Research on Urban and Rural Coordination Development and Its Driving Force Based on the Space-time Evolvement Taking Guangdong Province as an Example
Abstract
1. Introduction
2. Methods and Materials
2.1. Study Area
2.2. Index System of Evaluation of URCD
2.3. Data Source
2.4. Evaluation Method
2.4.1. Principal Component Analysis (PCA)
2.4.2. Exploratory Spatial Data Analysis Model (ESDA)
3. Space-time Analysis
3.1. Calculation of Urban and Rural Coordination Development Value
3.2. The Spatial Pattern of URCD
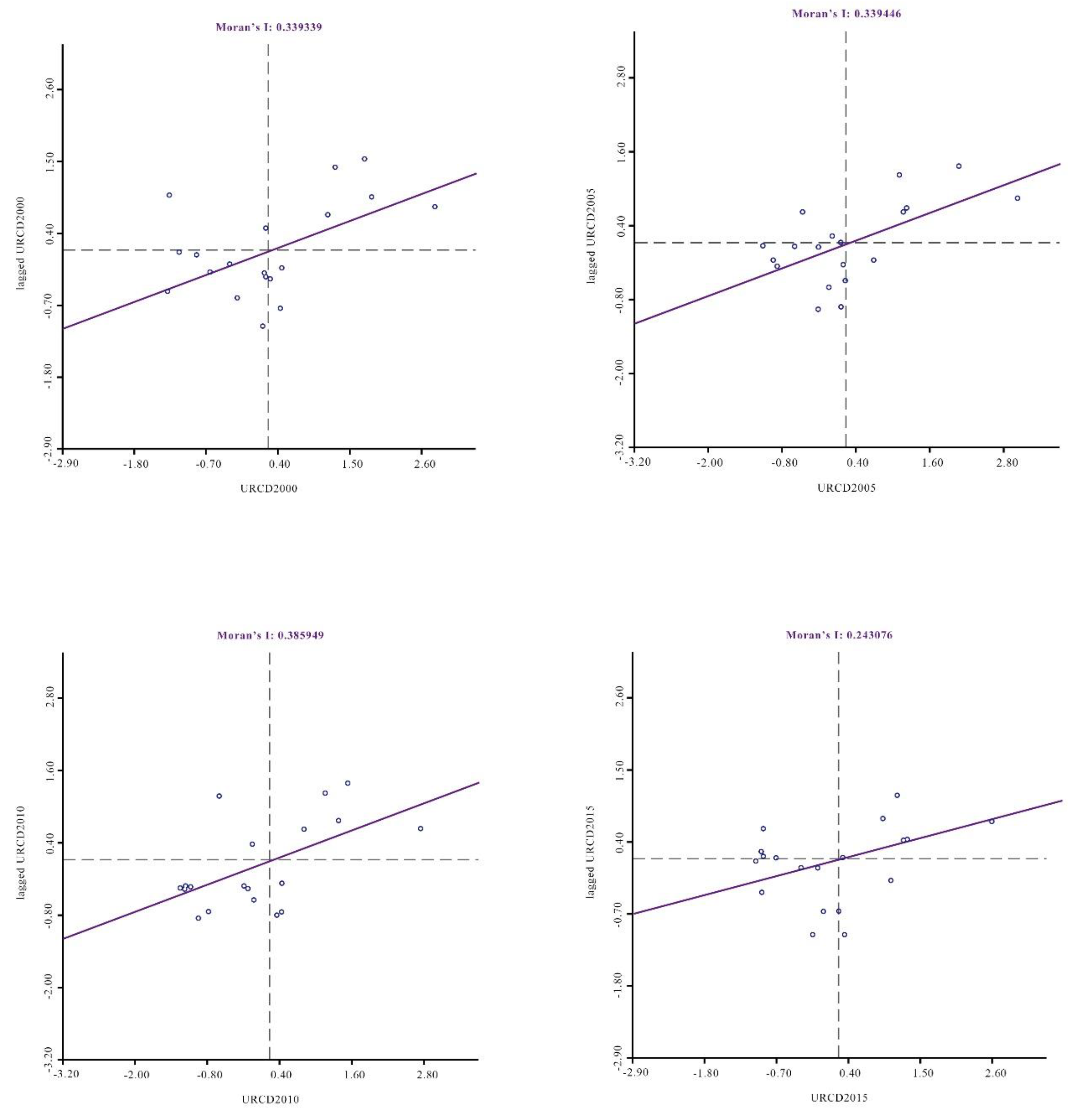
3.2.1. Spatial Autocorrelation Analysis of URCD
3.2.2. Spatial Pattern Evolution of URCD
4. Driving Forces
4.1. PCA Analysis of Dynamic Mechanism
4.2. ESDA’s Analysis of Dynamic Mechanism
4.2.1. Location Factors
4.2.2. Economic Development Level
4.2.3. Urbanization Level
5. Conclusions and Discussion
Author Contributions
Funding
Conflicts of Interest
References
- Liu, Y.; Cai, E.; Jing, Y.; Gong, J.; Wang, Z. Analyzing the decoupling between rural-to-urban migrants and urban land expansion in Hubei Province, China. Sustainability 2018, 10, 345. [Google Scholar] [CrossRef]
- Deng, X.; Gong, L.; Gao, Y.; Cui, X.; Xu, K. Internal differentiation within the rural migrant population from the sustainable urban development perspective: Evidence from China. Sustainability 2018, 10, 4839. [Google Scholar] [CrossRef]
- Ma, L.; Long, H.; Zhang, Y.; Tu, S.; Ge, D.; Tu, X. Agricultural labor changes and agricultural economic development in China and their implications for rural vitalization. J. Geogr. Sci. 2019, 29, 163–179. [Google Scholar] [CrossRef]
- Zhang, W.; Fang, C.; Zhou, L.; Zhu, J. Measuring megaregional structure in the pearl river delta by mobile phone signaling data: A complex network approach. Cities 2020, 104, 102809. [Google Scholar] [CrossRef]
- Jin, X.; Hu, G.; Ding, H.; Ye, S.; Lu, Y.; Lin, J. Evolution of spatial structure patterns of city networks in the Yangtze River economic belt from the perspective of corporate pledge linkage. Growth Change 2020, 51, 833–851. [Google Scholar] [CrossRef]
- Gao, W. Urban circle layer discussion. Urban Plan. Forum 2002, 3, 61–65. [Google Scholar]
- Ortega, A.A.C. Desakota 2.0: Worlding hybrid spaces in the global urban. Urban Geogr. 2020, 1, 1–14. [Google Scholar] [CrossRef]
- Zheng, D.; Zhang, G.; Shan, H.; Tu, Q.; Wu, H.; Li, S. Spatio-temporal evolution of urban morphology in the Yangtze River middle reaches megalopolis, China. Sustainability 2020, 12, 1738. [Google Scholar] [CrossRef]
- Samalavičius, A. Urban Development and Rhetoric of Rationality: The fate of C. A. Doxiadis’ concepts. Town Plan. Archit. 2008, 32, 28–33. [Google Scholar] [CrossRef]
- Zhu, X. Research on the realization path of urban-rural integration in China: A case study of Suzhou. Ph.D. Thesis, Suzhou University, Suzhou, China, 2014. (In Chinese). [Google Scholar]
- Zhang, R.; Jiang, G.; Zhang, Q. Does urbanization always lead to rural hollowing? Assessing the spatio-temporal variations in this relationship at the county level in China 2000–2015. J. Clean. Prod. 2019, 220, 9–22. [Google Scholar] [CrossRef]
- Wang, F.; Liu, J. Research on the Integration of Central Henan Urban Agglomeration; Science Press: Beijing, China, 2007; pp. 23–35. (In Chinese) [Google Scholar]
- Gustafsson, B.; Li, S. Economic transformation and the gender earnings gap in urban China. J. Popul. Econ. 2000, 13, 305–329. [Google Scholar] [CrossRef]
- Xie, Y.; Jiang, Q. Land arrangements for rural–Urban migrant workers in China: Findings from Jiangsu Province. Land Use Policy 2016, 50, 262–267. [Google Scholar] [CrossRef]
- Long, H.; Zou, J.; Pykett, J.; Li, Y. Analysis of rural transformation development in China since the turn of the new millennium. Appl. Geogr. 2011, 31, 1094–1105. [Google Scholar] [CrossRef]
- Chen, F.; Yu, M.; Zhu, F.; Shen, C.; Zhang, S.; Yang, Y. Rethinking rural transformation caused by comprehensive land consolidation: Insight from program of whole village restructuring in Jiangsu Province, China. Sustainability 2018, 10, 2029. [Google Scholar] [CrossRef]
- Liu, J.; Liu, Y.; Yan, M. Spatial and temporal change in urban-rural land use transformation at village scale—A case study of Xuanhua District, North China. J. Rural Stud. 2016, 47, 425–434. [Google Scholar] [CrossRef]
- Goodman, D.S.G. China’s Regional Development, 5th ed.; Royal Institute of International Affairs: London, UK, 2008. [Google Scholar]
- Zhang, L.; Rozelle, S.; Huang, J. Off-farm jobs and on-farm work in periods of boom and bust in Rural China. J. Comp. Econ. 2001, 29, 505–526. [Google Scholar] [CrossRef]
- Tilt, B. Smallholders and the household responsibility system, adapting to institutional change in Chinese agriculture. Hum. Ecol. 2008, 36, 189–199. [Google Scholar] [CrossRef]
- Lin, G.; Ho, S.P. China’s land resources and land-use change: Insights from the 1996 land survey. Land Use Policy 2003, 20, 87–107. [Google Scholar] [CrossRef]
- Guo, L.; Di, L.; Tian, Q. Detecting spatio-temporal changes of arable land and construction land in the Beijing-Tianjin corridor during 2000–2015. J. Geogr. Sci. 2019, 29, 702–718. [Google Scholar] [CrossRef]
- Fan, S.; Chan-Kang, C. Regional road development, rural and urban poverty: Evidence from China. Trans. Policy 2008, 15, 305–314. [Google Scholar] [CrossRef]
- Chen, J.; Guo, F.; Wu, Y. One decade of urban housing reform in China: Urban housing price dynamics and the role of migration and urbanization. Habitat Int. 2011, 35, 1–8. [Google Scholar] [CrossRef]
- Wang, J.; Li, Y.; Wang, Q.; Cheong, K. Urban–rural construction land replacement for more sustainable land use and regional development in China: Policies and practices. Land 2019, 8, 171. [Google Scholar] [CrossRef]
- Zhang, L.; Luo, R.; Liu, C.; Rozelle, S. Investing in rural China: Tracking China’s commitment to modernization. Chin. Econ. 2006, 39, 57–84. [Google Scholar] [CrossRef]
- He, C.; Peng, L.; Liu, S.; Xu, D.; Xue, P. Factors influencing the efficiency of rural public goods investments in mountainous areas of China—Based on micro panel data from three periods. J. Rural Stud. 2016, 47, 612–621. [Google Scholar] [CrossRef]
- Molero-Simarro, R. Inequality in China Revisited. The effect of functional distribution of income on urban top incomes, the urban-rural gap and the gini index, 1978–2015. China Econ. Rev. 2017, 42, 101–117. [Google Scholar] [CrossRef]
- Li, L.; Liu, Y. Spatial-temporal patterns and driving forces of sustainable urbanization in China since 2000. J. Urban Plan. Dev. 2019, 145, 05019014. [Google Scholar] [CrossRef]
- Li, Y.; Dacosta, M.N. Transportation and income inequality in China: 1978–2007. Trans. Res. Part A-Policy Pract. 2013, 55, 56–71. [Google Scholar] [CrossRef]
- Wang, D.; Wang, J.; Li, H.; Li, L. School context and instructional capacity: A comparative study of professional learning communities in rural and urban schools in China. Int. J. Educ. Dev. 2017, 52, 1–9. [Google Scholar] [CrossRef]
- Huang, M.; Chen, M.; Zhang, J. The linkage plan of urbanerural construction land-use: Necessity and must of urbanization and farmland protection. Modern Urban Res. 2011, 1, 61–65. [Google Scholar] [CrossRef]
- Qu, L.; Liu, Y.; Chen, Z. Spatio-temporal evolution of ecologically-sustainable land Use in China’s loess plateau and detection of its influencing factors. J. Mt. Sci. 2019, 16, 120–129. [Google Scholar] [CrossRef]
- Li, S.; Ying, Z.; Zhang, H.; Ge, G.; Liu, Q. Comprehensive assessment of urbanization coordination: A case study of Jiangxi Province, China. Chin. Geogr. Sci. 2019, 29, 128–142. [Google Scholar] [CrossRef]
- Liu, Y.; Huang, J.; Zikhali, P. The bittersweet fruits of industrialization in rural China: The cost of environment and the benefit from off-farm employment. China Econ. Rev. 2016, 38, 1–10. [Google Scholar] [CrossRef]
- Yu, A.T.W.; Wu, Y.; Shen, J.; Zhang, X.; Shen, L.; Shan, L. The key causes of urban-rural conflict in China. Habitat Int. 2015, 49, 65–73. [Google Scholar] [CrossRef]
- Xiao, D.; Niu, H.; Fan, L.; Zhao, S.; Yan, H. Farmers’ satisfaction and its influencing factors in the policy of economic compensation for cultivated land protection: A case study in Chengdu, China. Sustainability 2019, 11, 5787. [Google Scholar] [CrossRef]
- Deng, X.; Gibson, J. Improving eco-efficiency for the sustainable agricultural production: A case study in Shandong, China. Technol. Forecast. Soc. Change 2019, 144, 394–400. [Google Scholar] [CrossRef]
- Wang, M.; Gong, H. Imbalanced development and economic burden for urban and rural wastewater treatment in China—Discharge limit legislation. Sustainability 2018, 10, 2597. [Google Scholar] [CrossRef]
- Chen, C.; Legates, R.; Fang, C. From coordinated to integrated urban and rural development in China’s megacity regions. J. Urban Aff. 2018, 41, 1–20. [Google Scholar] [CrossRef]
- Wen, F.; Wang, X. Quality development of urban-rural integration in the new era: Scientific connotation, theoretical basis and promotion path. Expand. Horiz. 2020, 3, 39–44. (In Chinese) [Google Scholar]
- Wang, R.; Tan, R. Rural renewal of china in the context of rural-urban integration: Governance fit and performance differences. Sustainability 2018, 10, 393. [Google Scholar] [CrossRef]
- Guo, R.; Bai, Y. Simulation of an urban-rural spatial structure on the basis of green infrastructure assessment: The case of Harbin, China. Land 2019, 8, 196. [Google Scholar] [CrossRef]
- Cullingworth, J.B.; Nadin, V. Town and Country Planning in the UK; Routledge: London, UK, 2001. [Google Scholar]
- Dou, W.; Wang, C.; Jiang, X.; Liu, Y. Research on the urban-rural integration development level of Shandong Province from the perspective of rural revitalization. J. Nat. Sci. Hunan Normal Univ. 2019, 42, 1–8. [Google Scholar]
- Chen, A.; Gao, J. Urbanization in China and the coordinated development model—The case of Chengdu. Soc. Sci. J. 2011, 48, 500–513. [Google Scholar] [CrossRef]
- Gross, C.; Ritzinger, A.; Magel, H. Searching for the village of tomorrow scenarios on the functionality of bavarian villages in 2020. DISP 2011, 47, 44–55. [Google Scholar] [CrossRef]
- Xu, X.; Liu, J.; Xu, N.; Wang, W.; Yang, H. Quantitative study on the evolution trend and driving factors of typical rural spatial morphology in southern Jiangsu Province, China. Sustainability 2018, 10, 2392. [Google Scholar] [CrossRef]
- Han, J.; Hayashi, Y.; Cao, X.; Imura, H. Application of an integrated system dynamics and cellular automata model for urban growth assessment: A case study of Shanghai, China. Landsc. Urban Plan. 2009, 91, 133–141. [Google Scholar] [CrossRef]
- White, R.; Engelen, G. High-resolution integrated modelling of the spatial dynamics of urban and regional systems. Comput. Environ. Urban Syst. 2000, 24, 383–400. [Google Scholar] [CrossRef]
- Shen, Q.; Chen, Q.; Tang, B.; Yeung, S.; Hu, Y.; Cheung, G. A system dynamics model for the sustainable land use planning and development. Habitat Int. 2009, 33, 15–25. [Google Scholar] [CrossRef]
- Wang, Y.; Liu, Y.; Yan, B. Spatial patterns and influencing factors of urban-rural coordinated development in China. Sci. Geogr. Sin. 2016, 36, 20–28. [Google Scholar]
- Liu, Y.; Lu, S.; Chen, Y. Spatio-temporal change of urban–rural equalized development patterns in China and its driving factors. J. Rural Stud. 2013, 32, 320–330. [Google Scholar] [CrossRef]
- Wang, Y.; Liu, Y.; Li, Y.; Li, T. The spatio-temporal patterns of urban–rural development transformation in China since 1990. Habitat Int. 2016, 53, 178–187. [Google Scholar] [CrossRef]
- Zeng, F.; Wu, X. Dynamic evaluation of urban-rural coordination development: Evidence from Hunan Province. J. Agrotech. Econ. 2011, 1, 86–92. (In Chinese) [Google Scholar]
- Lv, D.; Wang, W. A study on the relationship between urban-rural integration and economic development. China Soft Sci. 2018, 5, 179–192. [Google Scholar]
- Wu, X.; Cui, P. A study of the time-space evolution characteristics of urban-rural integration development in a mountainous area based on ESDA-GIS: The case of the Qinling-Daba Mountains in China. Sustainability 2016, 8, 1085. [Google Scholar] [CrossRef]
- Anselin, L.; Sridharan, S.; Gholston, S. Using exploratory spatial data analysis to leverage social indicator databases: The discovery of interesting patterns. Soc. Indic. Res. 2007, 82, 287–309. [Google Scholar] [CrossRef]
- Li, Z.; Deng, X.; Jin, G.; Mohmmed, A.; Arowolo, A.O. Tradeoffs between agricultural production and ecosystem services: A case study in Zhangye, Northwest China. Sci. Total Environ. 2020, 707, 136032. [Google Scholar] [CrossRef]
- Bai, Y.; Deng, X.; Jiang, S.; Zhang, Q.; Wang, Z. Exploring the relationship between urbanization and urban eco-efficiency: Evidence from prefecture-level cities in China. J. Clean. Prod. 2018, 195, 1487–1496. [Google Scholar] [CrossRef]



| Dimension | Code | Criteria Layer | Index Layer | Index Description |
|---|---|---|---|---|
| Urban and rural coordination | X1 | Economic development | Urban and rural GDP growth rate | Rural GDP growth rate/urban GDP growth rate |
| X2 | Economic level | Per capita GDP difference between urban and rural areas | Rural per capita GDP/urban per capita GDP | |
| X3 | Employment | Wages of urban and rural workers | Wages of rural workers/wages urban employees | |
| X4 | Finance | Fixed assets investment in urban and rural areas | Annual fixed assets investment in rural areas/total fixed assets investment in urban areas | |
| X5 | Consumption | Ratio of total retail sales of urban and rural consumer goods | Total retail sales of rural consumer goods/total retail sales of urban consumer goods | |
| Urban and rural development | X6 | Industrial structure | Proportion of secondary and tertiary industries in GDP | Proportion of the second and third industries in GDP/proportion of the first industry in GDP |
| X7 | Education | Education development | Number of primary and secondary school teachers/number of primary and secondary school students | |
| X8 | Medical care | Medical development | Number of registered population/total number of beds in medical institutions | |
| X9 | Income | Income level | Per capita disposable income of urban and rural residents | |
| X10 | Gross domestic product | GDP per capita | Total GDP/registered population |
| City | URCD2000 | R2000 | URCD2005 | R2005 | URCD2010 | R2010 | URCD2015 | R2015 |
|---|---|---|---|---|---|---|---|---|
| Guangzhou | 2.188209 | 1 | 2.796114 | 1 | 3.356114 | 1 | 3.367042 | 1 |
| Shantou | −0.45955 | 11 | 0.642476 | 6 | −0.38468 | 12 | 1.539906 | 6 |
| Shaoguan | −0.67 | 12 | −0.50285 | 14 | 0.416348 | 7 | 0.748408 | 7 |
| Heyuan | −1.53152 | 17 | −1.14873 | 19 | −1.1494 | 19 | −0.68652 | 19 |
| Meizhou | −0.40861 | 10 | 0.020499 | 8 | −1.08687 | 18 | 0.338684 | 10 |
| Huizhou | 0.474098 | 5 | 0.852017 | 5 | 0.912321 | 5 | 1.93896 | 4 |
| Shanwei | −1.15445 | 15 | −0.72308 | 15 | −0.83503 | 14 | −0.55906 | 15 |
| Jiangmen | −0.37014 | 9 | −0.28181 | 12 | −0.25903 | 10 | −0.6134 | 18 |
| Yangjiang | −0.26453 | 8 | 0.058359 | 7 | −0.10545 | 9 | 0.32017 | 11 |
| Zhanjiang | −1.8031 | 19 | −0.93658 | 16 | −1.04276 | 17 | −0.30388 | 14 |
| Maoming | −0.94823 | 13 | −0.21946 | 11 | −0.82919 | 13 | 0.64334 | 9 |
| Zhaoqing | −0.05856 | 6 | −0.02038 | 10 | 0.320112 | 8 | 0.087447 | 12 |
| Qingyuan | −1.76427 | 18 | −1.00435 | 18 | −0.97517 | 15 | −0.58672 | 16 |
| Chaozhou | −0.16155 | 7 | −0.00039 | 9 | 0.445322 | 6 | 0.707473 | 8 |
| Jieyang | −0.98553 | 14 | −0.41173 | 13 | −0.28897 | 11 | 0.080667 | 13 |
| Yunfu | −1.25563 | 16 | −0.97626 | 17 | −1.006 | 16 | −0.59381 | 17 |
| Dongguan | 1.18513 | 3 | 1.798908 | 2 | 1.763404 | 2 | 1.983778 | 3 |
| Zhuhai | 1.235027 | 2 | 0.946271 | 3 | 1.612011 | 3 | 2.006001 | 2 |
| Zhongshan | 0.561929 | 4 | 0.871182 | 4 | 1.265679 | 4 | 1.676193 | 5 |
| 2000 | 2005 | 2010 | 2015 | |
|---|---|---|---|---|
| X1 | 3.125655 | 1.225193 | 1.569287 | −0.4636 |
| X3 | 2.926213 | 1.93806 | 2.088529 | −1.11756 |
| X4 | 2.617476 | −1.39773 | −1.1831 | 4.414266 |
| X5 | 2.839276 | −1.65386 | −1.37933 | 4.173691 |
| X6 | −1.27066 | −1.20417 | −1.012 | 1.475609 |
| X7 | 0.317856 | 3.281205 | 2.958248 | 2.111217 |
| X8 | 0.866319 | −1.66349 | −1.32669 | −2.07601 |
| X9 | −0.16695 | 2.845591 | 2.587321 | 1.335861 |
| X10 | 0.857734 | 1.793903 | 1.413026 | −0.9013 |
© 2020 by the authors. Licensee MDPI, Basel, Switzerland. This article is an open access article distributed under the terms and conditions of the Creative Commons Attribution (CC BY) license (http://creativecommons.org/licenses/by/4.0/).
Share and Cite
Tang, D.; Li, B.; Qiu, Y.; Zhao, L. Research on Urban and Rural Coordination Development and Its Driving Force Based on the Space-time Evolvement Taking Guangdong Province as an Example. Land 2020, 9, 253. https://doi.org/10.3390/land9080253
Tang D, Li B, Qiu Y, Zhao L. Research on Urban and Rural Coordination Development and Its Driving Force Based on the Space-time Evolvement Taking Guangdong Province as an Example. Land. 2020; 9(8):253. https://doi.org/10.3390/land9080253
Chicago/Turabian StyleTang, Daizhong, Baorui Li, Yuan Qiu, and Linlin Zhao. 2020. "Research on Urban and Rural Coordination Development and Its Driving Force Based on the Space-time Evolvement Taking Guangdong Province as an Example" Land 9, no. 8: 253. https://doi.org/10.3390/land9080253
APA StyleTang, D., Li, B., Qiu, Y., & Zhao, L. (2020). Research on Urban and Rural Coordination Development and Its Driving Force Based on the Space-time Evolvement Taking Guangdong Province as an Example. Land, 9(8), 253. https://doi.org/10.3390/land9080253
