Multi-Decadal Land Subsidence Risk Assessment at Major Italian Cities by Integrating PSInSAR with Urban Vulnerability
Abstract
1. Introduction
2. Study Areas
3. Data
4. Methods
4.1. Estimation of Vertical Displacement Velocity
4.2. Angular Distortions and Hazard Assessment
4.3. Infrastructure Exposure–Vulnerability Analysis
4.4. Subsidence-Induced Risk Assessment
5. Results
5.1. Multi-Decadal Land Subsidence Evolution
5.2. Differential Subsidence Hazard
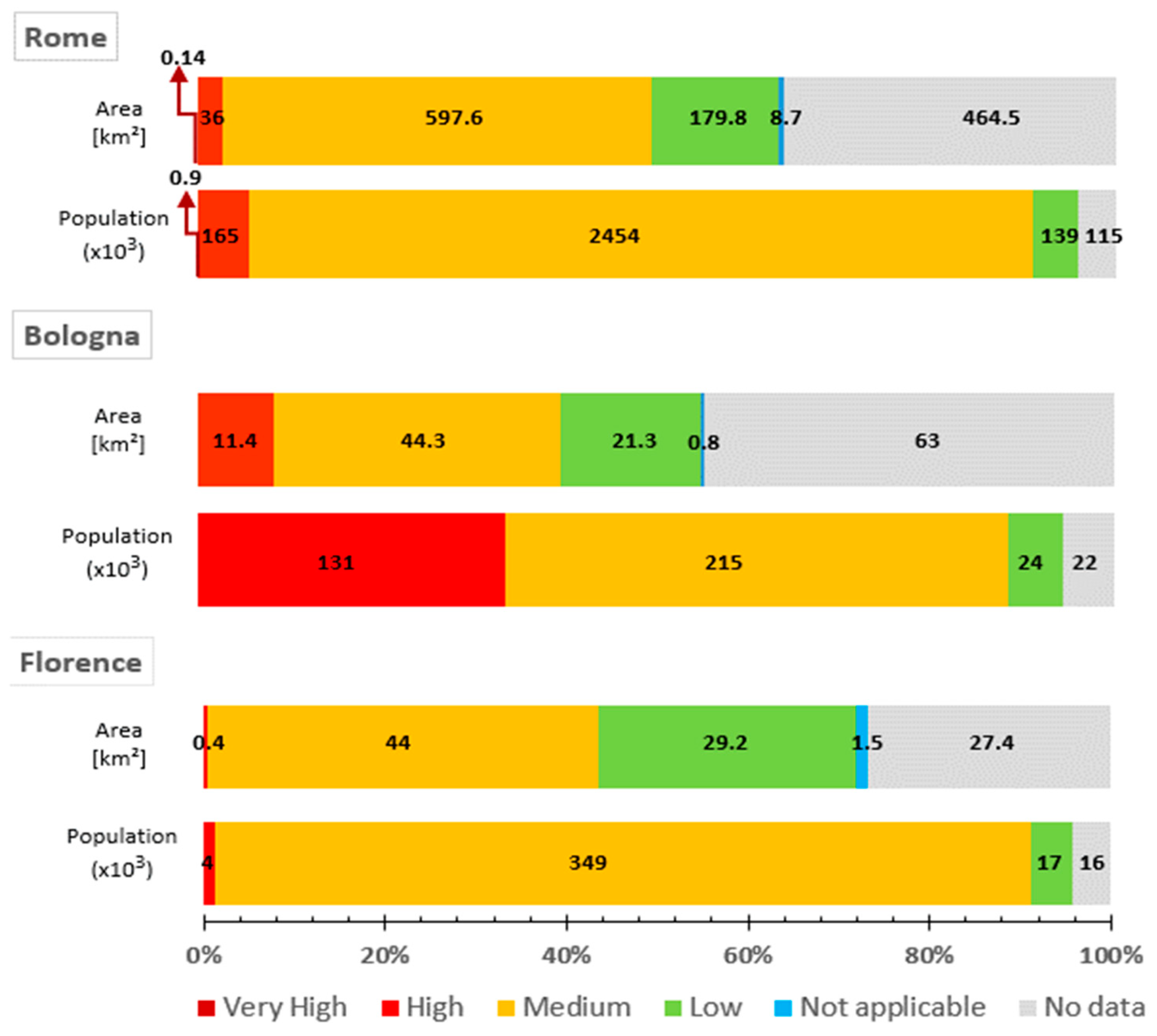
5.3. Risk Mapping and Affected Population
6. Discussion
7. Conclusions
Author Contributions
Funding
Data Availability Statement
Acknowledgments
Conflicts of Interest
Appendix A











References
- Scheer, D.; Benighaus, C.; Benighaus, L.; Renn, O.; Gold, S.; Röder, B.; Böl, G. The Distinction Between Risk and Hazard: Understanding and Use in Stakeholder Communication. Risk Anal. 2014, 34, 1270–1285. [Google Scholar] [CrossRef] [PubMed]
- Van Westen, C.J. Remote Sensing and Geographic Information Systems for Natural Disaster Management. Environ. Model. GIS Remote Sens. 2002, 6, 200–226. [Google Scholar]
- Herrera-García, G.; Ezquerro, P.; Tomás, R.; Béjar-Pizarro, M.; López-Vinielles, J.; Rossi, M.; Mateos, R.M.; Carreón-Freyre, D.; Lambert, J.; Teatini, P.; et al. Mapping the global threat of land subsidence. Science 2021, 371, 34–36. [Google Scholar] [CrossRef]
- Zhang, Y.; Huang, H.; Liu, Y.; Liu, Y. Self-weight consolidation and compaction of sediment in the Yellow River Delta, China. Phys. Geogr. 2018, 39, 84–98. [Google Scholar] [CrossRef]
- Poland, J.F. Guidebook to Studies of Land Subsidence due to Ground-Water Withdrawal; UNESCO: Paris, France, 1984. [Google Scholar]
- Galloway, D.L.; Burbey, T.J. Review: Regional land subsidence accompanying groundwater extraction. Hydrogeol. J. 2011, 19, 1459–1486. [Google Scholar] [CrossRef]
- Holzer, T.L.; Johnson, A.I. Land subsidence caused by ground water withdrawal in urban areas. GeoJournal 1985, 11, 245–255. [Google Scholar] [CrossRef]
- Wang, Z.-F.; Cheng, W.-C.; Wang, Y.-Q. Investigation into geohazards during urbanization process of Xi’an, China. Nat. Hazards 2018, 92, 1937–1953. [Google Scholar] [CrossRef]
- Cigna, F.; Tapete, D. Urban growth and land subsidence: Multi-decadal investigation using human settlement data and satellite InSAR in Morelia, Mexico. Sci. Total Environ. 2022, 811, 152211. [Google Scholar] [CrossRef]
- Holzer, T.L.; Pampeyan, E.H. Earth Fissures and Localized Differential Subsidence. Water Resour. Res. 1981, 17, 223–227. [Google Scholar] [CrossRef]
- Navarro-Hernández, M.I.; Valdes-Abellan, J.; Tomás, R.; Tessitore, S.; Ezquerro, P.; Herrera, G. Analysing the Impact of Land Subsidence on the Flooding Risk: Evaluation Through InSAR and Modelling. Water Resour. Manag. 2023, 37, 4363–4383. [Google Scholar] [CrossRef]
- Rosen, P.A.; Hensley, S.; Joughin, I.R.; Li, F.K.; Madsen, S.N.; Rodriguez, E.; Goldstein, R.M. Synthetic aperture radar interferometry. Proc. IEEE 2000, 88, 333–380. [Google Scholar] [CrossRef]
- Raspini, F.; Caleca, F.; Del Soldato, M.; Festa, D.; Confuorto, P.; Bianchini, S. Review of satellite radar interferometry for subsidence analysis. Earth-Sci. Rev. 2022, 235, 104239. [Google Scholar] [CrossRef]
- Quin, G.; Loreaux, P. Submillimeter accuracy of multipass corner reflector monitoring by PS technique. IEEE Trans. Geosci. Remote Sens. 2013, 51, 1775–1783. [Google Scholar] [CrossRef]
- Cigna, F.; Esquivel Ramírez, R.; Tapete, D. Accuracy of Sentinel-1 PSI and SBAS InSAR displacement velocities against GNSS and geodetic leveling monitoring data. Remote Sens. 2021, 13, 4800. [Google Scholar] [CrossRef]
- Cigna, F.; Tapete, D. Satellite InSAR survey of structurally-controlled land subsidence due to groundwater exploitation in the Aguascalientes Valley, Mexico. Remote Sens. Env. 2021, 254, 112254. [Google Scholar] [CrossRef]
- Cigna, F.; Tapete, D. Present-day land subsidence rates, surface faulting hazard and risk in Mexico City with 2014–2020 Sentinel-1 IW InSAR. Remote Sens. Environ. 2021, 253, 112161. [Google Scholar] [CrossRef]
- Ohenhen, L.O.; Shirzaei, M. Land Subsidence Hazard and Building Collapse Risk in the Coastal City of Lagos, West Arica. Earths Future 2022, 10, e2022EF003219. [Google Scholar] [CrossRef]
- Garg, S.; Motagh, M.; Indu, J.; Karanam, V. Tracking hidden crisis in India’s capital from space: Implications of unsustainable groundwater use. Sci. Rep. 2022, 12, 651. [Google Scholar] [CrossRef]
- Cecconi, M.; Scarapazzi, M.; Viggiani, G.M.B. On the geology and the geotechnical properties of pyroclastic flow deposits of the Colli Albani. Bull. Eng. Geol. Environ. 2010, 69, 185–206. [Google Scholar] [CrossRef]
- Stramondo, S.; Bozzano, F.; Marra, F.; Wegmuller, U.; Cinti, F.R.; Moro, M.; Saroli, M. Subsidence induced by urbanisation in the city of Rome detected by advanced InSAR technique and geotechnical investigations. Remote Sens. Environ. 2008, 112, 3160–3172. [Google Scholar] [CrossRef]
- Elmi, C.; Bergonzoni, A.; Massa, T.; Montaletti, V.; Baratella, P.L.; Ronchi, A. Il territorio di pianura del Comune di Bologna: Aspetti geologic e geotechnici. G. Geol. 1984, 46, 127–152. [Google Scholar]
- Zuccarini, A.; Giacomelli, S.; Severi, P.; Berti, M. Long-term spatiotemporal evolution of land subsidence in the urban area of Bologna, Italy. Bull. Eng. Geol. Environ. 2024, 83, 35. [Google Scholar] [CrossRef]
- European Environment Agency. Urban Atlas Land Cover/Land Use 2018 (Vector), Europe, 6-Yearly; EEA: Copenhagen, Denmark, 2021. [Google Scholar] [CrossRef]
- European Environment Agency. Urban Atlas 2018: Copernicus Land Monitoring Service. Copernicus. Available online: https://land.copernicus.eu/en/products/urban-atlas/urban-atlas-2018 (accessed on 1 April 2024).
- Kotzerke, P.; Siegmund, R.; Langenwalter, J. End-to-End Implementation and Operation of the European Ground Motion Service (EGMS). In Product User Manual; report no. EGMS-D4-PUM-SC1-2.0-007, v.1.6; EEA: Copenhagen, Denmark, 2022; p. 56. [Google Scholar]
- Costantini, M.; Minati, F.; Ciminelli, M.G.; Ferretti, A.; Novali, F.; Costabile, S. SAR interferometry analysis of very large areas: Results over the entire Italian territory. In Proceedings of the IEEE International Geoscience and Remote Sensing Symposium (IGARSS), Beijing, China, 10–15 July 2016; pp. 2070–2073. [Google Scholar] [CrossRef]
- Cigna, F.; Tapete, D.; Garduño-Monroy, V.H.; Muñiz-Jauregui, J.A.; García-Hernández, O.H.; Jiménez-Haro, A. Wide-area InSAR survey of surface deformation in urban areas and geothermal fields in the eastern Trans-Mexican Volcanic Belt, Mexico. Remote Sens. 2019, 11, 2341. [Google Scholar] [CrossRef]
- Skempton, A.W.; Macdonald, D.H. The allowable settlements of buildings. Proc. Inst. Civ. Eng. 1956, 5, 727–768. [Google Scholar] [CrossRef]
- Burland, J.B.; Wroth, C.P. Settlement of Buildings and Associated Damage; Building Research Establishment: Garston, UK, 1975. [Google Scholar]
- Sanabria, M.P.; Guardiola-Albert, C.; Tomás, R.; Herrera, G.; Prieto, A.; Sánchez, H.; Tessitore, S. Subsidence activity maps derived from DInSAR data: Orihuela case study. Nat. Hazards Earth Syst. Sci. 2014, 14, 1341–1360. [Google Scholar] [CrossRef]
- Vassileva, M.; Al-Halbouni, D.; Motagh, M.; Walter, T.R.; Dahm, T.; Wetzel, H.-U. A decade-long silent ground subsidence hazard culminating in a metropolitan disaster in Maceió, Brazil. Sci. Rep. 2021, 11, 7704. [Google Scholar] [CrossRef]
- Ohenhen, L.O.; Shirzaei, M.; Barnard, P.L. Slowly but surely: Exposure of communities and infrastructure to subsidence on the US east coast. PNAS Nexus 2024, 3, pgad426. [Google Scholar] [CrossRef]
- Delgado Blasco, J.M.; Foumelis, M.; Stewart, C.; Hooper, A. Measuring urban subsidence in the Rome Metropolitan Area (Italy) with Sentinel-1 SNAP-StaMPS Persistent Scatterer Interferometry. Remote Sens. 2019, 11, 129. [Google Scholar] [CrossRef]
- Manunta, M.; Marsella, M.; Zeni, G.; Sciotti, M.; Atzori, S.; Lanari, R. Two-scale surface deformation analysis using the SBAS-DInSAR technique: A case study of the city of Rome, Italy. Int. J. Remote Sens. 2008, 29, 1665–1684. [Google Scholar] [CrossRef]
- Pratesi, F.; Tapete, D.; Del Ventisette, C.; Moretti, S. Mapping interactions between geology, subsurface resource exploitation and urban development in transforming cities using InSAR Persistent Scatterers: Two decades of change in Florence, Italy. Appl. Geogr. 2016, 77, 20–37. [Google Scholar] [CrossRef]
- Giacomelli, S.; Zuccarini, A.; Amorosi, A.; Bruno, L.; Di Paola, G.; Martini, A.; Severi, P.; Berti, M. 3D geological modelling of the Bologna urban area (Italy). Eng. Geol. 2023, 324, 107242. [Google Scholar] [CrossRef]
- Farías, C.A.; Lenardón Sánchez, M.; Bonì, R.; Cigna, F. Statistical and Independent Component Analysis of Sentinel-1 InSAR Time Series to Assess Land Subsidence Trends. Remote Sens. 2024, 16, 4066. [Google Scholar] [CrossRef]















| Urban Atlas Class | Code | Score |
|---|---|---|
| Continuous urban fabric (S.L.: >80%) | 11,100 | 4 |
| Discontinuous dense urban fabric (S.L.: 50–80%) | 11,210 | 4 |
| Discontinuous medium-density urban fabric (S.L.: 30–50%) | 11,220 | 3 |
| Discontinuous low-density urban fabric (S.L.: 10–30%) | 11,230 | 2 |
| Discontinuous very low-density urban fabric (S.L.: <10%) | 11,240 | 2 |
| Isolated Structures | 11,300 | 1 |
| Industrial, commercial, public, military, and private units | 12,100 | 3 |
| Fast transit roads and associated land | 12,210 | 4 |
| Other roads and associated land | 12,220 | 3 |
| Railways and associated land | 12,230 | 4 |
| Airports | 12,400 | 4 |
| Mineral extraction and dump sites | 13,100 | 3 |
| Construction sites | 13,300 | 2 |
| Land without current use | 13,400 | 1 |
| Green Urban Areas | 14,100 | 1 |
| Sports and leisure facilities | 14,200 | 2 |
| Arable land (annual crops) | 21,000 | 1 |
| Permanent crops (vineyards, fruit trees, olive groves) | 22,000 | 1 |
| Pastures | 23,000 | 1 |
| Forests | 31,000 | 1 |
| Herbaceous vegetation associations (natural grassland, moors) | 32,000 | 1 |
| Open spaces with little or no vegetation (beaches, dunes, rocks) | 33,000 | 1 |
| Wetlands | 40,000 | NA |
| Water | 50,000 | NA |
| Study Area | Satellite | Orbit Type | Time Interval | LOS Velocity [mm/year] | |
|---|---|---|---|---|---|
| Minimum | Maximum | ||||
| Rome | ERS-1/2 | Ascending | April 1993–November 2000 | –34.8 | +15.0 |
| Descending | September 1992–December2000 | –42.7 | +28.6 | ||
| ENVISAT | Ascending | November 2002–July 2010 | –33.1 | +6.8 | |
| Descending | January 2003–June 2010 | –30.7 | +6.8 | ||
| COSMO-SkyMed | Ascending | April 2011–March 2014 | –61.0 | +24.4 | |
| Descending | August 2011–February 2014 | –39.2 | +18.6 | ||
| Sentinel-1 | Ascending | January 2018–December 2022 | –41.5 | +10.9 | |
| Descending | January 2018–December 2022 | –32.7 | +12.7 | ||
| Bologna | ERS-1/2 | Ascending | October 1995–September 2000 | –49.1 | +4.3 |
| Descending | April 1992–December 2000 | –55.4 | +10.3 | ||
| ENVISAT | Ascending | August 2004–July 2010 | –24.0 | +5.7 | |
| Descending | November 2003–December 2010 | –29.0 | +4.8 | ||
| Sentinel-1 | Ascending | January 2018–December 2022 | –25.5 | +1.4 | |
| Descending | January 2018–December 2022 | –24.1 | +8.0 | ||
| Florence | ERS-1/2 | Descending | April 1992–November 2001 | –29.5 | +11.3 |
| ENVISAT | Ascending | October 2003–May 2010 | –9.3 | +6.1 | |
| Descending | February 2003–June 2010 | –13.4 | +5.2 | ||
| Sentinel-1 | Ascending | January 2018–December 2022 | –13.0 | +10.0 | |
| Descending | January 2018–December 2022 | –55.6 | +0.6 | ||
| Hazard (β Categories) | |||||
|---|---|---|---|---|---|
| Low | Medium | High | Very High | ||
| Exposure–Vulnerability | Low | Low | Low | Medium | Medium |
| Medium | Low | Medium | Medium | High | |
| High | Medium | Medium | High | High | |
| Very High | Medium | High | High | Very High | |
| Study Area | Period | Low [km2] | Medium [km2] | High [km2] | Very High [km2] | ND [km2] |
|---|---|---|---|---|---|---|
| Rome | 1992–2000 | 226.49 | 1.84 | 0.04 | 0 | 1058.88 |
| 2002–2010 | 306.70 | 2.20 | 0.01 | 0 | 978.33 | |
| 2011–2014 | 530.26 | 3.49 | 0.01 | 0 | 753.48 | |
| 2018–2022 | 527.95 | 2.35 | 0.01 | 0 | 756.94 | |
| 1992–2022 | 142.34 | 31.89 | 5.01 | 0.14 | 1107.86 | |
| Bologna | 1992–2000 | 54.55 | 11.41 | 0.62 | 0 | 74.29 |
| 2003–2010 | 43.43 | 0.24 | 0 | 0 | 97.18 | |
| 2018–2022 | 76.35 | 0.23 | 0 | 0 | 64.38 | |
| 1992–2022 | 16.29 | 15.88 | 4.82 | 0 | 103.85 | |
| Florence | 1992–2001 | 27.52 | 0.06 | 0.02 | 0 | 74.72 |
| 2003–2010 | 44.65 | 0.06 | 0 | 0 | 57.62 | |
| 2018–2022 | 66.20 | 0.14 | 0 | 0 | 35.97 | |
| 1992–2022 | 19.07 | 1.98 | 0.14 | 0.01 | 81.12 |
| Study Area | Low [km2] | Medium [km2] | High [km2] | Very High [km2] | NA [km2] |
|---|---|---|---|---|---|
| Rome | 762.55 | 59.70 | 259.76 | 135.53 | 69.71 |
| Bologna | 65.37 | 6.74 | 51.68 | 15.91 | 1.15 |
| Florence | 41.58 | 6.12 | 37.32 | 15.61 | 1.68 |
Disclaimer/Publisher’s Note: The statements, opinions and data contained in all publications are solely those of the individual author(s) and contributor(s) and not of MDPI and/or the editor(s). MDPI and/or the editor(s) disclaim responsibility for any injury to people or property resulting from any ideas, methods, instructions or products referred to in the content. |
© 2024 by the authors. Licensee MDPI, Basel, Switzerland. This article is an open access article distributed under the terms and conditions of the Creative Commons Attribution (CC BY) license (https://creativecommons.org/licenses/by/4.0/).
Share and Cite
Lenardón Sánchez, M.; Farías, C.A.; Cigna, F. Multi-Decadal Land Subsidence Risk Assessment at Major Italian Cities by Integrating PSInSAR with Urban Vulnerability. Land 2024, 13, 2103. https://doi.org/10.3390/land13122103
Lenardón Sánchez M, Farías CA, Cigna F. Multi-Decadal Land Subsidence Risk Assessment at Major Italian Cities by Integrating PSInSAR with Urban Vulnerability. Land. 2024; 13(12):2103. https://doi.org/10.3390/land13122103
Chicago/Turabian StyleLenardón Sánchez, Michelle, Celina Anael Farías, and Francesca Cigna. 2024. "Multi-Decadal Land Subsidence Risk Assessment at Major Italian Cities by Integrating PSInSAR with Urban Vulnerability" Land 13, no. 12: 2103. https://doi.org/10.3390/land13122103
APA StyleLenardón Sánchez, M., Farías, C. A., & Cigna, F. (2024). Multi-Decadal Land Subsidence Risk Assessment at Major Italian Cities by Integrating PSInSAR with Urban Vulnerability. Land, 13(12), 2103. https://doi.org/10.3390/land13122103
