Inter-Antibody Variability in the Clinical Pharmacokinetics of Monoclonal Antibodies Characterized Using Population Physiologically Based Pharmacokinetic Modeling
Abstract
1. Introduction
2. Methods
2.1. mAb Clinical PK Data Collection
2.2. Model Structure
2.3. SC Model Structure
2.4. Model Equations
2.5. Model Parameterization and Estimation
2.6. Sensitivity Analysis
2.7. Monte Carlo Simulations
3. Results
3.1. mAb Clinical PK Data
3.2. popPBPK Model Fitting and Parameter Estimation
3.3. Sensitivity Analysis
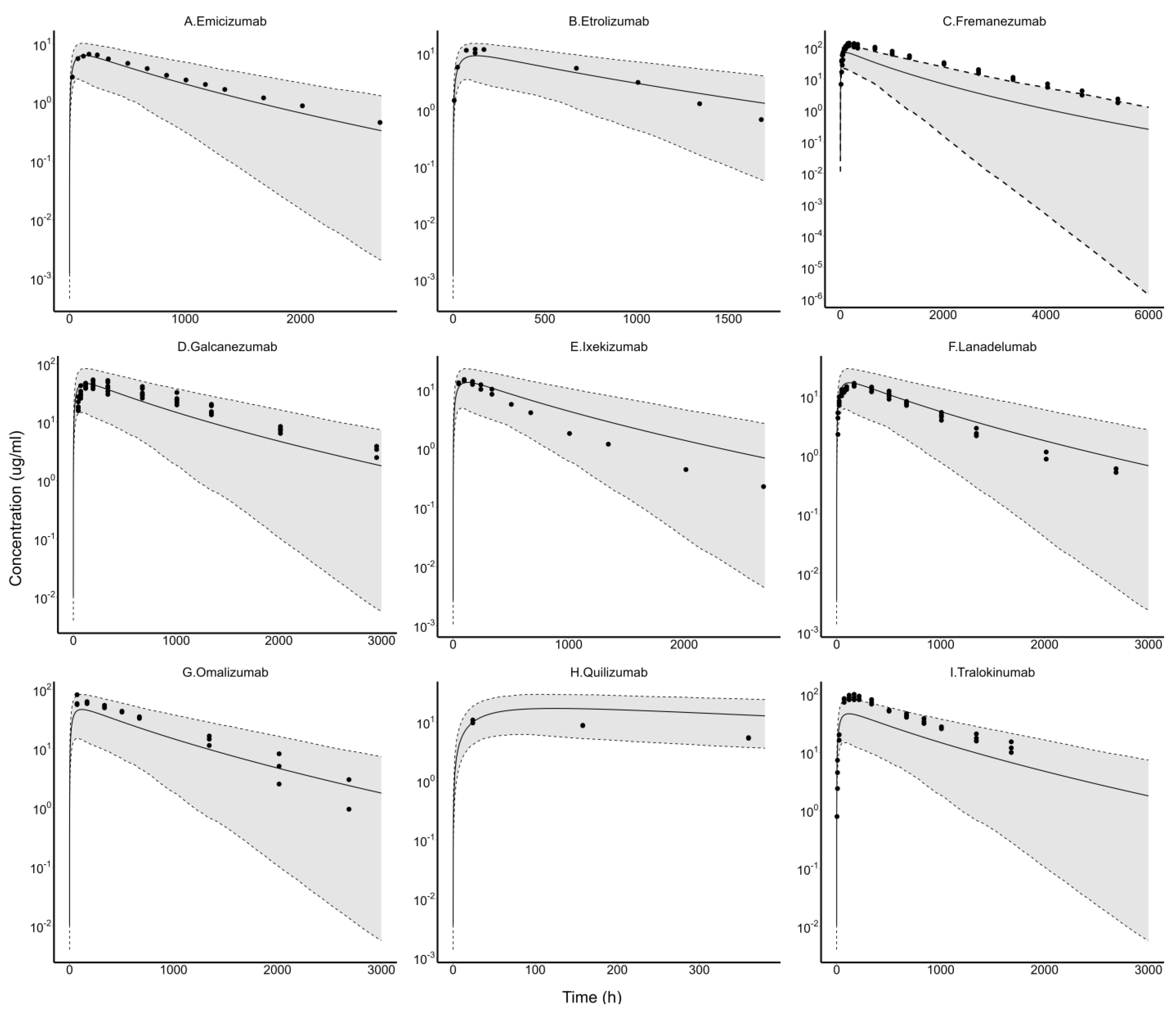
3.4. Monte Carlo Simulations and Model Validation
4. Discussion
Supplementary Materials
Author Contributions
Funding
Institutional Review Board Statement
Informed Consent Statement
Data Availability Statement
Conflicts of Interest
References
- Cai, H.H.; Pandit, A. Therapeutic Monoclonal Antibodies Approved by FDA in 2022. J. Clin. Exp. Immunol. 2023, 8, 533–535. [Google Scholar]
- Sharma, P.; Joshi, R.V.; Pritchard, R.; Xu, K.; Eicher, M.A. Therapeutic Antibodies in Medicine. Molecules 2023, 28, 6438. [Google Scholar] [CrossRef] [PubMed]
- Kinch, M.S.; Kraft, Z.; Schwartz, T. Monoclonal antibodies: Trends in therapeutic success and commercial focus. Drug Discov. Today 2023, 28, 103415. [Google Scholar] [CrossRef]
- Kaplon, H.; Crescioli, S.; Chenoweth, A.; Visweswaraiah, J.; Reichert, J.M. Antibodies to watch in 2023. mAbs 2023, 15, 2153410. [Google Scholar] [CrossRef]
- Kelly, R.L.; Yu, Y.; Sun, T.; Caffry, I.; Lynaugh, H.; Brown, M.; Jain, T.; Xu, Y.; Wittrup, K.D. Target-independent variable region mediated effects on antibody clearance can be FcRn independent. mAbs 2016, 8, 1269–1275. [Google Scholar] [CrossRef] [PubMed]
- Mager, D.E. Target-mediated drug disposition and dynamics. Biochem. Pharmacol. 2006, 72, 1–10. [Google Scholar] [CrossRef]
- Dirks, N.L.; Meibohm, B. Population pharmacokinetics of therapeutic monoclonal antibodies. Clin. Pharmacokinet. 2010, 49, 633–659. [Google Scholar] [CrossRef]
- Bensalem, A.; Ternant, D. Pharmacokinetic Variability of Therapeutic Antibodies in Humans: A Comprehensive Review of Population Pharmacokinetic Modeling Publications. Clin. Pharmacokinet. 2020, 59, 857–874. [Google Scholar] [CrossRef]
- Shah, D.K.; Betts, A.M. Towards a platform PBPK model to characterize the plasma and tissue disposition of monoclonal antibodies in preclinical species and human. J. Pharmacokinet. Pharmacodyn. 2012, 39, 67–86. [Google Scholar] [CrossRef]
- Mould, D.R.; Upton, R.N. Basic concepts in population modeling, simulation, and model-based drug development-part 2: Introduction to pharmacokinetic modeling methods. CPT Pharmacomet. Syst. Pharmacol. 2013, 2, e38. [Google Scholar] [CrossRef]
- Cao, Y.; Jusko, W.J. Survey of monoclonal antibody disposition in man utilizing a minimal physiologically-based pharmacokinetic model. J. Pharmacokinet. Pharmacodyn. 2014, 41, 571–580. [Google Scholar] [CrossRef]
- Rohatgi, A. WebPlotDigitizer. September 2022. Available online: https://automeris.io/WebPlotDigitizer (accessed on 1 January 2023).
- Li, Z.; Yu, X.; Li, Y.; Verma, A.; Chang, H.P.; Shah, D.K. A Two-Pore Physiologically Based Pharmacokinetic Model to Predict Subcutaneously Administered Different-Size Antibody/Antibody Fragments. AAPS J. 2021, 23, 62. [Google Scholar] [CrossRef] [PubMed]
- Harrold, J.M.; Abraham, A.K. Ubiquity: A framework for physiological/mechanism-based pharmacokinetic/pharmacodynamic model development and deployment. J. Pharmacokinet. Pharmacodyn. 2014, 41, 141–151. [Google Scholar] [CrossRef]
- Weisman, M.H.; Moreland, L.W.; Furst, D.E.; Weinblatt, M.E.; Keystone, E.C.; Paulus, H.E.; Teoh, L.S.; Velagapudi, R.B.; Noertersheuser, P.A.; Granneman, G.R.; et al. Efficacy, pharmacokinetic, and safety assessment of adalimumab, a fully human anti-tumor necrosis factor-alpha monoclonal antibody, in adults with rheumatoid arthritis receiving concomitant methotrexate: A pilot study. Clin. Ther. 2003, 25, 1700–1721. [Google Scholar] [CrossRef]
- Shida, Y.; Takahashi, N.; Sakamoto, T.; Ino, H.; Endo, A.; Hirama, T. The pharmacokinetics and safety profiles of belimumab after single subcutaneous and intravenous doses in healthy Japanese volunteers. J. Clin. Pharm. Ther. 2014, 39, 97–101. [Google Scholar] [CrossRef] [PubMed]
- Busse, W.W.; Katial, R.; Gossage, D.; Sari, S.; Wang, B.; Kolbeck, R.; Coyle, A.J.; Koike, M.; Spitalny, G.L.; Kiener, P.A.; et al. Safety profile, pharmacokinetics, and biologic activity of MEDI-563, an anti–IL-5 receptor α antibody, in a phase I study of subjects with mild asthma. J. Allergy Clin. Immunol. 2010, 125, 1237–1244.e2. [Google Scholar] [CrossRef]
- Martin, U.J.; Fuhr, R.; Forte, P.; Barker, P.; Axley, M.J.; Aurivillius, M.; Yan, L.; Roskos, L. Comparison of autoinjector with accessorized prefilled syringe for benralizumab pharmacokinetic exposure: AMES trial results. J. Asthma 2019, 58, 93–101. [Google Scholar] [CrossRef]
- Chakraborty, A.; Tannenbaum, S.; Rordorf, C.; Lowe, P.J.; Floch, D.; Gram, H.; Roy, S. Pharmacokinetic and pharmacodynamic properties of canakinumab, a human anti-interleukin-1β monoclonal antibody. Clin. Pharmacokinet. 2012, 51, e1–e18. [Google Scholar] [CrossRef] [PubMed]
- Diao, L.; Hang, Y.; Othman, A.A.; Nestorov, I.; Tran, J.Q. Population Pharmacokinetics of Daclizumab High-Yield Process in Healthy Volunteers and Subjects with Multiple Sclerosis: Analysis of Phase I–III Clinical Trials. Clin. Pharmacokinet. 2016, 55, 943–955. [Google Scholar] [CrossRef]
- White, B.; Leon, F.; White, W.; Robbie, G. Two first-in-human, open-label, phase I dose-escalation safety trials of MEDI-528, a monoclonal antibody against interleukin-9, in healthy adult volunteers. Clin. Ther. 2009, 31, 728–740. [Google Scholar] [CrossRef]
- Gow, J.M.; Tsuji, W.H.; Williams, G.J.; Mytych, D.; Sciberras, D.; Searle, S.L.; Mant, T.; Gibbs, J.P. Safety, tolerability, pharmacokinetics, and efficacy of AMG 403, a human anti-nerve growth factor monoclonal antibody, in two phase I studies with healthy volunteers and knee osteoarthritis subjects. Arthritis Res. Ther. 2015, 17, 282. [Google Scholar] [CrossRef] [PubMed]
- Cavelti-Weder, C.; Babians-Brunner, A.; Keller, C.; Stahel, M.A.; Kurz-Levin, M.; Zayed, H.; Solinger, A.M.; Mandrup-Poulsen, T.; Dinarello, C.A.; Donath, M.Y. Effects of gevokizumab on glycemia and inflammatory markers in type 2 diabetes. Diabetes Care 2012, 35, 1654–1662. [Google Scholar] [CrossRef]
- Zhuang, Y.; Calderon, C.; Marciniak, S.J.; Bouman-Thio, E.; Szapary, P.; Yang, T.-Y.; Schantz, A.; Davis, H.M.; Zhou, H.; Xu, Z. First-in-human study to assess guselkumab (anti-IL-23 mAb) pharmacokinetics/safety in healthy subjects and patients with moderate-to-severe psoriasis. Eur. J. Clin. Pharmacol. 2016, 72, 1303–1310. [Google Scholar] [CrossRef]
- Smith, D.A.; Minthorn, E.A.; Beerahee, M. Pharmacokinetics and pharmacodynamics of mepolizumab, an anti-interleukin-5 monoclonal antibody. Clin. Pharmacokinet. 2011, 50, 215–227. [Google Scholar] [CrossRef]
- Kretsos, K.; Golor, G.; Jullion, A.; Hickling, M.; McCabe, S.; Shaw, S.; Jose, J.; Oliver, R. Safety and pharmacokinetics of olokizumab, an anti-IL-6 monoclonal antibody, administered to healthy male volunteers: A randomized phase I study. Clin. Pharmacol. Drug Dev. 2014, 3, 388–395. [Google Scholar] [CrossRef]
- Levisetti, M.; Joh, T.; Wan, H.; Liang, H.; Forgues, P.; Gumbiner, B.; Garzone, P.D. A Phase I Randomized Study of a Specifically Engineered, pH-Sensitive PCSK9 Inhibitor RN317 (PF-05335810) in Hypercholesterolemic Subjects on Statin Therapy. Clin. Transl. Sci. 2017, 10, 3–11. [Google Scholar] [CrossRef] [PubMed]
- Pang, Y.; Khatri, A.; Suleiman, A.A.; Othman, A.A. Clinical Pharmacokinetics and Pharmacodynamics of Risankizumab in Psoriasis Patients. Clin. Pharmacokinet. 2020, 59, 311–326. [Google Scholar] [CrossRef] [PubMed]
- Khatri, A.; Eckert, D.; Oberoi, R.; Suleiman, A.; Pang, Y.; Cheng, L.; Othman, A.A. Pharmacokinetics of Risankizumab in Asian Healthy Subjects and Patients With Moderate to Severe Plaque Psoriasis, Generalized Pustular Psoriasis, and Erythrodermic Psoriasis. J. Clin. Pharmacol. 2019, 59, 1656–1668. [Google Scholar] [CrossRef]
- FDA, Center for Drug Evaluation and Research. COSENTYX (secukinumab) Subcutaneous Injections NDA Summary Review; Center for Drug Evaluation and Research: Silver Spring, MD, USA, 2015.
- Bruin, G.; Hockey, H.P.; La Stella, P.; Sigurgeirsson, B.; Fu, R.; Patekar, M.; Charef, P.; Woessner, R.; Boutouyrie-Dumont, B. Comparison of pharmacokinetics, safety and tolerability of secukinumab administered subcutaneously using different delivery systems in healthy volunteers and in psoriasis patients. Br. J. Clin. Pharmacol. 2020, 86, 338–351. [Google Scholar] [CrossRef]
- Parnes, J.R.; Sullivan, J.T.; Chen, L.; Dias, C. Pharmacokinetics, Safety, and Tolerability of Tezepelumab (AMG 157) in Healthy and Atopic Dermatitis Adult Subjects. Clin. Pharmacol. Ther. 2019, 106, 441–449. [Google Scholar] [CrossRef]
- Khalilieh, S.; Hodsman, P.; Xu, C.; Tzontcheva, A.; Glasgow, S.; Montgomery, D. Pharmacokinetics of Tildrakizumab (MK-3222), an Anti-IL-23 Monoclonal Antibody, After Intravenous or Subcutaneous Administration in Healthy Subjects. Basic Clin. Pharmacol. Toxicol. 2018, 123, 294–300. [Google Scholar] [CrossRef]
- FDA, Center for Drug Evaluation and Research. Bezlotoxumab (a.k.a. MK-6072) NDA Summary Review; Center for Drug Evaluation and Research: Silver Spring, MD, USA, 2016.
- Papadopoulos, K.P.; Johnson, M.L.; Lockhart, A.C.; Moore, K.N.; Falchook, G.S.; Formenti, S.C.; Naing, A.; Carvajal, R.D.; Rosen, L.S.; Weiss, G.J.; et al. First-In-Human Study of Cemiplimab Alone or In Combination with Radiotherapy and/or Low-dose Cyclophosphamide in Patients with Advanced Malignancies. Clin. Cancer Res. 2020, 26, 1025–1033. [Google Scholar] [CrossRef] [PubMed]
- Felip, E.; Moreno, V.; Morgensztern, D.; Curigliano, G.; Rutkowski, P.; Trigo, J.M.; Calvo, A.; Kowalski, D.; Cortinovis, D.; Plummer, R.; et al. First-in-human, open-label, phase 1/2 study of the monoclonal antibody programmed cell death protein-1 (PD-1) inhibitor cetrelimab (JNJ-63723283) in patients with advanced cancers. Cancer Chemother. Pharmacol. 2022, 89, 499–514. [Google Scholar] [CrossRef] [PubMed]
- Guthrie, H.; Honig, L.S.; Lin, H.; Sink, K.M.; Blondeau, K.; Quartino, A.; Dolton, M.; Carrasco-Triguero, M.; Lian, Q.; Bittner, T.; et al. Safety, Tolerability, and Pharmacokinetics of Crenezumab in Patients with Mild-to-Moderate Alzheimer’s Disease Treated with Escalating Doses for up to 133 Weeks. J. Alzheimer’s Dis. 2020, 76, 967–979. [Google Scholar] [CrossRef] [PubMed]
- Lam, E.T.; Eckhardt, S.G.; Messersmith, W.; Jimeno, A.; O’Bryant, C.L.; Ramanathan, R.K.; Weiss, G.J.; Chadha, M.; Oey, A.; Ding, H.T.; et al. Phase I Study of Enavatuzumab, a First-in-Class Humanized Monoclonal Antibody Targeting the TWEAK Receptor, in Patients with Advanced Solid Tumors. Mol. Cancer Ther. 2018, 17, 215–221. [Google Scholar] [CrossRef] [PubMed]
- Sasaki, Y.; Miwa, K.; Yamashita, K.; Sunakawa, Y.; Shimada, K.; Ishida, H.; Hasegawa, K.; Fujiwara, K.; Kodaira, M.; Fujiwara, Y.; et al. A phase I study of farletuzumab, a humanized anti-folate receptor alpha monoclonal antibody, in patients with solid tumors. Investig. New Drugs 2015, 33, 332–340. [Google Scholar] [CrossRef]
- Deng, R.; She, G.; Maia, M.; Lim, J.J.; Peck, M.C.; McBride, J.M.; Kulkarni, P.; Horn, P.; Castro, A.; Newton, E.; et al. Pharmacokinetics of the Monoclonal Antibody MHAA4549A Administered in Combination With Oseltamivir in Patients Hospitalized With Severe Influenza A Infection. J. Clin. Pharmacol. 2020, 60, 1509–1518. [Google Scholar] [CrossRef]
- Ehrenpreis, E.D. Pharmacokinetic Effects of Antidrug Antibodies Occurring in Healthy Subjects After a Single Dose of Intravenous Infliximab. Drugs RD 2017, 17, 607–613. [Google Scholar] [CrossRef]
- Feng, Y.; Masson, E.; Dai, D.; Parker, S.M.; Berman, D.; Roy, A. Model-based clinical pharmacology profiling of ipilimumab in patients with advanced melanoma. Br. J. Clin. Pharmacol. 2014, 78, 106–117. [Google Scholar] [CrossRef]
- Lim, J.J.; Derby, M.A.; Zhang, Y.; Deng, R.; Larouche, R.; Anderson, M.; Maia, M.; Carrier, S.; Pelletier, I.; Girard, J.; et al. A Phase 1, Randomized, Double-Blind, Placebo-Controlled, Single-Ascending-Dose Study To Investigate the Safety, Tolerability, and Pharmacokinetics of an Anti-Influenza B Virus Monoclonal Antibody, MHAB5553A, in Healthy Volunteers. Antimicrob. Agents Chemother. 2017, 61, 10–1128. [Google Scholar] [CrossRef]
- Wakelee, H.A.; Patnaik, A.; Sikic, B.I.; Mita, M.; Fox, N.L.; Miceli, R.; Ullrich, S.J.; Fisher, G.A.; Tolcher, A.W. Phase I and pharmacokinetic study of lexatumumab (HGS-ETR2) given every 2 weeks in patients with advanced solid tumors. Ann. Oncol. 2010, 21, 376–381. [Google Scholar] [CrossRef] [PubMed]
- Duvic, M.; Pinter-Brown, L.C.; Foss, F.M.; Sokol, L.; Jorgensen, J.L.; Challagundla, P.; Dwyer, K.M.; Zhang, X.; Kurman, M.R.; Ballerini, R.; et al. Phase 1/2 study of mogamulizumab, a defucosylated anti-CCR4 antibody, in previously treated patients with cutaneous T-cell lymphoma. Blood 2015, 125, 1883–1889. [Google Scholar] [CrossRef] [PubMed]
- Papadopoulos, K.P.; Kelley, R.K.; Tolcher, A.W.; Razak, A.R.A.; Van Loon, K.; Patnaik, A.; Bedard, P.L.; Alfaro, A.A.; Beeram, M.; Adriaens, L.; et al. A Phase I First-in-Human Study of Nesvacumab (REGN910), a Fully Human Anti-Angiopoietin-2 (Ang2) Monoclonal Antibody, in Patients with Advanced Solid Tumors. Clin. Cancer Res. 2016, 22, 1348–1355. [Google Scholar] [CrossRef] [PubMed]
- Lee, K.-W.; Lee, D.H.; Kang, J.H.; Park, J.O.; Kim, S.H.; Hong, Y.S.; Kim, S.T.; Oh, D.-Y.; Bang, Y.-J. Phase I Pharmacokinetic Study of Nivolumab in Korean Patients with Advanced Solid Tumors. Oncologist 2017, 23, 155-e17. [Google Scholar] [CrossRef] [PubMed]
- Nagy, C.F.; Leach, T.S.; Hoffman, J.H.; Czech, A.; Carpenter, S.E.; Guttendorf, R. Pharmacokinetics and Tolerability of Obiltoxaximab: A Report of 5 Healthy Volunteer Studies. Clin. Ther. 2016, 38, 2083–2097.e7. [Google Scholar] [CrossRef] [PubMed]
- Meininger, V.; Pradat, P.-F.; Corse, A.; Al-Sarraj, S.; Brooks, B.R.; Caress, J.B.; Cudkowicz, M.; Kolb, S.J.; Lange, D.; Leigh, P.N.; et al. Safety, Pharmacokinetic, and functional effects of the nogo-a monoclonal antibody in amyotrophic lateral sclerosis: A randomized, first-in-human clinical trial. PLoS ONE 2014, 9, e97803. [Google Scholar] [CrossRef] [PubMed]
- Emu, B.; Luca, D.; Offutt, C.; Grogan, J.L.; Rojkovich, B.; Williams, M.B.; Tang, M.T.; Xiao, J.; Lee, J.H.; Davis, J.C. Safety, pharmacokinetics, and biologic activity of pateclizumab, a novel monoclonal antibody targeting lymphotoxin alpha: Results of a phase I randomized, placebo-controlled trial. Arthritis Res. Ther. 2012, 14, R6. [Google Scholar] [CrossRef] [PubMed]
- Shimizu, T.; Seto, T.; Hirai, F.; Takenoyama, M.; Nosaki, K.; Tsurutani, J.; Kaneda, H.; Iwasa, T.; Kawakami, H.; Noguchi, K.; et al. Phase 1 study of pembrolizumab (MK-3475; anti-PD-1 monoclonal antibody) in Japanese patients with advanced solid tumors. Investig. New Drugs 2016, 34, 347–354. [Google Scholar] [CrossRef]
- Yamamoto, N.; Yamada, Y.; Fujiwara, Y.; Yamada, K.; Fujisaka, Y.; Shimizu, T.; Tamura, T. Phase I and Pharmacokinetic Study of HER2-targeted rhuMAb 2C4 (Pertuzumab, RO4368451) in Japanese Patients with Solid Tumors. Jpn. J. Clin. Oncol. 2009, 39, 260–266. [Google Scholar] [CrossRef]
- Skoura, N.; Wang-Jairaj, J.; Della Pasqua, O.; Chandrasekaran, V.; Billiard, J.; Yeakey, A.; Smith, W.; Steel, H.; Tan, L.K. Effect of raxibacumab on immunogenicity of Anthrax Vaccine Adsorbed: A phase 4, open-label, parallel-group, randomised non-inferiority study. Lancet Infect. Dis. 2020, 20, 983–991. [Google Scholar] [CrossRef]
- FDA, Center for Drug Evaluation and Research. Reslizumab NDA Clinical Pharmacology and Biopharmaceutics Review; Center for Drug Evaluation and Research: Silver Spring, MD, USA, 2016.
- Puchalski, T.; Prabhakar, U.; Jiao, Q.; Berns, B.; Davis, H.M. Pharmacokinetic and pharmacodynamic modeling of an anti-interleukin-6 chimeric monoclonal antibody (siltuximab) in patients with metastatic renal cell carcinoma. Clin. Cancer Res. 2010, 16, 1652–1661. [Google Scholar] [CrossRef]
- Salles, G.; Długosz-Danecka, M.; Ghesquières, H.; Jurczak, W. Tafasitamab for the treatment of relapsed or refractory diffuse large B-cell lymphoma. Expert Opin. Biol. Ther. 2021, 21, 455–463. [Google Scholar] [CrossRef]
- Reilley, S.; Wenzel, E.; Reynolds, L.; Bennett, B.; Patti, J.M.; Hetherington, S. Open-label, dose escalation study of the safety and pharmacokinetic profile of tefibazumab in healthy volunteers. Antimicrob. Agents Chemother. 2005, 49, 959–962. [Google Scholar] [CrossRef]
- Forero-Torres, A.; Shah, J.; Wood, T.; Posey, J.; Carlisle, R.; Copigneaux, C.; Luo, F.; Wojtowicz-Praga, S.; Percent, I.; Saleh, M. Phase I trial of weekly tigatuzumab, an agonistic humanized monoclonal antibody targeting death receptor 5 (DR5). Cancer Biother. Radiopharm. 2010, 25, 13–19. [Google Scholar] [CrossRef]
- Sawas, A.; Farber, C.M.; Schreeder, M.T.; Khalil, M.Y.; Mahadevan, D.; Deng, C.; Amengual, J.E.; Nikolinakos, P.G.; Kolesar, J.M.; Kuhn, J.G.; et al. A phase 1/2 trial of ublituximab, a novel anti-CD20 monoclonal antibody, in patients with B-cell non-Hodgkin lymphoma or chronic lymphocytic leukaemia previously exposed to rituximab. Br. J. Haematol. 2017, 177, 243–253. [Google Scholar] [CrossRef]
- Li, H.; Zhang, W.; Petry, C.; Li, L.; Fernandez, E.; Kiialainen, A.; Feng, S.; Hsu, W.; Li, L.; Wei, Y.; et al. Evaluation of the Pharmacokinetics, Pharmacodynamics, and Safety of a Single Dose of Emicizumab in Healthy Chinese Subjects. Clin. Pharmacol. Drug Dev. 2021, 10, 30–38. [Google Scholar] [CrossRef]
- Zhang, W.; Tyrrell, H.; Ding, H.T.; Pulley, J.; Boruvka, A.; Erickson, R.; Abouhossein, M.; Ravanello, R.; Tang, M.T. Comparable Pharmacokinetics, Safety, and Tolerability of Etrolizumab Administered by Prefilled Syringe or Autoinjector in a Randomized Trial in Healthy Volunteers. Adv. Ther. 2021, 38, 2418–2434. [Google Scholar] [CrossRef]
- Cohen-Barak, O.; Weiss, S.; Rasamoelisolo, M.; Faulhaber, N.; Yeung, P.P.; Loupe, P.S.; Yoon, E.; Gandhi, M.D.; Spiegelstein, O.; Aycardi, E. A phase 1 study to assess the pharmacokinetics, safety, and tolerability of fremanezumab doses (225 mg, 675 mg and 900 mg) in Japanese and Caucasian healthy subjects. Cephalalgia 2018, 38, 1960–1971. [Google Scholar] [CrossRef]
- Monteith, D.; Collins, E.C.; Vandermeulen, C.; Van Hecken, A.; Raddad, E.; Scherer, J.C.; Grayzel, D.; Schuetz, T.J.; de Hoon, J. Safety, Tolerability, Pharmacokinetics, and Pharmacodynamics of the CGRP Binding Monoclonal Antibody LY2951742 (Galcanezumab) in Healthy Volunteers. Front. Pharmacol. 2017, 8, 740. [Google Scholar] [CrossRef]
- Zheng, M.; Chen, X.; Wang, F.; Chen, J.; Jackson, K.; Yang, F.; Payne, C.; Li, H.; Wang, Y.; Xiao, Z.; et al. Pharmacokinetics, Safety, and Efficacy of Ixekizumab in Chinese Patients with Moderate-to-Severe Plaque Psoriasis: A Phase 1, Single- and Multiple-Dose Study. Adv. Ther. 2023, 40, 3804–3816. [Google Scholar] [CrossRef]
- FDA, Center for Drug Evaluation and Research. Lanadelumab NDA/BLA Multi-Disciplinary Review and Evaluation; Center for Drug Evaluation and Research: Silver Spring, MD, USA, 2018.
- Harris, J.M.; Maciuca, R.; Bradley, M.S.; Cabanski, C.R.; Scheerens, H.; Lim, J.; Cai, F.; Kishnani, M.; Liao, X.C.; Samineni, D.; et al. A randomized trial of the efficacy and safety of quilizumab in adults with inadequately controlled allergic asthma. Respir. Res. 2016, 17, 29. [Google Scholar] [CrossRef]
- Baverel, P.; She, D.; Piper, E.; Ueda, S.; Yoshioka, T.; Faggioni, R.; Gevorkyan, H. A randomized, placebo-controlled, single ascending-dose study to assess the safety, tolerability, pharmacokinetics, and immunogenicity of subcutaneous tralokinumab in Japanese healthy volunteers. Drug Metab. Pharmacokinet. 2018, 33, 150–158. [Google Scholar] [CrossRef]
- Vitek, G.E.; Decourt, B.; Sabbagh, M.N. Lecanemab (BAN2401): An anti–beta-amyloid monoclonal antibody for the treatment of Alzheimer disease. Expert Opin. Investig. Drugs 2023, 32, 89–94. [Google Scholar] [CrossRef]
- Zuraw, B.L.; Maurer, M.; Sexton, D.J.; Cicardi, M. Therapeutic monoclonal antibodies with a focus on hereditary angioedema. Allergol. Int. 2023, 72, 54–62. [Google Scholar] [CrossRef]
- Cohen, F.; Yuan, H.; DePoy, E.M.G.; Silberstein, S.D. The Arrival of Anti-CGRP Monoclonal Antibodies in Migraine. Neurotherapeutics 2022, 19, 922–930. [Google Scholar] [CrossRef]
- Guo, Y.; Guo, T.; Di, Y.; Xu, W.; Hu, Z.; Xiao, Y.; Yu, H.; Hou, J. Pharmacokinetics, pharmacodynamics, safety and immunogenicity of recombinant, fully human anti-RANKL monoclonal antibody (MW031) versus denosumab in Chinese healthy subjects: A single-center, randomized, double-blind, single-dose, parallel-controlled trial. Expert Opin. Biol. Ther. 2023, 23, 705–715. [Google Scholar] [CrossRef] [PubMed]
- Bocklud, B.E.; Fakhre, W.; Murphy, B.; Maddox, K.; Ahmadzadeh, S.; Viswanath, O.; Varrassi, G.; Shekoohi, S.; Kaye, A.D. Teprotumumab-trbw as a Novel Monoclonal Antibody for Thyroid Eye Disease: A Literature Review. Cureus 2023, 15, e43878. [Google Scholar] [CrossRef]
- Liu, S.; Humphreys, S.C.; Cook, K.D.; Conner, K.P.; Correia, A.R.; Jacobitz, A.W.; Yang, M.; Primack, R.; Soto, M.; Padaki, R.; et al. Utility of physiologically based pharmacokinetic modeling to predict inter-antibody variability in monoclonal antibody pharmacokinetics in mice. mAbs 2023, 15, 2263926. [Google Scholar] [CrossRef]
- Hu, S.; Datta-Mannan, A.; D’argenio, D.Z. Physiologically Based Modeling to Predict Monoclonal Antibody Pharmacokinetics in Humans from in vitro Physiochemical Properties. mAbs 2022, 14, 2056944. [Google Scholar] [CrossRef]
- Liu, S.; Verma, A.; Kettenberger, H.; Richter, W.F.; Shah, D.K. Effect of variable domain charge on in vitro and in vivo disposition of monoclonal antibodies. mAbs 2021, 13, 1993769. [Google Scholar] [CrossRef]
- Sánchez-Félix, M.; Burke, M.; Chen, H.H.; Patterson, C.; Mittal, S. Predicting bioavailability of monoclonal antibodies after subcutaneous administration: Open innovation challenge. Adv. Drug Deliv. Rev. 2020, 167, 66–77. [Google Scholar] [CrossRef]
- Richter, W.F.; Jacobsen, B. Subcutaneous Absorption of Biotherapeutics: Knowns and Unknowns. Drug Metab. Dispos. 2014, 42, 1881–1889. [Google Scholar] [CrossRef]
- Hu, S.; D’argenio, D.Z. Predicting monoclonal antibody pharmacokinetics following subcutaneous administration via whole-body physiologically-based modeling. J. Pharmacokinet. Pharmacodyn. 2020, 47, 385–409. [Google Scholar] [CrossRef]
- Schuster, J.; Mahler, H.-C.; Joerg, S.; Kamuju, V.; Huwyler, J.; Mathaes, R. Stability of monoclonal antibodies after simulated subcutaneous administration. J. Pharm. Sci. 2021, 110, 2386–2394. [Google Scholar] [CrossRef]
- Rahimi, E.; Aramideh, S.; Han, D.; Gomez, H.; Ardekani, A.M. Transport and lymphatic uptake of monoclonal antibodies after subcutaneous injection. Microvasc. Res. 2022, 139, 104228. [Google Scholar] [CrossRef]
- Reijers, J.A.A.; Moerland, M.; Burggraaf, J. Remarkable Pharmacokinetics of Monoclonal Antibodies: A Quest for an Explanation. Clin. Pharmacokinet. 2017, 56, 1081–1089. [Google Scholar] [CrossRef]
- Kaplon, H.; Reichert, J.M. Antibodies to watch in 2019. mAbs 2019, 11, 219–238. [Google Scholar] [CrossRef]
- FDA. TREMFYA (guselkumab) Injection, for Subcutaneous Use; FDA: Silver Spring, MD, USA, 2017.
- Datta-Mannan, A.; Estwick, S.; Zhou, C.; Choi, H.; Douglass, N.E.; Witcher, D.R.; Lu, J.; Beidler, C.; Millican, R. Influence of physiochemical properties on the subcutaneous absorption and bioavailability of monoclonal antibodies. mAbs 2020, 12, 1770028. [Google Scholar] [CrossRef]
- Li, Z.; Krippendorff, B.-F.; Sharma, S.; Walz, A.C.; Lavé, T.; Shah, D.K. Influence of molecular size on tissue distribution of antibody fragments. mAbs 2016, 8, 113–119. [Google Scholar] [CrossRef]
- Ovacik, M.; Lin, K. Tutorial on Monoclonal Antibody Pharmacokinetics and Its Considerations in Early Development. Clin. Transl. Sci. 2018, 11, 540–552. [Google Scholar] [CrossRef]











| Tissue Volumes (mL) | Skin (SC) | SC (SC) |
|---|---|---|
| Total volume | 3401 | 6.82 |
| Plasma volume | 127.2 | 0.25 |
| Blood cell volume | 104.1 | 0.21 |
| Interstitial volume | 1123 | 2.25 |
| Endosomal volume | 17.01 | 0.03 |
| Cellular volume | 2031 | 4.07 |
| Tissue flow (mL/h) | ||
| Plasma flow | 11,600 | 23.25 |
| Blood cell flow | 9493 | 19.02 |
| ID | Name | IV Doses | SC Doses | Status | Reference |
|---|---|---|---|---|---|
| Datasets used for IV and SC model development | |||||
| 1 | Adalimumab | (0.25, 0.5, 1, 3, and 5) mg/kg | 40 mg | Approved | [15] |
| 2 | Belimumab | 200 mg | 200 mg | Approved | [16] |
| 3 | Benralizumab | (0.03, 0.1, 0.3, 1 and 3) mg/kg | 30 mg | Approved | [17,18] |
| 4 | Canakinumab | (1 and 3) mg/kg and 600 mg | (150, 300) mg | Approved | [19] |
| 5 | Daclizumab | 200 and 400 mg | (150, 300) mg | Approved | [20] |
| 6 | Enokizumab | (0.3, 1, 3 and 9) mg/kg | (3, 9) mg/kg | Tested | [21] |
| 7 | Fulranumab | (1, 3, 10 and 30) mg | (10, 30) mg | Tested | [22] |
| 8 | Gevokizumab | (0.01, 0.03, 0.1, 0.3, 1 and 3) mg/kg | (2.1, 7, 21)mg | Approved | [23] |
| 9 | Guselkumab | (0.03, 0.1, 0.3, 1, 3, and 10) mg/kg | (10, 30, 100, 300) mg | Approved | [24] |
| 10 | Mepolizumab | (0.05, 0.5, 2.5 and 10) mg/kg | 250 mg | Approved | [25] |
| 11 | Olokizumab | (0.01, 0.03, 0.1, 0.3, 1, 3 and 10) mg/kg | (0.3, 1, 3) mg/kg | Tested | [26] |
| 12 | Ralpancizumab | (1, 3 and 6) mg/kg | (0.3, 1, 3, 6) mg/kg | Tested | [27] |
| 13 | Risankizumab | (0.01, 0.05, 0.25, 1,3 and 5) mg/kg | (18, 90, 300) mg | Approved | [28,29] |
| 14 | Secukinumab | (3 and 10) mg/kg | 300 mg | Approved | [30,31] |
| 15 | Tezepelumab | (3 and 10) mg/kg | (2.1, 7, 21, 70, 210, 420) mg | Approved | [32] |
| 16 | Tildrakizumab | (0.1, 0.5, 3 and 10) mg/kg | (50, 200) mg | Approved | [33] |
| Datasets used only for IV model development | |||||
| 17 | Bezlotoxumab | (10 and 20) mg/kg | - | Approved | [34] |
| 18 | Cemiplimab | (1, 3 and 10) mg/kg | - | Approved | [35] |
| 19 | Cetrelimab | (80, 240, 460, 480 and 800) mg | - | Tested | [36] |
| 20 | Crenezumab | (15, 30, 45, 60 and 120) mg/kg | - | Tested | [37] |
| 21 | Enavatuzumab | 1 mg/kg | - | Tested | [38] |
| 22 | Farletuzumab | (85, 190, 380 and 760) mg | - | Tested | [39] |
| 23 | Gedivumab | (3600 and 8400) mg | - | Tested | [40] |
| 24 | Infliximab | 5 mg/kg | - | Approved | [41] |
| 25 | Ipilimumab | (0.3, 3 and 10) mg/kg | - | Approved | [42] |
| 26 | Lesofavumab | (120, 1200, 3600, 8400 and 10,800) mg | - | Tested | [43] |
| 27 | Lexatumumab | (0.1, 0.3, 1, 3 and 10) mg/kg | - | Tested | [44] |
| 28 | Mogamulizumab | (0.1, 0.3 and 1) mg/kg | - | Approved | [45] |
| 29 | Nesvacumab | (1, 3, 6, 12 and 20) mg/kg | - | Tested | [46] |
| 30 | Nivolumab | (1, 3 and 10) mg/kg | - | Approved | [47] |
| 31 | Obiltoxaximab | 1120 mg | - | Approved | [48] |
| 32 | Ozanezumab | (0.1, 1, 5 and 15) mg/kg | - | Tested | [49] |
| 33 | Pateclizumab | (0.3, 1, 3 and 5) mg/kg | - | Tested | [50] |
| 34 | Pembrolizumab | (2 and 10) mg/kg | - | Approved | [51] |
| 35 | Pertuzumab | (5, 10, 15, 20 and 25) mg/kg | - | Approved | [52] |
| 36 | Raxibacumab | 2800 mg | - | Approved | [53] |
| 37 | Reslizumab | (0.3, 1, 2 and 3) mg/kg | - | Approved | [54] |
| 38 | Siltuximab | (1,3 and 6) mg/kg | - | Approved | [55] |
| 39 | Tafasitamab | 12 mg/kg | - | Approved | [56] |
| 40 | Tefibazumab | (2,5,10 and 20) mg/kg | - | Tested | [57] |
| 41 | Tigatuzumab | (1,2,4 and 8) mg/kg | - | Tested | [58] |
| 42 | Tildrakizumab | (0.1, 0.5, 3 and 10) mg/kg | - | Approved | [33] |
| 43 | Ublituximab | 1200 mg | - | Approved | [59] |
| Datasets used for validation | |||||
| 44 | Emicizumab | - | 1 mg/kg | Approved | [60] |
| 45 | Etrolizumab | - | 105 mg | Tested | [61] |
| 46 | Fremanezumab | - | (225, 675, 900) mg | Approved | [62] |
| 47 | Galcanezumab | - | (1, 5, 25, 75, 200, 600) mg | Approved | [63] |
| 48 | Ixekizumab | - | (80, 160) mg | Approved | [64] |
| 49 | Lanadelumab | - | (0.1, 0.3, 1, 3) mg/kg | Approved | [65] |
| 50 | Omalizumab | - | (75, 300, 600) mg | Approved | FDA |
| 51 | Quilizumab | - | (70,210) mg | Tested | [66] |
| 52 | Tralokinumab | - | (150, 300, 600) mg | Approved | [67] |
| ID | Antibody | Median %PE | ID | Antibody | Median %PE |
|---|---|---|---|---|---|
| 1 | Belimumab | 7.5 | 23 | Olokizumab | 12.8 |
| 2 | Reslizumab | 5.9 | 24 | Ozanezumab | 7.9 |
| 3 | Siltuximab | 6.0 | 25 | Gevokizumab | 8.3 |
| 4 | Pembrolizumab | 5.0 | 26 | Guselkumab | 16.1 |
| 5 | Tezepelumab | 3.3 | 27 | Benralizumab | 4.8 |
| 6 | Pateclizumab | 11.8 | 28 | Mepolizumab | 4.2 |
| 7 | Ralpancizumab | 2.8 | 29 | Tildrakizumab | 4.9 |
| 8 | Tefibazumab | 6.3 | 30 | Adalimumab | 7.3 |
| 9 | Enokizumab | 9.3 | 31 | Canakinumab | 3.9 |
| 10 | Fulranumab | 6.8 | 32 | Ipilimumab | 3.0 |
| 11 | Obiltoxaximab | 12.9 | 33 | Raxibacumab | 28.4 |
| 12 | Bezlotoxumab | 6.7 | 34 | Daclizumab | 8.7 |
| 13 | Infliximab | 7.2 | 35 | Ublituximab | 2.6 |
| 14 | Nivolumab | 14.2 | 36 | Tigatuzumab | 19.3 |
| 15 | Enavatuzumab | 5.0 | 37 | Gedivumab | 3.3 |
| 16 | Risankizumab | 12.4 | 38 | Cemiplimab | 3.4 |
| 17 | Tremelimumab | 13.8 | 39 | Mogamulizumab | 22.7 |
| 18 | Crenezumab | 6.5 | 40 | Tafasitamab | 4.9 |
| 19 | Cetrelimab | 11.2 | 41 | Secukinumab | 5.6 |
| 20 | Lesofavumab | 8.2 | 42 | Farletuzumab | 9.6 |
| 21 | Lexatumumab | 13.1 | 43 | Pertuzumab | 5.6 |
| 22 | Nesvacumab | 5.1 |
| ID | Antibody | Median % PE | ID | Antibody | Median % PE |
|---|---|---|---|---|---|
| 1 | Adalimumab | 3.6 | 9 | Daclizumab | 5.0 |
| 2 | Canakinumab | 2.3 | 10 | Benralizumab | 6.1 |
| 3 | Guselkumab | 28.9 | 11 | Belimumab | 13.7 |
| 4 | Risankizumab | 10.7 | 12 | Enokizumab | 7.2 |
| 5 | Secukinumab | 7.6 | 13 | Gevokizumab | 2.7 |
| 6 | Tezepelumab | 11.5 | 14 | Fulranumab | 28.1 |
| 7 | Tildrakizumab | 8.0 | 15 | Olokizumab | 4.12 |
| 8 | Mepolizumab | 19.8 | 16 | Ralpancizumab | 10.69 |
Disclaimer/Publisher’s Note: The statements, opinions and data contained in all publications are solely those of the individual author(s) and contributor(s) and not of MDPI and/or the editor(s). MDPI and/or the editor(s) disclaim responsibility for any injury to people or property resulting from any ideas, methods, instructions or products referred to in the content. |
© 2024 by the authors. Licensee MDPI, Basel, Switzerland. This article is an open access article distributed under the terms and conditions of the Creative Commons Attribution (CC BY) license (https://creativecommons.org/licenses/by/4.0/).
Share and Cite
Kumar, M.; Lanke, S.; Yadav, A.; Ette, M.; Mager, D.E.; Shah, D.K. Inter-Antibody Variability in the Clinical Pharmacokinetics of Monoclonal Antibodies Characterized Using Population Physiologically Based Pharmacokinetic Modeling. Antibodies 2024, 13, 54. https://doi.org/10.3390/antib13030054
Kumar M, Lanke S, Yadav A, Ette M, Mager DE, Shah DK. Inter-Antibody Variability in the Clinical Pharmacokinetics of Monoclonal Antibodies Characterized Using Population Physiologically Based Pharmacokinetic Modeling. Antibodies. 2024; 13(3):54. https://doi.org/10.3390/antib13030054
Chicago/Turabian StyleKumar, Mokshada, Sravani Lanke, Alka Yadav, Mfonabasi Ette, Donald E. Mager, and Dhaval K. Shah. 2024. "Inter-Antibody Variability in the Clinical Pharmacokinetics of Monoclonal Antibodies Characterized Using Population Physiologically Based Pharmacokinetic Modeling" Antibodies 13, no. 3: 54. https://doi.org/10.3390/antib13030054
APA StyleKumar, M., Lanke, S., Yadav, A., Ette, M., Mager, D. E., & Shah, D. K. (2024). Inter-Antibody Variability in the Clinical Pharmacokinetics of Monoclonal Antibodies Characterized Using Population Physiologically Based Pharmacokinetic Modeling. Antibodies, 13(3), 54. https://doi.org/10.3390/antib13030054

