Denitrification Rate and Its Potential to Predict Biogenic N2O Field Emissions in a Mediterranean Maize-Cropped Soil in Southern Italy
Abstract
1. Introduction
- the denitrification rate in C2H2- amended intact soil cores incubated under field conditions and the soil field N2O fluxes by static closed chambers were monitored under the standard fertilization management (SFM) of the farm and during a manipulation experiment (ME) testing the effects of higher and lower application rates of urea at the late fertilization against the standard scheduling. Set of ancillary soil variables were analysed on each sampling date as well. In this regard the present study aimed at exploring the temporal pattern of denitrifying activity and N2O evolution as a function of the changes of soil environmental conditions driven by the fertilization and the irrigation agronomic practices;
- the whole dataset, coming from the SFM and the manipulation experimental (ME) monitoring activities, was analysed to test potential correlations and regressions functions between the denitrification rate, the N2O fluxes and the soil parameters. Specifically, the authors hypothesized that the study could establish for both the denitrification rate on intact soil cores and the field N2O fluxes: (i) correlations and empirical regression functions with each one of the driving soil variables showing significant variations in time, with local-specific threshold values and coefficients for key soil parameters such as water content and nitrate availability; (ii) simple predictive combined multiplicative models, based on the empirically established relationships between variables, accounting for the main effect of each factor. Moreover, considering the fine texture of soil at the experimental site, the authors also hypothesized a correlation between the field N2O fluxes and the denitrifying activity, proving denitrification rate on intact soil cores as a good predictor parameter for N2O fluxes. In this regard, the current study aimed at pointing out empirically derived regression functions which could effectively work to further implement site-specific N2O empirical models and/or to calibrate existing N2O process-based simulation models to the local pedo-climatic conditions.
2. Materials and Methods
2.1. Study Site
2.2. Field Management
2.3. Experimental Set-Up
2.3.1. Monitoring Activities during the Standard Fertilization Management (SFM)
2.3.2. Monitoring Activities during the Manipulation Experiment (ME)
2.3.3. Correlation and Regression Analyses CRA
- A correlation analysis was firstly performed to investigate the relationship between the denitrification rate, the N2O fluxes and the soil driving parameters, also to determine specific threshold values of soil variables for denitrifying activity and N2O evolution from soil;
- A regression analysis was secondly carried out to empirically derive: (i) specific response functions of both the denitrification rate and the N2O fluxes to soil nitrate (f(NO3−)), WFPS (g(WFPS)) and temperature (h(Tsoil)); (ii) a specific regression function between the soil N2O emissions and the denitrification rate (h(Denitrification rate));
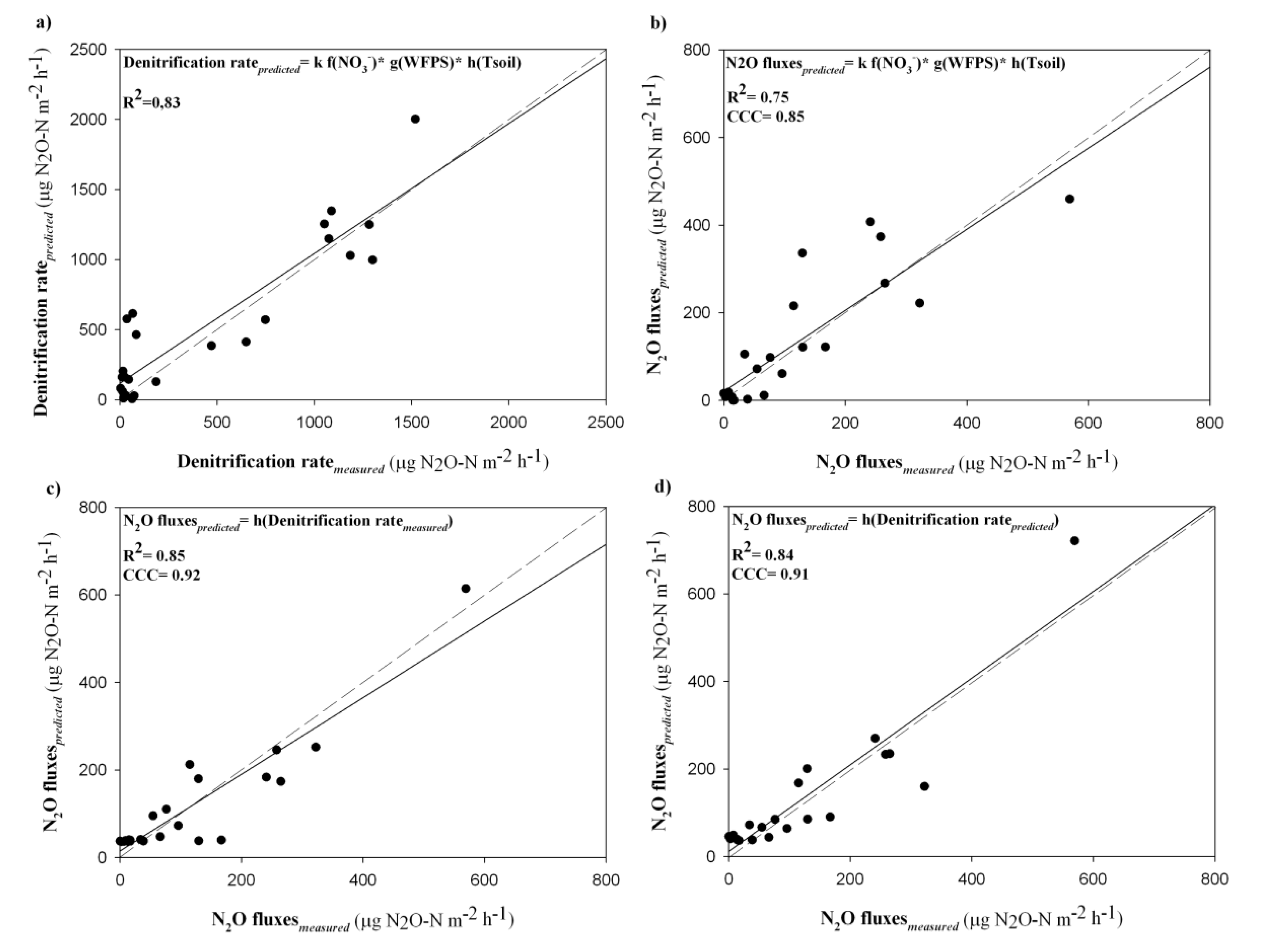
- Afterwards, simple predictive equation were designed on the basis of the empirically derived regression functions:(1) a simple multiplicative model to simulate the denitrifying activity as a function of the three driving soil parameters:whereDenitrification ratepredicted = k f(NO3−)* g(WFPS)* h(T soil)k = correction factor derived as the direction coefficient of the linear regression r’ = k*Denitrification ratemeasured, with r’ = f(NO3−)* g(WFPS)* h(Tsoil)(2) a simple multiplicative model to simulate the soil N2O fluxes as a function of the three driving soil parameters:whereN2O fluxes predicted = k f(NO3−)* g(WFPS)* h(Tsoil)k = correction factor derived as the direction coefficient of the linear regression f’ = k N2O fluxes measured, with f’ = f(NO3−)* g(WFPS)* h(Tsoil)(3) a simple predictive equation of the soil N2O fluxes as a function of the measured denitrification rates:N2O fluxespredicted = h(Denitrification ratemeasured)(4) a simple predictive equation of the soil N2O fluxes as a function of the simulated denitrification rates (i.e., in response to the predicted values of denitrification rate from soil parameters through equation (1)):N2O fluxes predicted = h(Denitrification ratepredicted)
- Finally, the predicted values were plotted against the averaged experimental estimates from each sampling campaign to test deterministically the simple multiplicative models for simulating the denitrification and the flux pattern. At this stage the measured soil nitrate concentration, WFPS and temperature (as averaged values from each sampling date) were used as input parameters for predicting the average values of the denitrification rate and the N2O soil fluxes recorded on each campaign date. The agreement between simulated and measured variables was tested through the coefficient of determination between observations and simulations (R2), whilst the concordant correlation coefficient (CCC) was used to evaluate the different performances of the empirically derived simple prediction functions of soil N2O fluxes from soil ancillary parameters (2) and denitrification rate (3)(4).
2.4. Sampling and Processing Intact Soil Cores for Denitrification Rate
2.5. N2O Fluxes Measurement
2.6. Soil Analysis
2.7. Statistical Analysis
3. Results
3.1. Monitoring Activities under the Standard Fertilization Management (SFM)
3.2. Monitoring Activities during the Manipulation Experiment (ME)
3.3. Correlation and Regression Analysis (CRA) on the Whole Dataset
4. Discussion
4.1. Monitoring Activities during the Standard Fertilization Management (SFM)
4.2. Monitoring Activities during the Manipulation Experiment (ME)
4.3. Correlation and Regression Analysis (CRA) On the Whole Dataset
5. Conclusions
Author Contributions
Funding
Acknowledgments
Conflicts of Interest
References
- IPCC. Climate Change 2013: The Physical Science Basis. In Contribution of Working Group I to the Fifth Assessment Report of the Intergovernmental Panel on Climate Change; Stocker, T.F., Qin, D., Plattner, G.K., Tignor, M., Allen, S.K., Boschung, J., Nauels, A., Xia, Y., Bex, V., Midgley, P.M., Eds.; Cambridge University Press: Cambridge, UK; New York, NY, USA, 2013; p. 1535. [Google Scholar]
- Ravinshakara, A.R.; Daniel, J.S.; Portmann, R.W. Nitrous oxide (N2O): the dominant ozone-depleting substance emitted in the 21st century. Science 2009, 326, 123–125. [Google Scholar] [CrossRef] [PubMed]
- Hénault, C.; Grossel, A.; Mary, B.; Roussel, M.; Léonard, J. Nitrous Oxide Emission by Agricultural Soils: A Review of Spatial and Temporal Variability for Mitigation. Pedosphere 2012, 22, 426–433. [Google Scholar] [CrossRef]
- Butterbach-Bahl, K.; Baggs, E.M.; Dannenmann, M.; Kiese, R.; ZechmeisterBoltenstern, S. Nitrous oxide emissions from soils: How well do we understand the processes and their controls? Philos. Trans. R. Soc. B 2013, 368, 1621. [Google Scholar] [CrossRef] [PubMed]
- Chen, D.; Li, Y.; Grace, P.; Mosier, A. N2O emissions from agricultural lands: a synthesis of simulation approaches. Plant Soil 2008, 309, 169–189. [Google Scholar] [CrossRef]
- Fang, Q.; Ma, L.; Halvorson, A.D.; Malone, R.; Ahuja, L.; Del Grosso, S.; Hatfield, J. Evaluating four N2O emissions algorithms in RZWQM2 in response to N rate on an irrigated corn field. Environ. Model. Softw. 2015, 72, 56–70. [Google Scholar] [CrossRef]
- Grossel, A.; Nicoullaud, B.; Bourennane, H.; Lacoste, M.; Guimbaud, C.; Robert, C.; Hénault, C. The effect of tile-drainage on nitrous oxide emissions from soils and drainage streams in a cropped landscape in Central France. Agric. Ecosyst. Environ. 2016, 230, 251–260. [Google Scholar] [CrossRef]
- Aguilera, E.; Lassaletta, L.; Sanz-Cobena, A.; Garniere, J.; Vallejo, A. The potential of organic fertilizers and water management to reduce N2O emissions in Mediterranean climate cropping systems. A review. Agric. Ecosyst. Environ. 2013, 164, 32–52. [Google Scholar] [CrossRef]
- Castaldi, S.; Alberti, G.; Bertolini, T.; Forte, A.; Miglietta, F.; Valentini, R.; Fierro, A. N2O EmissionFactors for ItalianCrops. In The Greenhouse Gas Balance of Italy; Valentini, R., Miglietta, E.F., Eds.; Environmental Science and Engineering; Springer: Berlin, Germany, 2015; Chapter 9; pp. 135–144. ISBN 978-3-642-32423-9. [Google Scholar]
- Cayuela, M.; Aguilera, E.; Sanz-Cobena, A.; Adams, D.; Abalos, D.; Bartong, L.; Ryalsh, R.; Silver, W.L.; Alfaro, M.A.; Pappa, V.A.; et al. Direct nitrous oxide emissions in Mediterranean climate cropping systems: Emission factors based on a metaanalysis of available measurement data. Agric. Ecosyst. Environ 2017, 238, 25–35. [Google Scholar] [CrossRef]
- IPCC. Intergovernamental Panel of Climate Change Guidelines for National Greenhouse Gas inventories. Prepared by the National greenhouse Gas Inventories Programme. In Agriculture, Forestry and other Land Use. N2O Emissions from Managed Soils, and CO2 Emissions from Lime and Urea Application; Eggleston, H.S., Buendia, L., Miwa, K., Ngara, T., Tanabe, K., Eds.; IGES: Hayama, Japan, 2006; Chapter 11; Volume 4. [Google Scholar]
- Boyer, E.W.; Alexander, R.B.; Parton, W.J.; Li, C.; Butterbach-Bahl, K.; Donner, S.D.; Skaggs, W.; Del Grosso, S.J. Modeling denitrifcation in terrestrial and aquatic ecosystems at regional scales. Ecol. Appl. 2006, 16, 2123–2142. [Google Scholar] [CrossRef]
- Galloway, J.N.; Dentener, F.J.; Capone, D.G.; Boyer, E.W.; Howarth, R.W.; Seitzinger, S.P.; Asner, G.P.; Cleveland, C.C.; Green, P.A.; Holland, E.A.; et al. Nitrogen cycles: Past, Present and Future. Biogeochemistry 2004, 70, 153–226. [Google Scholar] [CrossRef]
- Bollmann, A.; Conrad, R. Influence of O2 availability on NO and N2O release by nitrification and denitrification in soils. Glob. Chang. Biol. 2004, 4, 387–396. [Google Scholar] [CrossRef]
- Khalil, K.; Mary, B.; Renault, P. Nitrous oxide production by nitrification and denitrification in soil aggregates as affected by O2 concentration. Soil Biol. Biochem. 2004, 36, 687–699. [Google Scholar] [CrossRef]
- Farquharson, R.; Baldock, J. Concepts in modelling N2O emissions from land use. Plant Soil 2008, 309, 147–167. [Google Scholar] [CrossRef]
- Abbasi, M.K.; Adams, W.A. Gaseous N emission during simultaneous nitrification-denitrification associated with mineral N fertilization to a grassland soil under field conditions. Soil Biol. Biochem. 2000, 32, 1251–1259. [Google Scholar] [CrossRef]
- Šimek, M.; Elhottová, D.; Klimeš, F.; Hopkins, D.W. Emissions of N2O and CO2, denitrification measurement and soil properties in red clover and ryegrass stands. Soil Biol. Biochem. 2004, 36, 9–21. [Google Scholar] [CrossRef]
- Arcara, P.G.; Gamba, C.; Bidini, D.; Marchetti, R. The effect of urea and pig slurry fertilization on denitrification, direct nitrous oxide emission, volatile fatty acids, water-soluble carbon and anthrone-reactive carbon in maize-cropped soil from the Po plain (Modena, Italy). Biol. Fertil. Soils 1999, 29, 270–276. [Google Scholar] [CrossRef]
- Sánchez, L.; Díaz, J.A.; Vallejo, A.; Cartagena, M.C. Denitrification losses from irrigated crops central Spain. Soil Biol. Biochem. 2001, 33, 1201–1209. [Google Scholar] [CrossRef]
- Vallejo, A.; Diez, J.A.; Lopez-Valdivia, L.M.; Cartagena, M.C.; Tarquis, A.; Hernàiz, P. Dentitrification from an irrigated soil fertilized with pig slurry under Mediterranean conditions. Biol. Fertil. Soils 2004, 40, 93–100. [Google Scholar] [CrossRef]
- Vallejo, A.; Skiba, U.M.; García-Torres, L.; Arce, A.; López-Fernández, S.; Sánchez-Martín, L. Nitrogen oxides emission from soils bearing a potato crop as influenced by fertilization with treated pig slurries and composts. Soil Biol. Biochem. 2006, 38, 2782–2793. [Google Scholar] [CrossRef]
- Meijide, A.; Díez, J.A.; Sánchez-Martín, L.; López-Fernández, S.; Vallejo, A. Nitrogen oxide emissions from an irrigated maize crop amended with treated pig slurries and composts in a Mediterranean climate. Agric. Ecosyst. Environ. 2007, 121, 383–394. [Google Scholar] [CrossRef]
- Maag, F.P.; Vinther, F.P. Effect of temperature and water on gaseous emissions from soils treated with animal slurry. Soil Sci. Soc. Am. J. 1999, 63, 858–865. [Google Scholar] [CrossRef]
- Conen, F.; Dobbie, K.E.; Smith, K.A. Predicting N2O emissions from agricultural land through related soil parameters. Glob. Chang. Biol. 2000, 6, 417–426. [Google Scholar] [CrossRef]
- Ranucci, S.; Bertolini, T.; Vitale, L.; Di Tommasi, P.; Ottaiano, L.; Oliva, M. The influence of management and environmental variable on soil N2O emissions in a crop system in Southern Italy. Plant Soil 2011, 343, 83–96. [Google Scholar] [CrossRef]
- Parton, W.J.; Mosier, A.R.; Ojima, D.S.; Valentine, D.W.; Schimel, D.S.; Weier, K.; Kulmala, A.E. Generalized model for N2 and N2O production from nitrification and denitrification. Glob. Biogeochem. Cycles 1996, 10, 401–412. [Google Scholar] [CrossRef]
- Parton, W.J.; Holland, E.A.; Del Grosso, S.J.; Hartman, M.D.; Martin, R.E.; Mosier, A.R.; Ojima, D.S.; Schimel, D.S. Generalized model for NOx and N2O emissions from soils. J. Geophys. Res. Atmos. 2001, 106, 17403–17419. [Google Scholar] [CrossRef]
- Del Grosso, S.J.; Parton, W.J.; Mosier, A.R.; Walsh, M.K.; Ojima, D.S.; Thornton, P.E. Daycent national scale simulations of N2O emissions from cropped soils in the USA. J. Environ. Qual. 2006, 35, 1451–1460. [Google Scholar] [CrossRef] [PubMed]
- Hénault, C.; Chèneby, D.; Heurlier, K.; Garrido, F.; Pérez, S.; Germon, J.C. Laboratory kinetics of soil denitrification are useful to discriminate soils with potentially high levels of N2O emission on the field scale. Agronomie 2001, 21, 713–723. [Google Scholar] [CrossRef][Green Version]
- Hénault, C.; Bizouard, F.; Laville, P.; Gabrielle, B.; Nicoullau, B.; Germon, J.C.; Cellier, P. Predicting in situ soil N2O emission using NOE algorithm and soil database. Glob. Chang. Biol. 2005, 11, 115–127. [Google Scholar] [CrossRef]
- Li, C.S. Modelling trace gas emissions from agricultural ecosystems. Nutr. Cycl. Agroecosyst. 2000, 58, 259–276. [Google Scholar] [CrossRef]
- Chatskikh, D.; Olesen, J.; Berntsen, J.; Regina, K.; Yamulki, S. Simulation of effects of soils, climate and management on N2O emission from grasslands. Biogeochemistry 2005, 76, 395–419. [Google Scholar] [CrossRef]
- Gabrielle, B.; Laville, P.; Hénault, C.; Nicoullaud, B.; Germon, J.C. Simulation of nitrous oxide emissions from wheatcropped soils using CERES. Nutr. Cycl. Agroecosyst. 2006, 74, 133–146. [Google Scholar] [CrossRef][Green Version]
- Heinen, M. Application of a widely used denitrification model to Dutch data sets. Geoderma 2006, 133, 464–473. [Google Scholar] [CrossRef]
- Heinen, M. Simplified denitrification models: Overview and properties. Geoderma 2006, 133, 444–463. [Google Scholar] [CrossRef]
- Hénault, C.; Germon, J.C. NEMIS, a predictive model of denitrification on the field scale. Eur. J. Soil Sci. 2000, 51, 257–270. [Google Scholar] [CrossRef]
- Bessou, C.; Ferchaud, F.; Gabrielle, B.; Mary, B. Biofuels, greenhouse gases and climate change. In Sustainable Agriculture; Eric, L., Marjolaine, H., Mireille, N., Philippe, D., Eds.; Springer: Heidelberg, Germany, 2011; Volume 2, pp. 365–468. [Google Scholar]
- Vitale, L.; Di Tommasi, P.; Arena, C.; Riondino, M.; Forte, A.; Verlotta, A.; Fierro, A.; De Santo, A.V.; Fuggi, A.; Magliulo, V. Growth and gas exchange response to water shortage of a maize crop on different soil types. Acta Physiol. Plant 2009, 31, 331–341. [Google Scholar] [CrossRef]
- Parisi, D.; Nacca, F.; Cozzolino, C.; Verlotta, A.; Arena, C.; Vitale, L.; Carillo, P.; Fuggi, A. Photosynthesis and nitrogen metabolism of maize plants cultivated in the Mediterranean area. In Proceeding of the 8th Annual FISV Meeting, Riva del Garda, Italy, 28 September–1 October 2006. [Google Scholar]
- Butler, W.L.; Kitajima, M. Fluorescence quenching in Photosystem II of chloroplasts. Biochim. Biophys. Acta 1975, 376, 116–125. [Google Scholar] [CrossRef]
- Hirel, B.; Andrieu, B.; Valadier, M.H.; Renard, S.; Quillere, I.; Chelle, M.; Pommel, B.; Fournie, C.; Drouet, J.L. Physiology of maize. II. Identification of physiological markers representative of the nitrogen status of maize (Zea mays) leaves during grain filling. Physiol. Plant. 2005, 124, 178–188. [Google Scholar] [CrossRef]
- Robertson, G.P.; Bledsoe, C.S.; Coleman, D.C.; Sollins, P. Standard Soil Methods for Long Term Ecological Research; Oxford University Press: New York, NY, USA, 1999. [Google Scholar]
- Groffman, P.M.; Altabet, M.A.; Bohlke, J.K.; Butterbach-Bahl, K.; David, M.B.; Firestone, M.K.; Giblin, A.E.; Kana, T.M.; Nielsen, L.P.; Voytek, M.A. Methods for measuring denitrification: Diverse approaches to a difficult problem. Ecol. Appl. 2006, 16, 2091–2122. [Google Scholar] [CrossRef]
- Carter, M.R.; Gregorich, E.G. Soil Sampling and Methods of Analysis, 2nd ed.; CRC Press: Boca Raton, FL, USA, 2007. [Google Scholar]
- Drury, C.F.; Myrold, D.D.; Beauchamp, E.G.; Reynolds, W.D. Denitrification techniques for soils. In Soil Sampling and Methods of Analysis; Canadian Soil Science Society; Carter, M.R., Gregorich, E.G., Eds.; CRC Press: Boca Raton, FL, USA, 2008; pp. 471–494. [Google Scholar]
- Revsbech, N.P.; Sørensen, J. Denitrification in Soil and Sediment; Springer Science & Business Media: New York, NY, USA, 2013. [Google Scholar]
- Sgouridis, F.; Stott, A.; Ullah, S. Application of the 15N gas-flux method for measuring in situN2 and N2O fluxes due to denitrification in natural and semi-natural terrestrial ecosystems and comparison with the acetylene inhibition technique. Biogeosciences 2016, 13, 1821–1835. [Google Scholar] [CrossRef]
- Felber, R.; Conen, F.; Flechard, C.R.; Neftel, A. Theoretical and practical limitations of the acetylene inhibition technique to determine total denitrification losses. Biogeosciences 2012, 9, 4125–4138. [Google Scholar] [CrossRef]
- Hauer, F.R.; Lamberti, G.A. Methods in Stream Ecology: Volume 2: Ecosystem Function; Academic Press: New York, NY, USA, 2017. [Google Scholar]
- Fuller, K.D.; Burton, L.D.; Grimmett, M.G.; Franklin, J.L.; Drury, C.F.; Zebarth, B.J.; Rodd, A.V.; St George, E. Effect of land management practices and environmental parameters on growing season denitrification rates under dairy crop rotations in Atlantic Canada. Can. J. Soil Sci. 2017, 96, 86–103. [Google Scholar] [CrossRef]
- Miller, J.J.; Beasley, B.W.; Drury, C.F.; Zebarth, B.J. Denitrification during the growing season as influenced by long-term application of composted versus fresh feedlot manure. Can. J. Plant Sci. 2012, 92, 865–882. [Google Scholar] [CrossRef]
- Sánchez-Martín, L.; Arce, A.; Benito, A.; Garcia-Torres, L.; Vallejo, A. Influence of drip and furrow irrigation systems on nitrogen oxide emissions from a horticultural crop. Soil Biol. Biochem. 2008, 40, 1698–1706. [Google Scholar] [CrossRef]
- Sánchez-Martín, L.; Meijide, A.; Garcia-Torres, L.; Vallejo, A. Combination of drip irrigation and organic fertilizer for mitigating emissions of nitrogen oxides in semiarid climate. Agric. Ecosyst. Environ. 2010, 137, 99–107. [Google Scholar] [CrossRef]
- Castaldi, S.; Aragosa, D. Factors influencing nitrification and denitrification variability in a natural and fire-disturbed Mediterranean shrubland. Biol. Fertil. Soils 2002, 36, 418–425. [Google Scholar] [CrossRef]
- Allen, S.E. Chemical Analysis of Ecological Materials, 2nd ed.; Blackwell Scientific Publications: Oxford, UK, 1989; pp. 81–159. [Google Scholar]
- Lin, L.I.K. A concordance correlation coefficient to evaluate reproducibility. Biometrics 1989, 45, 255–268. [Google Scholar] [CrossRef] [PubMed]
- López-Fernández, S.; Díez, J.A.; Hernaiz, P.; Arce, A.; García-Torres, L.; Vallejo, A. Effects of fertiliser type and the presence or absence of plants on nitrous oxide emissions from irrigated soils. Nutr. Cycl. Agroecosys. 2007, 78, 279–289. [Google Scholar] [CrossRef]
- Kallenbach, C.M.; Rolston, D.E.; Horwath, W.R. Cover cropping affects soil N2O and CO2 emissions differently depending on type of irrigation. Agric. Ecosyst. Environ. 2010, 137, 251–260. [Google Scholar] [CrossRef]
- Fierro, A.; Forte, A. Measurements of CO2 and N2O Emissions in the Agricultural Field Experiments of the MESCOSAGR Project. In Carbon Sequestration in Agricultural Soils; Piccolo, A., Ed.; Springer: Heidelberg, Germany, 2012; Chapter 9. [Google Scholar]
- Forte, A.; Fiorentino, N.; Fagnano, M.; Fierro, A. Mitigation impact of minimum tillage on CO2 and N2O emissions from a Mediterranean maize cropped soil under low-water input management. Soil Tillage Res. 2017, 166, 167–178. [Google Scholar] [CrossRef]
- Forte, A.; Fagnano, M.; Fierro, A. Potential role of compost and green manure amendment to mitigate soil GHGs emissions in Mediterranean drip irrigated maize production systems. J. Environ. Manag. 2017, 192, 68–78. [Google Scholar] [CrossRef]
- Neff, J.C.; Townsend, A.R.; Gleixner, G.; Lehman, S.J.; Turnbull, J.; Bowman, W.D. Variable effects of nitrogen additions on the stability and turnover of soil carbon. Nature 2002, 419, 915–917. [Google Scholar] [CrossRef] [PubMed]
- Potthoff, M.; Dyckmans, J.; Flessa, H.; Muhs, A.; Beese, F.; Joergensen, R.G. Dynamics of maize (Zea mays L.) leaf straw mineralization as affected by the presence of soil and the availability of nitrogen. Soil Biol. Biochem. 2005, 37, 1259–1266. [Google Scholar] [CrossRef]
- Qiu, Q.; Wu, L.; Ouyang, Z.; Li, B.; Xu, Y.; Wu, S.; Gregorich, E.G. Priming effect of maize residue and urea N on soil organic matter changes with time. Appl. Soil Ecol. 2016, 100, 65–74. [Google Scholar] [CrossRef]
- Granli, T.; Bockman, O.C. Nitrous oxide from agriculture. Nor. J. Agric. Sci. 1994, 12, 128. [Google Scholar]
- Zhou, M.; Butterbach-Bahl, K. Assessment of nitrate leaching loss on a yield-scaled basis from maize and wheat cropping systems. Plant Soil 2014, 374, 977–991. [Google Scholar] [CrossRef]
- Piccini, C.; Di Bene, C.; Farina, R.; Pennelli, B.; Napoli, R. Assessing Nitrogen Use Efficiency and Nitrogen Loss in a Forage-Based System Using a Modeling Approach. Agronomy 2016, 6, 23. [Google Scholar] [CrossRef]
- McSwiney, C.P.; Robertson, G.P. Non-linear response of N2O flux to incremental fertilizer addition in a continuous maize (Zea mays sp.) cropping system. Glob. Chang. Biol. 2005, 11, 1712–1719. [Google Scholar] [CrossRef]
- Quemada, M.; Baranski, M.; Nobel-de Lange, M.N.J.; Vallejo, A.; Cooper, J.M. Meta-analysis of strategies to control nitrate leaching in irrigated agricultural systems and their effects on crop yield. Agric. Ecosyst. Environ. 2013, 174, 1–10. [Google Scholar] [CrossRef]
- Guardia, G.; Abalosb, D.; García-Marco, S.; Quemadaa, M.; Alonso-Ayusoa, M.; Cárdenas, L.M.; Dixonc, L.E.; Vallejo, A. Integrated soil fertility management drives the effect of cover crops on GHG emissions in an irrigated field. Biogeosciences 2016, 13, 5245–5257. [Google Scholar] [CrossRef]
- Gilsanz, C.; Baez, D.; Misselbrook, T.H.; Dhanoa, M.S.; Cardenas, L.M. Development of emission factors and efficiency of two nitrification inhibitors, DCD and DMPP. Agric. Ecosyst. Environ. 2016, 216, 1–8. [Google Scholar] [CrossRef]
- Alfieri, F. Applicazione Dell’analisi Energetica ad un Sistema Produttivo Nell’area Della Piana del Sele. Master’s Thesis, Università degli Studi di Napoli Federico II, Naples, Italy, 2005. [Google Scholar]
- Klemedtsson, L.; Svensson, B.H.; Linberg, T.; Rosswall, T. The use of acetylene inhibition of nitrous oxide reductase in quantifying denitrification in soils. Plant Soil 1977, 99, 303–319. [Google Scholar] [CrossRef]
- Limner, A.W.; Steele, K.W. Denitrification potentials: measurements of seasonal variations using a short-termanaerobic incubation technique. Soil Biol. Biochem. 1982, 14, 179–184. [Google Scholar] [CrossRef]
- Mahli, S.S.; McGill, W.B.; Nyborg, M. Nitrate losses in soils: Effect of temperature, moisture and substrate concentration. Soil Biol. Biochem. 1990, 22, 733–737. [Google Scholar]
- Barton, L.; McLay, C.D.A.; Schipper, L.A.; Smith, C.T. Annual denitrification rates in agricultural and forest soils: A review. Soil Res. 1999, 37, 1073–1093. [Google Scholar] [CrossRef]
- Schjønning, P.; Munkholm, L.J.; Moldrup, P.; Jacobsen, O.H. Modelling soil pore characteristics from measurements of air exchange: The long-term effects of fertilization and crop rotation. Eur. J. Soil Sci. 2002, 53, 331–339. [Google Scholar] [CrossRef]
- Gomboš, M. The Impact of Clay Minerals on Soil Hydrological Processes. In Clay Minerals in Nature-Their Characterization, Modification and Application; Valaskova, M., Ed.; IntechOpen: Rijeka, Croatia, 2012; pp. 119–148. [Google Scholar]
- Vogel, H.J.; Hoffmann, H.; Leopold, A.; Roth, K. Studies of crack dynamics in clay soil II. A physically based model for crack formation. Geoderma 2005, 125, 213–223. [Google Scholar] [CrossRef]
- Firestone, M.K.; Fireston, R.B.; Tiedje, J.M. Nitrous oxide from soil denitrification: Factors controlling its biological production. Science 1980, 208, 749–751. [Google Scholar] [CrossRef]
- Vinther, F.P. Total denitrification and the ratio between N2O and N2 during the growth of spring barley. Plant Soil 1984, 76, 227–232. [Google Scholar] [CrossRef]
- Rabot, E.; Cousin, I.; Hénault, C. A modeling approach of the relationship between nitrous oxide fluxes from soils and the water filled pore space. Biogeochemistry 2015, 122, 395–408. [Google Scholar] [CrossRef]
- Van Lent, J.; Hergoualc’h, K.; Verchot, L.V. Reviews and syntheses: Soil N2O and NO emissions from land use and land-use change in the tropics and subtropics: A meta-analysis. Biogeosciences 2015, 12, 7299–7313. [Google Scholar] [CrossRef]
- Chen, S.T.; Huang, Y. Determination of Respiration, Gross Nitrification and Denitrification in Soil Profile Using BaPS System. J. Environ. Sci. 2006, 18, 937–943. [Google Scholar] [CrossRef]
- Li, Y.K.; Li, B.; Guo, W.Z.; Wu, X.P. Effects of Nitrogen Application on Soil Nitrification and Denitrification Rates and N2O Emissions in Greenhouse. J. Agric. Sci. Techol. 2015, 17, 519–530. [Google Scholar]





| 2005 | 2006 | |
|---|---|---|
| Preceding crop | Lolium italicum L., supplied with 250 kg ha−1 NPK 11-22-16 Hydro at the sowing time | Mixed crop of Lolium italicum L. and Trifolium alexandrinum L., supplied with 250 kg ha−1 NPK 11-22-16 Hydro at the sowing time |
| Soil management | Ploughing | Ploughing |
| Buffalo slurry sewage spreading | 4 L m−2 (early September) | 20 L m−2 (early September) |
| Sowing date | 17 May 2005 | 12 June 2006 |
| Sowing fertilization | 200 kg ha−1ENTEC® 25+15 (NP fertilizer with 3,4 DMPP nitrification inhibitor) | 250 kg ha−1ENTEC® 25+15(NP fertilizer with 3,4 DMPP nitrification inhibitor) |
| Late fertilization | 26 days after maize sprouting; 500 kg ha−1 ENTEC®46 (urea fertilizer with 3,4 DMPP nitrification inhibitor) a | 30 days after maize sprouting; 200 kg ha−1 ENTEC® 46 (urea fertilizer) + 200 kg ha−1 urea 46% |
| Mowing | 24 August 2005 | 28 September 2006 |
| Above-ground biomass b | 22.5 ± 1.1 (t ha−1) c | 23 ± 1.2 (t ha−1) |
| Tsoil | WFPS | NO3-N | NH4-N | Den. Rate | |
|---|---|---|---|---|---|
| Standard cultivation management 2005 | |||||
| Den. rate | 0.957***(7) | ||||
| N2O fluxes | 0.830*(7) | 0.786*(7) | |||
| Standard cultivation management 2006 | |||||
| Den. rate | 0.487**(32) | ||||
| N2O fluxes | 0.487**(32) | 0.627*(12) (WFPS > 48%) | 0.562***(32) | ||
| Manipulation experiment 2005 | |||||
| Den. rate | 0.862**(10) | 0.856*(6) (WFPS > 48%) | |||
| N2O fluxes | 0.598**(17) | 0.763*(7) (WFPS > 48%) | 0.906***(10) | ||
| The whole dataset | |||||
| Den. rate | 0.858*(6) a (NO3−-N > 15 mg kg−1, 48% < WFPS < 55%) | 0.818**(24) | 0.744**(9) (48% < WFPS < 55%) | ||
| N2O fluxes | 0.750**(6) b (NO3−-N > 15 mg kg−1, 48% < WFPS < 55%) | 0.706**(24) | 0.781*(9) (48% < WFPS < 55%) | 0.860***(24) | |
© 2019 by the authors. Licensee MDPI, Basel, Switzerland. This article is an open access article distributed under the terms and conditions of the Creative Commons Attribution (CC BY) license (http://creativecommons.org/licenses/by/4.0/).
Share and Cite
Forte, A.; Fierro, A. Denitrification Rate and Its Potential to Predict Biogenic N2O Field Emissions in a Mediterranean Maize-Cropped Soil in Southern Italy. Land 2019, 8, 97. https://doi.org/10.3390/land8060097
Forte A, Fierro A. Denitrification Rate and Its Potential to Predict Biogenic N2O Field Emissions in a Mediterranean Maize-Cropped Soil in Southern Italy. Land. 2019; 8(6):97. https://doi.org/10.3390/land8060097
Chicago/Turabian StyleForte, Annachiara, and Angelo Fierro. 2019. "Denitrification Rate and Its Potential to Predict Biogenic N2O Field Emissions in a Mediterranean Maize-Cropped Soil in Southern Italy" Land 8, no. 6: 97. https://doi.org/10.3390/land8060097
APA StyleForte, A., & Fierro, A. (2019). Denitrification Rate and Its Potential to Predict Biogenic N2O Field Emissions in a Mediterranean Maize-Cropped Soil in Southern Italy. Land, 8(6), 97. https://doi.org/10.3390/land8060097

