1. Introduction
Land use functionality refers to the capacity of land resources to provide a wide range of tangible and intangible products and services essential for human survival and development [
1], and it plays a vital role in promoting the achievement of the sustainable development goals (SDGs) [
2,
3]. In recent years, land use models, primarily driven by economic growth, have resulted in structural imbalances and inefficiencies in land use functionality [
4]. Against this backdrop, key practical issues in national spatial planning include how to coordinate the development of spatial structure and its associated functions, how to allocate resources more rationally and optimize spatial development patterns based on land use functionality, and how to reconstruct the national systems for spatial development, protection, and planning. In line with the multidimensional nature of sustainable development, land use functions are typically categorized into economic, social, and environmental functions, or, alternatively, into production, living, and ecological functions [
5,
6]. Understanding the interrelationships and mechanisms of interaction among land use functions is essential for the effective realization of the SDGs [
7].
The diversity of human land use practices has led to various types of interactions among land use functions, which typically manifest as either trade-offs or synergies [
8]. Generally, synergy refers to a positive interactive state in which different functions reinforce each other and improve simultaneously, indicating a trend of co-increase or co-decrease [
9]. This reflects the coordination and orderly development of land use functions through functional integration and optimization. In contrast, trade-offs represent the opposite of synergies: enhancing one function may come at the expense of another, resulting in conflicts or competition among functions. Such trade-offs can easily lead to imbalances in the overall performance of land use functions and hinder the maximization of land resource efficiency [
10], thereby directly affecting regional sustainability. Under the simultaneous advancement of urbanization and ecological development, land use functions are increasingly characterized by coupled interactions involving mutual promotion and restriction. These interactions are inherently nonlinear and vary significantly across different regions [
11]. Therefore, clarifying the evolutionary patterns of trade-offs and synergies among land use functions, and exploring their underlying nonlinear interaction mechanisms, is essential for the refined management of land resources [
4,
12].
Methods such as correlation analysis [
13,
14], coupling coordination models [
15,
16,
17], mechanical equilibrium models [
18,
19,
20], niche breadth models [
21], root mean square deviation (RMSD) models [
7,
22], and geographically weighted regression (GWR) models [
23] have been commonly employed in previous studies to investigate interactions among land use functions. Among these, correlation analysis, mechanical equilibrium models, and niche breadth models have primarily focused on describing overall trade-off and synergy relationships at the regional level. However, these approaches are often inadequate for capturing the spatial heterogeneity and nonlinear characteristics of land use functions at finer spatial scales. Although GWR is more suitable for analyzing land use functions at the city or county level, it tends to be sensitive to sample noise and bandwidth parameter settings when applied to high-density grid scales, such as those found in urban agglomerations, which can result in unstable regression outcomes and reduced spatial explanatory power. The root mean square deviation (RMSD) method is a classical approach for quantifying the discrepancy between simulated and observed values. It has proven to be effective in characterizing the trade-off and synergy relationships among multiple land use functions [
24]. When applied to the analysis of land use function trade-offs and synergies at the grid scale within urban agglomerations, the RMSD method provides a robust means by which to capture the spatial heterogeneity of these interactions.
The dynamics of relationships among land use functions are influenced by natural, economic, social, and policy-related factors, and the balanced development of these functions is essential for the high-quality evolution of land use systems [
25]. Understanding the ways in which these factors affect functional relationships is critical to promoting the orderly development and utilization of land resources [
26], and exploring the underlying mechanisms that drive changes in these relationships is of great importance [
27]. Current studies examining the driving mechanisms behind interactions among land use functions have often adopted methods such as geographical detectors [
28], principal component analysis [
29], obstacle degree models [
17], and spatial lag models [
30]. However, these approaches are generally incapable of capturing nonlinear interactions, threshold effects, and the spatial distribution patterns of influencing factors related to trade-offs and synergies among land use functions. With the advancement of machine learning, several traditional limitations have been addressed through the integration of more sophisticated models [
23,
31]. Among these, models combining Shapley additive explanations (SHAP) with XGBoost have demonstrated strong potential for effectively and intuitively revealing complex interactions among land use functions. Extreme gradient boosting (XGBoost), a decision-tree-based ensemble learning algorithm, is designed to build and refine a series of weak learners to form a robust predictive model [
32]. In contrast with traditional linear regression methods, XGBoost provides significant advantages in handling nonlinear relationships, capturing intricate variable interactions, and processing high-dimensional datasets [
33], thereby making it particularly suitable for uncovering the complex nonlinear mechanisms underlying trade-offs and synergies in land use functions. Additionally, the SHAP method enables the quantification of each driving factor’s marginal contribution and the identification of key thresholds, thereby enhancing the interpretability of the model [
34].
As a representative plateau–mountain urban agglomeration, the Central Yunnan Urban Agglomeration (CYUA) also serves as a major population and industrial hub in Yunnan Province. This region is characterized by high population density, intensive land development, concentrated cropland distribution, and fragile ecological conditions, thereby forming a typical mountain–basin transitional zone with distinct geographical features [
35]. Due to the constraints imposed by complex terrain, the available basin land suitable for human habitation and development is limited, leading to pronounced land–human conflicts. This often results in spatial competition among various production–living–ecological functions, thereby causing imbalances in these functions. In response to these challenges, this study focuses on the CYUA and employs an integrated modeling framework to analyze the trade-offs and synergies among land use functions at the grid scale. Specifically, the root mean square deviation (RMSD) model is used to quantify trade-off and synergy relationships, while Pearson correlation analysis is applied to investigate overall interaction patterns and their temporal evolution. Furthermore, the XGBoost–SHAP model, the optimized parameter geographic detector (OPGD), and the geographically weighted regression (GWR) model are incorporated to identify the driving mechanisms underlying land use function trade-offs and synergies. The specific objectives of this study are as follows:
- (1)
To construct a classification and quantitative evaluation system for land use functions at the grid level, and to assess these functions for the years 2010, 2015, and 2020.
- (2)
To evaluate the overall trade-off and synergy relationships among land use functions using Pearson correlation analysis, and to employ the RMSD model to quantify their spatiotemporal evolution at the grid scale.
- (3)
To utilize the interpretable machine learning model XGBoost–SHAP to explore the nonlinear driving mechanisms of trade-offs and synergies under a “natural–social–economic” analytical framework. This includes identifying the importance, direction, type, and threshold effects of influencing factors, and applying the OPGD model to evaluate the interaction strength among these factors.
- (4)
To apply the GWR model to further analyze the spatial heterogeneity in the effects of key driving factors on land use function trade-offs and synergies.
2. Materials and Methods
2.1. Study Area
The Central Yunnan Urban Agglomeration (CYUA) is situated in the central region of Yunnan Province, spanning from 100°43′ to 104°49′ E and 23°01′ to 27°04′ N, and covering approximately 111,400 km
2 of land area. The terrain generally slopes from northwest to southeast (as shown in
Figure 1), with elevations ranging from 116 m to 4282 m, leading to substantial vertical relief. As a typical plateau mountainous urban agglomeration characterized by a combination of mountainous and basin terrains and a fragile ecological environment, CYUA is among the most topographically constrained and environmentally sensitive urban clusters in western China.
The region is dominated by a low-latitude plateau monsoon climate, characterized by mild and humid conditions. The urban agglomeration encompasses the cities of Kunming, Qujing, and Yuxi, the Chuxiong Yi Autonomous Prefecture, and seven counties or cities in the northern part of the Honghe Hani and Yi Autonomous Prefecture, totaling 49 counties, cities, and districts. As one of China’s 19 national-level urban agglomerations, CYUA is the most densely populated, economically developed, and infrastructure-intensive regions within Yunnan Province.
In recent years, rapid urbanization in CYUA has intensified the conflicts between accelerated population growth and the limitations imposed by natural resources and environmental carrying capacity. The fast-paced economic and social development has exerted considerable pressure on regional resources and ecological systems, exacerbating the spatial competition and functional imbalances among different land use functions.
2.2. Data Sources
This study utilized data on land use, meteorological conditions, socio-economic indicators, soil properties, road networks, and net primary productivity (NPP), and which were obtained from a digital elevation model (DEM) and normalized difference vegetation index (NDVI). The detailed sources of these datasets are provided in
Table 1.
For non-spatial variables, such as the output of secondary and tertiary industries, population, and forest product yield, spatialization was conducted through grid-based interpolation. All spatial datasets were preprocessed using ArcGIS 10.2 (Esri, Redlands, CA, USA), including projection conversion, clipping, and mask extraction. The data were standardized based on the 2020 administrative boundaries and projected to a unified coordinate system (WGS_1984_UTM_Zone_48N).
Given the spatial extent of the study area and the spatial resolution, a spatial resolution of 2 km × 2 km was adopted, resulting in 29,696 grid cells, which served as the basic units for spatial analysis.
2.3. Research Methods
The technical workflow designed for this study is shown in
Figure 2:
2.3.1. Quantification of Land Use Functions
In 2017, China’s National Territorial Spatial Planning Outline (2016–2020) classified national territorial space into three categories: agricultural space, urban space, and ecological space, with each category assuming distinct functions and uses [
30]. Due to differences in development goals and human activities, these three spatial categories correspond to production function, living function, and ecological function, respectively. Considering the regional characteristics and development stage of the Central Yunnan Urban Agglomeration, this study classifies land use functions into production function (PF), living function (LF), and ecological function (EF). Among these, the production function (PF) refers to the capacity to obtain essential products and services necessary for human life and development through agricultural production activities; the living function (LF) refers to the capacity of land to provide products and services for human habitation, development, and a high-quality life; and the ecological function (EF) refers to the capacity of the land use system to provide ecological products and maintain ecological security [
36]. This study designates grain production and forestry production as sub-functions of production function (PF); residential carrying capacity and economic support as sub-functions of living function (LF); and four ecosystem services—water regulation, climate regulation, biodiversity, and soil conservation—are selected to represent ecological functions [
37,
38,
39]. These are quantified using indicators of water yield, carbon storage, habitat quality, and soil retention, respectively. All four ecosystem service functions were calculated using the InVEST 3.14.0 software (Natural Capital Project, Stanford University, Stanford, CA, USA), with relevant parameter values determined based on the InVEST 3.14.0 User Guide and related studies [
40,
41,
42]. Specific indicators and quantification methods are detailed in
Table 2.
To eliminate the effects of differing units, all indicators were first normalized. Equal weights were assigned to the sub-functions of PF and LF, while the weights for EF sub-functions were determined using the entropy weight method. A weighted aggregation model was then used to calculate the functional values of PF, LF, and EF. Based on this approach, the land use function values for 2 km × 2 km grid cells in the Central Yunnan Urban Agglomeration were calculated for the years 2010, 2015, and 2020.
Hotspot analysis was employed to reveal spatial heterogeneity in land use functions. The hotspot analysis was performed using ArcGIS 10.2 (version 10.2, Esri, Redlands, CA, USA). The Getis-Ord Gi * statistic is a spatial clustering test used to identify local concentrations of high values (hotspots) or low values (cold spots). When the attribute values of a grid cell and its neighbors are significantly higher or lower than the global average, and the Gi* statistic passes a significance test (i.e., the Z-score is significantly positive or negative), the area can be identified as a hotspot or cold spot region [
19].
2.3.2. Methods for Identifying Trade-Offs and Synergies in Land Use Functions
Determination of Overall Trade-Offs and Synergies
Correlation analysis is widely used to reveal the relationships among land use functions [
43]. In this study, the Pearson correlation analysis method is employed to measure the trade-off and synergy relationships among different land use function (LUF) systems from 2010 to 2020. The formula is as follows:
where
r is the Pearson correlation coefficient between two land use functions,
n is the sample size,
x and
y represent the two different land use functions, and
and
are their respective means. At a 1% or 10% significance level, a positive correlation coefficient indicates a synergistic relationship, while a negative coefficient suggests a trade-off relationship. The closer the value is to 1 or −1, the stronger the synergy or trade-off. When the value is close to 0, it indicates no significant relationship between the two functions [
44].
Root Mean Square Deviation (RMSD) Model
While Pearson correlation analysis provides an overall assessment of the trade-offs and synergies among land use functions within a given region, it is limited in its ability to capture spatial heterogeneity [
45]. To address this limitation, this study employs the root mean square deviation (RMSD) model to characterize the spatial distribution of trade-offs and synergies at the grid level.
RMSD is a classical method for measuring the deviation between two sets of values, commonly used to assess the difference between simulated and observed data [
7]. In the context of LUF trade-off and synergy analysis, the RMSD model can be used to quantify the intensity of trade-offs or synergies between two different land use functions at the grid scale. The formula is as follows:
where
RMSD is the root mean square deviation value,
is the value of the
i-th land use function index,
is the expected (mean) value of the
i-th land use function index, and
n is the number of land use function indices.
As shown in
Figure 3, in a two-dimensional space, the degree of trade-off between two land use functions (LUFs) is represented by the distance from the 1:1 bisector line. A larger RMSD value indicates a higher degree of trade-off, while a smaller RMSD value suggests a lower degree of trade-off. The position of the scatter points relative to the 1:1 line also reflects which LUF is dominant under given conditions [
7]. For example, the horizontal and vertical coordinates of points A, B, and C represent the normalized values of the two indicators being compared. The trade-off degree at point B is greater than that at point C. Points A and B have similar trade-off degrees, but point A is more favorable to LUF-B, while point B is more favorable to LUF-A (
Figure 3).
2.3.3. Analysis of the Driving Mechanisms Behind LUFs Trade-Offs and Synergies
Selection of Influencing Factors
Changes in land use functions, and thus the resulting trade-offs and synergies between them, are jointly influenced by the region’s natural background, socio-economic development, and locational characteristics. Based on previous studies [
23,
46], and taking into account both scientific validity and data availability, this study selects ten potential driving factors (
Table 3). These factors are categorized into four main groups: natural factors, geographical location, socio-economic factors, and landscape patterns. All influencing factors are based on data from the year 2020, and the spatial resolution is a grid unit of 2 km × 2 km.
XGBoost–SHAP
Extreme gradient boosting (XGBoost) is a tree-based ensemble learning algorithm built upon the gradient boosting framework [
32]. It achieves efficient objective function optimization through second-order Taylor expansion and regularization terms. Its built-in mechanisms for handling sparse and missing data enhance its robustness, particularly in large-scale, high-dimensional, and incomplete datasets. In addition, XGBoost’s sequential tree fitting strategy and node-splitting based on gain evaluation help mitigate the issue of multicollinearity among features. Moreover, XGBoost provides a natural mechanism for ranking feature importance, making it particularly suitable for identifying key driving factors in complex processes [
47]. Its objective function is formulated as follows:
where
yi denotes the true value of the
i-th sample,
denotes the predicted value of sample
i in the (
t − 1)-th iteration, and
represents the prediction increment for sample
i from the newly added
t-th regression tree.
is the regularization term, and
C is a constant term independent of the current model.
To enhance model interpretability, Shapley additive explanation (SHAP) attributes the prediction of each instance to its input features from a game-theoretic perspective [
33]. It has been integrated into XGBoost through the consistent tree SHAP algorithm, providing consistent and locally accurate measures of feature importance. By plotting the Shapley value of each feature against the target variable across all samples, one can clearly observe both the direction (positive/negative) and the nonlinear nature of each influencing factor. This visualization not only helps clarify whether each feature has a positive or negative impact (Shapley values greater than 0 indicate a positive contribution to the trade-off effect, while values less than 0 indicate a positive contribution to the synergy effect) but also reveals potential nonlinear relationships and threshold effects among features. SHAP values can be interpreted as follows:
Here, N represents the set of all features, S denotes any subset of features that does not contain feature i, and S represents the contribution of subset S to the prediction. The key parameter settings are as follows: learning rate = 0.1, n estimators = 300, and max depth = 5.
In this study, the interaction relationships between land use functions in each grid cell are treated as binary variables (trade-off = 1, synergy = 0). The RMSD values were classified using the natural breaks method, dividing the RMSD values into five categories from low to high. After multiple attempts and accuracy comparisons, the top two categories were defined as trade-offs, while the remaining three categories were considered synergies. The 2020 land use function trade-off and synergy intensity was taken as the dependent variable, and influencing factors were taken as independent variables to construct the basic dataset. The dataset was split into training and testing sets at a 7:3 ratio for model training and validation. All models were built using Python (version 3.11) within the scikit-learn framework and hyperparameter tuning was performed via GridSearchCV. Three accuracy metrics—RMSE, ACC, and AUC—were used to evaluate model performance. A lower RMSE value and higher ACC and AUC values indicate better model performance.
Optimal Parameters-Based Geographical Detector
Traditional geographical detector methods face challenges in selecting the combination of discretization methods and classification levels during the discretization of continuous variables. This reliance on subjective experience often leads to biased model results [
48]. To address this, the present study introduces a parameter-adaptive optimized geographical detector model. Based on a multi-objective decision mechanism, it integrates supervised discretization methods to construct a global search algorithm over the parameter space. Utilizing the GD package in R, it selects and executes the optimal discretization method for independent variables, and chooses the best parameter combination according to the principle of maximizing the
q-value [
49]. Its mathematical expression is as follows:
Here,
q denotes the explanatory power of an influencing factor on the trade-off and synergy of land use functions, with values ranging from 0 to 1. A
q value closer to 1 indicates stronger explanatory power of the factor for land use function interactions [
46]. The symbol
h = 1,2, …,
L represents the number of categories (or strata) of the influencing factor.
Nh and
N refer to the number of samples in category h and the total number of samples, respectively. L is the total number of subregions.
and
represent the spatial variance of category
h and the entire region, respectively, reflecting spatial heterogeneity within each category and across the whole area.
This study applies the parameter-optimized geographical detector model to analyze the interactive effects of the driving factors behind the trade-offs and synergies of land use functions in the Central Yunnan Urban Agglomeration.
GWR Model
The geographically weighted regression (GWR) model accounts for the spatial heterogeneity of influencing factors, allowing it to capture the non-stationarity of parameters across different spatial regions. As a result, the relationships between variables can vary with geographic location. Moreover, the model emphasizes local effects of spatial objects, thereby enhancing the accuracy and objectivity of the results [
50]. This model can be used to examine how the impact of various influencing factors on the trade-offs and synergies among different land use functions varies across different spatial locations. The model is expressed as follows:
where
is the dependent variable,
represents the intercept term, and
is the coefficient of the
n th in dependent variable of unit
i.
indicates the spatial coordinates of location
i,
represents the coefficient of the nth explanatory variable at location, and
is the random error term. In this study, the GWR module of MGWR 2.2.1 software was used for computation. The bandwidth was selected based on the corrected Akaike information criterion (AICc) by searching the AICc values corresponding to different bandwidths. The bandwidth that minimized the AICc was chosen as the optimal one to ensure the best balance between local fitting accuracy and model complexity.
3. Results
3.1. Spatiotemporal Evolution Characteristics of Different Land Use Functions (LUFs)
The resulting distribution patterns clearly reflect the spatial heterogeneity across the different LUFs (
Figure 4).
Among the three functions, the hotspots of the production function (PF) and living function (LF) were relatively concentrated. PF hotspots were primarily located in the eastern counties of Kunming and most areas of Qujing, which are characterized by flat terrain, a mild climate, and high agricultural productivity, making them key grain-producing regions in Yunnan Province. From 2010 to 2020, PF hotspots in eastern Kunming gradually diminished, with the PF centroid exhibiting a consistent eastward shift. This pattern corresponded with a significant expansion of construction land in Kunming and a concurrent decline in cultivated land.
The living function (LF) did not exhibit any cold spot areas. Its hotspots were mainly distributed in central urban areas and county seats. From 2010 to 2020, the number of LF hotspots continued to increase, reflecting ongoing infrastructure development and urban expansion. This trend was particularly evident in Kunming, the provincial capital, which experienced southward and westward growth, indicating increasing integration of the urban core and its surrounding peripheries.
The ecological function (EF) exhibited a spatial pattern of “extensive dispersion and localized concentration.” High-value EF areas were predominantly located in the western, southwestern, and eastern parts of the study area, while central areas showed only sporadic distribution. These areas are mostly mountainous regions with sparse populations and minimal ecological disturbance. Between 2010 and 2020, the EF in the eastern and northern regions improved significantly, whereas EF hotspots in the southwestern part of the Central Yunnan Urban Agglomeration showed a noticeable decline.
3.2. Spatiotemporal Patterns of Trade-Offs and Synergies Among Land Use Functions
3.2.1. Spatiotemporal Evolution of Overall Trade-Offs and Synergies Among Land Use Functions
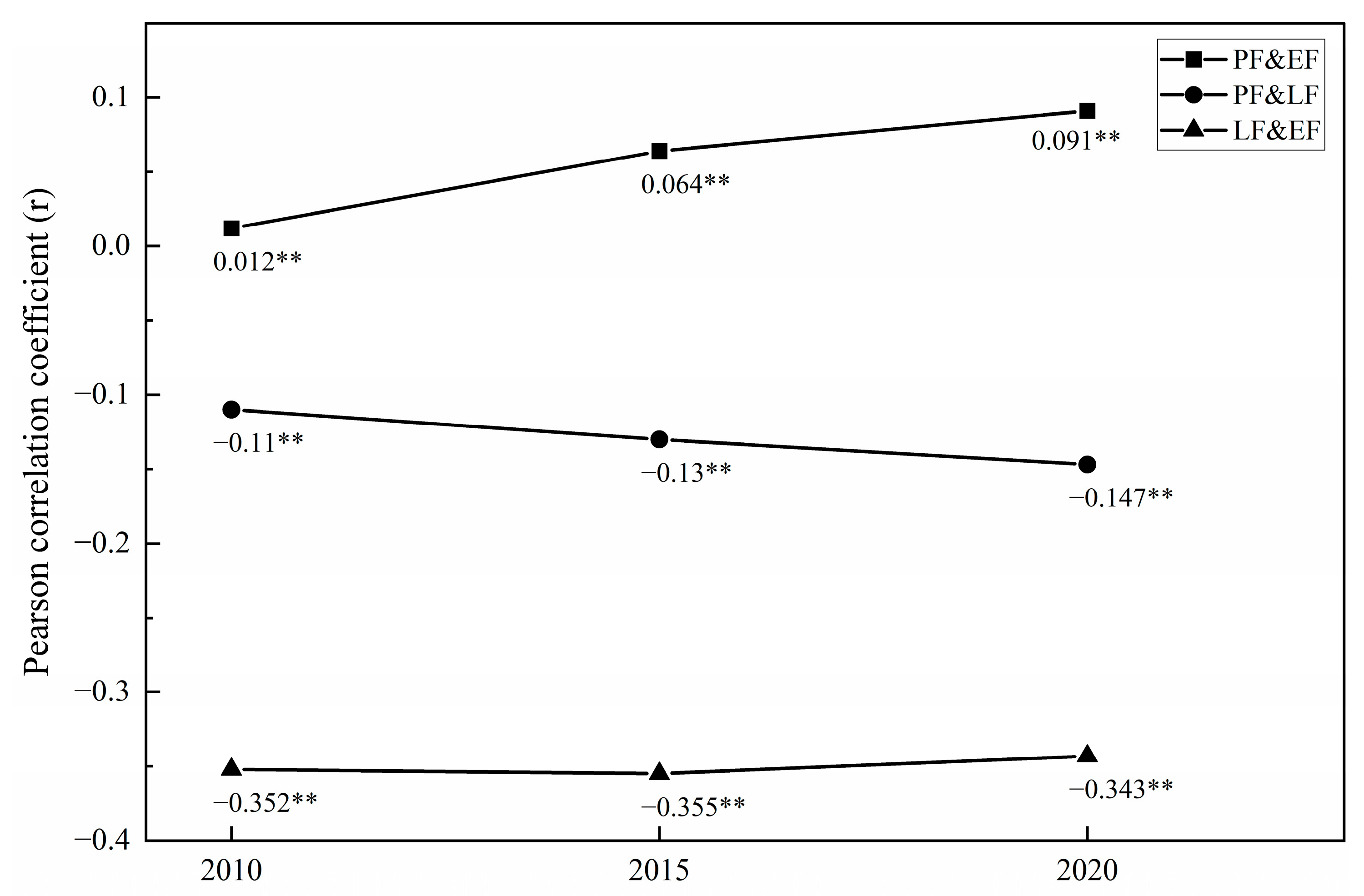
The analysis revealed that all correlation coefficients among land use functions (LUFs) were statistically significant (
p < 0.01). Trade-off relationships existed between production and living functions (negative r values), as well as between living and ecological functions, while no significant correlation was observed between production and ecological functions (
Figure 5). Among these, the trade-off between living and ecological functions was the most pronounced. From 2010 to 2020, the intensity of this trade-off initially increased and then declined. The observed decrease in trade-off intensity suggests that, during this period, socio-economic development, the growing public awareness of ecological civilization, and the implementation of relevant policies collectively alleviated the adverse impacts of living space expansion on the natural environment.
Conversely, the trade-off intensity between production and living functions steadily increased over the same decade, with the correlation coefficient (r) decreasing from –0.11 to –0.147. This trend likely reflects the accelerated urbanization in the Central Yunnan Urban Agglomeration, where the expansion of human activity zones encroached upon arable land, thereby intensifying the conflict between production and living functions.
3.2.2. Trade-Off and Synergy Intensity of Land Use Functions at the Grid Level
The spatial distribution and changes in RMSD values between different land use functions (
Figure 6) reveal significant disparities in the trade-off and synergy intensities. Spatially, PF&EF synergy zones are primarily located at the interfaces between productive and ecological spaces on the urban periphery, particularly in the central and southern parts of the urban agglomeration. These areas are characterized by eco-friendly agricultural and forestry production, such as mountain agriculture in Huize County, terraced farming in Mengzi City, and the economic forest industry in Chuxiong Prefecture. In contrast, PF&EF high trade-off zones are mainly concentrated in central urban areas, suburban zones, and major grain-producing regions (e.g., eastern Kunming and western Qujing plains). Central urban areas often exhibit strong ecological function but weak production function, leading to trade-off conditions. Grain production zones exhibit high production function and low ecological function, exemplified by the farming areas around Dianchi Lake and eastern grain belts in Kunming, core grain-producing zones in Luliang and Qilin Districts of Qujing, and some lakeside agricultural areas in Yuxi. These areas, mostly flatlands, experience substantial ecological space encroachment by farmland, resulting in pronounced PF&EF trade-offs.
Over time, these high trade-off regions have gradually expanded, especially in Kunming and Qujing. Scatter plots reveal that, between 2010 and 2020, PF&EF values moved closer to the 1:1 line, indicating a general reduction in trade-off intensity and an enhancement in synergy during this period. This improvement is largely attributed to the implementation of policies such as “Grain for Green,” afforestation, and urban relocation to higher elevations, which collectively alleviated production–ecological trade-offs. Rapid urban expansion has triggered a significant loss, fragmentation, functional transformation, and marginalization of arable land, posing a potential threat to the sustainability of agricultural production [
51]. Furthermore, extensive urban–rural development and intensive human activities have adversely impacted regional climate, soil quality, and biodiversity [
52], intensifying trade-offs between production–living and living–ecological functions.
PF&LF high trade-off areas are primarily located in the central urban zones of various counties and districts, while peri-urban rural zones—where residential areas and farmland are interspersed—exhibit synergistic relationships. Trade-offs in PF&LF functions are more prevalent in the eastern part of the agglomeration, particularly in Luliang, Qilin, Xuanwei, and Fuyuan in Qujing, where extensive contiguous farmland exists with sparse residential areas. In contrast, the western part of the agglomeration, characterized by mountainous farming and fragmented arable land amid dispersed human activities, tends to show a low-production–low-living pattern, resulting in relatively high PF&LF synergy. Scatter plots indicate that, during 2010–2020, PF&LF values were more dispersed and revealed significant trade-off relationships. With the rapid expansion of urban space during this period, the average RMSD increased from 0.05267 to 0.0624, indicating intensified trade-offs. Notably, in Songming County, eastern Kunming, PF&LF trade-offs have consistently declined, potentially due to policies such as arable land protection and urban relocation to higher elevations.
From 2010 to 2020, the trade-off intensity of LF&EF functions across the urban agglomeration decreased slightly, with the RMSD mean declining from 0.09669 to 0.09601. The scatter plots further demonstrate that LF&EF values moved closer to the 1:1 line, with a marked increase in synergy zones, particularly in the central and southern parts of the agglomeration. LF&EF high trade-off areas are mainly located in central urban areas and high ecological function zones, highlighting the conflict between human activities and the ecological environment. With the expansion of built-up areas and the implementation of ecological restoration projects, these trade-off zones have also expanded. Synergistic LF&EF zones are typically located in peri-urban areas, vegetated regions near lakes, and mountainous rural settlements, where both living and ecological functions coexist to a certain degree.
3.3. Analysis of the Driving Mechanisms of Trade-Offs and Synergies Among Land Use Functions
3.3.1. Dominant Factors Influencing Trade-Off/Synergy Relationships Among Land Use Functions
Table 4 presents the performance metrics of the XGBoost model and comparison models on both the training and testing datasets, including the linear model (MLR) and nonlinear models (RF and XGBoost). Compared with the linear model, nonlinear models demonstrate superior performance. Among the nonlinear models, XGBoost outperforms the RF model in terms of accuracy and generalization ability. Specifically, on the training set, the XGBoost model achieves an average accuracy (ACC) of 0.9722, an average AUC of 0.9938, and an average RMSE of 0.1455. On the testing set, its average ACC and AUC are 0.9386 and 0.9586, respectively, with an average RMSE of 0.2121.
Figure 7 illustrates the importance and direction of influence of various factors on the trade-offs and synergies among land use functions. For the trade-off/synergy between living function and ecological function, the dominant influencing factors include slope, land use intensity, Shannon diversity index, elevation, and precipitation. Specifically, SHAP values decrease with increasing slope and Shannon diversity index, indicating a negative correlation with trade-off intensity. Conversely, SHAP values increase with higher elevation, land use intensity, and precipitation, indicating a positive correlation.
In the trade-off between production function and ecological function, the key influencing factors are slope, precipitation, land use intensity, Shannon diversity index, and NDVI. Trade-off intensity is negatively correlated with slope, Shannon diversity index, and NDVI, and positively correlated with precipitation and land use intensity.
For the PF&LF trade-off/synergy relationship, the main influencing factors include precipitation, slope, elevation (DEM), NDVI, and distance to highways. Here, trade-off intensity is negatively correlated with slope, NDVI, and elevation, while positively correlated with precipitation.
Among natural factors, slope and precipitation significantly affect the trade-off and synergy relationships between LF&EF, PF&EF, and PF&LF. In areas with lower slopes, higher levels of human activity, concentrated agricultural development, and lower forest cover often lead to intensified trade-offs among land use functions. Precipitation influences the interactions among land use functions by affecting regional water supply and climate [
53]. Among the socio-economic factors, the degree of land use exerts a significant impact on the trade-offs and synergies among LF&EF, PF&EF, and PF&LF. A higher degree of land use typically indicates the expansion of production and living spaces, which squeezes ecological space and thereby intensifies the trade-offs among land use functions.
3.3.2. Nonlinear Influence Characteristics of Key Factors
As shown in
Figure 8, the horizontal axis represents the feature values of the influencing factors, while the vertical axis indicates the probability of trade-offs occurring among land use functions. The results reveal that each key factor exhibits distinct nonlinear response patterns, primarily manifesting as U-shaped curves. By identifying the intervals where the fitted curve’s y-values fall below zero, the optimal threshold ranges for promoting synergies can be determined. This study analyzed the critical threshold variations of the driving factors affecting the intensity of trade-offs and synergies among land use functions.
For the interaction between living and ecological functions (LF&EF), synergy is more likely to occur when the slope ranges from 12.42° to 28.80°, the land use intensity index is between 1.70 and 2.34, the Shannon diversity index (SHDI) is greater than 0.29, elevation falls between 1795.49 m and 2434.76 m, and precipitation is below 839.33 mm. This slope range aligns with the suitable slopes for agriculture and settlements in mountainous areas: slopes that are too gentle are prone to overdevelopment, while overly steep slopes limit human activities, making the synergistic effect more pronounced. The land use intensity index corresponds to a moderate level of land development, which can provide living space without causing severe disturbance to the ecosystem. The precipitation condition indicates that a moderate amount of rainfall meets the residents’ daily needs while not imposing stress on the ecological system.
For the interaction between production and ecological functions (PF&EF), a tendency toward synergy is observed when the slope ranges from 13.79° to 34.52°, precipitation is less than 835.42 mm, the land use intensity index falls between 2.02 and 2.51, SHDI ranges from 0.24 to 0.72, and NDVI ranges from 0.65 to 0.85. These conditions indicate that moderate slopes and land development intensity, together with relatively high vegetation cover, facilitate the synergistic development of farmland production and ecosystem functions, reducing the risk of ecological degradation and enabling agricultural production and ecological functions to form a positive complementary relationship.
For the interaction between production and living functions (PF&LF), synergy is more likely when precipitation is below 866.20 mm, slope is less than 17.33°, elevation is either below 1637.15 m or above 2166.58 m, NDVI is below 0.80, and the distance to expressways is less than 26,462.35 m. These conditions indicate that areas with convenient transportation and gentle terrain provide spatial support for both agricultural production and residential living, facilitating a coordinated layout and mutual support between production and living functions.
3.3.3. Interaction Effects of Influencing Factors
Further exploration of the interactions among driving factors (
Figure 9) reveals that all driving factors have a significant influence on the spatial differentiation of land use function trade-offs and synergies (
p < 0.001). Moreover, the interactions between factors consistently exhibit an enhancing effect on the spatial variation in land use function trade-offs and synergies across the Central Yunnan Urban Agglomeration, manifesting either as bivariate enhancement or nonlinear enhancement.
For LF&EF and PF&EF relationships, the interaction between land use intensity and slope significantly improves the explanatory power, with q-values of 0.5193 and 0.4066, respectively. For the PF&LF relationship, the interaction between precipitation and human activity intensity has the strongest influence (q = 0.2563). These results indicate that interactions between natural and socio-economic factors exert a greater impact than interactions within socio-economic factors or within natural factors alone.
Therefore, to promote the coordinated development of regional land use functions, it is essential to optimize industrial structures in accordance with regional natural endowments. Development strategies should be adapted to local conditions, guided by an integrated economic–social–ecological approach to alleviate conflicts among land use functions. This will support the realization of regional sustainable development and contribute to building a high-quality territorial spatial development and protection framework—characterized by complementary functional advantages and maximized comprehensive benefits—thereby facilitating the coordinated integration of production, living, and ecological functions within the Central Yunnan Urban Agglomeration.
3.3.4. Driving Mechanism Analysis of Trade-Offs and Synergies Among Land Use Functions Based on the GWR Model
At the grid scale, all selected factors influencing the trade-offs and synergies among land use functions passed the significance test and multicollinearity test (
p = 0.000 < 0.01 and VIF < 10). The model fitting results (
Table 5) show that the geographically weighted regression (GWR) model outperforms the ordinary least squares (OLS) model in terms of accuracy. As illustrated in
Figure 10, the regression coefficients derived from the GWR model reflect the spatial heterogeneity of the driving factors’ influence on land use function trade-offs and synergies.
For LF&EF and PF&EF, the positive regression coefficients of slope are primarily distributed in ecologically significant mountainous areas, where terrain constraints severely limit the development of production and living spaces. In contrast, negative coefficients are mainly found in the urban agglomeration zones in the eastern part of the region, where the trade-off between LF&EF and PF&EF intensifies as slope decreases. For PF&LF, the positive coefficients of slope are concentrated in the main grain-producing areas of the eastern region, particularly in hilly and mountainous zones near flatlands. These areas are characterized by mixed forest-grassland patches with high fragmentation and ecological vulnerability, where increasing slope exacerbates the trade-off between production and living functions.
Elevation exhibits similar effects on the trade-off intensity between PF&LF and LF&EF, with negative impacts predominantly found in central urban areas. For PF&LF, the regression coefficients display a clear east-high-west-low pattern, with positive effects concentrated in the eastern grain-producing plains. Elevation generally exerts a positive influence on LF&EF, while negative effects are mainly observed in the urban cores, where increasing elevation mitigates the trade-off between these functions.
Rainfall influences PF&EF and PF&LF primarily in the eastern part of the urban agglomeration, mostly showing negative effects. As the major grain-producing area, the eastern region’s crop growth is highly dependent on precipitation. Rainfall affects the distribution of natural ecological resources and land use patterns, thereby intensifying trade-offs. In mountainous and hilly cultivated zones, lower precipitation amplifies the trade-off between PF&LF and PF&EF. In contrast, in urbanized areas, the regression coefficients are mostly positive, indicating that increased precipitation exacerbates functional trade-offs.
For PF&EF and LF&EF, land use intensity shows a predominantly positive driving effect. Negative impacts are mainly observed in ecological development zones of various cities and prefectures, where production and living functions are underdeveloped; in these areas, increasing land use intensity reduces trade-offs. The Shannon diversity index (SHDI) in ecological areas of the urban agglomeration has a negative effect on LF&EF and PF&LF. As SHDI increases, landscape diversity intensifies, which weakens trade-offs between these functions. However, in some agricultural-ecological transitional zones, landscape fragmentation can intensify LF&EF trade-offs. Similarly, in cultivated plains and highland agricultural zones, increased landscape fragmentation can heighten PF&EF trade-offs.
In densely populated human activity zones, increasing NDVI tends to reduce PF&LF and PF&EF trade-offs. However, the positive effect of NDVI on trade-off intensity is particularly evident in the eastern and northern areas of the urban agglomeration (e.g., in Qujing City), where higher NDVI corresponds to intensified trade-offs. The negative influence of distance to expressways on PF&LF trade-off intensity is primarily observed in the eastern part of the urban agglomeration.
4. Discussion
The coordination of territorial spatial functions and the optimization of spatial layout are fundamental to alleviating land use conflicts and constituting crucial pathways toward achieving sustainable socioeconomic and ecological development. The rational allocation of national land resources and the optimization of spatial development patterns from the perspective of land use functions have become pressing issues in the practice of integrated spatial planning. For the well-being of human society and to balance diverse stakeholder interests, regional land use functions must be identified and the interaction mechanisms and dynamic trajectories among different functions should be explored, aiming to maximize the overall benefits of territorial space.
This study integrates multi-source data to evaluate the land use functions of the Central Yunnan Urban Agglomeration, analyzing the spatiotemporal evolution characteristics of trade-offs and synergies in land use functions from both macro and micro perspectives. By combining the optimized parameter geographic detector model (OPGD), the geographically weighted regression model (GWR), and interpretable machine learning models, it provides a more comprehensive explanation of the inter-action patterns, threshold effects, and spatial effects of the driving factors behind trade-offs and synergies in land use functions, offering a new perspective for elucidating the mechanisms of these relationships. The results indicate that the trade-off and synergy relationships between different functions are influenced by socio-economic and natural environmental conditions, exhibiting significant spatial heterogeneity and dynamic temporal variation.
Despite these contributions, limitations regarding data accuracy and spatial resolution were present in this study. Future research should consider the incorporation of high-resolution remote sensing data and ground-based observations. Given the complexity of land use functions, more sub-functions—especially those difficult to quantify at the grid scale (e.g., employment security, transportation capacity, and education services)—should be incorporated, alongside the spatialization of statistical data and the appropriate quantification of policy-related factors. A more comprehensive evaluation index system and driver framework should be established. Furthermore, this study focused solely on the grid and urban agglomeration scales. Future studies should incorporate macro scales such as township and county levels to achieve regional optimization. In addition, types of trade-offs or synergies were not distinguished in this study. Subsequent research should classify these relationships based on functional evolution patterns observed during the study period to better support decision-making. Trade-off and synergy analyses were also not integrated into land use simulation in this study; therefore, future research should combine land use prediction with functional assessment to better inform territorial spatial planning. The findings on the trade-offs and synergies of land use functions and their driving mechanisms are closely linked to the optimal configuration of territorial spatial patterns. The nonlinear response mechanisms and threshold effects of various influencing factors identified in this study can serve as key considerations for decision-makers in territorial spatial planning and can be further applied to the development and conservation of production, living, and ecological spaces. Additionally, these research outcomes can provide a scientific basis for establishing and implementing monitoring networks for territorial spatial planning (CSPON).
Based on the spatial heterogeneity and driving mechanisms of functional trade-offs and synergies identified in the study area, differentiated regulation and guidance strategies are proposed to optimize land use spatial patterns and promote synergistic and efficient development of land use functions:
In production–ecological trade-off zones, such as the grain-producing plains in the eastern part of the agglomeration (e.g., Luliang County and Qilin District of Qujing City, eastern districts of Kunming), which are core agricultural areas with weak ecological functions, the promotion of green and low-carbon agricultural practices, reduction of pesticide use, and control of non-point source pollution are necessary. Low-efficiency farmland can be converted into forests or wetlands to reduce production–ecological trade-offs. In ecological core areas, the development of mountain agriculture and economic forests—such as under-forest economy and ecological crops (e.g., mushrooms, medicinal plants)—should be encouraged to promote the transformation of ecological assets into economic benefits and advance high-level production–ecological synergy.
High synergy between living and ecological functions was mainly observed in suburban zones and agricultural settlements in plateau and mountainous regions. In these areas, efforts should be focused on industrial transformation and the development of eco-friendly industries. Tourism and forest wellness industries should be developed under strict environmental standards to further enhance living–ecological coordination. In contrast, in areas with high living–ecological trade-offs (urban development zones), urban expansion into ecologically sensitive areas must be strictly controlled. Ecological restoration should be prioritized in polluted zones. Additionally, population density in core urban areas should be rationally managed. Infill development should be promoted, alongside balanced layouts of green spaces and the construction of ecological corridors, to enhance landscape connectivity, continuity of urban ecological land, and biodiversity, while mitigating urban heat island effects.
In areas with high production–living trade-offs, particularly in the eastern part of the urban agglomeration, strict adherence to the “three zones and three lines” delineation is required to control urban encroachment on farmland, reduce farmland fragmentation, and implement land consolidation and high-standard farmland construction to strengthen farmland protection. Rural development should simultaneously be advanced through multifunctional spatial planning, promoting income-generating industries and enhancing rural living functions to achieve urban–rural integration, thereby mitigating high production–living trade-offs.
Land multifunctionality results from the combined effects of natural conditions, socioeconomic development, and accessibility. Therefore, regional strategies should emphasize industrial integration and the rational spatial distribution of industries.
Regarding the spatial effects of slope and elevation on functional trade-offs, ecological restoration and afforestation of sloped lands should be promoted in densely populated urban areas, alongside the compact and efficient use of construction land to alleviate excessive expansion [
19]. In the grain-producing eastern plains, where PF&LF and PF&EF exhibit high sensitivity to rainfall (mostly negative), water-saving agriculture should be prioritized to reduce dependence on precipitation. Restoration of water conservation zones and ecological corridors should be implemented to improve water retention capacity. Moreover, in intensively cultivated plains, attention must be paid to preventing farmland fragmentation that could intensify PF&EF trade-offs.
5. Conclusions
Following the framework of “Function Evaluation—Relationship Quantification—Mechanism Identification,” this study constructs a classification and quantitative indicator system for land use functions in the study area, based on a 2 km grid. Using the Pearson and RMSD models, it quantifies the trade-off and synergy relationships of land use functions and their evolutionary characteristics. On this basis, the XGBoost–SHAP, OPGD, and GWR models are employed to analyze the driving mechanisms behind the trade-offs and synergies of land use functions in the study area. Finally, differentiated regulation and guidance measures are proposed, aiming to promote coordinated and efficient development of regional land use functions. The main conclusions are as follows:
(1) The spatial distribution of different land use functions in the Central Yunnan Urban Agglomeration shows significant variation. The hotspots of production functions are mainly concentrated in the grain-producing plains in the eastern part of the urban agglomeration, including the eastern area of Kunming and Qujing City. Living functions have no cold spot areas, with hotspots primarily located in the central urban areas of each city and the county seats of various districts and counties; from 2010 to 2020, the high-value areas of living functions continued to expand. The ecological function (EF) exhibits a spatial pattern of “large-scale dispersion with small-scale concentration,” and from 2010 to 2020, the ecological functions in the eastern part of the study area improved significantly.
(2) The trade-offs and synergies among land use functions exhibit marked heterogeneity and spatial non-stationarity across temporal and spatial dimensions. Overall, production functions are in a trade-off relationship with both living and ecological functions, whereas a synergy exists between production and ecological functions, though the correlation remains weak. From 2010 to 2020, the synergy between production and ecological functions intensified, the trade-off between living and ecological functions first increased then declined, and the trade-off between production and living functions became more pronounced. Spatially, areas with strong trade-offs between production and ecological functions are concentrated in central urban areas, suburban zones, and major grain-producing regions. The trade-off between production and living functions displays an east–high, west–low pattern, with many high trade-off areas located in Luliang, Qilin, Xuanwei, Fuyuan, and other districts and counties in eastern Qujing. High-intensity trade-off zones between living and ecological functions (LF&EF) are mainly distributed across central urban areas and regions with high ecological value.
(3) Slope, elevation, precipitation, land use intensity, Shannon diversity index (SHDI), NDVI, and distance to expressways are the primary factors influencing the trade-offs and synergies among land use functions. These key drivers exhibit significant threshold effects and nonlinear relationships—mainly in a U-shaped form. For LF&EF synergy, the following thresholds favor positive coordination: slope between 12.42° and 28.80°, elevation between 1795.49 m and 2434.76 m, precipitation below 839.33 mm, SHDI less than 0.29, and land use intensity index between 1.70 and 2.34. For PF&EF synergy, optimal ranges include slope between 13.79° and 34.52°, precipitation below 835.42 mm, land use intensity between 2.02 and 2.51, SHDI between 0.24 and 0.72, and NDVI between 0.65 and 0.85. For PF&LF coordination, key conditions include slope less than 17.33°, precipitation below 866.20 mm, elevation either below 1637.15 m or above 2166.58 m, NDVI less than 0.8, and distance to expressways less than 26,462.35 m. The results of the interaction analysis of influencing factors indicate that the interaction between driving factors enhances the explanatory power for the trade-off and synergy relationships of land use functions. Specifically, the interaction between land use intensity and slope significantly enhanced the explanatory power for LF&EF and PF&EF, while the interaction between precipitation and human activity intensity had the strongest influence on PF&LF trade-offs and synergies.
(4) The intensity of trade-offs between LF&EF and PF&EF is predominantly positively influenced by land use intensity, with some negatively affected areas concentrated in regions with high ecological value. Elevation exhibits a primarily positive effect on the trade-off intensity of PF&LF and LF&EF, while negative effects are mainly observed in central urban areas. The impact of precipitation on PF&EF and PF&LF trade-off intensity is mainly distributed across the grain-producing areas in the eastern part of the urban agglomeration. In mountainous and hilly zones, precipitation generally shows a negative correlation, whereas in urbanized areas, it tends to have a positive correlation. Regarding Shannon’s diversity index (SHDI), the dominant effect is negative; in key ecological zones of the urban agglomeration, SHDI shows a negative influence on both LF&EF and PF&LF.