Analysis of the Heterogeneous Coordination between Urban Development Levels and the Ecological Environment in the Chinese Grassland Region (2000–2020): A Case Study of the Inner Mongolia Autonomous Region
Abstract
1. Introduction
2. Conceptual Framework of Coordination between Urban Development and Ecological Environment in China’s Grassland Areas
3. Materials and Methods
3.1. Study Area and Data Sources
3.2. Construction of Comprehensive Evaluation Index System
3.3. Measurement Methods of Coupling Coordination Degree
4. Results
4.1. Granger Causality Test
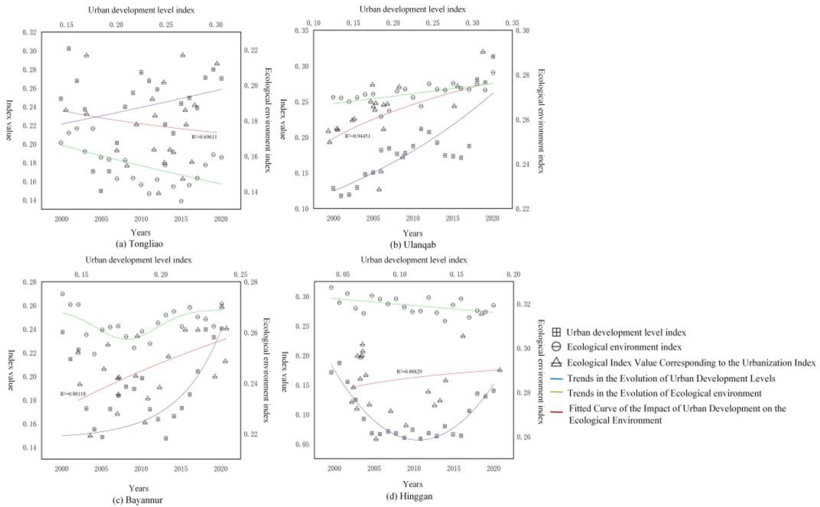
4.2. Coordination Analysis of Urban Development Levels and Ecological Environment from a Classification Perspective
5. Discussion
6. Conclusions
Author Contributions
Funding
Data Availability Statement
Conflicts of Interest
References
- Xu, B.; Yang, X.C.; Jin, Y.X.; Wang, D.L.; Yang, Z.; Li, J.Y.; Liu, H.Q.; Yu, H.D.; Ma, H.L. Monitoring and evaluation of grassland-livestock balance in pastoral and semi-pastoral counties of China. Geogr. Res. 2006, 31, 1998–2006. [Google Scholar]
- Guo, W.W.; Jin, L.; Li, W.; Wang, W.T. Assessing the vulnerability of grasslands in Gannan of China under the dual effects of climate change and human activities. Ecol. Indic. 2023, 148, 110100. [Google Scholar] [CrossRef]
- Collins, S.L.; Calabrese, L.B. Effects of fire, grazing and topographic variation on vegetation structure in tall grass prairie. J. Veg. Sci. 2012, 23, 563–575. [Google Scholar] [CrossRef]
- Foggin, M. Pastoralists and wildlife conservation in western China: Collaborative management within protected areas on the Tibetan Plateau. Pastor. Res. Policy Pract. 2012, 2, 17. [Google Scholar] [CrossRef]
- Fassnacht, F.E.; Li, L.; Fritz, A. Mapping degraded grassland on the Eastern Tibetan Plateau with multi-temporal Landsat 8 data-where do the severely degraded areas occur? Int. J. Appl. Earth Obs. Geoinf. 2015, 42, 115–127. [Google Scholar] [CrossRef]
- Bardgett, R.D.; Bullock, J.M.; Lavorel, S.; Manning, P.; Schaffner, U.; Ostle, N.; Chomel, M.; Durigan, G.; Fry, E.L.; Johnson, D.; et al. Combatting global grassland degradation. Nat. Rev. Earth Environ. 2021, 2, 720–735. [Google Scholar] [CrossRef]
- Wallace, J.S. Increasing agricultural water use efficiency to meet future food production. Agric. Ecosyst. Environ. 2000, 82, 105–119. [Google Scholar] [CrossRef]
- Morgan, J.A.; Lecain, D.R.; Mosier, A.R.; Milchunas, D.G. Elevated CO2 enhances water relations and productivity and affects gas exchange in C3 and C4 grasses of the Colorado short grass steppe. Glob. Chang. Biol. 2001, 7, 451–466. [Google Scholar] [CrossRef]
- Huang, L.; Xu, X.; Shao, Q.; Liu, J. Improving carbon mitigation potential through grassland ecosystem restoration under climatic change in Northeastern Tibetan Plateau. Adv. Meteorol. 2014, 1, 379306. [Google Scholar] [CrossRef]
- Richter, F.; Jan, P.; El Benni, N.; Lüscher, A.; Buchmann, N.; Klaus, V.H. A guide to assess and value ecosystem services of grasslands. Ecosyst. Serv. 2021, 52, 101376. [Google Scholar] [CrossRef]
- Saleska, S.R.; Shaw, M.R.; Fischer, M.L.; Dunne, J.A.; Still, C.J.; Holman, M.L.; Harte, J. Plant community composition mediates both large transient decline and predicted long-term recovery of soil carbon under climate warming. Glob. Biogeochem. Cycles 2002, 16, 1055. [Google Scholar] [CrossRef]
- Liu, D.; Song, X.; Hu, J.; Liu, Y.; Wang, C.; Henkin, Z. Precipitation affects soil nitrogen fixation by regulating active diazotrophs and nitrate nitrogen in an alpine grassland of Qinghai-Tibetan Plateau. Sci. Total Environ. 2024, 919, 170648. [Google Scholar] [CrossRef] [PubMed]
- Collins, S.; Lind, E.; Harpole, W.S.; Heckman, R.; Du, G.; Adler, P.; Wedin, D.; Stevens, C.; Kirkman, K.; Jin, V.; et al. Grassland productivity limited by multiple nutrients. Nat. Plants 2015, 1, 15080. [Google Scholar]
- Binkley, D.; Hart, S.C. The component of nitrogen availability assessments in forest soils. Adv. Soil Sci. 1989, 10, 57–112. [Google Scholar]
- Seastedt, T.R.; Briggs, J.M.; Gibson, D.J. Controls of nitrogen limitation intall grass prairie. Oecologia 1991, 87, 72–79. [Google Scholar] [CrossRef] [PubMed]
- Vitousek, P.M.; Howarth, R.W. Nitrogen limitation on land and in the sea: How can it occur. Biogeochemistry 1991, 13, 87–95. [Google Scholar] [CrossRef]
- Tilman, D. Secondary succession and t he pattern of plant dominance along experimental nitrogen gradients. Ecol. Monogr. 1987, 57, 189–214. [Google Scholar] [CrossRef]
- Wedin, D.; Tilman, D. Competition among grasses along a nitrogen gradient: Initial conditions and mechanisms of competition. Ecol. Monogr. 1993, 63, 199–229. [Google Scholar] [CrossRef]
- Van Oijen, M.; Bellocchi, G.; Höglind, M. Effects of climate change on grassland biodiversity and productivity: The need for a diversity of models. Agronomy 2018, 8, 14. [Google Scholar] [CrossRef]
- Liu, W.; Mo, X.; Liu, S.; Lu, C. Impacts of climate change on grassland fractional vegetation cover variation on the Tibetan Plateau. Sci. Total Environ. 2024, 939, 173320. [Google Scholar] [CrossRef]
- Wang, Y.; Liu, Y.; Chen, P.; Song, J.; Fu, B. Interannual precipitation variability dominates the growth of alpine grassland above-ground biomass at high elevations on the Tibetan Plateau. Sci. Total Environ. 2024, 931, 172745. [Google Scholar] [CrossRef] [PubMed]
- Lin, X.; Zhao, H.; Zhang, S.; Singh, V.P.; Li, R.; Luo, M.; Wang, S.; Zhao, X.; Lv, S.; Chen, X. Global response of different types of grasslands to precipitation and grazing, especially belowground biomass. Agric. Ecosyst. Environ. 2024, 363, 108852. [Google Scholar] [CrossRef]
- Chen, B.; Jiapaer, G.; Yu, T.; Zhang, L.; Tu, H.; Liang, H.; Lin, K.; Ju, T.; Ling, Q. The role of climatic factor timing on grassland net primary productivity in Altay, Xinjiang. Ecol. Indic. 2023, 157, 111243. [Google Scholar] [CrossRef]
- Aditya, G.; Arjun, K.; Ganesh, T. Rodent communities in a neglected grassland landscape: Investigating species-specific responses of grassland rodents to habitat type and shrub presence. J. Arid. Environ. 2024, 222, 105156. [Google Scholar]
- Virve, S.; Tsipe, A.; Kaasik, A.; Meeli, M.; Tiit, T. Insect-pollinated plants are first to disappear from overgrowing grasslands: Implications for restoring functional ecosystems. Biol. Conserv. 2024, 291, 110457. [Google Scholar]
- Liu, J.; Hu, Y.; Lu, W. A review of research on the relationship between grasslands and human activities. Ecol. Indic. 2024, 165, 112178. [Google Scholar] [CrossRef]
- Rosenzweig, C.; Karoly, D.; Vicarelli, M.; Neofotis, P.; Wu, Q.; Casassa, G.; Menzel, A.; Root, T.L.; Estrella, N.; Seguin, B.; et al. Attributing physical and biological impacts to anthropogenic climate change. Nature 2008, 453, 353–357. [Google Scholar] [CrossRef] [PubMed]
- Xu, L.; Xu, Y.; Duan, J.; Wang, Y.; Yang, H. Assessing the spatial occupation and ecological impact of human activities in Chengguan district, Lhasa city, Tibetan Plateau. Sci. Rep. 2024, 14, 67. [Google Scholar]
- Zhen, J.; Wang, Y.; Tian, Y.; He, S.; Wang, J. Study on ecological environment effects of urban spatial expansion: Taking Inner Mongolia Hohhot City as an example. Geogr. Res. 2019, 38, 1080–1091. [Google Scholar]
- Lü, L.; Zhao, Y.; Chu, L.; Wang, Y.; Zhou, Q. Grassland coverage change and its humanity effect factors quantitative assessment in Zhejiang province, China, 1980–2018. Sci. Rep. 2022, 12, 288. [Google Scholar] [CrossRef]
- Wang, X.; Zheng, D.; Shen, Y. Land use change and its driving forces on the Tibetan Plateau during 1990–2000. Catena 2008, 72, 56–66. [Google Scholar] [CrossRef]
- Wang, X.; Yang, Y.; Zhang, H.; Zhang, H. Optimization of agricultural land use structure in reclamation area, Yili prefecture, Xinjiang. Resour. Sci. 2009, 31, 2024–2028. [Google Scholar]
- Feng, H.; Zhou, J.; Zhou, A.; Su, D.; Han, X.; Xiong, R. Co-evolution mechanism of grassland degradation and its belowground habitat under the influence of coal mining activities. Catena 2024, 241, 107997. [Google Scholar] [CrossRef]
- Han, Z.; Song, W.; Deng, X.; Xu, X. Grassland ecosystem responses to climate change and human activities within the Three-River Headwaters region of China. Sci Rep. 2018, 8, 9079. [Google Scholar] [CrossRef]
- Zhang, R.; Liang, T.; Guo, J.; Xie, H.; Feng, Q.; Aimaiti, Y. Grassland dynamics in response to climate change and human activities in Xinjiang from 2000 to 2014. Sci. Rep. 2018, 8, 2888. [Google Scholar] [PubMed]
- Li, S.; Zhang, Y.; Wang, Z.; Li, L. Mapping human influence intensity in the Tibetan Plateau for conservation of ecological service functions. Ecosyst. Serv. 2018, 30, 276–286. [Google Scholar] [CrossRef]
- Lu, J.; Wang, Y.; Liu, L. An evaluation of prairie ecosystem’s tourism value-a case study on sizi wang Banner of Inner Mongolia. Tour. Trib. 2006, 19, 69–74. [Google Scholar]
- Feng, Y.; Li, G. Interaction between urbanization and eco-environment in Tibetan Plateau. Acta Geogr. Sin. 2020, 75, 1386–1405. [Google Scholar]
- Zibibula, I.; Suriya, M.; Paxagul, A. The analysis of the comprehensive level coordination degree between the urbanization and eco-environment system in Aksu city. Geogr. Res. 2011, 30, 496–504. [Google Scholar]
- Zhang, M.; Wang, D. Measurement of the coupled relationship between urbanisation and ecological environment in Qinghai. Qinghai Soc. Sci. 2018, 38, 59–65. [Google Scholar]
- Török, P.; Penksza, K.; Tóth, E.; Kelemen, A.; Sonkoly, J.; Tóthmérész, B. Vegetation type and grazing intensity jointly shape grazing effects on grassland biodiversity. Ecol. Evol. 2018, 8, 10326–10335. [Google Scholar] [CrossRef] [PubMed]
- Cristina, H.J.; Martín, O. Effects of grazing intensity on plant richness and diversity: A meta-analysis. Oikos 2018, 127, 757–766. [Google Scholar]
- Qian, S.; Mao, L.X.; Hou, Y.Y.; Fu, Y.; Zhang, H.Z. Livestock carrying capacity and balance between carrying capacity of grassland with added forage and actual livestock in the Qinghai-Tibet Plateau. J. Nat. Resour. 2007, 22, 389–397. [Google Scholar]
- Li, Y.; Ji, J. Assessment of the productivity and livestock carrying capacity of Inner Mongolia grassland byregional scale modeling. J. Nat. Resour. 2004, 19, 610–616. [Google Scholar]
- Zanella, P.G.; Junior, L.H.P.D.G.; Pinto, C.E.; Baldissera, T.C.; Werner, S.S.; Garagorry, F.C.; Jaurena, M.; Lattanzi, F.A.; Sbrissia, A.F. Grazing intensity drives plant diversity but does not affect forage production in a natural grassland dominated by the tussock-forming grass Andropogon lateralis Nees. Sci. Rep. 2021, 11, 16744. [Google Scholar] [CrossRef] [PubMed]
- Borer, E.T.; Seabloom, E.W.; Gruner, D.S.; Harpole, W.S.; Hillebrand, H.; Lind, E.M.; Adler, P.B.; Alberti, J.; Anderson, T.M.; Bakker, J.D.; et al. Herbivores and nutrients control grassland plant diversity via light limitation. Nature 2014, 508, 517–520. [Google Scholar] [CrossRef] [PubMed]
- Zeng, X.; Tang, K.; Lu, Y. Fence Effect: Property Division and Integrity of Grassland Ecosystem. China Population. Resour. Environ. 2014, 24, 88–93. [Google Scholar]
- Li, Y.; Dong, S.; Li, X.; Lu, W. Effect of grassland enclosure on vegetation composition and production in Head water of Yellow River. Acta Agrestia Sin. 2012, 20, 275–279. [Google Scholar]
- Shan, G.L.; Xue, S.M.; Chen, G.; Kuang, C.Y.; Liu, Z.L.; Chu, X.H. Influence of seasonal exclosure on vegetation restoration in typical steppe, Inner Mongolia. Acta Agrestia Sin. 2012, 20, 812–818. [Google Scholar]
- Chen, Q.; Shang, Y.; Zhu, R.; Bao, Q.; Lin, S. Long-term enclosure at heavy grazing grassland affects soil nitrification via ammonia-oxidizing bacteria in Inner Mongolia. Sci. Rep. 2022, 12, 464. [Google Scholar] [CrossRef] [PubMed]
- Huang, L.; Zhai, J.; Zhu, P.; Zheng, Y. Spatiotemporal evolution characteristics of livestock-carrying pressure in China and its implications for grassland ecosystem conservation pattern. Acta Geogr. Sin. 2020, 75, 2396–2407. [Google Scholar]
- Feng, B.; Liu, Y.Z.; Liu, W.T.; Lv, W.D.; Sun, C.C.; Yang, Z.Z.; Li, C.D.; Zhou, Q.Y.; Wang, F.C.; Yang, X.X.; et al. Soil physicochemical properties and plant functional traits regulate ecosystem multifunctionality of alpine grassland under different livestock grazing assemblies. Agric. Ecosyst. Environ. 2024, 366, 108947. [Google Scholar] [CrossRef]
- Liu, J.; Feng, C.; Wang, D.; Wang, L.; Wilsey, B.J.; Zhong, Z. Impacts of grazing by different large herbivores in grassland depend on plant species diversity. J. Appl. Ecol. 2015, 52, 1053–1062. [Google Scholar] [CrossRef]
- Wang, L.; Delgado-Baquerizo, M.; Wang, D.; Isbell, F.; Liu, J.; Feng, C.; Liu, J.; Zhong, Z.; Zhu, H.; Yuan, X.; et al. Multidiversity and multifunctionality in managed grasslands. Proc. Natl. Acad. Sci. USA 2019, 116, 6187–6192. [Google Scholar] [CrossRef] [PubMed]
- Teague, R.; Kreuter, U. Managing Grazing to Restore Soil Health, Ecosystem Function, and Ecosystem Services. Front. Sustain. Food Syst. 2020, 4, 534187. [Google Scholar] [CrossRef]
- Yi, X.; Xu, Y. Urbanization in China’s Pastoral Regions since 2000: Review and Suggestions. Urban Plan. Forum 2021, 64, 60–66. [Google Scholar]
- Li, Y. Development History and Functional Evolution of Inner Mongolian Pastoral Towns in the Process of Urbanisation. Gansu Theory Res. 2014, 23, 170–173. [Google Scholar]
- Meng, C.; Chen, H. “The interactive community of urban and pastoral areas”: The compression of time and space in the dual society of Inner Monglia cities pastoral areas. J. Qinghai Minzu Univ. (Soc. Sci.) 2020, 46, 99–103. [Google Scholar]
- Dai, Z.; Min, W.; Cai, R.; Deng, A. The practical alternative of the modernization and sustainable development of western minority pastoral areas-pastoral area township construction. J. Northwest Minzu Univ. (Philos. Soc. Sci.) 2006, 28, 99–103. [Google Scholar]
- Wang, L.; Zhao, M. Spatial pattern of urbanization in China’s pastoral areas-the case of Xilinguole Meng. Urban Plan. Forum 2013, 56, 40–46. [Google Scholar]
- Liao, W.; Qin, K.; Tong, T.; Peng, T. Coupling relationship between urbanization and forest ecological carrying capacity on the Yangtze River Economic Belt. J. Zhejiang AF Univ. 2019, 36, 349–358. [Google Scholar]
- Zhang, J.; Zhang, P.; Wang, R.; Liu, Y.; Lu, S. Identifying the coupling coordination relationship between urbanization and forest ecological security and its impact mechanism: Case study of the Yangtze River Economic Belt, China. J. Environ. Manag. 2023, 8, 118–327. [Google Scholar] [CrossRef] [PubMed]
- Wu, C. On the core of research in geography—A territorial system of human-earth relations. Econ. Geogr. 1991, 10, 1–6. [Google Scholar]
- Lewis, A. Economic Development with Unlimited Supplies of Labour. Manch. Sch. Econ. Soc. Stud. 1954, 22, 139–191. [Google Scholar] [CrossRef]
- Young, A. Learning by doing and the dynamic effects of international trade. NBER Work. Pap. Ser. 1991, 71, 3577. [Google Scholar]
- Myrdal, G. Economic Theory and Underdeveloped Regions; Harper & Row publishers: New York, NY, USA, 1957; p. 166. [Google Scholar]
- Wang, X.; Piesse, J. The Micro-foundations of dual economy models. Manch. Sch. 2013, 81, 80–101. [Google Scholar] [CrossRef]
- Chen, Z.; Li, D. A growth model of dual economy with endogenous agricultural technology progress—The re-analysis of ”East Asian Miracle” and Chinese economy. Econ. Res. J. 2004, 49, 16–27. [Google Scholar]
- Chen, Z.; Wang, F.; Li, S.; Feng, Y.; Chen, J. Classification of county leading function types and pattern recognition of its spatial structure based on multi-source data. J. Geo-Inf. Sci. 2021, 23, 2215–2231. [Google Scholar]
- Xie, G.D.; Zhang, C.X.; Zhang, L.M.; Chen, W.H.; Li, S.M. Improvement of the Evaluation Method for Ecosystem Service Value Based on Per Unit Area. J. Nat. Resour. 2015, 30, 1243–1254. [Google Scholar]
- Dong, Y.; Yan, H.; Du, W.; Hu, Y. Spatio-temporal analysis of grassland carrying capacity in Mongolian Plateau based on supply-consumption relationship. J. Nat. Resour. 2019, 34, 1093–1107. [Google Scholar] [CrossRef]
- Wang, F.; Liu, Y. Panel Granger Test on urban land expansion and fiscal revenuegrowth in China’s prefecture-level cities. Acta Geogr. Sin. 2013, 68, 1595–1606. [Google Scholar]
- Cui, X. Curve fitting of urbanization and air pollution in economic development of Hohhot city, Inner Mongolia. J. Arid. Land Resour. Environ. 2017, 31, 44–49. [Google Scholar]
- Shao, J.; Leng, J. Types and spatial pattern of coupling coordination between the new-type urbanization and eco-environment in Wuling Mountainous area of Hunan. Econ. Geogr. 2022, 42, 87–95. [Google Scholar]
- Liao, C. Quantitative judgement and classification system for coordinated development of environment and economy—A case study of the city group in the Pearl River Delta. Trop. Geogr. 1999, 19, 76–82. [Google Scholar]
- Marcus, C. Conservation policy and indigenous peoples. Environ. Sci. Policy 2004, 3, 145–153. [Google Scholar]
- Adams, W.M.; Hutton, J. People, Parks and Poverty: Political Ecology and Biodiversity Conservation. Conserv. Soc. 2007, 5, 147–183. [Google Scholar]
- Hou, L.; Xia, F.; Chen, Q.; Huang, J.; He, Y.; Rose, N.; Rozelle, S. Grassland ecological compensation policy in China improves grassland quality and increases herders’Income. Nat. Commun. 2021, 12, 4683. [Google Scholar] [CrossRef] [PubMed]
- Kurek, P.; Steppa, R.; Grzywaczewski, G.; Tryjanowski, P. The silence of the lambs? Plant diversity in abandoned sheep. Plant Soil Environ. 2016, 62, 1–8. [Google Scholar] [CrossRef]









| First Level Indicator | AHP Weights | Entropy Weights | Combined Weights | Second Level Indicator | AHP Weights | Entropy Weights | Combined Weights |
|---|---|---|---|---|---|---|---|
| Population Dimension | 0.1335 | 0.2103 | 0.1124 | Population Density (km2/person) | 0.3333 | 0.5156 | 0.3474 |
| Urban Population Ratio (%) | 0.6667 | 0.4844 | 0.6526 | ||||
| Economic Dimension | 0.3347 | 0.2062 | 0.2763 | GDP per Capita (CNY 10,000/person) | 0.2744 | 0.2408 | 0.3321 |
| GDP of Secondary and Tertiary Industries (CNY 10,000) | 0.2559 | 0.1365 | 0.1757 | ||||
| Fiscal revenue as a share of regional GDP (%) | 0.1388 | 0.1536 | 0.1072 | ||||
| Total investment in fixed assets of the whole society (million CNY) | 0.1348 | 0.2512 | 0.1702 | ||||
| Balance of personal savings deposits | 0.1961 | 0.2178 | 0.2735 | ||||
| Spatial Dimension | 0.2200 | 0.3176 | 0.2796 | Urban Construction Area (km2) | 1.0000 | 1.0000 | 1.0000 |
| Social Dimension | 0.3116 | 0.2659 | 0.3316 | Disposable Income Per Capital (CNY) | 0.4559 | 0.3536 | 0.4866 |
| Number of beds in health institutions per 10,000 population (beds) | 0.3073 | 0.2407 | 0.2234 | ||||
| Total retail sales of consumer goods (CNY 10,000) | 0.2368 | 0.4057 | 0.2900 |
| First Level Indicator | AHP Weights | Entropy Weights | Combined Weights | Second Level Indicator | AHP Weights | Entropy Weights | Combined Weights |
|---|---|---|---|---|---|---|---|
| Ecosystem structure | 0.2352 | 0.2142 | 0.2123 | Grassland coverage rate (%) (+) | 0.2875 | 0.0545 | 0.0913 |
| Forest coverage rate (%) (+) | 0.1760 | 0.3973 | 0.4074 | ||||
| Percentage of agricultural land (%) (+) | 0.1333 | 0.1087 | 0.0607 | ||||
| Percentage of bare land (%) (+) | 0.1389 | 0.3558 | 0.2879 | ||||
| Vegetation cover index (+) | 0.2644 | 0.0837 | 0.0607 | ||||
| Ecosystem function | 0.2291 | 0.6339 | 0.6119 | Ecological space share (%) (+) | 0.4905 | 0.1233 | 0.2155 |
| Value of ecosystem services ($) (+) | 0.1976 | 0.4671 | 0.3291 | ||||
| Grassland resource availability (kg/m2) (+)) | 0.3119 | 0.4096 | 0.4554 | ||||
| Ecosystem pressure | 0.3739 | 0.0808 | 0.1274 | Consumption of grassland resources (gc/m2) (−) | 0.2399 | 0.2569 | 0.2552 |
| Grassland carrying pressure index (−) | 0.4331 | 0.2127 | 0.3815 | ||||
| PM₂.₅ concentration (µg/m3) (−) | 0.1275 | 0.2515 | 0.1328 | ||||
| CO₂ emission intensity (10,000 tons) (−) | 0.1996 | 0.2789 | 0.2305 | ||||
| Ecosystem landscape | 0.1618 | 0.0711 | 0.0485 | Landscape fragmentation (−) | 0.3482 | 0.4263 | 0.4831 |
| Landscape connectivity (+) | 0.4913 | 0.2017 | 0.3225 | ||||
| Landscape diversity (+) | 0.1605 | 0.3721 | 0.1944 |
| D-Value Interval | Types | U(x) − E(y) | Specific Types | Encodings |
|---|---|---|---|---|
| 0 < D < 0.2 | Heavily disordered coupling | U(x) − E(y) > 0.15 | Ecological lagging type (1) | A1 |
| −0.15 < U(x) − E(y) < 0.15 | Urban development and ecosystem synchronization type (2) | A2 | ||
| U(x) − E(y) < 0.15 | Lagging urban development (3) | A3 | ||
| 0.2 < D ≤ 0.3 | Moderately dysfunctional coupling | U(x) − E(y) > 0.15 | Ecological lagging type (1) | B1 |
| −0.15 < U(x) − E(y) < 0.15 | Urban development and ecosystem synchronization type (2) | B2 | ||
| U(x) − E(y) < 0.15 | Lagging urban development (3) | B3 | ||
| 0.3 < D ≤ 0.4 | Mildly dysfunctional coupling | U(x) − E(y) > 0.15 | Ecological lagging type (1) | C1 |
| −0.15 < U(x) − E(y) < 0.15 | Urban development and ecosystem synchronization type (2) | C2 | ||
| U(x) − E(y) < 0.15 | Lagging urban development (3) | C3 | ||
| 0.4 < D ≤ 0.5 | Mildly coordinated coupling | U(x) − E(y) > 0.15 | Ecological lagging type (1) | D1 |
| −0.15 < U(x) − E(y) < 0.15 | Urban development and ecosystem synchronization type (2) | D2 | ||
| U(x) − E(y) < 0.15 | Lagging urban development (3) | D3 | ||
| 0.5 < D ≤ 0.6 | Moderately coordinated coupling | U(x) − E(y) > 0.15 | Ecological lagging type (1) | E1 |
| −0.15 < U(x) − E(y) < 0.15 | Urban development and ecosystem synchronization type (2) | E2 | ||
| U(x) − E(y) < 0.15 | Lagging urban development (3) | E3 | ||
| 0.6 < D ≤ 0.8 | Good coordinated coupling | U(x) − E(y) > 0.15 | Ecological lagging type (1) | F1 |
| −0.15 < U(x) − E(y) < 0.15 | Urban development and ecosystem synchronization type (2) | F2 | ||
| U(x) − E(y) < 0.15 | Lagging urban development (3) | F3 | ||
| 0.8 < D ≤ 1 | Optimal coordinated coupling | U(x) − E(y) > 0.15 | Ecological lagging type (1) | G1 |
| −0.15 < U(x) − E(y) < 0.15 | Urban development and ecosystem synchronization type (2) | G2 | ||
| U(x) − E(y) < 0.15 | Lagging urban development (3) | G3 |
| City Types | Indicators | Differencing Order | t | p | Critical Value | Test Results | ||
|---|---|---|---|---|---|---|---|---|
| 1% | 5% | 10% | ||||||
| Central Service-Oriented | U(x) | 1 | −168.871 | 0.000 | −3.606 | −2.937 | −2.607 | smooth |
| E(y) | 1 | −83.77 | 0.000 | −3.606 | −2.937 | −2.607 | smooth | |
| Resource-Oriented | U(x) | 1 | −7.350 | 0.000 | −3.548 | −2.913 | −2.594 | smooth |
| E(y) | 1 | −4.527 | 0.000 | −3.558 | −2.917 | −2.596 | smooth | |
| Agro-Pastoral-Oriented | U(x) | 1 | −5.890 | 0.000 | −3.516 | −2.899 | −2.587 | smooth |
| E(y) | 1 | −3.453 | 0.009 | −3.525 | −2.903 | −2.589 | smooth | |
| Ecology-Oriented | U(x) | 1 | −8.635 | 0.000 | −3.542 | −2.910 | −2.593 | smooth |
| E(y) | 1 | −8.342 | 0.000 | −3.542 | −2.910 | −2.593 | smooth | |
| City Types | Null Hypothesis | F | p | Lag Order | Result |
|---|---|---|---|---|---|
| Central Service-Oriented | 2000–2020 U(x) → E(y) | 37.046 | 0.000 | 1 | The changes in urban development levels are Granger causes of ecological environment changes |
| Resource-Oriented | 2000–2020 U(x) → E(y) | 130.799 | 0.000 | 1 | The changes in urban development levels are Granger causes of ecological environment changes |
| Agro-Pastoral-Oriented | 2000–2020 U(x) → E(y) | 28.055 | 0.000 | 1 | The changes in urban development levels are Granger causes of ecological environment changes |
| Ecology-Oriented | 2000–2020 U(x) → E(y) | 0.341 | 0.562 | 1 | The changes in urban development levels are not Granger causes of ecological environment changes |
| No. | City | 2000 | Types | 2005 | Types | 2010 | Types | 2015 | Types | 2020 | Types |
|---|---|---|---|---|---|---|---|---|---|---|---|
| 1 | Huhhot | 0.478101562 | F1 | 0.545443228 | E1 | 0.612565038 | F1 | 0.652946196 | F1 | 0.635166137 | F1 |
| 2 | Chifeng | −0.002279604 | E2 | −0.074698213 | E2 | 0.033227554 | E2 | −0.001134028 | E2 | 0.147162407 | F2 |
| 3 | Baotou | 0.624002356 | F1 | 0.665921385 | F1 | 0.642652089 | F1 | 0.484960664 | F1 | 0.512531568 | F1 |
| 4 | Ordos | 0.123578716 | F2 | 0.231615643 | F1 | 0.302689774 | F1 | 0.331457142 | F1 | 0.45317088 | F1 |
| 5 | Wuhai | 0.234871206 | E1 | 0.240242762 | E1 | 0.254199941 | E1 | 0.219483642 | E1 | 0.173454769 | E1 |
| 6 | Tongliao | −0.283857897 | G3 | −0.383302373 | F3 | −0.351046059 | F3 | −0.430041101 | F3 | −0.474223258 | F3 |
| 7 | Bayannur | −0.158717339 | E3 | −0.237825584 | E3 | −0.125625359 | E2 | −0.178029956 | E3 | −0.084915776 | F2 |
| 8 | Hinggan | 0.046637747 | D2 | −0.035506591 | D2 | 0.118909796 | D2 | 0.10323715 | D2 | 0.083571237 | D2 |
| 9 | Ulanqab | −0.032473004 | E2 | −0.09106178 | D2 | −0.039710289 | D2 | −0.069233193 | D2 | −0.021031447 | E2 |
| 10 | Hulunbuir | −0.143424036 | D2 | −0.232449655 | C3 | −0.199354601 | C3 | −0.218836814 | C3 | −0.144371376 | D2 |
| 11 | Xilinguol | −0.126346364 | D2 | −0.108716179 | D2 | −0.067531285 | D2 | −0.101234641 | D2 | 0.022221211 | E2 |
| 12 | Alax | 0.1063455 | E2 | 0.04763847 | E2 | 0.05459179 | E2 | −0.041661334 | E2 | −0.043627434 | E2 |
Disclaimer/Publisher’s Note: The statements, opinions and data contained in all publications are solely those of the individual author(s) and contributor(s) and not of MDPI and/or the editor(s). MDPI and/or the editor(s) disclaim responsibility for any injury to people or property resulting from any ideas, methods, instructions or products referred to in the content. |
© 2024 by the authors. Licensee MDPI, Basel, Switzerland. This article is an open access article distributed under the terms and conditions of the Creative Commons Attribution (CC BY) license (https://creativecommons.org/licenses/by/4.0/).
Share and Cite
Wang, Y.; Yang, Y. Analysis of the Heterogeneous Coordination between Urban Development Levels and the Ecological Environment in the Chinese Grassland Region (2000–2020): A Case Study of the Inner Mongolia Autonomous Region. Land 2024, 13, 951. https://doi.org/10.3390/land13070951
Wang Y, Yang Y. Analysis of the Heterogeneous Coordination between Urban Development Levels and the Ecological Environment in the Chinese Grassland Region (2000–2020): A Case Study of the Inner Mongolia Autonomous Region. Land. 2024; 13(7):951. https://doi.org/10.3390/land13070951
Chicago/Turabian StyleWang, Yue, and Yongchun Yang. 2024. "Analysis of the Heterogeneous Coordination between Urban Development Levels and the Ecological Environment in the Chinese Grassland Region (2000–2020): A Case Study of the Inner Mongolia Autonomous Region" Land 13, no. 7: 951. https://doi.org/10.3390/land13070951
APA StyleWang, Y., & Yang, Y. (2024). Analysis of the Heterogeneous Coordination between Urban Development Levels and the Ecological Environment in the Chinese Grassland Region (2000–2020): A Case Study of the Inner Mongolia Autonomous Region. Land, 13(7), 951. https://doi.org/10.3390/land13070951
