Spatiotemporal Change Analysis and Multi-Scenario Modeling of Ecosystem Service Values: A Case Study of the Beijing-Tianjin-Hebei Urban Agglomeration, China
Abstract
1. Introduction
2. Materials and Methods
2.1. Study Area
2.2. Framework and Data Sources
2.3. Methods
2.3.1. Future Land Use Trajectory Prediction
Model Principles and Scenarios Setting
Parameter Setting
- (1)
- Conversion constraint matrices
- (2)
- Effect of neighborhood
- (3)
- Model validation
2.3.2. Assessment of Ecosystem Services
2.3.3. Determine Hotspots and Cold Spots of Change in ESV
3. Results
3.1. Spatiotemporal Evolution of LULC
3.2. Change of ESV in BTH
3.3. Scenario Simulation
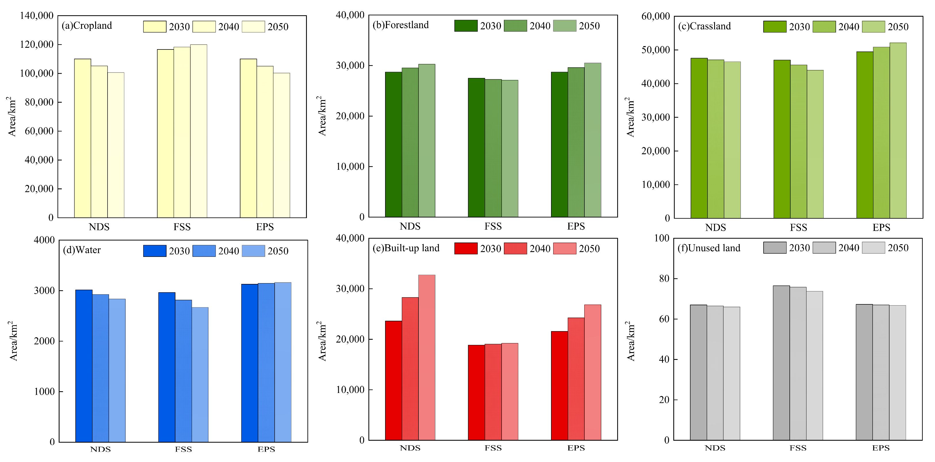
3.3.1. Model Simulation and Analysis
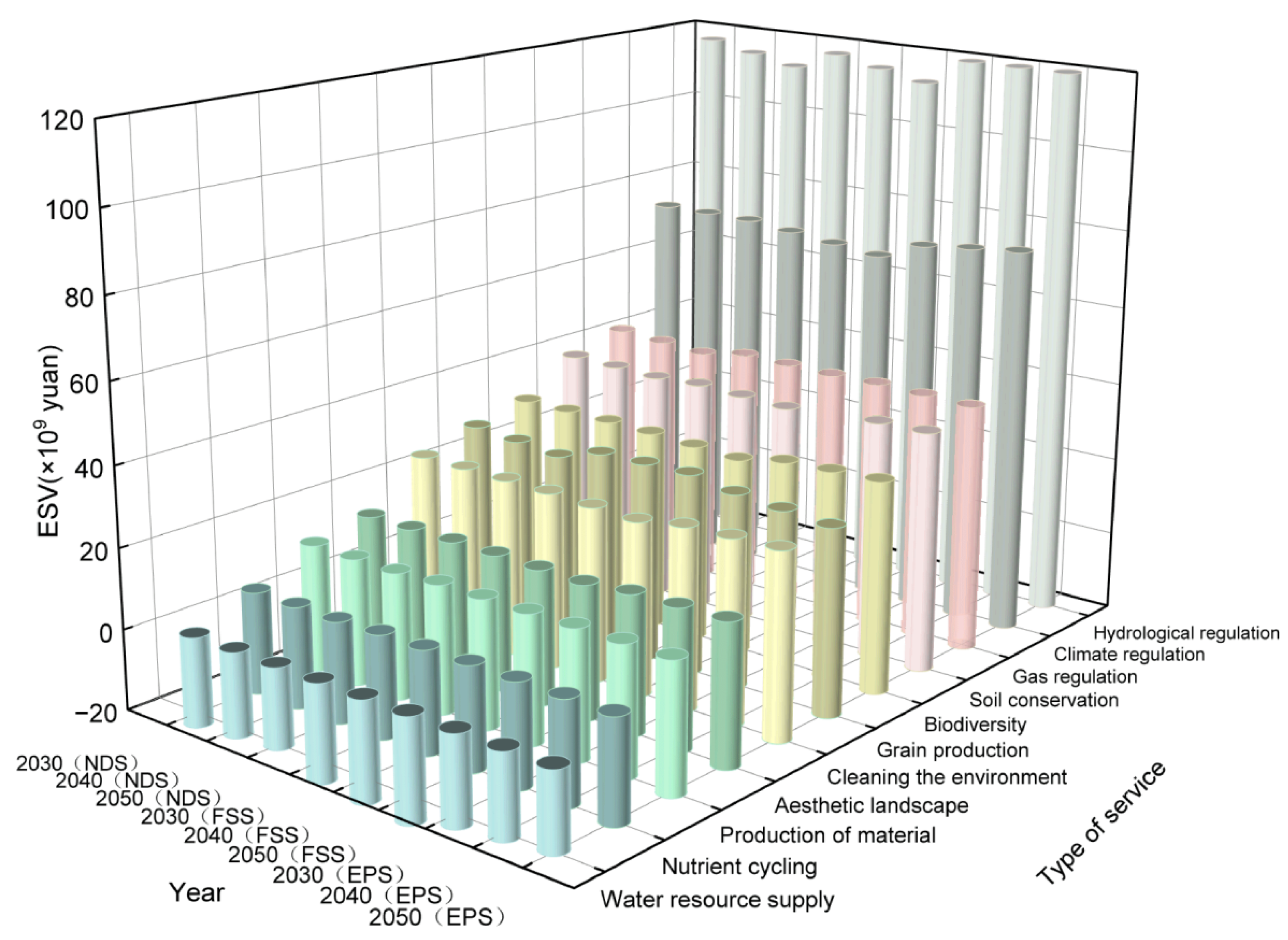
3.3.2. Change of ESV Under Multi-Scenarios in BTH
4. Discussion
4.1. ESV Response to LUCs
4.2. Territory Development Plan Based on Impacts of LUC on ESV
4.3. Limitations
5. Conclusions
- (1)
- Cropland was the primary land use category in BTH between 2000 and 2020, and the prominent features of regional LUCs were the decline in cropland (decrease by 11,932.25 km2) and the increase in built-up land (addition of 12,750.75 km2). The biggest contributors to ESV were grassland and forestland, and there has been a noticeable decrease in regional ESV (total CNY 14,634.22 × 106).
- (2)
- The study successfully simulated the land use patterns according to the NDS, FSS, and EPS in 2030, 2040, and 2050, and measured their ecological impacts. Among them, the ESV lost under the EPS from 2020 to 2050 is CNY 16568.78 × 106, the NDS was the second largest (loss of CNY 10960.84 × 106), and the ESV under the EPS increased by CNY 9373.73 × 106. This shows that the EPS was the optimal choice for the future development of BTH.
- (3)
- The form of BTH land use transformation varies in different scenarios, but the main changes were concentrated in Zhangjiakou, Chengde, Beijing, and Tianjin, which were the areas to focus on for future urban development. Meanwhile, it has been discovered that the regional ESV will decrease as ecological land is transferred to built-up territory, while returning cropland to forestland and grassland will greatly enhance the natural environment’s quality, which will aid in achieving sustainable development in the area.
Author Contributions
Funding
Data Availability Statement
Conflicts of Interest
References
- Costanza, R.; dArge, R.; deGroot, R.; Farber, S.; Grasso, M.; Hannon, B.; Limburg, K.; Naeem, S.; Oneill, R.V.; Paruelo, J.; et al. The value of the world’s ecosystem services and natural capital. Nature 1997, 387, 253–260. [Google Scholar] [CrossRef]
- Millennium Ecosystem Assessment. Ecosystems and Human Well-Being—Current State & Trends; Island Press: Washington, DC, USA, 2005. [Google Scholar]
- IPBES. Report of the Plenary of the Intergovernmental Science-Policy Platform on Biodiversity and Ecosystem Services on the Work of Its Seventh Session; IPBES: Paris, France, 2019. [Google Scholar]
- Costanza, R.; de Groot, R.; Sutton, P.; van der Ploeg, S.; Anderson, S.J.; Kubiszewski, I.; Farber, S.; Turner, R.K. Changes in the global value of ecosystem services. Glob. Environ. Change-Hum. Policy Dimens. 2014, 26, 152–158. [Google Scholar] [CrossRef]
- Kumar, P. The Economics of Ecosystems and Biodiversity: Ecological and Economic Foundations; Routledge: London, UK, 2011. [Google Scholar]
- Nations, U. The Future We Want: Outcome Document Adopted at Rio +20; UN Environmental Organization: Rio de Janeiro, Brazil, 2012. [Google Scholar]
- Xiao, Y.; Huang, M.D.; Xie, G.D.; Zhen, L. Evaluating the impacts of land use change on ecosystem service values under multiple scenarios in the Hunshandake region of China. Sci. Total Environ. 2022, 850, 158067. [Google Scholar] [CrossRef]
- Zhang, X.; Ren, W.; Peng, H. Urban land use change simulation and spatial responses of ecosystem service value under multiple scenarios: A case study of Wuhan, China. Ecol. Indic. 2022, 144, 109526. [Google Scholar] [CrossRef]
- Small, N.; Munday, M.; Durance, I. The challenge of valuing ecosystem services that have no material benefits. Glob. Environ. Change-Hum. Policy Dimens. 2017, 44, 57–67. [Google Scholar] [CrossRef]
- Zhang, G.; Zheng, D.; Xie, L.; Zhang, X.; Wu, H.; Li, S. Mapping changes in the value of ecosystem services in the Yangtze River Middle Reaches Megalopolis, China. Ecosyst. Serv. 2021, 48, 101252. [Google Scholar] [CrossRef]
- Wang, S.; Li, W.; Li, Q.; Wang, J. Ecological Security Pattern Construction in Beijing-Tianjin-Hebei Region Based on Hotspots of Multiple Ecosystem Services. Sustainability 2022, 14, 699. [Google Scholar] [CrossRef]
- Chen, D.J.; Zhong, L.S. Review of the value evaluation and realization mechanism of ecosystem services. Chin. J. Agric. Resour. Reg. Plan. 2023, 44, 84–94. [Google Scholar] [CrossRef]
- Remme, R.P.; Schroter, M.; Hein, L. Developing spatial biophysical accounting for multiple ecosystem services. Ecosyst. Serv. 2014, 10, 6–18. [Google Scholar] [CrossRef]
- La Notte, A.; D’Amato, D.; Makinen, H.; Paracchini, M.L.; Liquete, C.; Egoh, B.; Geneletti, D.; Crossman, N.D. Ecosystem services classification: A systems ecology perspective of the cascade framework. Ecol. Indic. 2017, 74, 392–402. [Google Scholar] [CrossRef]
- Xiong, C.; Ren, H.; Xu, D.; Gao, Y. Spatial scale effects on the value of ecosystem services in China’s terrestrial area. J. Environ. Manag. 2024, 366, 121745. [Google Scholar] [CrossRef] [PubMed]
- Li, L.; Huang, X.; Wu, D.; Yang, H. Construction of ecological security pattern adapting to future land use change in Pearl River Delta, China. Appl. Geogr. 2023, 154, 102946. [Google Scholar] [CrossRef]
- Li, R.; Xu, Q.; Yu, J.; Chen, L.; Peng, Y. Multiscale assessment of the spatiotemporal coupling relationship between urbanization and ecosystem service value along an urban-rural gradient:A case study of the Yangtze River Delta urban agglomeration, China. Ecol. Indic. 2024, 160, 111864. [Google Scholar] [CrossRef]
- Plummer, M.L. Assessing benefit transfer for the valuation of ecosystem services. Front. Ecol. Environ. 2009, 7, 38–45. [Google Scholar] [CrossRef]
- Zhou, Z.; Sun, X.; Zhang, X.; Wang, Y. Inter-regional ecological compensation in the Yellow River Basin based on the value of ecosystem services. J. Environ. Manag. 2022, 322, 116073. [Google Scholar] [CrossRef]
- Sutton, P.C.; Costanza, R. Global estimates of market and non-market values derived from nighttime satellite imagery, land cover, and ecosystem service valuation. Ecol. Econ. 2002, 41, 509–527. [Google Scholar] [CrossRef]
- Arowolo, A.O.; Deng, X.; Olatunji, O.A.; Obayelu, A.E. Assessing changes in the value of ecosystem services in response to land-use/land-cover dynamics in Nigeria. Sci. Total Environ. 2018, 636, 597–609. [Google Scholar] [CrossRef]
- Estoque, R.C.; Murayama, Y. Examining the potential impact of land use/cover changes on the ecosystem services of Baguio city, the Philippines: A scenario-based analysis. Appl. Geogr. 2012, 35, 316–326. [Google Scholar] [CrossRef]
- Song, W.; Deng, X. Land-use/land-cover change and ecosystem service provision in China. Sci. Total Environ. 2017, 576, 705–719. [Google Scholar] [CrossRef]
- Xie, G.; Zhang, C.; Zhen, L.; Zhang, L. Dynamic changes in the value of China’s ecosystem services. Ecosyst. Serv. 2017, 26, 146–154. [Google Scholar] [CrossRef]
- Xie, G.D.; Zhang, C.X.; Zhang, L.M.; Chen, W.H.; Li, S.M. Improvement of the Evaluation Method for Ecosystem Service Value Based on Per Unit Area. J. Nat. Resour. 2015, 8, 1243–1254. [Google Scholar] [CrossRef]
- Xie, G.D.; Lu, C.X.; Leng, Y.F.; Zheng, D.; Li, S.C. Ecological assets valuation of the Tibetan Plateau. J. Nat. Resour. 2003, 18, 189–196. [Google Scholar] [CrossRef]
- Chun, Z. Promoting Ecological Civilisation “with Nature in Mind”; China Social Sciences Press: Liaocheng, China, 2012. [Google Scholar]
- Li, L.; Wang, X.; Luo, L.; Ji, X.; Zhao, Y.; Zhao, Y.; Nabil, B. A systematic review on the methods of ecosystem services value assessment. Chin. J. Ecol. 2018, 37, 1233–1245. [Google Scholar] [CrossRef]
- Li, C.; Wu, Y.; Gao, B.; Zheng, K.; Wu, Y.; Li, C. Multi-scenario simulation of ecosystem service value for optimization of land use in the Sichuan-Yunnan ecological barrier, China. Ecol. Indic. 2021, 132, 108328. [Google Scholar] [CrossRef]
- Orth, R.J.; Carruthers, T.J.B.; Dennison, W.C.; Duarte, C.M.; Fourqurean, J.W.; Heck, K.L., Jr.; Hughes, A.R.; Kendrick, G.A.; Kenworthy, W.J.; Olyarnik, S.; et al. A global crisis for seagrass ecosystems. Bioscience 2006, 56, 987–996. [Google Scholar] [CrossRef]
- Kreuter, U.P.; Harris, H.G.; Matlock, M.D.; Lacey, R.E. Change in ecosystem service values in the San Antonio area, Texas. Ecol. Econ. 2001, 39, 333–346. [Google Scholar] [CrossRef]
- Song, X.-P.; Hansen, M.C.; Stehman, S.V.; Potapov, P.V.; Tyukavina, A.; Vermote, E.F.; Townshend, J.R. Global land change from 1982 to 2016. Nature 2018, 560, 639–643. [Google Scholar] [CrossRef]
- Pan, Y.; Xu, Z.; Wu, J. Spatial differences of the supply of multiple ecosystem services and the environmental and land use factors affecting them. Ecosyst. Serv. 2013, 5, E4–E10. [Google Scholar] [CrossRef]
- DeFries, R.S.; Foley, J.A.; Asner, G.P. Land-use choices: Balancing human needs and ecosystem function. Front. Ecol. Environ. 2004, 2, 249–257. [Google Scholar] [CrossRef]
- Lambin, E.F.; Ehrlich, D. Land-cover Changes in Sub-Saharan Africa (1982–1991): Application of a Change Index Based on Remotely Sensed Surface Temperature and Vegetation Indices at a Continental Scale. Remote Sens. Environ. 1997, 61, 181–200. [Google Scholar] [CrossRef]
- AlSayed, A.; Soliman, M.; Shakir, R.; Snieder, E.; Eldyasti, A.; Khan, U.T. Data Driven Models as A Powerful Tool to Simulate Emerging Bioprocesses: An Artificial Neural Network Model to Describe Methanotrophic Microbial Activity. J. Environ. Inform. 2021, 38, 27–40. [Google Scholar] [CrossRef]
- Lambin, E.F.; Ehrlich, D. Modelling and monitoring land-cover change processes in tropical regions. Prog. Phys. Geogr.-Earth Environ. 1997, 21, 375–393. [Google Scholar] [CrossRef]
- Liu, Z.; Wu, R.; Chen, Y.; Fang, C.; Wang, S. Factors of ecosystem service values in a fast-developing region in China: Insights from the joint impacts of human activities and natural conditions. J. Clean. Prod. 2021, 297, 126588. [Google Scholar] [CrossRef]
- Ouyang, Z.; Zheng, H.; Xiao, Y.; Polasky, S.; Liu, J.; Xu, W.; Wang, Q.; Zhang, L.; Xiao, Y.; Rao, E.; et al. Improvements in ecosystem services from investments in natural capital. Science 2016, 352, 1455–1459. [Google Scholar] [CrossRef]
- Fan, Q.; Yang, X.; Zhang, C. A Review of Ecosystem Services Research Focusing on China against the Background of Urbanization. Int. J. Environ. Res. Public Health 2022, 19, 8271. [Google Scholar] [CrossRef]
- Chen, W.; Gu, T.; Xiang, J.; Luo, T.; Zeng, J.; Yuan, Y. Ecological restoration zoning of territorial space in China: An ecosystem health perspective. J. Environ. Manag. 2024, 364, 121371. [Google Scholar] [CrossRef]
- Verburg, P.H.; Soepboer, W.; Veldkamp, A.; Limpiada, R.; Espaldon, V.; Mastura, S.S.A. Modeling the spatial dynamics of regional land use: The CLUE-S model. Environ. Manag. 2002, 30, 391–405. [Google Scholar] [CrossRef]
- Pereira e Silva, L.; Campos Xavier, A.P.; da Silva, R.M.; Guimaraes Santos, C.A. Modeling land cover change based on an artificial neural network for a semiarid river basin in northeastern Brazil. Glob. Ecol. Conserv. 2020, 21, e00811. [Google Scholar] [CrossRef]
- Macal, C.; North, M. Introductory Tutorial: Agent-Based Modeling and Simulation. In Proceedings of the Winter Simulation Conference, Savannah, GA, USA, 7–10 December 2014; pp. 6–20. [Google Scholar]
- Parker, D.C.; Manson, S.M.; Janssen, M.A.; Hoffmann, M.J.; Deadman, P. Multi-agent systems for the simulation of land-use and land-cover change: A review. Ann. Assoc. Am. Geogr. 2003, 93, 314–337. [Google Scholar] [CrossRef]
- Bao, C.; He, D. Scenario Modeling of Urbanization Development and Water Scarcity Based on System Dynamics: A Case Study of Beijing-Tianjin-Hebei Urban Agglomeration, China. Int. J. Environ. Res. Public Health 2019, 16, 3834. [Google Scholar] [CrossRef]
- Ministry of Ecological Environment of the People’s Republic of China. China’s Ecological and Environmental Conditions Bulletin 2017; Ministry of Ecological Environment of the People’s Republic of China: Beijing, China, 2017. [Google Scholar]
- Song, Y.; Li, Z.; Yang, T.; Xia, Q. Does the expansion of the joint prevention and control area improve the air quality?—Evidence from China’s Jing-Jin-Ji region and surrounding areas. Sci. Total Environ. 2020, 706, 136034. [Google Scholar] [CrossRef] [PubMed]
- Yan, Z.; Wang, D.; Li, W.; Tong, Z.; Zhu, Y.; Shen, F. Treat and halt: Occurrence of spatially heterogeneous cropland degradation in the peri-urban area. Environ. Impact Assess. Rev. 2024, 104, 107366. [Google Scholar] [CrossRef]
- Li, X.; Chen, G.; Liu, X.; Liang, X.; Wang, S.; Chen, Y.; Pei, F.; Xu, X. A New Global Land-Use and Land-Cover Change Product at a 1-km Resolution for 2010 to 2100 Based on Human-Environment Interactions. Ann. Am. Assoc. Geogr. 2017, 107, 1040–1059. [Google Scholar] [CrossRef]
- Morshed, S.R.; Fattah, M.A.; Haque, M.N.; Morshed, S.Y. Future ecosystem service value modeling with land cover dynamics by using machine learning based Artificial Neural Network model for Jashore city, Bangladesh. Phys. Chem. Earth 2022, 126. [Google Scholar] [CrossRef]
- Liu, X.; Liang, X.; Li, X.; Xu, X.; Ou, J.; Chen, Y.; Li, S.; Wang, S.; Pei, F. A future land use simulation model (FLUS) for simulating multiple land use scenarios by coupling human and natural effects. Landsc. Urban Plan. 2017, 168, 94–116. [Google Scholar] [CrossRef]
- Mondal, M.S.; Sharma, N.; Garg, P.K.; Kappas, M. Statistical independence test and validation of CA Markov land use land cover (LULC) prediction results. Egypt. J. Remote Sens. Space Sci. 2016, 19, 259–272. [Google Scholar] [CrossRef]
- Liang, X.; Liu, X.; Li, X.; Chen, Y.; Tian, H.; Yao, Y. Delineating multi-scenario urban growth boundaries with a CA-based FLUS model and morphological method. Landsc. Urban Plan. 2018, 177, 47–63. [Google Scholar] [CrossRef]
- Aburas, M.M.; Ho, Y.M.; Ramli, M.F.; Ash’aari, Z.H. Improving the capability of an integrated CA-Markov model to simulate spatio-temporal urban growth trends using an Analytical Hierarchy Process and Frequency Ratio. Int. J. Appl. Earth Obs. Geoinf. 2017, 59, 65–78. [Google Scholar] [CrossRef]
- Bateman, I.J.; Harwood, A.R.; Mace, G.M.; Watson, R.T.; Abson, D.J.; Andrews, B.; Binner, A.; Crowe, A.; Day, B.H.; Dugdale, S.; et al. Bringing Ecosystem Services into Economic Decision-Making: Land Use in the United Kingdom. Science 2013, 341, 45–50. [Google Scholar] [CrossRef]
- Li, F.; Wang, F.; Liu, H.; Huang, K.; Yu, Y.; Huang, B. A comparative analysis of ecosystem service valuation methods: Taking Beijing, China as a case. Ecol. Indic. 2023, 154, 110872. [Google Scholar] [CrossRef]
- Huang, Y.; Lin, T.; Zhang, G.; Jones, L.; Xue, X.; Ye, H.; Liu, Y. Spatiotemporal patterns and inequity of urban green space accessibility and its relationship with urban spatial expansion in China during rapid urbanization period. Sci. Total Environ. 2022, 809, 151123. [Google Scholar] [CrossRef] [PubMed]
- Zhu, K.-w.; Yang, Z.-m.; Huang, L.; Chen, Y.-c.; Zhang, S.; Xiong, H.-l.; Wu, S.; Lei, B. Coupling ITO3dE model and GIS for spatiotemporal evolution analysis of agricultural non-point source pollution risks in Chongqing in China. Sci. Rep. 2021, 11, 4635. [Google Scholar] [CrossRef] [PubMed]
- Anley, M.A.; Minale, A.S.; Haregewoyn, N.; Gashaw, T. Assessing the impacts of land use/cover changes on ecosystem service values in Rib watershed, Upper Blue Nile Basin, Ethiopia. Trees For. People 2022, 7, 100212. [Google Scholar] [CrossRef]
- Berihun, M.L.; Tsunekawa, A.; Haregeweyn, N.; Meshesha, D.T.; Adgo, E.; Tsubo, M.; Masunaga, T.; Fenta, A.A.; Sultan, D.; Yibeltal, M. Exploring land use/land cover changes, drivers and their implications in contrasting agro-ecological environments of Ethiopia. Land Use Policy 2019, 87, 104052. [Google Scholar] [CrossRef]
- Melkamu, T.; Bagyaraj, M.; Adimaw, M.; Ngusie, A.; Karuppannan, S. Detecting and mapping flood inundation areas in Fogera-Dera Floodplain, Ethiopia during an extreme wet season using Sentinel-1 data. Phys. Chem. Earth 2022, 127, 103189. [Google Scholar] [CrossRef]
- Long, H.; Liu, Y.; Hou, X.; Li, T.; Li, Y. Effects of land use transitions due to rapid urbanization on ecosystem services: Implications for urban planning in the new developing area of China. Habitat Int. 2014, 44, 536–544. [Google Scholar] [CrossRef]
- Yang, Y.; Lu, Z.; Yang, M.; Yan, Y.; Wei, Y. Impact of land use changes on uncertainty in ecosystem services under different future scenarios: A case study of Zhang-Cheng area, China. J. Clean. Prod. 2024, 434, 139881. [Google Scholar] [CrossRef]
- Shen, J.; Li, S.; Liu, L.; Liang, Z.; Wang, Y.; Wang, H.; Wu, S. Uncovering the relationships between ecosystem services and social- ecological drivers at different spatial scales in the Beijing-Tianjin-Hebei region. J. Clean. Prod. 2021, 290, 125193. [Google Scholar] [CrossRef]
- Feng, Z.; Jin, X.; Chen, T.; Wu, J. Understanding trade-offs and synergies of ecosystem services to support the decision-making in the Beijing?Tianjin?Hebei region. Land Use Policy 2021, 106, 105446. [Google Scholar] [CrossRef]
- Avila-Garcia, D.; Morato, J.; Perez-Maussan, A.I.; Santillan-Carvantes, P.; Alvarado, J.; Comin, F.A. Impacts of alternative land-use policies on water ecosystem services in the Rio Grande de Comitan-Lagos de Montebello watershed, Mexico. Ecosyst. Serv. 2020, 45, 101179. [Google Scholar] [CrossRef]
- Le Maitre, D.C.; Kruger, F.J.; Forsyth, G.G. Interfacing ecology and policy: Developing an ecological framework and evidence base to support wildfire management in South Africa. Austral Ecol. 2014, 39, 424–436. [Google Scholar] [CrossRef]
- Zhang, S.; Yang, P.; Xia, J.; Wang, W.; Cai, W.; Chen, N.; Hu, S.; Luo, X.; Li, J.; Zhan, C. Land use/land cover prediction and analysis of the middle reaches of the Yangtze River under different scenarios. Sci. Total Environ. 2022, 833, 155238. [Google Scholar] [CrossRef] [PubMed]
- Wang, Z.; Li, X.; Mao, Y.; Li, L.; Wang, X.; Lin, Q. Dynamic simulation of land use change and assessment of carbon storage based on climate change scenarios at the city level: A case study of Bortala, China. Ecol. Indic. 2022, 134, 108499. [Google Scholar] [CrossRef]
- Tian, L.; Tao, Y.; Fu, W.; Li, T.; Ren, F.; Li, M. Dynamic Simulation of Land Use/Cover Change and Assessment of Forest Ecosystem Carbon Storage under Climate Change Scenarios in Guangdong Province, China. Remote Sens. 2022, 14, 2330. [Google Scholar] [CrossRef]
- Peng, S.; Wang, C.; Li, Z.; Mihara, K.; Kuramochi, K.; Toma, Y.; Hatano, R. Climate change multi-model projections in CMIP6 scenarios in Central Hokkaido, Japan. Sci. Rep. 2023, 13, 230. [Google Scholar] [CrossRef]














| Categories | Name | Source |
|---|---|---|
| Land use data | Land use/land cover data | RESDC (https://www.resdc.cn/ (accessed on 1 October 2023)) |
| Climatic and environmental data | Precipitation | |
| Temperature | ||
| Soil texture | ||
| DEM | USGS (https://www.usgs.gov (accessed on 1 October 2023)) | |
| Soil organic carbon content (SOC) | ISRIC Data Hub (https://www.isric.org/explore/isric-soil-data-hub (accessed on 1 October 2023)) | |
| Slope | Computed using the ArcGIS 10.4 spatial analysis and hydrological analysis modules. | |
| Watershed | ||
| Socioeconomic data | GDP | RESDC (https://www.resdc.cn/ (accessedon 1 October 2023)) |
| Population | ||
| Administrative center | NGCC (http://www.ngcc.cn/ (accessed on 1 October 2023)) | |
| Road | ||
| Railroads | ||
| Crop production | Derived from the statistical yearbooks of BTH. | |
| Unit price of Crop production |
| Cropland | Forestland | Grassland | Water | Built-Up Land | Unused Land | |
|---|---|---|---|---|---|---|
| NDS | 0.3 | 0.6 | 0.5 | 0.4 | 0.7 | 0.1 |
| FSS | 0.5 | 0.5 | 0.5 | 0.2 | 0.6 | 0.1 |
| EPS | 0.2 | 0.8 | 0.7 | 0.5 | 0.6 | 0.1 |
| Service Type | Coefficient Value (CNY ha−1 yr−1) | ||||||
|---|---|---|---|---|---|---|---|
| Cropland | Forestland | Grassland | Water | Built-Up Land | Unused Land | ||
| Provisioning services | Grain production | 1.11 | 0.23 | 0.23 | 0.66 | 0.00 | 0.01 |
| Production of material | 0.25 | 0.54 | 0.34 | 0.37 | 0.00 | 0.02 | |
| Water resource supply | −1.31 | 0.28 | 0.19 | 5.44 | 0.00 | 0.01 | |
| Regulating services | Gas regulation | 0.89 | 1.76 | 1.21 | 1.34 | 0.00 | 0.07 |
| Climate regulation | 0.47 | 5.27 | 3.19 | 2.95 | 0.00 | 0.05 | |
| Cleaning the environment | 0.14 | 1.57 | 1.05 | 4.58 | 0.00 | 0.21 | |
| Hydrological regulation | 1.50 | 3.81 | 2.34 | 63.24 | 0.00 | 0.12 | |
| Supporting services | Soil conservation | 0.52 | 2.14 | 1.47 | 1.62 | 0.00 | 0.08 |
| Nutrient cycling | 0.16 | 0.16 | 0.11 | 0.13 | 0.00 | 0.01 | |
| Biodiversity | 0.17 | 1.95 | 1.34 | 5.21 | 0.00 | 0.07 | |
| Cultural services | Aesthetic landscape | 0.08 | 0.86 | 0.59 | 3.31 | 0.00 | 0.03 |
| Sum | 3.95 | 18.57 | 12.06 | 88.82 | 0.00 | 0.65 | |
| Cropland | Forestland | Grassland | Water | Built-Up Land | Unused Land | ||
|---|---|---|---|---|---|---|---|
| 2020 | 115,269.5 | 27,790.75 | 48,035.75 | 3100.25 | 18,717.25 | 78 | |
| NDS | 2030 | 110,036.75 | 28,705.75 | 47,564 | 3015.75 | 23,602.25 | 67 |
| 2040 | 105,135 | 29,535.5 | 47,059 | 2923.75 | 28,271.75 | 66.5 | |
| 2050 | 100,550 | 30,274.25 | 46,527 | 2834.75 | 32,739.5 | 66 | |
| FSS | 2030 | 116,587.5 | 27,492.75 | 47,022 | 2963.75 | 18,849 | 76.5 |
| 2040 | 118,252.5 | 27,254.25 | 45,561.75 | 2815.5 | 19,031.75 | 75.75 | |
| 2050 | 119,945.5 | 27,114 | 43,978 | 2668 | 19,212.25 | 73.75 | |
| EPS | 2030 | 110,036.75 | 28,705.75 | 49,500.75 | 3128 | 21,553 | 67.25 |
| 2040 | 105,041.5 | 29,610.5 | 50,868 | 3144.5 | 24,260 | 67 | |
| 2050 | 100,273.25 | 30,505.25 | 52,142 | 3160.25 | 26,844 | 66.75 |
| Services | FSS | EPS | NDS | ||||||
|---|---|---|---|---|---|---|---|---|---|
| 2030 | 2040 | 2050 | 2030 | 2040 | 2050 | 2030 | 2040 | 2050 | |
| Grain production | 30.07 | 30.21 | 30.35 | 28.85 | 27.83 | 26.86 | 28.74 | 27.64 | 26.61 |
| Production of material | 12.33 | 12.30 | 12.27 | 12.31 | 12.26 | 12.21 | 12.17 | 11.97 | 11.78 |
| Water resource supply | −24.04 | −24.30 | −24.55 | −22.23 | −20.78 | −19.40 | −22.43 | −21.20 | −20.06 |
| Gas regulation | 43.44 | 43.34 | 43.25 | 43.29 | 43.05 | 42.83 | 42.78 | 42.04 | 41.32 |
| Climate regulation | 73.16 | 72.55 | 71.96 | 75.28 | 76.68 | 78.02 | 73.95 | 74.00 | 73.96 |
| Cleaning the environment | 25.02 | 24.82 | 24.63 | 25.71 | 26.17 | 26.61 | 25.19 | 25.13 | 25.04 |
| Hydrological regulation | 119.22 | 118.87 | 118.52 | 119.67 | 119.72 | 119.77 | 117.30 | 115.03 | 112.80 |
| Soil conservation | 39.50 | 39.30 | 39.09 | 23.82 | 40.30 | 40.58 | 39.41 | 39.07 | 38.72 |
| Nutrient cycling | 5.70 | 5.71 | 5.71 | 5.60 | 5.50 | 5.41 | 5.55 | 5.41 | 5.28 |
| Biodiversity | 31.17 | 30.93 | 30.69 | 32.04 | 32.62 | 33.18 | 31.40 | 31.32 | 31.22 |
| Aesthetic landscape | 14.38 | 14.27 | 14.16 | 14.77 | 15.03 | 15.27 | 14.46 | 14.41 | 14.34 |
| Grain production | 30.07 | 30.21 | 30.35 | 28.85 | 27.83 | 26.86 | 28.74 | 27.64 | 26.61 |
| Production of material | 12.33 | 12.30 | 12.27 | 12.31 | 12.26 | 12.21 | 12.17 | 11.97 | 11.78 |
| LUC Types | ΔVC | LUC Types | ΔVC |
|---|---|---|---|
| Cropland→Forestland | 29,781.82 | Water→Cropland | −172,875.10 |
| Cropland→Grassland | 16,520.56 | Water→Forestland | −143,093.28 |
| Cropland→Water | 172,875.10 | Water→Grassland | −156,354.54 |
| Cropland→Built-up land | −8046.39 | Water→Built-up land | −180,921.48 |
| Cropland→Unused land | −6722.30 | Water→Unused land | −179,597.39 |
| Forestland→Cropland | −29,781.82 | Built-up land→Cropland | 8046.39 |
| Forestland→Grassland | −13,261.26 | Built-up land→Forestland | 37,828.20 |
| Forestland→Water | 143,093.28 | Built-up land→Grassland | 24,566.94 |
| Forestland→Built-up land | −37,828.20 | Built-up land→Water | 180,921.48 |
| Grassland→Cropland | −16,520.56 | Built-up land→Unused land | 1324.09 |
| Grassland→Forestland | 13,261.26 | Unused land→Cropland | 24,566.94 |
| Grassland→Water | 156,354.54 | Unused land→Grassland | 180,921.48 |
| Grassland→Built-up land | −24,566.94 | Unused land→Water | 1324.09 |
| Grassland→Unused land | −23,242.85 | Unused land→Built-up land | 1324.09 |
Disclaimer/Publisher’s Note: The statements, opinions and data contained in all publications are solely those of the individual author(s) and contributor(s) and not of MDPI and/or the editor(s). MDPI and/or the editor(s) disclaim responsibility for any injury to people or property resulting from any ideas, methods, instructions or products referred to in the content. |
© 2024 by the authors. Licensee MDPI, Basel, Switzerland. This article is an open access article distributed under the terms and conditions of the Creative Commons Attribution (CC BY) license (https://creativecommons.org/licenses/by/4.0/).
Share and Cite
Duan, J.; Shi, P.; Yang, Y.; Wang, D. Spatiotemporal Change Analysis and Multi-Scenario Modeling of Ecosystem Service Values: A Case Study of the Beijing-Tianjin-Hebei Urban Agglomeration, China. Land 2024, 13, 1791. https://doi.org/10.3390/land13111791
Duan J, Shi P, Yang Y, Wang D. Spatiotemporal Change Analysis and Multi-Scenario Modeling of Ecosystem Service Values: A Case Study of the Beijing-Tianjin-Hebei Urban Agglomeration, China. Land. 2024; 13(11):1791. https://doi.org/10.3390/land13111791
Chicago/Turabian StyleDuan, Jing, Pu Shi, Yuanyuan Yang, and Dongyan Wang. 2024. "Spatiotemporal Change Analysis and Multi-Scenario Modeling of Ecosystem Service Values: A Case Study of the Beijing-Tianjin-Hebei Urban Agglomeration, China" Land 13, no. 11: 1791. https://doi.org/10.3390/land13111791
APA StyleDuan, J., Shi, P., Yang, Y., & Wang, D. (2024). Spatiotemporal Change Analysis and Multi-Scenario Modeling of Ecosystem Service Values: A Case Study of the Beijing-Tianjin-Hebei Urban Agglomeration, China. Land, 13(11), 1791. https://doi.org/10.3390/land13111791

