data from the targeted switches | end-to-end latency, end-to-to bandwidth, etc. |
| network event triggering message | event definition | define the two factors for network events | some simple network events, such as large flow detection, hot spot detection, etc. | event triggering messages |
| Attribute | Visiting Volume | Traffic Rate | Symmetry | |
|---|---|---|---|---|
| Flow Group | ||||
| 1 | High | High | No | |
| 2 | High | High | Yes | |
| 3 | Low | High | No | |
| Detection Approach | Flow Group 1 | Flow Group 2 | Flow Group 3 | Implementation Complexity |
|---|---|---|---|---|
| baseline approach | 32 | 32 | 32 | low |
| OverWatch | 1 | 0 | 1 | high |
| the proposed approach | 8 | 7 | 0 | low |
© 2018 by the authors. Licensee MDPI, Basel, Switzerland. This article is an open access article distributed under the terms and conditions of the Creative Commons Attribution (CC BY) license (http://creativecommons.org/licenses/by/4.0/).
Share and Cite
Wang, B.; Su, J. FlexMonitor: A Flexible Monitoring Framework in SDN. Symmetry 2018, 10, 713. https://doi.org/10.3390/sym10120713
Wang B, Su J. FlexMonitor: A Flexible Monitoring Framework in SDN. Symmetry. 2018; 10(12):713. https://doi.org/10.3390/sym10120713
Chicago/Turabian StyleWang, Binfeng, and Jinshu Su. 2018. "FlexMonitor: A Flexible Monitoring Framework in SDN" Symmetry 10, no. 12: 713. https://doi.org/10.3390/sym10120713
APA StyleWang, B., & Su, J. (2018). FlexMonitor: A Flexible Monitoring Framework in SDN. Symmetry, 10(12), 713. https://doi.org/10.3390/sym10120713

