Characteristics of an Inorganic Carbon Sink Influenced by Agricultural Activities in the Karst Peak Cluster Depression of Southern China (Guancun)
Abstract
1. Introduction
2. Materials and Methods
2.1. Study Area
2.2. Sampling and Analytical Methods
3. Results
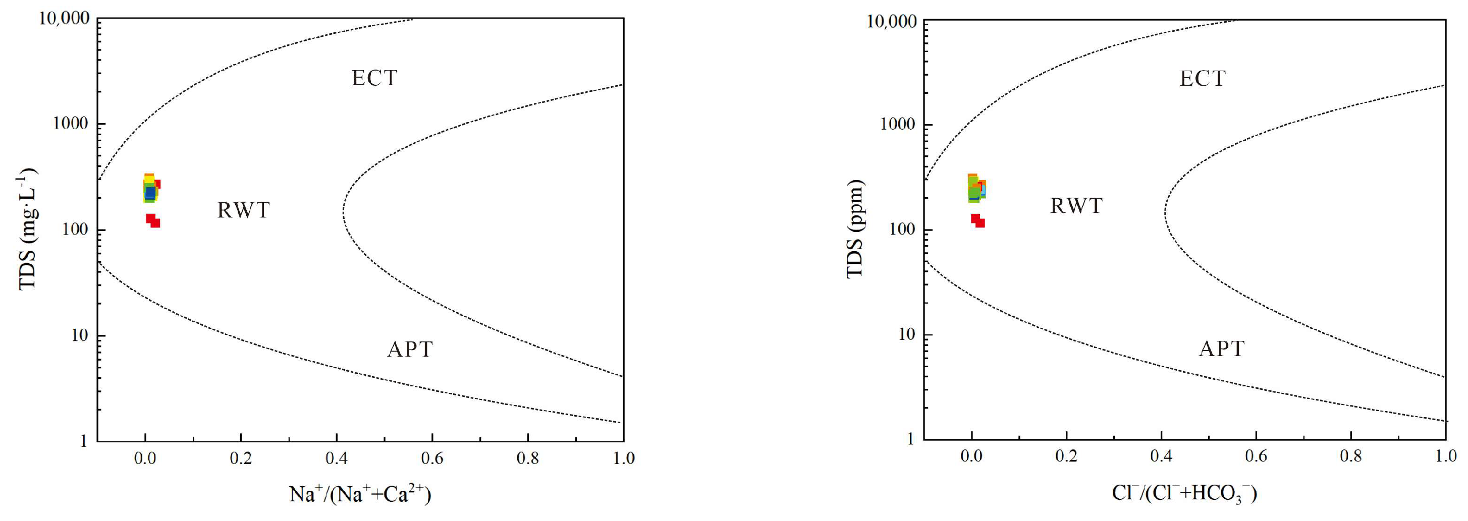
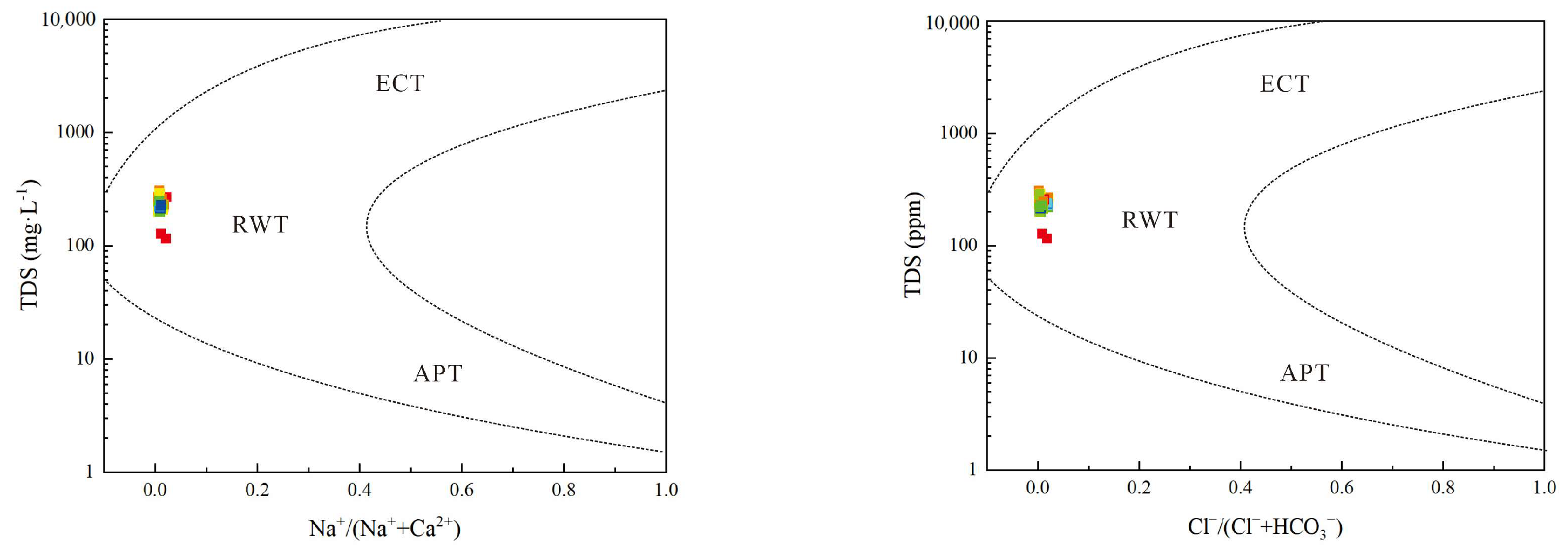
3.1. Analysis of Hydrochemical Characteristics
3.2. Analysis of Ion Sources
3.2.1. Determining the Primary Source of Ions in the Water
3.2.2. Investigating the Primary Sources of Cl−, SO42− and NO3− in Water
4. Discussion
4.1. Contribution of Agricultural Activities to Carbonate Rock Weathering
4.2. Carbon Isotope Verification of Carbonate Weathering by Sulfuric and Nitric Acid
4.3. The Impact of Agricultural Activities on Carbon Sink in Karst Processes
5. Conclusions
Author Contributions
Funding
Data Availability Statement
Acknowledgments
Conflicts of Interest
References
- Kogan, F. The IPCC Reports on Global Warming and Land Changes; Springer International Publishing: Cham, Switzerland, 2023; pp. 67–79. ISBN 978-3-030-96809-0. [Google Scholar]
- Du, X. Thoughts on Strategies and Paths to Achieve Carbon Peaking and Carbon Neutrality in China. Front. Energy 2023, 17, 324–331. [Google Scholar] [CrossRef]
- Liu, X.; Wang, X.; Meng, X. Carbon Emission Scenario Prediction and Peak Path Selection in China. Energies 2023, 16, 2276. [Google Scholar] [CrossRef]
- Li, L.; Huang, F.; Cao, J.; Pei, W.; Liang, Y. Carbon Sinks Flux Mechanism Analysis in Different Geological Background. Adv. Mater. Res. 2012, 616–618, 1528–1531. [Google Scholar] [CrossRef]
- Sun, P.; He, S.; Yu, S.; Pu, J.; Yuan, Y.; Zhang, C. Dynamics in Riverine Inorganic and Organic Carbon Based on Carbonate Weathering Coupled with Aquatic Photosynthesis in a Karst Catchment, Southwest China. Water Res. 2021, 189, 116658. [Google Scholar] [CrossRef]
- Wu, Y.; Wu, Y. The Increase in the Karstification–Photosynthesis Coupled Carbon Sink and Its Implication for Carbon Neutrality. Agronomy 2022, 12, 2147. [Google Scholar] [CrossRef]
- An, R.; Liu, J.; Gao, Z.; Li, C.; Peng, Y. Hydrochemical Characterization, Controlling Factors and Water Quality of Surface Water in Shandong Province, North China. J. Earth Sci. 2024, 35, 155–166. [Google Scholar] [CrossRef]
- Wang, K.-L.; Zhang, C.; Yue, Y.; Zhang, W.; Zhang, M.-Y.; Qi, X.; Fu, Z. Karst Landscapes of China: Patterns, Ecosystem Processes and Services. Landsc. Ecol. 2019, 34, 2743–2763. [Google Scholar] [CrossRef]
- Goldscheider, N.; Chen, Z.; Auler, A.; Bakalowicz, M.; Broda, S.; Drew, D.; Hartmann, J.; Jiang, G.; Moosdorf, N.; Stevanovic, Z.; et al. Global Distribution of Carbonate Rocks and Karst Water Resources. Hydrogeol. J. 2020, 28, 1661–1677. [Google Scholar] [CrossRef]
- Liu, Z.; Dreybrodt, W.; Wang, H. A New Direction in Effective Accounting for the Atmospheric CO2 Budget: Considering the Combined Action of Carbonate Dissolution, the Global Water Cycle and Photosynthetic Uptake of DIC by Aquatic Organisms. Earth-Sci. Rev. 2010, 99, 162–172. [Google Scholar] [CrossRef]
- Martin, J.B. Carbonate Minerals in the Global Carbon Cycle. Chem. Geol. 2017, 449, 58–72. [Google Scholar] [CrossRef]
- Liu, J.; Han, G. Effects of Chemical Weathering and CO2 Outgassing on δ13CDIC Signals in a Karst Watershed. J. Hydrol. 2020, 589, 125192. [Google Scholar] [CrossRef]
- Zhou, G.; Bin, J.; Tao, X.; Yan, H. Estimation of Karst Carbon Sink and Its Contribution to CO2 Emissions over a Decade Using Remote Sensing Imagery. Appl. Geochem. 2020, 121, 104689. [Google Scholar] [CrossRef]
- Jia, B.; Zhou, G. Estimation of Global Karst Carbon Sink from 1950s to 2050s Using Response Surface Methodology. Geo-Spat. Inf. Sci. 2023, 16, 1–18. [Google Scholar] [CrossRef]
- Chen, M.; Li, Y.; Tang, F.; Xu, Q.; Yu, M.; Zhang, H.; Li, X. Transformation of Paddy Field Use in Intermountain-Type Basins Using Evidence from the Structure and Function Perspective of Karst Mountain Areas in Southwest China. Agronomy 2023, 13, 1552. [Google Scholar] [CrossRef]
- Feng, T.; Chen, H.; Polyakov, V.O.; Wang, K.; Zhang, X.; Zhang, W. Soil Erosion Rates in Two Karst Peak-Cluster Depression Basins of Northwest Guangxi, China: Comparison of the RUSLE Model with 137Cs Measurements. Geomorphology 2016, 253, 217–224. [Google Scholar] [CrossRef]
- Wang, J.; Wei, H.; Huang, J.; He, T.; Deng, Y. Soil Aggregate Stability and Its Response to Overland Runoff–Sediment Transport in Karst Peak–Cluster Depressions. J. Hydrol. 2023, 620, 129437. [Google Scholar] [CrossRef]
- Perrin, A.-S.; Probst, A.; Probst, J.-L. Impact of Nitrogenous Fertilizers on Carbonate Dissolution in Small Agricultural Catchments: Implications for Weathering CO2 Uptake at Regional and Global Scales. Geochim. Cosmochim. Acta 2008, 72, 3105–3123. [Google Scholar] [CrossRef]
- Raymond, P.A.; Hamilton, S.K. Anthropogenic Influences on Riverine Fluxes of Dissolved Inorganic Carbon to the Oceans. Limnol. Oceanogr. Lett. 2018, 3, 143–155. [Google Scholar] [CrossRef]
- Xie, Y.; Huang, F.; Yang, H.; Yu, S. Role of Anthropogenic Sulfuric and Nitric Acids in Carbonate Weathering and Associated Carbon Sink Budget in a Karst Catchment (Guohua), Southwestern China. J. Hydrol. 2021, 599, 126287. [Google Scholar] [CrossRef]
- Xu, S.; Li, S.; Su, J.; Yue, F.; Zhong, J.; Chen, S. Oxidation of Pyrite and Reducing Nitrogen Fertilizer Enhanced the Carbon Cycle by Driving Terrestrial Chemical Weathering. Sci. Total Environ. 2021, 768, 144343. [Google Scholar] [CrossRef] [PubMed]
- Bukaveckas, P.A.; Barisevičiūtė, R.; Zilius, M.; Vybernaite-Lubiene, I.; Petkuviene, J.; Vaiciute, D.; Zemlys, P. Carbon Fluxes from River to Sea: Sources and Fate of Carbon in a Shallow, Coastal Lagoon. Estuaries Coasts 2023, 46, 1223–1238. [Google Scholar] [CrossRef]
- Huang, Q.; Qin, X.; Liu, P.; Zhang, L.; Su, C. Impact of Sulfuric and Nitric Acid on Carbonate Dissolution, and the Associated Deficit of CO2 Uptake in the Upper–Middle Reaches of the Wujiang River, China. J. Contam. Hydrol. 2017, 203, 18–27. [Google Scholar] [CrossRef] [PubMed]
- Yu, S.; He, S.; Sun, P.; Pu, J.; Huang, J.; Luo, H.; Li, Y.; Li, R.; Yuan, Y. Impacts of Anthropogenic Activities on Weathering and Carbon Fluxes: A Case Study in the Xijiang River Basin, Southwest China. Environ. Earth Sci. 2016, 75, 589. [Google Scholar] [CrossRef]
- Yuan, Y.-Q.; Sun, P.-A.; Su, Z.; Yu, S.; Zhong, L.-H.; He, S.-Y.; Xu, Q. Dynamic Changes in Hydrochemical Characteristics and Influencing Factors in the Karst Watershed Flood Process. Huan Jing Ke Xue = Huanjing Kexue 2019, 40, 4889–4899. [Google Scholar] [CrossRef] [PubMed]
- Raymond, P.A.; Oh, N.-H.; Turner, R.E.; Broussard, W. Anthropogenically Enhanced Fluxes of Water and Carbon from the Mississippi River. Nature 2008, 451, 449–452. [Google Scholar] [CrossRef] [PubMed]
- Zhang, Y.; Jiang, Y.; Yuan, D.; Cui, J.; Li, Y.; Yang, J.; Cao, M. Source and Flux of Anthropogenically Enhanced Dissolved Inorganic Carbon: A Comparative Study of Urban and Forest Karst Catchments in Southwest China. Sci. Total Environ. 2020, 725, 138255. [Google Scholar] [CrossRef] [PubMed]
- Zhu, H.; Wu, L.; Xin, C.; Yu, S.; Guo, Y.; Wang, J. Impact of Anthropogenic Sulfate Deposition via Precipitation on Carbonate Weathering in a Typical Industrial City in a Karst Basin of Southwest China: A Case Study in Liuzhou. Appl. Geochem. 2019, 110, 104417. [Google Scholar] [CrossRef]
- Zhao, G.; Huang, Q.; Zhu, Y.; Xu, Y.; Pu, Z. Simulation of the Buffering Process of Karst Soil on Sulfuric Acid Rain and the Characteristic of δ13CDIC and the Carbon Sink Flux in Guilin City, Southwest China. Environ. Earth Sci. 2023, 82, 296. [Google Scholar] [CrossRef]
- Anderson, S.P.; Drever, J.I.; Frost, C.D.; Holden, P. Chemical Weathering in the Foreland of a Retreating Glacier. Geochim. Cosmochim. Acta 2000, 64, 1173–1189. [Google Scholar] [CrossRef]
- Jiang, Y.; Hu, Y.; Schirmer, M. Biogeochemical Controls on Daily Cycling of Hydrochemistry and δ13C of Dissolved Inorganic Carbon in a Karst Spring-Fed Pool. J. Hydrol. 2013, 478, 157–168. [Google Scholar] [CrossRef]
- Sun, P.; Yu, S.; Mo, F.; He, S.; Lu, J.; Yuan, Y. Hydrochemical Characteristics and Influencing Factors in Different Geological Background: A Case Study in Darongjiang and Lingqu Basin, Guangxi, China. Huan Jing Ke Xue 2016, 37, 123–131. [Google Scholar]
- Wang, Q.; Yu, S.; Jiang, P.-P.; Sun, P.-A. Water Chemical Characteristics and Influence of Exogenous Acids in the Yangtze River Basin. Huan Jing Ke Xue = Huanjing Kexue 2021, 42, 4687–4697. [Google Scholar] [CrossRef]
- Cao, J.; Wu, X.; Huang, F.; Groves, C.; Yang, H.; Zhang, C. Global Significance of the Carbon Cycle in the Karst Dynamic System: Evidence from Geological and Ecological Processes. China Geol. 2018, 1, 17–27. [Google Scholar] [CrossRef]
- Zhao, R.; Liu, Z.; Dong, L.; Zhang, Q.; Liu, C. The Fates of CO2 Generated by H2SO4 and/or HNO3 during the Dissolution of Carbonate and Their Influences on the Karst-Related Carbon Cycle. J. Hydrol. 2020, 597, 125746. [Google Scholar] [CrossRef]
- Huang, K.; Ma, Z.; Wang, X.; Shan, J.; Zhang, Z.; Pinhua, X.; Jiang, X.; Wu, X.; Huang, X. Control of Soil Organic Carbon under Karst Landforms: A Case Study of Guizhou Province, in Southwest China. Ecol. Indic. 2022, 145, 109624. [Google Scholar] [CrossRef]
- Zhao, R.; Han, Z.W.; Shen, C.H.; Zhang, S.; Tu, H.; Guo, Y.L. Identifying Nitrate Sources in a Typical Karst Underground River Basin. Huan Jing Ke Xue = Huanjing Kexue 2020, 41, 2664–2670. [Google Scholar] [CrossRef]
- Fang, G.; Guanghui, J.; Daoxian, Y. Change of Major Ions Concentration in Subterranean River in Karst Areas in South China. Water Resour. Prot. 2008, 24, 16–19. [Google Scholar]
- Zhang, L.; Qin, X.; Huang, Q.; Liu, P. Role of Sulfuric Acid in Chemical Weathering of Carbonate Rocks for Evaluating of Carbon Sinks in the Yangtze River Basin, China. E3S Web Conf. 2019, 98, 06015. [Google Scholar] [CrossRef]
- Guo, F.; Jiang, G.; Kang, Z. Comparative study on carbon sink effects of typical subtropical karst water systems. Carsologica Sin. 2011, 30, 403–409. (In Chinese) [Google Scholar]
- Pu, J.; Li, J.; Khadka, M.B.; Martin, J.B.; Zhang, T.; Yu, S.; Yuan, D. In-Stream Metabolism and Atmospheric Carbon Sequestration in a Groundwater-Fed Karst Stream. Sci. Total Environ. 2017, 579, 1343–1355. [Google Scholar] [CrossRef]
- Shen, C.; Han, Z.; Guo, Y.; Zhang, S.; Tu, H.; Guo, F. Temporal and Spatial Distribution Characteristics and Factors Influencing Nitrate Level in Waters of a Typical Karst Underground River System. Chin. J. Eco-Agric. 2019, 27, 1255–1264. [Google Scholar] [CrossRef]
- Al Bassam, A.; Khalil, A. DurovPwin: A New Version to Plot the Expanded Durov Diagram for Hydro-Chemical Data Analysis. Comput. Geosci. 2012, 42, 1–6. [Google Scholar] [CrossRef]
- Ravikumar, P.; Somashekar, R.K.; Prakash, K. A Comparative Study on Usage of Durov and Piper Diagrams to Interpret Hydrochemical Processes in Groundwater from SRLIS River Basin, Karnataka, India. Elixir Earth Sci. 2015, 80, 31073–31077. [Google Scholar]
- Hinckley, E.-L.S.; Crawford, J.T.; Fakhraei, H.; Driscoll, C.T. A Shift in Sulfur-Cycle Manipulation from Atmospheric Emissions to Agricultural Additions. Nat. Geosci. 2020, 13, 597–604. [Google Scholar] [CrossRef]
- Davidson, G.R. The Stable Isotopic Composition and Measurement of Carbon in Soil CO2. Geochim. Cosmochim. Acta 1995, 59, 2485–2489. [Google Scholar] [CrossRef]
- Pan, G.; He, S.; Cao, J.; Tao, Y.; Sun, Y. Variation of δ 13 C in Karst Soil in Yaji Karst Experiment Site, Guilin. Chin. Sci. Bull. 2002, 47, 500–503. [Google Scholar] [CrossRef]
- Cao, J.; Zhou, L.; Yang, H.; Lu, Q.; Kang, Z. Comparison of Carbon Transfer between Forest Soils in Karst and Clasolite Areas and the Karst Carbon Sink Effect in Maocun Village of Guilin. Quat. Sci. 2011, 31, 431–437. [Google Scholar]
- Jia, G.-D.; Chen, F.-J.; Deng, W.-F. Seasonal Variations of Dissolved Inorganic Carbon Isotope in the Beijiang River. Diqiu Kexue-Zhongguo Dizhi Daxue Xuebao/Earth Sci. -J. China Univ. Geosci. 2012, 37, 365–369. [Google Scholar]
- Telmer, K.; Veizer, J. Carbon Fluxes, pCO2 and Substrate Weathering in a Large Northern River Basin, Canada: Carbon Isotope Perspectives. Chem. Geol. 1999, 159, 61–86. [Google Scholar] [CrossRef]
- Raza, S.; Miao, N.; Wang, P.; Ju, X.; Chen, Z.; Zhou, J.; Kuzyakov, Y. Dramatic Loss of Inorganic Carbon by Nitrogen-Induced Soil Acidification in Chinese Croplands. Glob. Chang. Biol. 2020, 26, 3738–3751. [Google Scholar] [CrossRef] [PubMed]
- Liu, J.; Wang, Y.; Li, Y.; Peñuelas, J.; Zhao, Y.; Sardans, J.; Tetzlaff, D.; Liu, J.; Liu, X.; Yuan, H.; et al. Soil Ecological Stoichiometry Synchronously Regulates Stream Nitrogen and Phosphorus Concentrations and Ratios. CATENA 2023, 231, 107357. [Google Scholar] [CrossRef]
- Zhan, Z.-J.; Chen, F.; Yang, P.; Ren, J.; Zhang, H.-Y.; Liu, D.-W.; Lan, J.-C.; Zhang, Y. Comparison on the Hydrogeochemical Characteristics of Typical Karst Groundwater System in Southwest China, a Case of Qingmuguan and Laolongdong in Chongqing. Huan Jing Ke Xue = Huanjing Kexue 2016, 37, 3365–3374. [Google Scholar] [CrossRef] [PubMed]











| Date | Site | pH | K+ | Na+ | Ca2+ | Mg2+ | Cl− | SO42− | NO3− | HCO3− | TDS | δ15N-NO3− | δ18O-NO3− | δ13CDIC |
|---|---|---|---|---|---|---|---|---|---|---|---|---|---|---|
| mg/L | mg/L | mg/L | mg/L | mg/L | mg/L | mg/L | mg/L | mg/L | ‰ | ‰ | ‰ | |||
| April 2021 | GC1 | 7.36 | 0.17 | 0.59 | 88.53 | 14.17 | 0.83 | 8.26 | 2.23 | 319.50 | 232.6 | 2.84 | −2.54 | −15.42 |
| GC2 | 7.26 | 0.05 | 0.57 | 89.13 | 23.70 | 0.96 | 10.70 | 0.12 | 373.50 | 269.7 | 7.20 | 8.33 | −16.87 | |
| GC3 | 7.31 | 0.88 | 2.09 | 98.06 | 8.95 | 3.96 | 13.59 | 19.32 | 306.00 | 212.3 | 2.16 | −4.94 | −13.76 | |
| GC4 | 7.58 | 0.88 | 1.53 | 83.06 | 10.95 | 2.06 | 9.90 | 9.96 | 283.50 | 245.6 | 2.31 | −3.73 | −13.19 | |
| GC5 | 7.59 | 0.86 | 1.44 | 83.20 | 10.96 | 2.04 | 9.78 | 9.88 | 281.25 | 217.8 | 2.31 | −3.42 | −14.06 | |
| GC6 | 7.46 | 0.08 | 0.77 | 84.19 | 27.14 | 1.86 | 10.52 | 12.01 | 363.38 | 270.5 | 2.31 | −3.74 | −15.95 | |
| GC7 | − | − | − | − | − | − | − | − | − | − | − | − | − | |
| GC8 | 7.68 | 0.83 | 1.26 | 83.24 | 11.90 | 2.29 | 10.00 | 9.61 | 288.00 | 230.1 | 3.09 | −6.25 | −13.21 | |
| June 2021 | GC1 | 7.18 | 0.48 | 0.51 | 74.82 | 11.07 | 1.01 | 13.43 | <0.05 | 270.58 | 209.8 | 17.93 | 25.40 | −15.90 |
| GC2 | 7.16 | 0.21 | 0.70 | 86.05 | 21.60 | 1.58 | 13.86 | 7.66 | 353.84 | 275.9 | 1.79 | 20.83 | −16.67 | |
| GC3 | 7.08 | 0.55 | 1.71 | 92.48 | 11.01 | 6.34 | 15.60 | 21.91 | 295.56 | 262.2 | 6.02 | 3.94 | −13.28 | |
| GC4 | 7.27 | 0.56 | 1.09 | 78.36 | 10.32 | 5.04 | 14.68 | 12.40 | 266.42 | 221.9 | 20.94 | −7.79 | −14.15 | |
| GC5 | 7.04 | 0.52 | 1.05 | 78.68 | 10.10 | 5.00 | 14.57 | <0.05 | 278.91 | 221.3 | 31.40 | −2.89 | −14.27 | |
| GC6 | 7.48 | 0.07 | 0.82 | 82.29 | 27.33 | 1.60 | 13.63 | 12.13 | 362.16 | 290.8 | 5.38 | −0.04 | −16.57 | |
| GC7 | 7.20 | 0.27 | 0.85 | 85.26 | 12.48 | 5.63 | 14.08 | 17.77 | 289.32 | 246.7 | 4.14 | −0.55 | −14.90 | |
| GC8 | 7.75 | 0.44 | 0.94 | 76.62 | 9.42 | 5.20 | 14.53 | 11.67 | 253.93 | 220.4 | 5.58 | −1.72 | −13.75 | |
| September 2021 | GC1 | 7.42 | 1.10 | 1.13 | 69.32 | 13.02 | 1.21 | 14.32 | <0.05 | 255.38 | 206.0 | 9.93 | 2.59 | −14.48 |
| GC2 | 7.30 | 0.04 | 0.82 | 98.09 | 23.51 | 0.99 | 13.41 | 6.30 | 400.02 | 305.4 | 5.21 | 7.13 | −17.05 | |
| GC3 | 7.50 | 0.68 | 2.20 | 95.85 | 11.22 | 6.43 | 17.44 | 20.97 | 306.23 | 268.1 | 5.32 | 1.27 | −13.01 | |
| GC4 | 7.37 | 0.67 | 1.48 | 82.13 | 10.28 | 5.08 | 16.16 | 9.28 | 271.20 | 230.6 | 5.55 | −0.61 | −14.01 | |
| GC5 | 7.39 | 0.93 | 1.24 | 77.90 | 8.82 | 5.16 | 16.38 | 12.22 | 248.60 | 230.2 | 5.98 | 2.60 | −14.20 | |
| GC6 | 7.28 | 0.16 | 0.83 | 89.64 | 17.86 | 5.72 | 15.85 | 7.87 | 299.36 | 2454 | 5.46 | −3.65 | −14.23 | |
| GC7 | − | − | − | − | − | − | − | − | − | − | − | − | − | |
| GC8 | 7.54 | 0.55 | 1.07 | 83.42 | 10.05 | 5.36 | 15.14 | 13.82 | 271.20 | 233.7 | 4.62 | −0.55 | −13.50 | |
| April 2022 | GC1 | 7.35 | 0.12 | 0.49 | 74.93 | 9.72 | 1.72 | 11.66 | 1.84 | 257.42 | 199.2 | 2.37 | 0.96 | −15.22 |
| GC2 | − | − | − | − | − | − | − | − | − | − | − | − | − | |
| GC3 | 7.36 | 0.72 | 2.04 | 94.14 | 9.27 | 5.38 | 18.35 | 17.59 | 288.06 | 115.9 | 4.78 | 3.96 | −13.14 | |
| GC4 | 7.29 | 0.51 | 0.96 | 78.33 | 8.62 | 2.48 | 13.96 | 2.85 | 252.31 | 209.6 | −0.42 | −12.99 | −13.49 | |
| GC5 | 7.21 | 0.46 | 0.93 | 77.86 | 8.48 | 2.46 | 13.80 | 10.12 | 249.25 | 210.2 | 3.71 | 0.12 | −13.66 | |
| GC6 | 7.08 | 0.10 | 0.82 | 86.82 | 27.08 | 2.20 | 12.28 | 12.83 | 371.83 | 289.3 | 3.47 | 1.88 | −16.03 | |
| GC7 | 7.16 | 0.21 | 0.83 | 88.46 | 11.09 | 5.34 | 11.86 | 18.74 | 282.96 | 241.3 | 3.10 | 1.44 | −14.25 | |
| GC8 | 7.70 | 0.56 | 0.93 | 78.39 | 8.38 | 2.66 | 13.76 | 5.72 | 251.29 | 210.2 | 4.61 | 2.51 | −13.36 | |
| June 2022 | GC1 | 7.29 | 1.40 | 0.73 | 73.63 | 8.66 | 0.88 | 11.66 | <0.05 | 255.14 | 199.0 | 6.94 | 5.97 | −15.12 |
| GC2 | − | − | − | − | − | − | − | − | − | − | − | − | − | |
| GC3 | 7.19 | 0.44 | 0.83 | 84.49 | 7.93 | 1.56 | 15.19 | 0.52 | 272.27 | 220.3 | 3.96 | 2.20 | −14.36 | |
| GC4 | 7.28 | 0.44 | 0.78 | 83.99 | 7.23 | 1.44 | 13.81 | <0.05 | 274.18 | 213.8 | 4.02 | −0.21 | −15.10 | |
| GC5 | 7.26 | 0.36 | 0.75 | 87.15 | 6.75 | 1.55 | 13.10 | 6.78 | 279.89 | 220.7 | 3.96 | 0.81 | −15.54 | |
| GC6 | 7.35 | 0.15 | 0.69 | 79.46 | 21.37 | 1.02 | 10.20 | 6.11 | 333.20 | 249.3 | 4.60 | 1.99 | −15.90 | |
| GC7 | 7.28 | 0.37 | 0.82 | 83.36 | 14.58 | 5.74 | 13.88 | 16.98 | 281.72 | 248.7 | 4.56 | −0.35 | −15.05 | |
| GC8 | 7.69 | 0.47 | 0.83 | 85.21 | 7.40 | 1.76 | 13.01 | 5.68 | 271.32 | 217.8 | 3.65 | 4.76 | −14.48 | |
| September 2022 | GC1 | 7.30 | 0.78 | 0.64 | 76.46 | 13.17 | 0.80 | 7.17 | 0.51 | 277.96 | 219.6 | 4.30 | −2.70 | −15.32 |
| GC2 | − | − | − | − | − | − | − | − | − | − | − | − | − | |
| GC3 | 6.92 | 0.41 | 1.26 | 92.37 | 11.90 | 3.68 | 13.47 | 18.23 | 297.00 | 256.7 | 3.81 | −0.68 | −12.91 | |
| GC4 | 6.96 | 0.55 | 0.98 | 83.55 | 11.35 | 2.21 | 12.85 | 7.68 | 274.15 | 127.6 | 5.83 | 1.95 | −14.09 | |
| GC5 | 6.96 | 0.58 | 0.97 | 83.24 | 11.69 | 2.16 | 12.94 | 9.54 | 274.15 | 230.3 | 5.23 | 2.33 | −14.03 | |
| GC6 | 6.88 | 0.08 | 0.74 | 86.38 | 27.90 | 1.22 | 8.25 | 6.97 | 369.34 | 285.9 | 3.46 | −4.25 | −16.23 | |
| GC7 | 6.92 | 0.20 | 0.78 | 88.92 | 13.41 | 3.09 | 8.79 | 15.98 | 293.19 | 248.4 | 2.72 | −1.12 | −14.70 | |
| GC8 | 7.07 | 0.59 | 0.95 | 84.22 | 10.17 | 2.40 | 12.87 | 9.67 | 272.25 | 228.2 | 5.96 | 2.07 | −13.95 |
Disclaimer/Publisher’s Note: The statements, opinions and data contained in all publications are solely those of the individual author(s) and contributor(s) and not of MDPI and/or the editor(s). MDPI and/or the editor(s) disclaim responsibility for any injury to people or property resulting from any ideas, methods, instructions or products referred to in the content. |
© 2024 by the authors. Licensee MDPI, Basel, Switzerland. This article is an open access article distributed under the terms and conditions of the Creative Commons Attribution (CC BY) license (https://creativecommons.org/licenses/by/4.0/).
Share and Cite
Zhang, N.; Xiao, Q.; Guo, Y.; Sun, P.; Miao, Y.; Chen, F.; Zhang, C. Characteristics of an Inorganic Carbon Sink Influenced by Agricultural Activities in the Karst Peak Cluster Depression of Southern China (Guancun). Land 2024, 13, 952. https://doi.org/10.3390/land13070952
Zhang N, Xiao Q, Guo Y, Sun P, Miao Y, Chen F, Zhang C. Characteristics of an Inorganic Carbon Sink Influenced by Agricultural Activities in the Karst Peak Cluster Depression of Southern China (Guancun). Land. 2024; 13(7):952. https://doi.org/10.3390/land13070952
Chicago/Turabian StyleZhang, Ning, Qiong Xiao, Yongli Guo, Pingan Sun, Ying Miao, Fajia Chen, and Cheng Zhang. 2024. "Characteristics of an Inorganic Carbon Sink Influenced by Agricultural Activities in the Karst Peak Cluster Depression of Southern China (Guancun)" Land 13, no. 7: 952. https://doi.org/10.3390/land13070952
APA StyleZhang, N., Xiao, Q., Guo, Y., Sun, P., Miao, Y., Chen, F., & Zhang, C. (2024). Characteristics of an Inorganic Carbon Sink Influenced by Agricultural Activities in the Karst Peak Cluster Depression of Southern China (Guancun). Land, 13(7), 952. https://doi.org/10.3390/land13070952

