Next Article in Journal
Analysis of the Heterogeneous Coordination between Urban Development Levels and the Ecological Environment in the Chinese Grassland Region (2000–2020): A Case Study of the Inner Mongolia Autonomous Region
Previous Article in Journal
Urban Transformation of the Dubrovnik Summer Villa Setting—From an Idyllic Landscape to an Overbuilt City
 
 
Font Type:
Arial Georgia Verdana
Font Size:
Aa Aa Aa
Line Spacing:
Column Width:
Background:
Article

The Impact of Demonstration Cooperatives on the “Empty Shell” of Farmer Professional Cooperatives in China

1
School of Economics and Management, Beijing Jiaotong University (BJTU), Beijing 100044, China
2
School of Management, Guizhou University, Guiyang 550025, China
*
Author to whom correspondence should be addressed.
Land 2024, 13(7), 950; https://doi.org/10.3390/land13070950
Submission received: 25 May 2024 / Revised: 20 June 2024 / Accepted: 25 June 2024 / Published: 28 June 2024
(This article belongs to the Section Land Socio-Economic and Political Issues)

Abstract

With the advancement of farmer professional cooperatives in China, the prevalence of the “empty shell” phenomenon has posed a significant challenge to the health and sustainability of these cooperatives. Utilizing data from 1570 such cooperatives in Guizhou Province, China, this study uses the multi-time differential model and the spatial Durbin model to study the impact of demonstration cooperatives on the “empty shell” of cooperatives and the spatial spillover effect of demonstration cooperatives. The study results show the following: (1) Agricultural professional cooperatives are rated as national or provincial demonstration cooperatives, which are conducive to their development, and the policy evaluation of demonstration cooperatives can effectively inhibit the “empty shell” phenomenon of cooperatives. (2) National and provincial demonstration cooperatives can effectively inhibit the “empty shell” of cooperatives in the region. (3) When there are provincial demonstration cooperatives in the surrounding areas, there will be a spatial spillover effect and the empty shell of regional cooperatives will be inhibited. However, to restrain the “empty shell” of cooperatives, it is essential to capitalize on the spatial policy influence of “demonstration cooperatives” while being vigilant against potential spatial siphoning effects.

1. Introduction

Farmer professional cooperatives (cooperatives) are an essential part of China’s modern agricultural organizations and are one of the critical subjects of the contemporary agricultural management system. Cooperatives in countries such as the United States, Germany, and France, where agricultural economies are well developed, have a history of over a hundred years. These cooperatives have well-established structural systems and sound legal frameworks, rooted in a long tradition of cooperative movements. However, China, being the largest developing country, has lagged behind in rural economic development. With rapid urbanization, a large number of rural populations have migrated to urban areas. This has led to accelerated rural land transfer, agricultural specialization, and scaling up, making the promotion of the development of farmer cooperatives a crucial aspect of the structural reform of the agricultural supply-side. Currently, farmer cooperatives have become important new agricultural entities and a key driving force for modern agricultural development in China. Since the official implementation of the law of the People’s Republic of China on farmer professional cooperatives in 2007, the number of cooperatives has shown a rapid growth trend. Research has shown that cooperatives play a beneficial role in promoting farmer organization and agricultural scaling, while also contributing positively to the commercialization of agriculture [1]. Similarly, cooperatives serve as an organic and effective vehicle for increasing farmers’ income, promoting the development of smallholder farmers, and enhancing agricultural productivity [2]. As of the end of 2023, the number of registered cooperatives nationwide has reached 2.216 million, an increase of 82.6 times compared to 2007. Despite rising cooperative numbers, the sector faces significant challenges: imperfect legal frameworks, low establishment criteria, reliance on government subsidies, operational inefficiencies, and financial constraints. These factors heighten the risk of human resource depletion and operational stagnation, leading to a proliferation of “empty shell” cooperatives. The Chinese government’s substantial subsidies, intended to bolster these organizations, inadvertently increase supervision costs and the risk of rent-seeking, ultimately leading to social resource wastage and reputational damage in agricultural development. Some scholars emphasize that differential support from government departments may enable zombie enterprises to continue their existence but at the same time disrupt the normal market competition mechanism, leading to resource misallocation and other issues [3]. The “empty shell” phenomenon of cooperatives is similar to that of zombie companies and may have a negative impact on well-functioning cooperatives by promoting the prevalence of inferior practices. The “empty shell” of cooperatives results in resource misallocation, not only affecting the normal development of cooperatives but also damaging the overall reputation of the cooperative system, thus exerting a long-term negative influence on its development.
The genesis of “empty shell” cooperatives can be attributed to various factors, with the literature highlighting the imbalance in internal governance and the erosion of trust as key issues. Cooperatives are essential organizational carriers for driving the development of small-scale farmers, and their internal organizational structure profoundly affects the development of cooperatives. At first, as non-profit entities, cooperatives have undergone a transformation during their evolution, adopting a structure that operates not-for-profit within while engaging in profit-making activities externally [4]. Modern cooperative organizations face distinct risks compared to their traditional counterparts, with primary concerns centered around decision-making processes and operational behaviors within the organization [5]. Cooperatives have been in a state of high control, and there have been management mistakes in decision-making [6]. Moreover, cooperatives stand apart from other organizational entities like businesses. They are characterized by the principle that all members should have equal rights in governing the cooperative [7]. However, the divergence from its foundational principles during operation can make a cooperative a misnomer, competing with genuine cooperatives for national support and resources, potentially marginalizing authentic cooperatives and rendering itself an “empty shell” [8]. The “one person, one vote” system for cooperative members is one of the essential characteristics of cooperatives (in some large-scale cooperatives, there is also a situation where members participate in decision-making through representatives). Equal control in cooperatives can lead to efficiency losses, especially under credit constraints. Domination by a few core members can stifle the growth of small-scale farmers rather than support them [9]. During the vertical and horizontal integration of cooperatives, increasing member size can escalate organizational management costs and compress profits [10]. A decline in member participation can erode trust in the cooperative structure [11]. Furthermore, member organizations’ weakened sense of identity can significantly impede cooperative development [12]. The depletion of social capital is a critical factor in the potential collapse of cooperatives [13].
The existing literature presents a nuanced view of the impact of government or industry organization interventions on cooperative development, encompassing both positive and negative aspects. The admittance policy [14], political system [15], and other policies will affect the development of cooperatives. The research shows that legal guarantees and management guidance provided by the government have enhanced the trust of farmers’ cooperative labor [16,17], which is the main reason for the increase in the number of cooperatives in China and Russia. Financial subsidies, tax incentives, and land policies as part of government support plans can enhance the input of production factors for cooperatives, thereby optimizing their operations [18]. The technical support and market guidance of industry organizations for cooperatives reduce the difficulty of operating cooperatives [19] and positively impact the development of cooperatives. Some studies also scrutinize the potential pitfalls of excessive government and industry intervention, suggesting that overzealous external influence could distort resource allocation. This may divert the optimal operational state of cooperatives from their ideal performance [20] (Such interventions could foster monopolies and unfair competition [21,22] and may compromise the autonomy and innovation within cooperatives [23], ultimately constricting their growth potential. Some studies point out that there may be problems with the non-standard organization of agricultural industry associations in the early stages of development, which makes industry participants and associations have unequal interests and threatens the healthy development of agriculture [24,25].
The research on the impact of commendation incentive policies, such as the evaluation of demonstration companies, on the development of cooperatives has yet to form a system. The existing research has more discussion on the intervention of inclusive subsidies such as finance, land, or taxation on the development of cooperatives. At the same time, the development of the China Agricultural Industry Association, which began later than other agricultural entities, is susceptible to unequal interest dynamics [25], which has led to realistic national conditions of commendation incentive policies such as the evaluation of government-led demonstration cooperatives.
This study focuses on the “empty shell” characteristics of two central cooperatives, using Chinese city cooperatives as a sample, as well as human resource depletion and stagnation. Evaluating the influence of demonstration cooperatives on the “empty shell” of cooperatives by constructing a Differences-in-Differences model and a spatial measurement model. The results show that China reduces the possibility of an “empty shell” in the workforce and the operation of cooperatives through national and provincial demonstration cooperative evaluations and forms a positive spillover effect in space, which is of guiding significance for the government or organization to address the problem of the empty shell of cooperatives through incentive measures, improve the development quality of cooperatives, optimize the efficiency of resource allocation, and enhance the market confidence and organizational efficiency of farmers’ cooperative operation.
The contribution of this study is summarized as follows: First of all, a Differences-in-Differences (DID) model is built, and multi-source data is used to match and integrate the field research data with the public database. From an individual point of view, the impact of the evaluation of different levels of demonstration companies on the “empty shell” of cooperatives is investigated, and the data are mutually confirmed and supplemented, which enhances the reliability and validity of the research results. Secondly, a spatial measurement model is established, the space to the scope of the cooperative is refined, the demonstration role of the cooperative based on the dual perspective of the surrounding demonstration cooperatives and the cooperatives is reversely examined, and the impact of the cooperative is comprehensively identified. Finally, this study focuses on the government-led demonstration cooperative evaluation policy, analyzes the role of non-inclusive incentive policies in promoting cooperatives’ development, and expands cooperatives’ development and governance ideas under the weak power of industry associations.
The rest of this study is arranged as follows: Section 2 introduces the relevant policies of the China Cooperative Demonstration. Section 3 explains the modelling methods, including a brief description of the DID model, the spatial measurement model used in this study, and the data source. Section 4 reports the empirical results of the DID model and the spatial measurement model and carries out the robustness test. The discussion of the results will be held in Section 5. Section 6 takes the policy recommendations as the conclusion.

2. The Development of Cooperatives in Guizhou Province

China has initiated the establishment of model cooperatives to foster and guide cooperatives’ standardized and healthy growth since 2009. Cooperative demonstration cooperatives (now referred to as “Demonstration Cooperatives”) are a type of cooperative selected and awarded by the competent agricultural department for cooperatives with standardized development and operation, economic strength, and an excellent social reputation among registered cooperatives. In 2009, the former Ministry of Agriculture, the National Development and Reform Commission, and 11 other departments jointly issued “Opinions on Carrying out the Demonstration Construction of Farmer Professional Cooperatives”. China has established a tiered selection framework for model cooperatives since 2009, utilizing platforms at various administrative levels. National demonstration cooperatives were selected in batches in 2014, 2016, 2018, and 2020, totaling 8514. By April 2021, there were 157,000 demonstration cooperatives at the county level and above, representing approximately 7% of all cooperatives in China.
The development of cooperatives in China is transitioning from quantitative growth to qualitative development. In February 2019, to cooperate with the improvement of the quality of the whole county so that the cooperatives change from quantity to equal quality entities, 11 departments, including the Central Agricultural Office and the Ministry of Agriculture and Rural Affairs, issued the Special Clean-up Work Plan for farmer professional cooperatives. In March 2020, the Ministry of Agriculture and Rural Affairs issued the High-Quality Development Plan for New Agricultural Business Entities and Service Subjects (2020–2022), aiming to rectify the problem of cooperatives with “empty shells” and make their development more standardized.
After a decade of evolution, the focus of building model cooperatives has shifted from merely enhancing individual cooperatives’ demonstration capabilities to bolstering the service capacity that benefits farmers and other core entities, as well as amplifying the model’s role in driving the overall standardization and development of the cooperative sector. Figure 1 shows the probability density of cooperative sales in a city in Guizhou Province, China, in 2018, 2020, and 2022. The right-biased trend indicates that most cooperatives have sales concentrated at lower levels, with a minority achieving higher sales volumes. A concentration of sales figures at zero for numerous cooperatives indicates a prevalence of shell cooperatives within the group. However, the right-biased trend of the probability density of cooperative sales gradually decreases, indicating that the probability of cooperatives becoming empty shells decreased.
Although the number of cooperatives is increasing, overall, cooperatives are still in the primary stage of development. However, some outstanding problems have emerged in the development of cooperatives. Among them, the “empty shell” of cooperatives is relatively severe, which has seriously affected the healthy development of cooperatives, and not only consumes many national resources but is not conducive to the fair development of cooperatives. The problem of “cooperatives of empty shell” is the product of the combination of institutional inducement and interest capture. In recent years, the state and all localities have expanded the demonstration effect by carrying out various forms of cooperative demonstration construction activities, hoping to promote standardization and rapid development of cooperatives. Figure 2 shows that the empty shell rate of township cooperatives is decreasing year by year, the proportion of national demonstration cooperatives and provincial demonstration cooperatives in townships is increasing year by year, and the proportion of national demonstration cooperatives and provincial demonstration cooperatives is negatively related to the shell rate of cooperatives.
Figure 3 illustrates that from 2018 to 2022, the prevalence of empty shells among township cooperatives in a specific city in Guizhou, China, experienced an initial rise followed by a decline. Spatial analysis reveals a north-to-south gradient, with the northern region showing a yearly decrease in empty shells and the southern region initially seeing an increase before a subsequent decline. Despite these changes, the issue of empty shells remains significantly prevalent.
Figure 4 illustrates that from 2018 to 2022, the proportion of demonstration cooperatives in townships in a particular city in Guizhou, China, increased yearly, and the proportion of demonstration cooperatives in the southeast increased relatively. Compared with Figure 3 and Figure 4, it can be found that the implementation of the policy of demonstration cooperatives can generally inhibit the intensification of the “empty shell” of cooperatives to a certain extent. Still, to a certain extent, there is also a double-high trend in the high rate of empty shells and high demonstration cooperatives in some townships.
Above all, what kind of demonstrative role do demonstration cooperatives play for other cooperatives? What is the impact of rectifying the “empty shell” phenomenon of cooperatives? It is of great theoretical and practical significance to study the influence of demonstration cooperatives on the “empty shell” of other cooperatives for the high-quality development of Chinese cooperatives and the promotion of agricultural modernization.

3. Methods and Data

3.1. Method

The Differences in differences model is mainly used in public services [26], health care [27], economics [28], and other fields to analyze and estimate the impact of policies, interventions, or events on one or more groups. The standard model of Differences in Differences is generally aimed at the research object, with the implementation point of the policy being in the same period, and the state of intervention continuing. This study studies the impact of implementing the cooperative “demonstration cooperatives” policy on the “empty shell” of cooperatives. Since national demonstration cooperatives and provincial demonstration cooperatives are evaluated in batches and the evaluation year is different [29], and other scholars who used the multi-point DID method to study the impact of the “demonstration cooperatives” policy on the “empty shell” of cooperatives.

3.2. Model Design

3.2.1. DID Model

This study took the panel data of a cooperative in a city in Guizhou Province from 2018 to 2023 as a research sample, which were divided into provincial demonstration cooperatives, national demonstration cooperatives, and above-provincial demonstration cooperatives as experimental groups, and the rest of the cooperatives as the control group to build a multi-time DID model to investigate the impact of demonstration cooperatives on their empty shell.
k k s 1 i t = α 0 + α 1 T r e a t e d i t + α 2 C o n t r o l s i t + λ i + μ t + ε i t
k k s 2 i t = α 0 + α 1 T r e a t e d i t + α 2 C o n t r o l s i t + λ i + μ t + ε i t
In these equations, i and t represent cooperatives and years, respectively. k k s 1 i t and k k s 2 i t indicate whether the i cooperative caused the empty shell of the cooperative due to the depletion of human resources or the failure to operate in the t year, respectively. k k s 1 i t and k k s 2 i t indicate that no actual participants were involved in cooperative operations and no transactions occurred during that year separately. T r e a t e d i t is the policy virtual variable of whether the cooperative is approved by the demonstration cooperative, which is divided into cooperatives above the provincial level ( q d i d i t ), national cooperatives ( g d i d i t ), and provincial cooperatives ( s d i d i t ) according to different levels of demonstration cooperatives. C o n t r o l s i t is other control variables and regional control variables that affect the empty shell of cooperatives. Control variables include cooperative size control variables including cooperative size (memnum), human capital (leader; highschool), operating status (profit; subsistence; yyear), equity structure (capstr), government support (govsub; loanprof), and regional control variable (rpincome; pagri). λ i is an individual fixed effect. μ t is the fixed effect of time. ε i t is a random disturbance item.

3.2.2. Spatial Measurement Model

  • I. Spatial autocorrelation test 
In this study, Moran’s I is used to test the spatial correlation of variables. The calculation formula is as follows:
I = i = 1 n j = 1 n w i j ( x i x ¯ ) ( x j x ¯ ) S 2 i = 1 n j = 1 n w i j
In this equation, I is the Moran index. x i and x j represent the observations of the i and j samples, respectively. x ¯ represents the sample mean. S 2 is the sample variance. w i j represents the space weight matrix. i = 1 n j = 1 n w i j represents the sum of all space weights. In this study, the spatial weight matrix is selected as the adjacency matrix at the cooperative level, that is, the two cooperatives are judged to be adjacent when they are in the same township administrative unit.
  • II. Spatial Durbin model 
This study uses the Spatial Dubin model to investigate the impact of the demonstration cooperative on the empty shell of the surrounding demonstration cooperative. The model formula is as follows:
k k s 2 = ρ W k k s 2 + α l N + X β + W X θ + ε
In this equation, k k s 2 is the order vector of n × 1 , which represents cooperatives that cause empty shells due to lack of operation. l N represents the n × 1 order vector associated with the constant item parameter α that needs to be estimated. X represents the order vector of n × k composed of independent variables. According to different demonstration cooperative levels, it is divided into provincial-level cooperatives ( q d i d ), national cooperatives ( g d i d ), and provincial cooperatives ( s d i d ). W is the n × n order spatial weight matrix. ρ is the spatial autoregression coefficient; β is the independent variable k × 1 regression coefficient; and θ is the regression coefficient of the lag k × 1 order of the independent variable space. ε is a random disturbance item.
  • III. Decomposition of spatial spillover effect 
The spatial spillover effect can be decomposed into direct and indirect effects by the partial differential method [30]:
k k s 2 = ( I ρ W ) 1 ( X β + W X θ ) + R
In the formula, I represents the unit vector and R represents the error term and intercept item. The expectation of k k s 2 for the partial differential equation matrix of the k independent variable X at the time of 1 to N units can be expressed as follows:
E ( Y ) x 1 k E ( Y ) x N k = E ( y 1 ) x 1 k E ( y 1 ) x N k E ( y N ) x 1 k E ( y N ) x N k = ( I ρ W ) 1 β k w 12 θ k w 1 N θ k w 21 θ k β k w 2 N θ k w N 1 θ k w N 2 θ k β k
Among them, the direct effect is the sum of the main diagonal elements of the matrix, and the indirect effect is the mean value of the sum of each column or row of non-main diagonal elements. Combined with the matrix coefficient calculation in Formula (7), the direct effect, indirect effect, and total effect of the impact of different levels of demonstration cooperatives on the empty shell of other cooperatives can be obtained.
( I ρ W ) 1 = I + ρ W + ρ n W n

3.3. Data Sources and Descriptive Statistics

The data used in this study came from the “Zhejiang University Carter-Enterprise Research China Agricultural Research Database” (“CCAD”), questionnaire survey, and regional statistical annual report. Among them, the unique database of cooperatives covers all cooperatives registered with the Market Supervision Administration and cooperatives’ registration and change information. It integrates the primary data of the annual report of cooperatives, geographical location of cooperatives, website online stores, operational abnormalities, and other information. According to the research needs, the data of the cooperative size, equity structure, business status, policy support, and national demonstration cooperative used in this study came from the “CCAD” database; the list of provincial demonstration agencies came from the official websites of the Regional Department of Agriculture and Rural Affairs. The data on cooperative membership were sourced from a questionnaire survey administered by the local agricultural and rural regulatory authorities. The survey was conducted among all active cooperatives registered with the relevant industrial and commercial departments in a specific city in Guizhou Province. The data of the cooperative members came from the author’s questionnaire survey of a city in Guizhou Province; the macro-regional control variables came from the collation of regional statistical annual reports. First of all, the initial sample of the cooperative was screened according to the following principles: (1) Delete the illogical samples in the information of the annual report of the cooperative, such as government financial support fund subsidies, financial loan subsidies, sales, tax amount and other financial indicators so that these are negative, the number of members is negative, and the number of farmers among the members is greater than the total number of members. (2) After the above sample screening is completed, this study will match the sample data; use the mean interpolation method to supplement the missing values, and finally obtain the cooperative balance panel data for 2018–2023, with a total of 9420 samples in the region and a total of 1570 cooperatives. The variable definitions and descriptive statistics are shown in Table 1.

4. Model Results

4.1. DID Model Test Results

First, this study estimates the DID model of the cooperative sample, as described in Formulas (1) and (2), to study the impact of the evaluation of the demonstration cooperative of farmer professional cooperatives on the development of the cooperative itself (Table 2). In the results of Group (1), all three DID variables have a significant and negative impact on the human resource depletion of cooperatives. Whether it is assessed by a national demonstration cooperative or a provincial demonstration cooperative, the statistical probability of the fact that the cooperative has no actual operating members in the sample of the processing group is lower than that of the control group sample; that is, the event that farmer professional cooperatives are rated as a national or provincial demonstration cooperative is conducive to the cooperative’s advantage in attracting members to participate in labor and alleviating the problem of “empty shell” caused by the loss of cooperative members. In Group (2) results, the three DID variables significantly and negatively impact the stagnation of cooperative business operations. For samples divided by three different standards, the treatment group samples are less likely to have annual sales equal to 0 than the control group samples. The evaluation of the demonstration cooperative of farmer professional cooperatives reflects the affirmation of the overall strength and service level of cooperatives, which is conducive to the cooperatives to maintain continuity in operation and sales and alleviates the problem of “empty shell” caused by farmers not trading agricultural products through cooperatives. Overall, farmer professional cooperatives are rated as demonstration cooperatives, which are conducive to the development of cooperatives themselves, reduce the possibility of “empty shell” problems such as the loss of members and trade opportunities, and hurt the phenomenon of “empty shell” of cooperatives.
In the DID model test, this study controls for the control variables related to the cooperatives themselves and their regions, and these variables also show some explanatory power for the problem of the “empty shell” of cooperatives. The construction of human capital in cooperatives hurts the phenomenon of the “empty shell” of cooperatives. In the results of (1) and (2), the three variables of cooperative members’ highest education, cooperative leader, and member size were negatively correlated with the dummy variables of the “empty shell cooperative”. Cooperatives with members who have experienced higher education, whose chairman is a member of the Communist Party of China, or who have more cooperative members can effectively alleviate the problem of “empty shells”. The shareholding structure of cooperatives also has a particular impact, and the absolute holding of the largest shareholder has a negative and significant impact on the stagnation of cooperatives. The operation of cooperatives also shows a significant impact, with a long operating life, strong profitability, and higher dividend income having a negative correlation with the phenomenon of the “empty shell” of cooperatives, which is conducive to the development of cooperatives. Although the loan facilities and government subsidies obtained by cooperatives have no significant impact on the loss of cooperative members, they inhibit the possibility of cooperatives giving up their operations to a certain extent and play a positive role in alleviating the “empty shell” of cooperatives.

4.2. Placebo Test

The parallel trend test preliminarily verified the inhibition effect of the cooperative “demonstration cooperative” policy on an “empty shell”, and the implementation of the demonstration cooperative policy had a specific continuous effect (see Appendix A). To test that the impact of the “demonstration cooperative” on the “empty shell” cooperatives is not caused by other random factors, this study uses a placebo test to identify the chance of the policy effect of the “demonstration cooperative”, mainly by changing the time of implementation of the cooperative “demonstration cooperative” policy and random sampling of policy interaction items.
First, this study changes the time of the policies of the national demonstration cooperative and the provincial demonstration cooperative, including the two situations of advance and lag in the policy. This study assumes that the policy time of the national and provincial demonstration cooperative is one period in advance and one period later (see Table 3). The policy of cooperatives is one phase ahead of schedule. The policies of national and provincial demonstration cooperatives have no significant inhibitory effect on the “empty shell” of cooperatives. When the policy is delayed for the first period, the coefficients is still significantly negative, indicating that the effects are apparent and the policy demonstration effect is sustainable.
Secondly, this study randomly selects individuals as the processing group of the national and provincial demonstration cooperative. The specific method is randomly selecting individuals as the processing group and randomly selecting 500 times to see if the coefficient significantly differs from the benchmark estimation results (see Figure 5). The two pictures on the left are the coefficient probability density chart and the t-value probability density chart of the regression model of the national demonstration cooperative on the “empty shell” of cooperatives. The two pictures on the right are the coefficient probability density map and the t-value probability density map of the regression model of the provincial demonstration cooperative on the “empty shell” of cooperatives. The random sampling coefficients and t-values, averaging near zero and exhibiting a typical distribution, suggest that the benchmark regression results are unlikely under random sampling conditions. This supports the validity of the placebo test, indicating that the benchmark regression outcomes are robust and stable.

4.3. Robustness Test

This study employs robustness testing by altering the explanatory variables and estimation techniques. Specifically, it substitutes the “empty shell” characteristic with indicators such as insufficient average cooperative surplus and local minimum living standards, reflecting “mismanagement”, and re-estimates the model with these new explanatory variables.
The regression results are shown below in Table 1, Table 2 and Table 3. The second purpose is to eliminate the contingency of empirical results caused by using a single estimation method by replacing it. This study uses the individual fixed DID model for re-regression; the results are shown in Table 4, Table 5, Table 6, Table 7 and Table 8. The results show that after using a series of robustness test methods, only the national demonstration cooperative does not perform significantly when using individual fixed effects for regression but still has an inhibitory effect. This may be because the research focuses on the evaluation time of the national demonstration cooperative, and the control of the fixed time effect helps to identify the impact of the national demonstration cooperative more accurately for its own “empty shell”. Therefore, the statistical results are insignificant after the cancellation time is fixed. However, provincial demonstration cooperatives and demonstration cooperatives above the provincial level still show a significant inhibitory effect on their own “empty shell”. These results suggest that the study’s conclusions are robust.

4.4. Spatial Spillover Effect of the Demonstration Cooperative

4.4.1. Spatial Correlation Test

The test results of the Moran index show that there is no apparent spatial effect on the “empty shell” of cooperatives caused by the depletion of human resources (see Table 5). The possible reason is that the spatial effect caused by the selection of demonstration agencies is more due to technological progress and the innovation of business models than to labor mobility. Conversely, a substantial spatial effect is observed for the “empty shell” caused by business stagnation, which underscores the necessity of employing a spatial measurement model for further investigation.

4.4.2. Space Spillover Effect Test

This study uses the LM test to determine the type of spatial spillover effect. Table 6 shows that the test results for the spatial error effect and the spatial lag effect are significant. Since the original assumptions of “no space error terms” and “no space lag terms” are rejected, the spatial measurement model should choose the spatial Dubin model.

4.4.3. Results of Spatial Measurement Model

Table 7 reports the results of the spatial measurement model estimation of the impact of the demonstration cooperative on the “empty shell” of cooperatives. The variables of the demonstration cooperative have passed the significance test. It can significantly reduce the “empty shell” phenomenon in the region. When there are provincial demonstration cooperatives in the surrounding areas, the development of cooperatives in the region will be promoted, and the “empty shell” will be reduced. However, when there are national demonstration cooperatives in the surrounding areas, the “empty shell” of cooperatives in the region is aggravated.

4.4.4. Decomposition of Spatial Spillover Effect

Due to the spatial hysteresis effect, the coefficient of the explanatory variable cannot directly reflect the actual effect of the spatial spillover effect, and partial differential decomposition is required. The decomposition results are detailed in Table 8. The results show that the direct effect of provincial and national demonstration cooperatives on the “empty shell” of cooperatives is negative, indicating that the cooperative is rated as a demonstration cooperative, which can reduce the occurrence of the phenomenon of the “empty shell” of cooperatives. At the same time, the indirect effect of the provincial demonstration cooperative on the “empty shell” of cooperatives is also significantly negative, indicating that the cooperative is rated as a provincial demonstration cooperative and has a significant inhibitory effect on the “empty shell” of surrounding cooperatives. After the cooperative is rated as a provincial demonstration cooperative, it has a spillover effect on the surrounding cooperatives. For the national demonstration cooperative, the indirect effect is significantly positive, indicating that the cooperative was rated as a national demonstration cooperative and significantly promoted the occurrence of the phenomenon of the “empty shell” of surrounding cooperatives, that is, after the cooperative was rated as a national demonstration cooperative, it had a siphon effect on the surrounding cooperatives. The demonstration cooperative’s direct impact on its own “empty shell” is relatively minor compared to the indirect influence exerted by the “empty shells” of neighboring cooperatives.

5. Discussion

The test results of the DID model show that the evaluation of the demonstration cooperative can alleviate the problem of the “empty shell” of cooperatives. Award-rated demonstration cooperatives can allow cooperatives to gain advantages in attracting members and continuous operation and, to a certain extent, prevent cooperatives from moving towards human resource depletion or stagnation of operation. Although “evaluation demonstration cooperative” policies like those in this study are not universal, a wealth of research has focused on the subject of government and social incentives for cooperatives. These studies highlight the role of incentives in securing farmer participation in cooperative labor [17] and in bolstering the longevity of cooperative operations [19]. Furthermore, this study accounts for the influence of factors such as human capital development, equity structure, and operational conditions on cooperative growth [9,10].
The spatial effect test results of the evaluation policy of the demonstration cooperative show that the policy effect of the evaluation of the demonstration cooperative is spatial overflow, and the evaluation of the demonstration cooperative can significantly reduce the occurrence of the phenomenon of the “empty shell” of cooperatives. Provincial demonstration cooperatives in the surrounding areas will also have a spillover effect on regional cooperatives. This is similar to the existing research results [31,32]. Other cooperatives can improve their competitiveness by learning advanced production technology and successful management modes of demonstration cooperatives to avoid an “empty shell”. The spatial effect assessed by the national demonstration cooperative is different. When there is a national demonstration cooperative in the surrounding area, it will produce a siphon effect, which will aggravate the “empty shell” of cooperatives in the region. When this cooperative is rated as a national demonstration cooperative, it will also have the same impact on the surrounding cooperatives. On the one hand, the government’s policy resource supply is relatively limited. For the responsibility of coordinated development in various regions, it is difficult for the government to concentrate all resources in a particular region. Through market competition, cooperatives can only obtain project construction, subsidized funds, and other support. However, national demonstration agencies are usually large, have strong market competitiveness, and can obtain more policy resources. On the other hand, cooperatives in the same region are in a competitive relationship in labor, products, and other markets, accelerating the development and growth of a competitive national demonstration cooperative. Cooperatives with poor competitiveness are gradually eliminated due to the preemption of resources, resulting in an “empty shell”.

6. Conclusions

With the development of large-scale production technology and the popularization of modern business concepts, the disadvantages of developing family farm organizations represented by the “small-scale peasant economy” have become increasingly apparent. The formation of economies of scale and vertical integration of production through cooperatives or enterprises have gradually become the primary trend of agricultural development in countries worldwide. For developing countries represented by China, it is increasingly essential to alleviate the “empty shell” of cooperatives to improve the organizational efficiency of the agricultural industry and reduce the mismatch of resources. This study pays attention to the comprehensive government incentive measure of the “demonstration cooperative”. Based on the survey data of 1570 cooperatives in a city in Guizhou Province, China, the multi-time DID model and the spatial Dubin model are used to study the effect of such incentives on easing the business dilemma of cooperatives. The study found that cooperatives are rated as national or provincial demonstration cooperatives, which can give them advantages in attracting members and continuous operation and alleviate the risk of human resource depletion or business stagnation that cooperatives may face. This conclusion highlights the policy implications of the research, particularly for countries like China, where agricultural cooperative organizations have developed relatively late and agricultural associations have limited independence. In such cases, it may be advisable to consider government-led recognition-based incentive policies, such as the evaluation of demonstration cooperatives, to promote the healthy development of cooperatives. This approach can help prevent the potential linkage of incentives between agricultural associations and cooperatives, which could undermine the effectiveness of incentive policies.
The impact of the “demonstration cooperative” policy has spatial effects, which can effectively inhibit the phenomenon of the “empty shell” of other cooperatives in the region. For cooperatives not rated as “demonstration cooperatives”, provincial demonstration cooperatives in surrounding areas play a role in the spatial spillover effect. Other cooperatives can learn advanced management experience or production technology from demonstration cooperatives and reduce the possibility of an “empty shell”. However, when such cooperatives are close to more successful national demonstration cooperatives, they may be affected by the spatial siphon effect of national demonstration cooperatives, resulting in the loss of farmers and trading opportunities and aggravating the phenomenon of the “empty shell” of cooperatives in the region. Therefore, while strengthening the government’s incentives for cooperatives, it is essential to pay attention to cooperatives that are not included in the incentive plan. It is important to control the intensity of recognition-based incentives, such as the evaluation of demonstration cooperatives, to prevent “demonstration cooperatives” from excessively absorbing the development resources of surrounding cooperatives, which could negatively impact the overall health of local cooperatives. Striking a balance is crucial to ensure that the recognition and incentives provided to demonstration cooperatives do not hinder the healthy development of other cooperatives in the region.
Based on the research findings, the following three considerations and recommendations are proposed: (1) Optimize the policy support system for demonstration cooperatives and improve risk assessment and response mechanisms. The policy for demonstration cooperatives can alleviate the “empty shell” issue within cooperatives. Further, refining the evaluation criteria for demonstration cooperatives and developing corresponding strategies and plans for risk response is necessary. While leveraging the positive demonstrative role of demonstration cooperatives, it is important to avoid speculative behavior and the misallocation of resources during the evaluation process. (2) Strengthen the spillover effects of demonstration cooperatives and enhance support and guidance for other cooperatives. When formulating cooperative-related policies, the government should emphasize the leading role of demonstration cooperatives, strengthen incentives for their selection, and encourage other cooperatives to learn from demonstration cooperatives. To achieve this, it is recommended that dedicated funding be established to support other cooperatives in learning from the management practices of demonstration cooperatives and adopting advanced technologies. This financial support will enable them to enhance their operational capabilities and market competitiveness. (3) Enhance communication and collaboration among cooperatives and establish a mutual assistance mechanism. Provincial-level demonstration cooperatives have spillover effects on neighboring cooperatives, but national-level demonstration cooperatives may create a “siphoning” effect on the surrounding cooperatives. Therefore, it is crucial to be cautious of a situation where national-level demonstration cooperatives dominate. Encouraging demonstration cooperatives to establish mutually beneficial relationships with other cooperatives in the local area is vital, fostering a solution of “strength supporting the weak and common development”. Effective communication and collaboration among cooperatives are crucial in combating the issue of the “empty shell” of cooperatives.

Author Contributions

S.L.: Conceptualization, methodology, writing—original draft; Y.Z.: validation, writing—review and editing, data curation, supervision; C.L.: visualization, writing—review and editing; supervision. All authors have read and agreed to the published version of the manuscript.

Funding

This research was funded by the Guizhou Office of Philosophy and Social Science Planning, China [funding numbers: 22GZQN20; funder: C.L.], the Research Topics on Major Issues of the CPC Guizhou Provincial Committee in 2024, China [funding numbers: 2024B015; funder: S.L.], and the Environmental and Economic Benefits Analysis of Methanol Vehicles, China [funding numbers: GDON2021019; funder: C.L.].

Data Availability Statement

Data will be made available on request.

Conflicts of Interest

The authors declare that they have no known competing financial interests or personal relationships that could have appeared to influence the work reported in this paper.

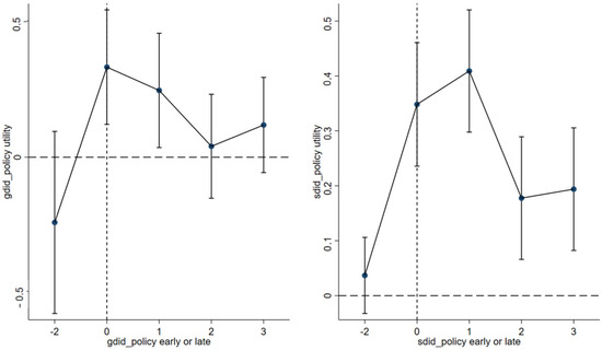
Appendix A

The parallel trend test preliminarily verified the inhibition effect of the cooperative “demonstration cooperative” policy on an “empty shell”, and the implementation of the demonstration cooperative policy had a specific continuous effect.
Figure A1. Parallel trend test chart of national and provincial demonstration societies. Source: Zhejiang University Carter—Enterprise Research China Agriculture Database (CCAD) calculation and drawing.
Figure A1. Parallel trend test chart of national and provincial demonstration societies. Source: Zhejiang University Carter—Enterprise Research China Agriculture Database (CCAD) calculation and drawing.
Land 13 00950 g0a1

References

  1. Chen, A.; Scott, S. Rural Development Strategies and Government Roles in the Development of Farmers’ Cooperatives in China. J. Agric. Food Syst. Community Dev. 2014, 4, 35–55. [Google Scholar] [CrossRef]
  2. Yang, H.; Klerkx, L.; Leeuwis, C. Functions and limitations of farmer cooperatives as innovation intermediaries: Findings from China. Agric. Syst. 2014, 127, 115–125. [Google Scholar] [CrossRef]
  3. McGowan, M.A.; Andrews, D.; Millot, V. The walking dead? Zombie firms and productivity performance in OECD countries. J. Economic Policy. 2018, 33, 685–736. [Google Scholar] [CrossRef]
  4. Levi, Y.; Davis, P. Cooperatives as the “Enfants Terribles” of Economics: Some Implications for the Social Economy. J. Socio-Econ. 2018, 37, 2178–2188. [Google Scholar] [CrossRef]
  5. Zhang, Y.; Huang, Z.H. Identfying Risks Inherent in Farmer Cooperatives in China. China Agric. Econ. Rev. 2014, 6, 335–354. [Google Scholar] [CrossRef]
  6. Fulton, M.; Larson, K.A. Overconfidence and hubris: The demise of agricultural co-operatives in western Canada. J. Rural Coop. 2009, 37, 166–200. [Google Scholar]
  7. Matthias, W. Social Benefits of Cooperatives—An Economic Perspective. Z. Für Das Gesamte Genoss. 2023, 73, 232–238. [Google Scholar] [CrossRef]
  8. Zhen, Z.; Weiyang, J.; Yuheng, L. Bridging the gap between smallholders and modern agriculture: Full insight into China’s agricultural cooperatives. J. Rural. Stud. 2023, 101, 103037. [Google Scholar] [CrossRef]
  9. Ma, M.; Zhu, H. Efficiency of Decisions under Membership Heterogeneity and Government Regulations: Insights from Farmer Cooperatives in China. Econ. Dev. Cult. Change 2020, 68, 1009–1040. [Google Scholar] [CrossRef]
  10. Nuansri, A.; Datta, A.; Takuji, W.; Farhad Zulfiqar, T. Factors Influencing the Profit and Choice of Agribusiness for Agricultural Cooperatives in Thailand. J. Int. Dev. 2023, 36, 751–772. [Google Scholar] [CrossRef]
  11. Kasabov, E. Investigating Difficulties and Failure in Early-Stage Rural Cooperatives through a Social Capital Lens. Eur. Urban Reg. Stud. 2016, 23, 895–916. [Google Scholar] [CrossRef]
  12. Fulton, M.; Giannakas, K. Organizational commitment in a mixed oligopoly: Agricultural cooperatives and investor-owned firms. Am. J. Agric. Econ. 2001, 83, 1258–1265. [Google Scholar] [CrossRef]
  13. Nilsson, J.; Svendsen, G.L.; Svendsen, G.T. Are Large and Complex Agricultural Cooperatives Losing Their Social Capital? Agribusiness 2012, 28, 187–204. [Google Scholar] [CrossRef]
  14. Rey, P.; Tirole, J. Financing and Access in Cooperatives. Int. J. Ind. Organ. 2007, 25, 1061–1088. [Google Scholar] [CrossRef]
  15. Khafagy, A. Political Institutions and Financial Cooperative Development. J. Institutional Econ. 2016, 13, 467–498. [Google Scholar] [CrossRef]
  16. Deng, H.; Huang, J.; Xu, Z.; Rozelle, S. Policy support and emerging farmer professional cooperatives in rural China. China Econ. Rev. 2010, 21, 495–507. [Google Scholar] [CrossRef]
  17. Afanaseva, O.; Elmov, V.; Ivanov, E.; Makushev, A. Factors that facilitate development of small agricultural cooperative farm alliances. IOP Conf. Ser. Earth Environ. Sci. 2021, 935, 012045. [Google Scholar] [CrossRef]
  18. Minah, M. What is the influence of government programs on farmer organizations and their impacts? Evidence from Zambia. Ann. Public Coop. Econ. 2022, 93, 29–53. [Google Scholar] [CrossRef]
  19. Zhang, C.H.; Benjamin, W.A.; Miao, W. The contribution of cooperative irrigation scheme to poverty reduction in Tanzania. J. Integr. Agric. 2021, 20, 953–963. [Google Scholar] [CrossRef]
  20. Ajates, R. An integrated conceptual framework for the study of agricultural cooperatives: From repolitisation to cooperative sustainability. J. Rural. Stud. 2020, 78, 467–479. [Google Scholar] [CrossRef]
  21. Nilsson, J. Agricultural Cooperative Development and Institutional Change: Swedish examples from 1990 to 2020. Int. J. Food Syst. Dyn. 2022, 13, 115–127. [Google Scholar] [CrossRef]
  22. Hu, Z.; Zhang, Q.F.; Donaldson, J. Why do farmers’ cooperatives fail in a market economy? Rediscovering Chayanov with the Chinese experience. J. Peasant. Stud. 2022, 50, 2611–2641. [Google Scholar] [CrossRef]
  23. Moon, S.; Lee, S. A strategy for sustainable development of cooperatives in developing countries: The success and failure case of agricultural cooperatives in musambira sector, Rwanda. Sustainability. 2020, 12, 8632. [Google Scholar] [CrossRef]
  24. Kirsten, J.; Sartorius, K. Linking agribusiness and small-scale farmers in developing countries: Is there a new role for contract farming? Dev. S. Afr. 2002, 19, 503–529. [Google Scholar] [CrossRef]
  25. Khapayi, M.; Nyembezi, N. The Role of Private and Public Agricultural Sector Advisory Service Institutions in Linking Small-Scale Vegetable Farmers to Contract Farming. S. Afr. J. Agric. Ext. 2023, 51, 167–187. [Google Scholar] [CrossRef]
  26. Malesky, E.J.; Nguyen, C.V.; Tran, A. The Impact of Recentralization on Public Services: A Difference-in-Differences Analysis of the Abolition of Elected Councils in Vietnam. Am. Political Sci. Rev. 2014, 108, 144–168. [Google Scholar] [CrossRef]
  27. Morris, S.; Hunter, R.M.; Ramsay, A.I.G.; Boaden, R.; McKevitt, C.; Perry, C.; Pursani, N.; Rudd, A.G.; Schwamm, L.H.; Turner, S.J.; et al. Impact of Centralising Acute Stroke Services in English Metropolitan Areas on Mortality and Length of Hospital Stay: Difference-in-Differences Analysis. BMJ 2014, 349, g4757. [Google Scholar] [CrossRef]
  28. Pan, X.; Li, M.; Wang, M.; Zong, T.; Song, M. The effects of a Smart Logistics policy on carbon emissions in China: A difference-in-differences analysis. Transp. Res. Part E Logist. Transp. Rev. 2020, 137, 101939. [Google Scholar] [CrossRef]
  29. Callaway, B.; Sant’Anna, P.H. Difference-in-differences with multiple time periods. J. Econom. 2021, 225, 200–230. [Google Scholar] [CrossRef]
  30. Elhorst, J.P. Spatial Econometrics: From Cross-Sectional Data to Spatial Panels; Springer: Berlin/Heidelberg, Germany, 2014. [Google Scholar]
  31. Liu, C.-H.S. Examining social capital, organizational learning and knowledge transfer in cultural and creative industries of practice. Tour. Manag. 2018, 64, 258–270. [Google Scholar] [CrossRef]
  32. Chen, Y.; Wu, Y. Regional economic growth and spillover effects: An analysis of China’s Pan Pearl River Delta Area. J. China World Economy 2012, 20, 80–97. [Google Scholar] [CrossRef]
Figure 1. Probability density plot of cooperative sales (logarithmic). Source: Zhejiang University Carter—Enterprise Research China Agriculture Database (CCAD) calculation and drawing.
Figure 1. Probability density plot of cooperative sales (logarithmic). Source: Zhejiang University Carter—Enterprise Research China Agriculture Database (CCAD) calculation and drawing.
Land 13 00950 g001
Figure 2. The combination of the proportion of township demonstration cooperatives and the proportion of empty shell cooperatives. Source: Zhejiang University Carter—Enterprise Research China Agriculture Database (CCAD) calculation and drawing.
Figure 2. The combination of the proportion of township demonstration cooperatives and the proportion of empty shell cooperatives. Source: Zhejiang University Carter—Enterprise Research China Agriculture Database (CCAD) calculation and drawing.
Land 13 00950 g002
Figure 3. A time and space map of the proportion of township empty shell cooperatives. Source: Zhejiang University Carter—Enterprise Research China Agriculture-related Database (CCAD) Calculation and Drawing.
Figure 3. A time and space map of the proportion of township empty shell cooperatives. Source: Zhejiang University Carter—Enterprise Research China Agriculture-related Database (CCAD) Calculation and Drawing.
Land 13 00950 g003
Figure 4. A time and space map of the proportion of township demonstration cooperatives. Source: Zhejiang University Carter—Enterprise Research China Agriculture-related Database (CCAD) Calculation and Drawing.
Figure 4. A time and space map of the proportion of township demonstration cooperatives. Source: Zhejiang University Carter—Enterprise Research China Agriculture-related Database (CCAD) Calculation and Drawing.
Land 13 00950 g004
Figure 5. Random sampling regression coefficient and t-value probability density plot. Source: Zhejiang University Carter—Enterprise Research China Agriculture Database (CCAD) calculation and drawing.
Figure 5. Random sampling regression coefficient and t-value probability density plot. Source: Zhejiang University Carter—Enterprise Research China Agriculture Database (CCAD) calculation and drawing.
Land 13 00950 g005
Table 1. Variable definitions and descriptive statistics.
Table 1. Variable definitions and descriptive statistics.
VariableVariable SymbolsDefinitionMean Standard ErrorMinMax
Explained variables
Empty shell cooperativekks1Cooperative of empty shell = 1, non-empty shell cooperative = 00.1280.33401
kks2Cooperative of empty shell = 1, non-shell cooperative = 00.7630.42501
Main explanatory variables
Demonstration cooperative (general)qdidProvincial and national demonstration cooperatives = 1, other cooperatives = 00.080.27101
Provincial demonstration cooperativesdidProvincial demonstration cooperatives = 1, other cooperatives = 00.070.25501
National demonstration cooperativegdidNational demonstration cooperatives = 1, other cooperatives = 00.0230.15101
Control variables
Cooperative scalememnumThe logarithm of the total number of cooperative members1.9651.038−10.40913.332
regcapThe logarithm of the registered capital—the initial capital scale (10,000 yuan)4.1571.463−1.9669.616
Ownership structurecapstrThe largest shareholder (>66%) has absolute control = 1 and others = 00.4420.49701
Human capitalleaderThe main body of the leader is a party member or village cadre = 1, not = 00.5840.49301
highschoolWhether the member has higher education experience—the highest education is college degree or above = 1, other = 00.1960.39701
Business conditionsprofitThe total surplus of cooperatives (10,000 yuan) is positive = 1, other = 00.8250.3801
subsistenceThe per capita surplus is greater than the subsistence allowance = 1, other = 00.3690.48301
yyearYears of operation = year of annual report − year of establishment of the cooperative + 18.0172.27312
Government supportgovsubThe logarithm of the government’s financial support fund subsidy (10,000 yuan)0.0590.862−8.05132.143
loanprofThe government’s financial loan support is greater than 0 = 1, others = 00.3480.47601
Regional macro variablesrpincomeRural per capita disposable income (yuan) is standardized0.0010.152−0.2310.677
pagriProportion of agricultural population = agricultural population/total population0.7420.1670.4151
Source: “CCAD”, questionnaire survey, regional statistical annual report collation.
Table 2. Test results of the DID model.
Table 2. Test results of the DID model.
(1)(2)
kks1kks2
qdid−0.124 *** −0.230 ***
(0.019) (0.028)
gdid −0.029 * −0.055 *
(0.017) (0.031)
sdid −0.125 *** −0.230 ***
(0.019) (0.028)
highschool0.243−0.091 ***0.243−0.013−0.086 ***−0.013
(0.288)(0.007)(0.288)(0.437)(0.011)(0.438)
leader−0.292 ***−0.228 ***−0.292 ***−0.173−0.121 ***−0.173
(0.096)(0.005)(0.096)(0.146)(0.009)(0.146)
memnum −0.044 ***−0.042 ***−0.043 ***
(0.005)(0.004)(0.005)
capstr−0.008−0.003−0.008−0.025 *−0.025 *−0.025 *
(0.009)(0.009)(0.009)(0.014)(0.013)(0.014)
yyear−0.00100−0.004 ***−0.003 ***−0.003 ***
(0.001)(0)(0.001)(0.001)(0.001)(0.001)
subsistence−0.249 ***−0.133 ***−0.248 ***−0.202 ***−0.172 ***−0.202 ***
(0.009)(0.006)(0.009)(0.013)(0.01)(0.013)
profit−0.103 ***−0.092 ***−0.103 ***−0.086 ***−0.100 ***−0.086 ***
(0.009)(0.008)(0.009)(0.013)(0.013)(0.013)
loanprof−0.03−0.02−0.03−0.507 ***−0.503 ***−0.507 ***
(0.024)(0.022)(0.024)(0.036)(0.034)(0.036)
govsub−0.003−0.001−0.003−0.042 ***−0.036 ***−0.041 ***
(0.004)(0.003)(0.004)(0.006)(0.005)(0.006)
rpincome0.0980.0820.098−0.0330.008−0.033
(0.066)(0.056)(0.066)(0.101)(0.087)(0.101)
pagri0.0110.0150.011−0.035−0.015−0.035
(0.015)(0.013)(0.015)(0.023)(0.02)(0.023)
Fixed yearYesYesYesYesYesYes
Individual fixationYesYesYesYesYesYes
_cons0.403 ***0.355 ***0.402 ***1.256 ***1.198 ***1.253 ***
(0.068)(0.019)(0.068)(0.103)(0.029)(0.103)
N942094209420942094209420
R-squared0.3940.3110.390.1610.1010.153
Note: * and *** indicate significant at 10% and 1% levels, respectively, the same below.
Table 3. Point-in-time placebo test for policy change.
Table 3. Point-in-time placebo test for policy change.
kks2The Timing of the Policy Is Advanced by 1 PeriodThe Timing of the Policy Has Been Postponed by 1 Period
qdid0.018————−0.180 ***————
(0.034)(0.025)
gdid——0.071————−0.197 **——
(0.157)(0.09)
sdid————0.009————−0.190 ***
(0.036)(0.027)
subsistence−0.073 ***−0.171 ***−0.073 ***−0.167 ***−0.171 ***−0.167 ***
(0.015)(0.012)(0.015)(0.012)(0.012)(0.012)
highschool0.063−0.0640.063−0.02−0.065−0.016
(0.508)(0.44)(0.508)(0.439)(0.44)(0.439)
yyear−0.009 ***−0.003 ***−0.009 ***−0.003 ***−0.003 ***−0.003 ***
(0.002)(0.001)(0.002)(0.001)(0.001)(0.001)
govsub−0.087 ***−0.041 ***−0.087 ***−0.041 ***−0.041 ***−0.040 ***
(0.009)(0.006)(0.009)(0.006)(0.006)(0.006)
gqjg−0.017−0.030 **−0.017−0.029 **−0.030 **−0.029 **
(0.014)(0.014)(0.014)(0.014)(0.014)(0.014)
rpincome−0.600 **−0.02−0.600 **−0.04−0.02−0.042
(0.271)(0.101)(0.271)(0.101)(0.101)(0.101)
pagri−0.198 ***−0.033−0.198 ***−0.036−0.033−0.036
(0.053)(0.023)(0.053)(0.023)(0.023)(0.023)
loanprof−0.509 ***−0.503 ***−0.509 ***−0.502 ***−0.503 ***−0.502 ***
(0.037)(0.036)(0.037)(0.036)(0.036)(0.036)
memnum−0.020 **−0.047 ***−0.020 **−0.045 ***−0.047 ***−0.045 ***
(0.008)(0.005)(0.008)(0.005)(0.005)(0.005)
leader−0.057−0.18−0.055−0.202−0.181−0.203
(0.294)(0.147)(0.294)(0.146)(0.147)(0.146)
Fixed timeYesYesYesYesYesYes
Individual fixationYesYesYesYesYesYes
_cons1.264 ***1.189 ***1.264 ***1.192 ***1.194 ***1.189 ***
(0.156)(0.103)(0.156)(0.103)(0.103)(0.103)
N942094209420942094209420
R-squared0.0860.1490.0860.1550.150.154
Note: ** and *** indicate significances at 10%, 5% levels, respectively, the same as below.
Table 4. Robustness test results.
Table 4. Robustness test results.
Replace the Explanatory VariableIndividual Fixed DID
(1)(2)(3)(4)(5)(6)(7)(8)(9)
kks3kks3kks3kks1kks1kks1kks2kks2kks2
qdid−0.086 *** −0.124 *** −0.224 ***
(0.023) (0.019) (0.028)
gdid −0.055 ** −0.077 −0.107
(0.026) (0.082) (0.124)
sdid −0.092 *** −0.124 *** −0.224 ***
−0.023 −0.019 −0.028
memnum0.056 ***0.054 ***0.056 ***−0.035 ***−0.036 ***−0.035 ***−0.042 ***−0.043 ***−0.042 ***
(0.004)(0.003)(0.004)(0.003)(0.003)(0.003)(0.005)(0.005)(0.005)
capstr0.009−0.011−0.0070.029 ***0.027 ***0.029 ***0.0040.0020.004
(0.011)(0.011)(0.011)(0.009)(0.009)(0.009)(0.014)(0.014)(0.014)
leader0.248 **0.110 ***0.244 **−0.280 ***−0.283 ***−0.280 ***−0.17−0.176−0.17
(0.119)(0.008)(0.119)(0.097)(0.097)(0.097)(0.146)(0.147)(0.146)
highschool−0.2830.032 ***−0.2690.2110.1720.211−0.032−0.103−0.032
(0.357)(0.01)(0.357)(0.291)(0.292)(0.291)(0.439)(0.441)(0.439)
profit−0.808 ***−0.810 ***−0.812 ***−0.096 ***−0.096 ***−0.096 ***−0.081 ***−0.081 ***−0.081 ***
(0.01)(0.009)(0.01)(0.009)(0.009)(0.009)(0.013)(0.013)(0.013)
subsistence −0.255 ***−0.257 ***−0.254 ***−0.208 ***−0.213 ***−0.208 ***
(0.009)(0.009)(0.009)(0.013)(0.014)(0.013)
yyear0.001 *0.001 **0.001−0.001−0.000−0.001−0.003 ***−0.003 ***−0.003 ***
(0.001)(0.001)(0.001)(0.001)(0.001)(0.001)(0.001)(0.001)(0.001)
govsub−0.004−0.003−0.003−0.005−0.005−0.005−0.043 ***−0.043 ***−0.043 ***
(0.005)(0.004)(0.005)(0.004)(0.004)(0.004)(0.006)(0.006)(0.006)
loanprof0.202 ***0.069 **0.076 ***0.252 ***0.252 ***0.252 ***−0.282 ***−0.283 ***−0.282 ***
(0.014)(0.028)(0.029)(0.011)(0.011)(0.011)(0.017)(0.017)(0.017)
rpincome0.039−0.157 **−0.151 *0.161 ***0.138 ***0.161 ***0.214 ***0.170 ***0.213 ***
(0.036)(0.072)(0.082)(0.03)(0.03)(0.03)(0.045)(0.045)(0.045)
pagri0.011−0.025−0.0250.028 ***0.024 **0.028 ***0.0150.0070.015
(0.012)(0.017)(0.019)(0.01)(0.01)(0.01)(0.015)(0.015)(0.015)
_cons0.641 ***0.696 ***0.678 ***0.353 ***0.366 ***0.352 ***1.198 ***1.220 ***1.196 ***
(0.083)(0.023)(0.084)(0.068)(0.068)(0.068)(0.103)(0.103)(0.103)
Fixed timeYesYesYesNoNoNoNoNoNo
Individual fixationYesYesYesYesYesYesYesYesYes
N942094209420942094209420942094209420
R-squared0.4830.4820.4850.3790.3760.3790.1550.1480.155
Note: *, ** and *** indicate significances at 10%, 5%, and 1% levels, respectively, the same as below.
Table 5. Moran’s I index of “empty shell” cooperatives from 2018 to 2023.
Table 5. Moran’s I index of “empty shell” cooperatives from 2018 to 2023.
Yearkks1kks2qdidgdidsdid
Moran’s Ip-ValueMoran’s Ip-ValueMoran’s Ip-ValueMoran’s Ip-ValueMoran’s Ip-Value
20180.1350.8650.1190.0000.1340.0030.0230.0670.0320.048
20190.2650.9560.0440.0000.0840.0630.0730.0680.0670.079
20200.1890.4870.1560.0120.0950.0450.1140.0220.1810.034
20210.1470.5680.1360.0300.2340.0320.0300.0120.1730.078
20220.1690.2560.0560.0000.1250.0090.0960.0100.1480.093
20230.2360.7560.0420.0150.1560.1200.1520.0810.0750.019
Table 6. LM test results.
Table 6. LM test results.
TestStatistic
Lagrange multiplier (error)30.566 ***
Robust Lagrange multiplier (error)28.865 ***
Lagrange multiplier (lag)10.627 ***
Robust Lagrange multiplier (lag)4.561 **
Note: ** and *** indicate significances at 10%, 5% levels, respectively, the same as below.
Table 7. LM test results.
Table 7. LM test results.
Variablesqdidgdidsdid
XW × XXW × XXW × X
qdid−0.081 ***−0.152 ***
(0.036)(0.027)
gdid −0.095 **0.046 ***
−0.043−0.01
sdid −0.090 **−0.033 ***
(0.044)(0.010)
memnum−0.057 ***−0.008 ***−0.058 ***−0.005 ***−0.056 ***−0.006 ***
(0.006)(0.001)(0.006)(0.001)(0.005)(0.001)
regcap−0.098 ***−0.049 ***−0.116 ***−0.063 ***−0.017 *−0.001
(0.030)(0.006)(0.017)(0.003)(0.009)(0.001)
capstr0.042 ***0.377 ***−0.464 ***0.090 ***−0.103 ***−0.152
(0.014)(0.078)(0.002)(0.022)(0.032)(0.033)
leader−0.152 ***−0.004−0.157 ***−0.001−0.109 ***−0.041 ***
(0.138)(0.003)(0.014)(0.003)(0.109)(0.005)
highschool−0.094 ***−0.079−0.081 ***0.186 ***−0.059 **0.009 *
(0.012)(0.067)(0.015)(0.003)(0.024)(0.005)
subsistence−0.168 ***0.026 ***−0.053 ***0.026 ***−0.162 ***0.043
(0.013)(0.003)(0.013)(0.003)(0.010)(0.050)
yyear−0.004 ***−0.002 ***−0.004 ***−0.002 ***−0.003 *0.002 ***
(0.001)(0.000)(0.001)(0.000)(0.001)(0.000)
govsub−0.011−0.032 ***−0.031 ***0.127 ***−0.015 **−0.037 ***
(0.193)(0.003)(0.002)(0.002)(0.006)(0.001)
loanprof−0.346 ***0.657 ***−0.307 ***0.078 ***−0.014 **−0.037 ***
(0.026)(0.001)(0.025)(0.001)(0.006)(0.001)
rpincome0.629 ***−0.017 ***0.485 ***0.022 ***0.358 ***0.399 ***
(0.071)(0.003)(0.068)(0.003)(0.080)(0.086)
pagri−0.002 ***−0.012 ***0.0010.001 ***−0.003 ***−0.002 ***
(0.000)(0.002)(0.001)(0.000)(0.000)(0.000)
rho0.169 ***0.113 ***0.168 ***
N942094209420
R-squared0.2060.2310.186
Note: *, ** and *** indicate significances at 10%, 5%, and 1% levels, respectively, the same as below.
Table 8. Decomposition results of the coefficient effect of the spatial Durbin model.
Table 8. Decomposition results of the coefficient effect of the spatial Durbin model.
DirectIndirectTotal
qdid−0.048 **−0.228 *−0.276 **
(0.021)(0.118)(0.122)
gdid−0.071 *0.820 ***0.891 ***
(0.038)(0.179)(0.194)
sdid−0.062 *−0.732 ***−0.794
(0.036)(0.189)(0.204)
controlYesYesYes
N942094209420
Note: *, ** and *** indicate significances at 10%, 5%, and 1% levels, respectively, the same as below.
Disclaimer/Publisher’s Note: The statements, opinions and data contained in all publications are solely those of the individual author(s) and contributor(s) and not of MDPI and/or the editor(s). MDPI and/or the editor(s) disclaim responsibility for any injury to people or property resulting from any ideas, methods, instructions or products referred to in the content.

Share and Cite

MDPI and ACS Style

Li, S.; Zhou, Y.; Li, C. The Impact of Demonstration Cooperatives on the “Empty Shell” of Farmer Professional Cooperatives in China. Land 2024, 13, 950. https://doi.org/10.3390/land13070950

AMA Style

Li S, Zhou Y, Li C. The Impact of Demonstration Cooperatives on the “Empty Shell” of Farmer Professional Cooperatives in China. Land. 2024; 13(7):950. https://doi.org/10.3390/land13070950

Chicago/Turabian Style

Li, Sixian, Yaodong Zhou, and Chengjiang Li. 2024. "The Impact of Demonstration Cooperatives on the “Empty Shell” of Farmer Professional Cooperatives in China" Land 13, no. 7: 950. https://doi.org/10.3390/land13070950

APA Style

Li, S., Zhou, Y., & Li, C. (2024). The Impact of Demonstration Cooperatives on the “Empty Shell” of Farmer Professional Cooperatives in China. Land, 13(7), 950. https://doi.org/10.3390/land13070950

Note that from the first issue of 2016, this journal uses article numbers instead of page numbers. See further details here.

Article Metrics

Back to TopTop