Next Article in Journal
Securing Land Tenure Through Participatory Upgrading Processes: Women’s Experiences in Freedom Square, Gobabis, Namibia
Previous Article in Journal
Coexistence of Built Areas and Natural Protected Areas Within Metropolitan Regions in China
 
 
Font Type:
Arial Georgia Verdana
Font Size:
Aa Aa Aa
Line Spacing:
Column Width:
Background:
Article

Simulation of Vegetation NPP in Typical Arid Regions Based on the CASA Model and Quantification of Its Driving Factors

1
College of Geography and Remote Sensing Sciences, Xinjiang University, Urumqi 830017, China
2
Xinjiang Key Laboratory of Oasis Ecology, Xinjiang University, Urumqi 830017, China
3
Key Laboratory of Smart City and Environment Modelling of Higher Education Institute, Xinjiang University, Urumqi 830017, China
*
Author to whom correspondence should be addressed.
Land 2025, 14(2), 371; https://doi.org/10.3390/land14020371
Submission received: 22 December 2024 / Revised: 7 February 2025 / Accepted: 8 February 2025 / Published: 11 February 2025

Abstract

To assess the carbon balance of terrestrial ecosystems, it is crucial to consider the net primary productivity (NPP) of vegetation. Understanding the response of NPP in Xinjiang’s vegetation to climate factors and human activities is essential for ecosystem management, the Belt and Road Initiative, and achieving carbon neutrality goals. Based on the CASA model, this study uses meteorological data, DEM data, and land cover data, employing trend analysis and partial derivative analysis methods to investigate the temporal trends and spatial distribution of NPP in Xinjiang from 2000 to 2020. Additionally, it quantifies the contributions of climate factors and human activities to NPP fluctuations. The key findings are: (1) The average annual NPP is 101.52 gC/m2, with an upward trend, showing an overall growth rate of 0.447 gC/m2/yr. Spatially, NPP is higher in northern Xinjiang than in the south, and in mountainous areas compared to basins. (2) Over 21 years, climate factors contributed an average of 1.054 gC/m2/yr, while human activities contributed 0.239 gC/m2/yr to NPP changes. Among climate factors, temperature, precipitation, and sunshine duration contributed 0.003, 0.169, and 0.588 gC/m2/yr, respectively, all showing positive effects on NPP. (3) Forests have the highest average NPP at 443.96 gC/m2, with an annual growth rate of 2.69 gC/m2/yr. When forest is converted to cropland, the net loss in NPP is −1.94 gC/m2, and the loss is even greater in conversion to grassland, reaching −17.33 gC/m2. (4) The changes in NPP are driven by both climate factors and human activities. NPP increased in 77.25% of the area, while it decreased in 22.69%. Climate factors have a greater positive impact than human activities.

1. Introduction

Vegetation plays a crucial role in the terrestrial carbon cycle by converting solar energy into biomass through photosynthesis [1]. Net primary productivity (NPP) is a fundamental metric in this process, representing the balance between organic matter production and autotrophic respiration (Supplementary Materials). It serves as an indicator of ecosystem quality, determining whether ecosystems function as carbon sources or sinks [2]. Understanding NPP is essential for assessing vegetation productivity, carbon sequestration capacity, and the overall health of terrestrial ecosystems, especially under the influence of climate change [3,4]. In the context of Xinjiang, a key region in the Belt and Road Initiative, recent climate trends have shifted towards warmer and more humid conditions. This climatic shift has alleviated water resource challenges and subsequently increased vegetation NPP [5]. However, rapid economic growth in Xinjiang has intensified human impacts on vegetation, presenting a complex interplay between climatic benefits and anthropogenic pressures [6]. Assessing vegetation NPP in Xinjiang is therefore critical for evaluating ecosystem stability, optimizing resource allocation, enhancing productivity, and supporting sustainable socio-economic development.
Current research on vegetation NPP predominantly focuses on modeling productivity, analyzing its relationship with climate factors, and quantifying the influences of various drivers [7,8,9]. Studies have demonstrated that climate factors such as temperature and precipitation significantly impact NPP, with their effects varying based on regional and altitudinal contexts [10]. Additionally, international studies indicate that NPP drivers vary across different regions. For example, in the Amazon rainforest, NPP is primarily influenced by precipitation [11]; in the Nordic forest regions of Sweden and Finland, temperature and solar radiation are the main factors [12]; in Mediterranean coastal countries, water availability and seasonal changes significantly affect NPP [13]; in a temperate mountain forest catchment, aspect and altitude play major roles [10]; and in the alpine mountains, NPP drivers are more diverse, including temperature, precipitation, and soil conditions [14]. Similarly, in specific regions like Xinjiang, local climate and land use patterns play crucial roles in shaping NPP changes. For instance, in Xinjiang’s grasslands, precipitation primarily limits NPP increases, although temperature becomes a dominant factor at higher altitudes (>3900 m) [15,16]. Research also shows that in the Qinghai–Tibet Plateau, water and heat conditions are the key factors influencing vegetation NPP. In areas with less than 450 mm of precipitation, NPP changes are driven by precipitation, while in wetter areas, temperature dominates NPP variation [17]. In Gansu, NPP is more strongly correlated with precipitation, whereas in Yunnan, temperature is the primary factor influencing NPP [18,19]. Additionally, human activities significantly affect NPP, with overcultivation and overgrazing leading to vegetation degradation [20,21,22], while urban expansion and population growth have negative impacts [23]. Ecological engineering measures like afforestation and reforestation, as well as land cover changes, can enhance NPP [21,24,25,26]. Research in the Qinghai Lake Basin shows that climate factors play a larger role in NPP changes than land use changes, especially in croplands, grasslands, and forests [27,28].
Methodologically, researchers have employed various models and analytical techniques to disentangle the effects of climate and human activities on NPP. Approaches such as the CASA and CENTURY models, random forest models, geographically weighted regression, and partial derivative methods have provided insights into the spatial and temporal dynamics of NPP [7,16,29,30]. However, these methods often face challenges in capturing the complex interactions between multiple drivers and may introduce uncertainties due to model assumptions and parameter dependencies [31,32].
Despite extensive research on vegetation NPP in Xinjiang, there remains a critical need for a comprehensive assessment that specifically evaluates the impacts of both climate factors and ecological engineering projects on NPP. This study quantifies the contributions of climate and human activities to changes in NPP and analyzes the complex relationships between these driving factors. It also explores the impacts of land cover type conversions on NPP. The findings offer scientific support for ecosystem management and land use optimization in Xinjiang.

2. Materials and Methods

2.1. Study Area

Xinjiang Uygur Autonomous Region is situated in northwestern China (34.3–49.5° N, 73.5–96.3° E), located in the Eurasian hinterland, spanning 1.6649 million square kilometers, encompassing approximately one-sixth of China’s landmass. Xinjiang has a complex terrain, rich in various landform types such as mountains, plateaus, and basins, which can be summarized as “three mountains and two basins”: the region features the Altai Mountains to the north, the Kunlun Mountains to the south, and the Tianshan Mountains spanning its central area. Additionally, Xinjiang boasts vast basin landforms like the Tarim Basin and the Turpan Basin. The region is encompassed by lofty mountain ranges, which block the entry of oceanic moisture, and intense internal evaporation makes surface water retention difficult. As a result, deserts and Gobi regions are widespread, making Xinjiang sensitive to climate change. Xinjiang features a temperate continental monsoon climate, typical of arid and semi-arid regions. The climate is dry with sparse rainfall, harsh winters, hot summers, significant diurnal temperature variations, and uneven precipitation distribution, posing severe water resource challenges (Figure 1).

2.2. Materials

Meteorological data (temperature, precipitation, and sunshine duration) from 2000 to 2020 were sourced from the China Meteorological Data Network (http://data.cma.cn/) 5 February 2024, with strict quality control applied. Monthly meteorological factors at 250 m resolution were generated using ArcGIS Geostatistical Analyst’s interpolation method. Sunshine duration was converted to total solar radiation using the Ångström–Prescott model, and annual average temperature, precipitation, and solar radiation data for Xinjiang were clipped and processed.
NDVI data were sourced from the MODIS MOD13Q1 product (2001–2020, 250 m resolution), with cloud removal, projection transformation, and normalization performed using Google Earth Engine (GEE).The GLASS-NPP data, from the GLASS (Global Land Surface Satellite) dataset by Beijing Normal University (http://www.geodata.cn/) 6 February 2024, were used to validate the NPP calculation of the CASA model.
Land use data were sourced from the China Land Cover Dataset (CLCD) by Professors Yang Jie and Huang Xin (http://www.geodata.cn/) 6 February 2024, covering 2001–2020 with a 30 m resolution. The dataset classifies land into nine categories, with an accuracy exceeding 85%. For the analysis, six types—cropland, forest, grassland, barren land, built-up land, and wetland—were selected and processed to generate 250 m resolution raster data for 2000–2020.
Topographic data were sourced from the Geospatial Data Cloud Platform (http://www.gscloud.cn/) 6 February 2024 using the SRTM 90 m product, with noise removal and gap filling, ensuring high accuracy for topographic analysis in the study area.

2.3. Methods

2.3.1. CASA Model

The CASA model is a typical representative of the light use efficiency model established by Potter et al. It can simulate NPP on a large scale (Supplementary Materials). Generally, the estimation equation of NPP is expressed by the photosynthetically active radiation APAR (MJ/m2) and the actual light use efficiency ε (gC/MJ) of vegetation (Supplementary Materials) [16,33,34]. The estimation formula is as follows:
  N P P = A P A R × ε
The photosynthetically active radiation absorbed by vegetation depends on the characteristics of the plant itself and the total solar radiation. Its calculation formula is:
  A P A R = S O L × F P A R × 0.5
In the formula, SOL is the total solar radiation (MJ/m2), and FPAR is the absorption ratio of the vegetation canopy to the effective radiation of the incident light, which is calculated by the NDVI image data set (Supplementary Materials).
The actual light use efficiency ε is the efficiency of plants to fix solar energy and convert the intercepted/absorbed energy into carbon (C)/organic dry matter through photosynthesis, which is generally expressed as gC/MJ. Potter et al. believed that the vegetation has the maximum light energy utilization rate under ideal conditions, while the maximum light energy utilization rate under real conditions is mainly affected by temperature and moisture. The calculation formula is:
  ε = T ε 1 × T ε 2 × W ε × ε m a x
In the formula, T ε 1 and T ε 2 represent the stress effect of low temperature and high temperature on the utilization rate of light energy, which can be estimated by the method proposed by Potter et al. ε m a x represents the maximum light energy utilization rate of vegetation under ideal conditions, which refers to the utilization rate of photosynthetically active radiation by vegetation under ideal conditions without any restrictions.

2.3.2. Trend Assessment

This study utilizes the Theil–Sen method to analyze the trend characteristics of vegetation NPP in Xinjiang, defining the regression slope as the annual variation rate of NPP (Supplementary Materials). The formula is as follows:
  θ s l o p e = n × i = 1 n ×   N P P i i = 1 n i i = 1 n N P P i n × i = 1 n i 2 i = 1 n i 2
In the equation: θ s l o p e indicates the pixel-based trend of NPP change from 2000 to 2020, i indicates the year (i = 1, 2, 3, ..., n), and N P P i represents the mean NPP of year i. When θ s l o p e > 0, it indicates a rising trend in NPP during this period; when θ s l o p e < 0, it indicates a decreasing trend in NPP.

2.3.3. Contribution Analysis

Climate factors like temperature, precipitation, and sunshine hours, along with human activities, were quantitatively analyzed for their contributions to NPP using the partial derivative method, particularly residual trend analysis (Supplementary Materials) [7,35]. The formula is as follows:
S N P P = d N P P d t δ N P P δ T × d T d t + δ N P P δ P × d P d t + δ N P P δ S R × d S R d t + H c o n = T c o n + P c o n + S R c o n + H c o n = C c o n + H c o n
In the equation: T, P, and R denote temperature, precipitation, and sunshine hours; T c o n , P c o n , and S R c o n represent the contributions of temperature, precipitation, and sunshine hours to NPP; t is the number of study years; H c o n represents the residual between NPP trend changes and climate factor contributions, indicating the impact of other factors (including human activities such as carbon emissions, afforestation, and natural factors like geological disasters) on NPP changes; dNPP/dt represents the NPP trend over time affected by environmental conditions and human interventions, as derived from Equation (1); dT/dt, dP/dt, and dSR/dt are defined similarly; and δNPP/δT, δNPP/δP, and δNPP/δSR represent the partial derivatives of NPP with respect to each climate factor. C c o n is the sum of T c o n , P c o n , and S R c o n .
Each climate factor exerts a linear influence on NPP variations; by eliminating the effects of the other two variables, each partial derivative is equivalent to the corresponding second-order partial correlation coefficient [36]. Here is the formula:
  R x y , z λ = R x y , z R x λ , z × R y λ , z 1 R x λ , z 2 × 1 R y λ , z 2
In the equation: R x y , z λ denotes the second-order partial correlation coefficient between x and y , excluding the influence of factors z and λ ; R x y , z is the partial correlation coefficient between x and y after controlling for the variable z ; and R x λ , z and R y λ , z are the partial correlation coefficients between x and λ and between y and λ , respectively, after controlling for z . In the formula, z represents the main variable (one of the climate factors) that needs to be controlled to eliminate its interference with x and y , thereby more accurately estimating the true relationship between x and y ; λ represents any non-climatic factors related to NPP (such as land use), used to control for the effects of factors other than z .

2.3.4. Scenario Design and Quantitative Evaluation

Through the integration of driving factor contributions with NPP trends, six scenarios are generated based on different value ranges. Positive S N P P is indicative of vegetation recovery, while negative S N P P represents vegetation degradation. Positive C C and C H indicate contributions from environmental conditions and human interventions to NPP increases, while negative values suggest their adverse impact on NPP.

2.3.5. Coefficient of Variation

The CV quantifies the extent of variation within a set of data values (Supplementary Materials). This study employs the CV method to assess spatial variability of NPP over multiple years. The formula is as follows:
  C V = σ N P P ¯
C V denotes the variability coefficient, with σ indicating the standard deviation of NPP values, and N P P ¯ denotes the 21-year average NPP of the study area. A smaller C V represents greater data series stability with less fluctuation, while a larger C V suggests greater fluctuation and poorer stability in the data series.

3. Results

3.1. Precision Validation

Based on the GLASS _ NPP data from 2001 to 2020, the vegetation NPP simulated by the CASA model in Xinjiang was verified (Supplementary Materials). The results showed that the coefficient of determination (R2) between the product data and the NPP simulated by the CASA model was 0.84 (p < 0.001), indicating that the CASA model could well estimate the NPP of vegetation in this area (Figure 2).

3.2. Spatial and Temporal Characteristics of NPP

3.2.1. Spatial Distribution Characteristics of NPP

Figure 3 displays the vegetation NPP’s spatial distribution in Xinjiang over the past 21 years, with values ranging from 0.08 to 787.96 gC/m2, and an average of 101.52 gC/m2, indicating significant spatial differences in overall vegetation carbon sequestration capacity. Spatially, the extremely high-value areas (>500 gC/m2) were primarily located in the Ili River Valley and the higher elevations of the Altai Mountains, followed by the Tianshan Mountains, the western mountainous region of the Junggar Basin, and the mid-mountain regions of the Altai Mountains, with the main land cover types being grassland, cropland, and forestland. Extremely low-value areas (<70 gC/m2) were primarily found in the central Junggar Basin and the marginal areas of the Tarim Basin.

3.2.2. Interannual Variation Characteristics of NPP

Between 2000 and 2020, vegetation NPP in Xinjiang varied between 87.97 and 117.5 gC/m2, demonstrating a noticeable annual increase of 0.447 gC/m2/yr. The peak NPP occurred in 2016 at 219.16 gC/m2, contrasting with the minimum recorded in 2014 at 169.29 gC/m2 (Figure 4).
Based on 21 years of continuous land use data, NPP averages, sorted from highest to lowest, followed the order of forest > wetlands > cropland > grassland > impervious land > bare land. Overall, the annual average NPP values for forestland were generally higher than those for other land types, ranging between 391.09 and 482.25 gC/m2, with an interannual change rate of 0.13 gC/m2/yr, peaking in 2016. Wetland NPP averaged between 288.19 and 384.70 gC/m2, second only to forestland, with a multi-year average NPP of 336.83 gC/m2 and an interannual change rate of 2.69 gC/m2/yr, showing a relatively good growth trend among different land types. Grassland annual average NPP ranged between 173.02 and 482.25 gC/m2, averaging an NPP over multiple years of 193.06 gC/m2 and an interannual change rate of 0.18 gC/m2/yr, showing a trend consistent with forestland. The annual rate of increase in cropland NPP was 0.55 gC/m2/yr, indicating a relatively stable state. The multi-year average NPP values for built-up land, water bodies, ice/snow, bare land, and shrubland remained at low levels, with slow growth rates, showing a brief upward trend in 2016 (Figure 5).

3.2.3. Trend Analysis and Significance Testing

Upon analysis of Xinjiang interannual variation from 2000 to 2020, an overall improvement trend is observed. The interannual θ s l o p e of NPP in Xinjiang fluctuated between −27.19 and 29.31 gC/m2/yr, at an average yearly rate of 1.22 gC/m2/yr over multiple years. Overall, 75% of the region experienced an increase in vegetation NPP, while 25% experienced a decrease. Interestingly, regions with a notable improvement tendency made up 14.2% of the entire area, with the northern Junggar Basin accounting for the majority of these locations, along with the area of central Tianshan, the Turpan–Hami Basin, and the edges of the Tarim Basin. Significant degradation was only present in 0.7% of the region, mostly in the southwest Tarim Basin. Areas with a significant degradation trend accounted for 7.7%, primarily found in the Ili and southern Altay regions. Areas with non-significant degradation accounted for 16.6%, concentrated in the Ili River Valley and the Altay region. About 36.2% of the areas showed significant improvement, distributed in the Altay region, near the slopes of the Tianshan Mountains, and at the edges of the Tarim Basin. Non-significant improvement areas accounted for 24.6%, mostly found in the southern Tarim Basin, the Ili River Vally, the western hilly part of the Junggar Basin, and the southern slope of the Tianshan Mountains. Even though the Ili River Vally and the mountainous forest regions have greater yearly average NPPs, significant NPP degradation was also observed in these regions. Conversely, the basin areas had relatively low NPP values, and they showed a clear improvement trend. This indicates that spatial differences affect vegetation growth and recovery, potentially shaped by factors like topography, climate conditions, soil types, and human activities (Figure 6).

3.2.4. Spatial Stability of NPP Variation in Xinjiang

There is significant spatial variability in the coefficient of variation (CV) of NPP in Xinjiang, indicating different degrees of NPP changes across regions. Areas with higher CV values suggest more unstable ecosystems. Overall, the CV of NPP in Xinjiang fluctuated between 0 and 1.67, with a multi-year average of 0.18, indicating relatively small NPP fluctuations and a stable state. Spatially, CV values exceeding 0.5 were predominantly found along the oasis urban belt on the Tianshan Mountains’ northern slope. Lower CV values, generally below 0.1, were found in the Altai Mountains, Tianshan mountainous regions, and the Ili River Valley. Regions with CV values between 0.1 and 0.5 were mainly distributed in the Altay region, surrounding the Tianshan Mountains, and in the northern Kunlun Mountains. Generally, high-altitude areas like mountains have lower CV values due to increased diversity in climate, topography, and vegetation types. In contrast, low-altitude areas with uniform vegetation are more affected by factors like water resource distribution, human activities, and agricultural development, leading to higher CV values, as seen in the oasis and basin areas of Xinjiang (Figure 7).

3.3. Contribution Analysis

3.3.1. Climate Background

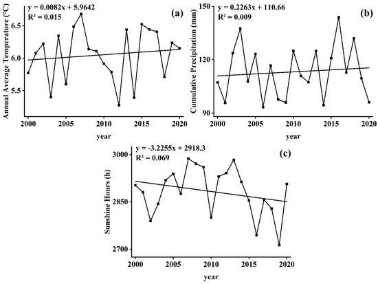
The average temperature in Xinjiang between 2000 and 2020 demonstrated a slight upward trend, increasing by 0.0158 °C/(10a), averaging 6.054 °C over multiple years. The highest average temperature was 6.68 °C in 2007, and the lowest was 5.28 °C in 2012 (Figure 8a). The multi-year average annual precipitation was 113.15 mm, increasing at a rate of 0.009 mm/(10a), peaking at 143.90 mm in 2016 and dropping to 93.31 mm in 2006 (Figure 8b). Over the past 21 years, the overall sunshine duration exhibited a slight decreasing trend, averaging 2882.82 h over multiple years, decreasing at a rate of 0.69 h/(10a); the peak occurred in 2007 at 2987.16 h, and the lowest point was in 2019 at 2712.75 h (Figure 8c). Overall, the decrease in sunshine duration surpassed the increase in both precipitation and temperature. The precipitation increase rate exceeded that of temperature. The interannual variations in climate factors further indicate a trend toward a warmer and wetter climate in Xinjiang, which is significant for vegetation growth and recovery [37].

3.3.2. Climate Contribution Analysis of NPP Variation

The partial derivative approach was used to quantify factors influencing variation in NPP in Xinjiang from 2000 to 2020. According to Table 1, over the past 21 years, climate factors contributed an average of 1.054 gC/m2/yr to vegetation NPP changes, while human activities contributed 0.238 gC/m2/yr. The average contributions of temperature, precipitation, and sunshine duration to vegetation NPP were 0.003, 0.169, and 0.588 gC/m2/yr, respectively. Overall, climate factors have a greater impact on NPP than human interventions. Among the climate factors, sunshine duration has the largest contribution to NPP in Xinjiang, followed by temperature and precipitation.
The positive and negative effects of temperature on NPP change are 71.71% and 28.37%, respectively. The majority of positive benefits are found north of the Tianshan Mountains, while negative effects are more prominent in the southwest Altay region, the western mountainous part of the Junggar Basin area, and the Tarim Basin’s periphery (Figure 9a). Precipitation predominantly positively impacted vegetation NPP dynamics in Xinjiang, with positive effects accounting for 74.64% of the total, mostly found in the Altai Mountains, Ili River Valley, and the Tarim Basin’s perimeter, while negative effects accounted for 25.36%, mainly in the southern Altay region and Tuhai Basin (Figure 9b). Sunshine duration contributed 68.64% positive effects and 32.11% negative effects on vegetation NPP change. The urban agglomerations north of the Tianshan Mountains, the western Junggar Mountains, the southern Altai Mountains, and the Tarim Basin’s edge all saw notable positive effects. Areas with negative effects were mainly observed in the Altai Mountains, Ili River Valley, and several central cities (Figure 9c).
Climate factors like temperature, precipitation, and sunshine duration jointly caused 74.9% positive and 25.1% negative effects on NPP change in Xinjiang, while human activities contributed 51.54% and 48.46% positive and negative effects, respectively, revealing that the beneficial effects of human activities on NPP surpassed the detrimental effects. In summary, the NPP of vegetation has increased due to both climate factors and human activities, with climate factors exerting a more pronounced positive influence, while human activities have a considerable negative impact (Figure A1).
Based on the joint influence of temperature, precipitation, and sunshine duration on NPP change, climate factors mainly positively affected NPP in the Altay’s western region and the periphery of the Tarim Basin, while exhibiting negative effects on the Altai Mountains, Ili River Valley, and some central cities (Figure 10a). The spatial distribution of human activities’ impact on NPP indicates predominantly positive effects, specifically in the Altai Mountains region, the southern and northern slopes of the Tianshan Mountains, the Tuhai Basin, and the western periphery of the Tarim Basin, while exerting negative effects on the southern Altay region, Ili River Valley, and the southern border of the Tarim Basin (Figure 10b).

3.3.3. Contributions of Driving Factors to NPP Across Different Land Types

Different land types exhibit significant variations in their responses to driving factors (Figure 11). Wetlands show the highest contribution from climate factors, with precipitation contributing 0.33 and sunshine hours contributing 1.23 to their NPP, highlighting the critical role of wetlands in water cycling and solar energy utilization. However, wetlands are also subject to substantial human interference, with human activities contributing 1.38 to their NPP, warranting considerable attention. Cropland exhibits the highest contribution from sunshine hours, at 1.34, reflecting its open and exposed characteristics. However, it is highly dependent on human activities, with a human contribution value of 2.25, indicating that cropland systems are strongly driven by anthropogenic factors. Forests show balanced contributions to natural regulation functions, with contributions of 0.005 from temperature and 0.28 from precipitation. However, the contribution from sunshine hours is minimal, at only 0.02, resulting in somewhat limited overall climate regulation capacity. Bare land and impervious land show relatively low contributions from climate factors, with impervious land contributing 0.95 to overall climate factors and having a negative human contribution of −0.59, possibly reflecting the negative impacts of human activities on its ecological restoration. Overall, wetlands and forests hold significant ecological value in natural regulation functions but are simultaneously affected by human activities, necessitating further protection. In contrast, cropland and impervious land, despite being highly utilized under anthropogenic influences, exhibit relatively weaker natural regulation capacities.

3.3.4. Human Activity Analysis of NPP Variation

Among all land cover types, shrubland, water, and ice/snow cover areas have a relatively small impact on NPP overall. Wetlands, despite their smaller area, have the second-highest annual NPP after forest, with high carbon sequestration potential and significant ecological benefits. Therefore, cropland, wetlands, forest, grassland, impervious, and barren are considered the main land use types for analyzing the interconversion and NPP changes among these land cover classes.
Over the past 21 years, profound changes in land use in Xinjiang have occurred under the influence of human activities (Figure 12). Since 2000, except for a decrease in grassland and bare land areas at rates of −4.58% and −1.1%, respectively, the areas covered by other land types have increased, with bare land being the primary land use type in Xinjiang, generally demonstrating favorable ecological benefits during the transition process. While the areas of impervious land and cropland increased, the areas of forest and wetlands also showed varying degrees of increase, with changes in vegetation area rates of 23.97% and 43.56%, respectively.
As depicted in Table 2, the transition of land use types resulted in differences in the average gains and losses of NPP per unit area. Cropland was predominantly converted to grassland, construction land, and bare land, with a small portion converted to wetlands, possibly due to the implementation of land protection policies and ecological restoration plans. When cropland was converted to forest and wetlands, NPP increased by 51.23 and 2.12 gC/m2, respectively. However, when cropland was converted to bare land, impervious land, and grassland, NPP decreased by 49.19, 5.72, and 4.9 gC/m2, respectively, resulting in negative impacts on NPP. Grassland was primarily converted to bare land, resulting in a decrease of 2.13 gC/m2 per unit area. Additionally, more grassland was converted to cropland than the reverse, leading to an increase in NPP by 94.64 gC/m2. Furthermore, a considerable amount of grassland has been converted into impervious land, potentially due to the decrease in grassland area resulting from urbanization and industrialization activities. Under the influence of human activities, bare land was primarily converted to grassland and cropland, resulting in NPP increases of 36.47 and 144.58 gC/m2, respectively. Between 2000 and 2020, the forested area outflow exceeded inflow, except for the conversion of forestland to wetlands. Cropland was converted predominantly into grassland, which resulted in an increase of 79.52 gC/m2 per unit area, while other outflow types caused varying degrees of NPP loss. When forest was converted to cropland, grassland, and impervious land, the susceptibility of NPP per unit area was −1.94, −17.33, and −4.62 gC/m2, respectively. Meanwhile, when wetlands were converted to bare land, NPP decreased by 5.76 gC/m2, while other types of outflow resulted in increased NPP, primarily due to the high organic matter content of wetlands soils, improved soil moisture through soil improvement and human intervention, and enhanced soil fertility, thereby promoting vegetation productivity.

3.4. Contribution Analysis

Based on trend analysis and contribution analysis results, the dominant factors driving vegetation NPP changes in Xinjiang from 2000 to 2020 were partitioned, and six scenarios were discussed.
Approximately 77.25% of the area in Xinjiang has seen an increase in net primary productivity (NPP), while 22.69% of the area has experienced a decrease in NPP (Figure A2). Based on different scenarios, the driving factors are categorized into six types to explore how these factors are distributed and affect NPP changes (Table 3). Climate factors and human activities together dominate 30.9% of the areas where NPP has increased, primarily concentrated in the eastern and southern parts of the Altai region, the Turpan Basin, and the northern and southern parts of the Tianshan Mountains. The areas where NPP increase is primarily driven by climate factors and human activities account for 31.6% and 14.8%, respectively. In contrast, areas where both climate factors and human activities contribute to NPP decrease make up only 3.2% of the entire region. Areas where NPP reduction is mainly due to human activities account for 12.4% of the region, with these areas concentrated in the southeastern part of the Altai region, the western mountainous areas of the Junggar Basin, urban clusters in the central Tianshan Mountains, and the Ili River Valley. Additionally, areas where NPP reduction is solely influenced by climate factors account for only 7.1%, primarily located in the Ili River Valley, which is highly susceptible to meteorological and geological disasters.
In summary, the changes in NPP in Xinjiang are mainly influenced by both climate factors and human activities. In mountainous and river–lake areas, NPP primarily increases due to climate change, although human activities cause a slight reduction. In basin areas and near urban centers, NPP is mainly reduced by human activities, while areas where both climate factors and human activities jointly contribute to NPP increase are also observed (Figure 13).

4. Discussion and Conclusions

4.1. Discussion

The interplay between climate change and human activities has had a complex influence on productivity and carbon sequestration in Xinjiang. The positive effect of climate factors on NPP is greater than that of human activities, which is consistent with the conclusions of this study [20,38]. However, some studies have indicated that human activities play a significant driving role in NPP, emphasizing the importance of considering the impact of human activities on vegetation NPP [9,39,40]. Differences in research findings may stem from data, methods, and the overall and regional heterogeneity of the study areas [41]. This study aims to refine our understanding by systematically quantifying the relative contributions of climate and human activities to NPP changes over a broad spatial and temporal scale in Xinjiang.
Although previous studies have adequately considered various meteorological factors, they often overlook the collinearity among different meteorological factors, which may lead to biased research results [42,43,44]. This collinearity can complicate the attribution of NPP changes to specific climate factors, introducing uncertainty into the analysis. Additional, regional heterogeneity implies that the primary drivers of NPP can differ significantly across various parts of Xinjiang, making it difficult to generalize findings across the entire region [20]. This heterogeneity calls for more localized studies to better capture the nuances of NPP variation and its driving factors [42].
Climate change, particularly in temperature, precipitation, and sunshine hours, is a major factor affecting vegetation growth [45]. Soil nutrient content and texture also have significant impacts on NPP [46,47]. In Xinjiang, sunshine hours and precipitation contribute more to changes in NPP, while temperature has a lesser effect. This finding is consistent with the patterns observed in other arid and semi-arid regions, where increased precipitation boosts soil moisture, enhances vegetation productivity, and supports carbon sequestration [29,48,49].
Temperature and precipitation interact in ways that are often complex. In areas with ample precipitation, higher temperatures promote NPP by alleviating water and heat limitations [50]. In contrast, in basins with lower precipitation, high temperatures lead to intense evapotranspiration, restricting vegetation growth [51,52]. Even in the context of “warming and humidification”, Xinjiang remains in a high-temperature, low-precipitation arid environment. A reduced duration of sunlight helps to decrease water evaporation, maintain soil moisture, and increase organic matter accumulation, significantly boosting plant NPP. However, hydrothermal conditions are still the primary drivers of NPP changes, with significant variation across different topographies. The NPP is higher in northern Xinjiang and mountainous areas, primarily due to favorable climatic and topographical conditions. For example, the Tianshan Mountains, Altai Mountains, Ili River Valley, and western Junggar Mountains are influenced by warm and humid airflows from the north Atlantic [53]. Combined with topographical factors, this results in a decrease in temperature with increasing altitude and an increase in precipitation on the mountains, providing favorable conditions for vegetation growth. In contrast, the low humidity of the Siberian and Mongolian Plateau air masses, along with cold and dry airflows, affects the southern Tarim Basin, increasing its drought intensity [54]. Additionally, surrounding mountains block air exchanges, limiting moisture replenishment, which further exacerbates drought in the region. This leads to high evapotranspiration demand, while precipitation is insufficient to offset the increased evapotranspiration due to higher temperatures, thereby reducing the carbon sequestration capacity of the region.
Human activities, especially land use changes, directly affect vegetation growth [55]. Ecological restoration projects can enhance NPP, while urbanization and land development may lead to decreases in NPP [24,56]. For example, in the Ili River Valley, despite favorable ecological conditions, NPP has declined due to overuse of water resources and land development [57]. In contrast, in regions such as the Tarim Basin, afforestation and ecological engineering have had a significant positive impact on NPP through human activities [58]. These contrasting outcomes are consistent with the findings of Peng et al. (2020), who also observed that the net effect of human activities on NPP can vary widely depending on the nature and scale of the activities [58].
Since 2000, the NPP of natural grasslands in Xinjiang has generally shown a fluctuating upward trend, although overgrazing has led to some degradation [59]. To mitigate the impact of human activities on grasslands, the autonomous region actively promotes green development and implements ecological restoration measures, such as the Three-North Shelterbelt Project, natural forest protection, and converting cropland back to forest [60,61]. These efforts have significantly improved vegetation growth and carbon sequestration capacity [62,63] (Figure 14). To accommodate development needs, some agricultural land has been transformed into construction areas, leading to the depletion of soil moisture and nutrients, which in turn harms vegetation growth and limits NPP increase [64]. In contrast, converting farmland to forestland or wetlands significantly enhances NPP by improving soil fertility and retaining moisture [65]. The factors driving land conversion primarily stem from various needs of social development, including the expansion of urban areas, infrastructure development, the growth of high-yield crops, and the demands of socio-economic development [66]. These factors all contribute to the mutual conversion between different land types in Xinjiang.
Land use changes have multifaceted effects on NPP, emphasizing the importance of incorporating ecological protection and restoration into land use planning [67]. In recent years, the positive impact of human activities on NPP has surpassed the negative effects, mainly due to rapid afforestation that has promoted increases in the leaf area index (LAI) and NPP (Supplementary Materials) [68]. Although climate factors remain the dominant drivers of NPP increases, the impact of human activities is complex. Proactive measures can significantly enhance ecological benefits, whereas negative activities may adversely affect vegetation productivity even under favorable climatic conditions. This study reinforces the conclusions of Y. Chen et al. (2020), demonstrating that targeted human interventions, such as afforestation, can effectively complement climate-driven increases in NPP.

4.2. Conclusions

Based on the analysis of the spatiotemporal evolution characteristics of NPP from 2000 to 2020 and its driving factors, the following conclusions are drawn:
1. From 2000 to 2020, Xinjiang’s average annual NPP was 101.52 gC/m2, increasing at 0.447 gC/m2 per year. Vegetation NPP ranged from 87.97 to 117.5 gC/m2, with higher values in northern Xinjiang and mountainous areas compared to southern and basin regions, showing notable spatial heterogeneity.
2. Climate factors and human activities contributed 1.054 gC/m2/year and 0.239 gC/m2/year to NPP, respectively. Sunshine duration had the largest impact (0.588 gC/m2/year), followed by precipitation (0.169 gC/m2/year) and temperature (0.003 gC/m2/year). Both climate factors and human activities had positive area contributions of 74.9% and 51.54%, while negative contributions were 25.1% and 48.46%, respectively.
3. The NPP is ranked from high to low based on the average values as follows: forest, wetland, cropland, grassland, impervious land, and bare land. Among them, forest has the highest NPP at 443.96 gC/m2, with an annual growth rate of 2.69 gC/m2/yr. When forest is converted to cropland, the net loss in NPP is −1.94 gC/m2, and the loss is even greater in conversion to grassland, reaching −17.33 gC/m2.
4. Over the past 21 years, 77.25% of the area experienced an increase in NPP, while 22.69% saw a decrease. Climate factors drove NPP increase in 31.6% of the area, while human activities contributed to 14.8%. Areas where climate factors caused NPP reduction accounted for 7.1%, and those influenced by human activities for 12.4%.

Supplementary Materials

The following supporting information can be downloaded at: https://www.mdpi.com/article/10.3390/land14020371/s1, Table S1: Glossary of Terms.

Author Contributions

G.Y.: conceptualization, methodology, investigation, software, formal analysis, writing—original draft, formal analysis. B.H.: investigation, supervision, formal analysis, writing—review and editing, funding acquisition. Y.S.: investigation, software. X.L., W.Y. and Y.C.: investigation, software. All authors have read and agreed to the published version of the manuscript.

Funding

This research was funded by the National Natural Science Foundation of China (42361063); the Third Xinjiang Comprehensive Scientific Expedition (2021xjkk1000, 2021xjkk1001).

Data Availability Statement

The data provided in this study are available upon request from the corresponding author. The data are not publicly available as they are being collated.

Acknowledgments

We greatly appreciate the anonymous reviewers and editors who evaluated our article and provided insightful feedback. This study was supported by the project of the Ministry of Science and Technology of China, Third Comprehensive Scientific Expedition to Xinjiang (2021xjkk1001); and the Natural Science Foundation of Xinjiang Uygur Autonomous Region (2019D01C024).

Conflicts of Interest

The authors declare that this study has no interests with any related institutions or individuals that would affect the reporting of this study.

Appendix A

Figure A1. The proportion of positive and negative effects of the main factors driving NPP changes. Human activities had a nearly balanced impact, with 51.54% of the influence being positive and 48.46% negative. In contrast, climate factors had a more pronounced positive effect, with 74.9% of their influence supporting NPP growth and only 25.1% having a negative impact. Among the climate factors, precipitation showed the strongest positive influence, contributing 74.64% to NPP increases, while 25.36% was negative. Temperature had a similarly positive effect, with 71.71% contributing to NPP growth and 28.37% exerting a negative impact. Lastly, sunshine hours were positive in 68.64% of cases but had a negative effect in 32.11% of instances.
Figure A1. The proportion of positive and negative effects of the main factors driving NPP changes. Human activities had a nearly balanced impact, with 51.54% of the influence being positive and 48.46% negative. In contrast, climate factors had a more pronounced positive effect, with 74.9% of their influence supporting NPP growth and only 25.1% having a negative impact. Among the climate factors, precipitation showed the strongest positive influence, contributing 74.64% to NPP increases, while 25.36% was negative. Temperature had a similarly positive effect, with 71.71% contributing to NPP growth and 28.37% exerting a negative impact. Lastly, sunshine hours were positive in 68.64% of cases but had a negative effect in 32.11% of instances.
Land 14 00371 g0a1
Figure A2. The proportion of the six scenarios of vegetation NPP changes in Xinjiang from 2000 to 2020 (Recovery for both Climate Factors and Human Activities; Recovery for Climate Factors; Recovery for Human Activities; Degradation for Both Climate Factors and Human Activities; Degradation for Climate Factors; Degradation for Human Activities).
Figure A2. The proportion of the six scenarios of vegetation NPP changes in Xinjiang from 2000 to 2020 (Recovery for both Climate Factors and Human Activities; Recovery for Climate Factors; Recovery for Human Activities; Degradation for Both Climate Factors and Human Activities; Degradation for Climate Factors; Degradation for Human Activities).
Land 14 00371 g0a2

References

  1. Behrenfeld, M.J.; O’Malley, R.T.; Siegel, D.A.; McClain, C.R.; Sarmiento, J.L.; Feldman, G.C.; Milligan, A.J.; Falkowski, P.G.; Letelier, R.M.; Boss, E.S. Climate-driven trends in contemporary ocean productivity. Nature 2006, 444, 752–755. [Google Scholar] [CrossRef]
  2. Paetzold, A.; Warren, P.H.; Maltby, L.L. A framework for assessing ecological quality based on ecosystem services. Ecol. Complex. 2010, 7, 273–281. [Google Scholar] [CrossRef]
  3. Ruimy, A.; Saugier, B.; Dedieu, G. Methodology for the estimation of terrestrial net primary production from remotely sensed data. J. Geophys. Res. Atmos. 1994, 99, 5263–5283. [Google Scholar] [CrossRef]
  4. Xu, Y.; Xiao, F.; Yu, L. Review of spatio-temporal distribution of net primary productity in forest ecosystem and its responses to climate change in China. Acta Ecol. Sin. 2020, 40, 4710–4723. [Google Scholar]
  5. Yao, J.; Chen, J.; Dilinuer, T.; Han, X.; Mao, W. Trend of climate and hydrology change in Xinjiang and its problems thinking. J. Glaciol. Geocryol. 2021, 43, 1498–1511. [Google Scholar]
  6. Huang, L.; Cao, W.; Zhu, P. The regional variation characters of ecological effects of the grain for green project. Acta Ecol. Sin. 2020, 40, 4041–4052. [Google Scholar]
  7. Li, Z.; Chen, J.; Chen, Z.; Sha, Z.; Yin, J.; Chen, Z. Quantifying the contributions of climate factors and human activities to variations of net primary productivity in China from 2000 to 2020. Front. Earth Sci. 2023, 11, 1084399. [Google Scholar] [CrossRef]
  8. Meiling, Z.; Quangong, C.; Wenlan, J. Simulation and sensitivity analysis of net primary productivity (NPP) of different grassland types. Arid Land Geogr. 2021, 44, 369–378. [Google Scholar]
  9. Shi, Z.; Wang, Y.; Zhao, Q.; Zhang, L.; Zhu, C. The spatiotemporal changes of NPP and its driving mechanisms in China from 2001 to 2020. Ecol. Environ. 2022, 31, 2111. [Google Scholar]
  10. Kobler, J.; Zehetgruber, B.; Dirnböck, T.; Jandl, R.; Mirtl, M.; Schindlbacher, A. Effects of aspect and altitude on carbon cycling processes in a temperate mountain forest catchment. Landsc. Ecol. 2019, 34, 325–340. [Google Scholar] [CrossRef]
  11. Girardin, C.A.; Malhi, Y.; Doughty, C.E.; Metcalfe, D.B.; Meir, P.; del Aguila-Pasquel, J.; Araujo-Murakami, A.; Da Costa, A.C.; Silva-Espejo, J.E.; Farfan Amezquita, F. Seasonal trends of Amazonian rainforest phenology, net primary productivity, and carbon allocation. Glob. Biogeochem. Cycles 2016, 30, 700–715. [Google Scholar] [CrossRef]
  12. Kinnunen, R.; Lehtonen, I.; Kas, J.; Järvelä, R.; Poutamo, H.; Wenzlaff, C.; Latus, J. Impact of climate change on the boreal forest in Finland and Sweden. In HENVI Workshop; 2013; pp. 103–118. Available online: https://www.researchgate.net/publication/271271260_Impact_of_Climate_Change_on_the_Boreal_Forest_in_Finland_and_Sweden (accessed on 6 February 2024).
  13. Salgado-Hernanz, P.M.; Regaudie de Gioux, A.; Antoine, D.; Basterretxea, G. Pelagic primary production in the coastal Mediterranean Sea: Variability, trends and contribution to basin scale budgets. Biogeosciences Discuss. 2021, 2021, 47–69. [Google Scholar] [CrossRef]
  14. Gómez Giménez, M.; de Jong, R.; Keller, A.; Rihm, B.; Schaepman, M.E. Studying the influence of nitrogen deposition, precipitation, temperature, and sunshine in remotely sensed gross primary production response in Switzerland. Remote Sens. 2019, 11, 1135. [Google Scholar] [CrossRef]
  15. Wang, J.; Yang, Y.; Zuo, C.; Gu, F.; He, H. Impacts of human activities and climate change on gross primary productivity of the terrestrial ecosystems in China. Acta Ecol. Sin. 2021, 41, 7085–7099. [Google Scholar]
  16. Zhang, R.; Guo, J.; Zhang, Y. Spatial distribution pattern of NPP of Xinjiang grassland and its response to climatic changes. Acta Ecol. Sin. 2020, 40, 5318–5326. [Google Scholar]
  17. Chen, Z.; Shao, Q.; Liu, J.; Wang, J. Analysis of net primary productivity of terrestrial vegetation on the Qinghai-Tibet Plateau, based on MODIS remote sensing data. Sci. China Earth Sci. 2012, 55, 1306–1312. [Google Scholar] [CrossRef]
  18. Bingxin, M.; Juanli, J.; Yong, X.; Hongchang, H.; Bing, L. Spatial-temporal changes of NPP and its relationship with climate change in karst areas of Yunnan, Guizhou and Guangxi from 2000 to 2019. Ecol. Environ. 2021, 30, 2285. [Google Scholar]
  19. Liu, C.; Dong, X.; Liu, Y. Changes of NPP and their relationship to climate factors based on the transformation of different scales in Gansu, China. Catena 2015, 125, 190–199. [Google Scholar] [CrossRef]
  20. Jiang, P.; Ding, W.; Xiao, J.; Pan, X. Altitudinal difference of vegetation NPP and its response to climate change in Xinjiang. Arid Land Geogr. 2021, 44, 849–857. [Google Scholar]
  21. Wei, X.; Yan, C.; Wei, W. Grassland dynamics and the driving factors based on net primary productivity in Qinghai Province, China. ISPRS Int. J. Geo-Inf. 2019, 8, 73. [Google Scholar] [CrossRef]
  22. Yang, F.; Wang, J.; Zhang, C.; Li, J.; Xie, H.; Zhuoge, Z. The impact of human activities on net primary productivity in a grassland open-pit mine: The case study of the shengli mining area in inner mongolia, china. Land 2022, 11, 743. [Google Scholar] [CrossRef]
  23. Zhou, Y.; Xing, B.; Ju, W. Assessing the impact of urban sprawl on net primary productivity of terrestrial ecosystems using a process-based model—A case study in Nanjing, China. IEEE J. Sel. Top. Appl. Earth Obs. Remote Sens. 2015, 8, 2318–2331. [Google Scholar] [CrossRef]
  24. Dong, G.; Bai, J.; Yang, S.; Wu, L.; Cai, M.; Zhang, Y.; Luo, Y.; Wang, Z. The impact of land use and land cover change on net primary productivity on China’s Sanjiang Plain. Environ. Earth Sci. 2015, 74, 2907–2917. [Google Scholar] [CrossRef]
  25. Gang, C.; Zhao, W.; Zhao, T.; Zhang, Y.; Gao, X.; Wen, Z. The impacts of land conversion and management measures on the grassland net primary productivity over the Loess Plateau, Northern China. Sci. Total Environ. 2018, 645, 827–836. [Google Scholar] [CrossRef] [PubMed]
  26. Qin, J.; Hao, X.; Zhang, Y.; Hua, D. Effects of climate change and human activities on vegetation productivity in arid areas. Arid Land Geogr. 2020, 43, 117–125. [Google Scholar]
  27. Simioni, G.; Marie, G.; Davi, H.; Martin-St Paul, N.; Huc, R. Natural forest dynamics have more influence than climate change on the net ecosystem production of a mixed Mediterranean forest. Ecol. Model. 2020, 416, 108921. [Google Scholar] [CrossRef]
  28. Zhang, J.; Qi, Y.; Yang, R.; Ma, X.; Zhang, J.; Qi, W.; Guo, Q.; Wang, H. Impacts of Climate Change and Land Use/Cover Change on the Net Primary Productivity of Vegetation in the Qinghai Lake Basin. Int. J. Environ. Res. Public Health 2023, 20, 2179. [Google Scholar] [CrossRef]
  29. GUO, Y.-y.; LIU, Y.; LI, Q.-y.; CHEN, C.; WANG, S. Validation and Adaptability Evaluation of Grassland Ecosystem Model CENTURY in the Tianshan Mountain Area. Acta Agrestia Sin. 2020, 28, 252. [Google Scholar]
  30. Jia, C. Spatial-temporal evolution of NPP and its response to extreme climate in Songhua River basin. South-to-North Water Divers. Water Sci. Technol. 2024, 22, 131–147. [Google Scholar]
  31. Cacuci, D.G.; Ionescu-Bujor, M. A comparative review of sensitivity and uncertainty analysis of large-scale systems—II: Statistical methods. Nucl. Sci. Eng. 2004, 147, 204–217. [Google Scholar] [CrossRef]
  32. Liu, H.; Jiao, F.; Yin, J.; Li, T.; Gong, H.; Wang, Z.; Lin, Z. Nonlinear relationship of vegetation greening with nature and human factors and its forecast–a case study of Southwest China. Ecol. Indic. 2020, 111, 106009. [Google Scholar] [CrossRef]
  33. Field, C.B.; Randerson, J.T.; Malmström, C.M. Global net primary production: Combining ecology and remote sensing. Remote Sens. Environ. 1995, 51, 74–88. [Google Scholar] [CrossRef]
  34. Potter, C.S.; Klooster, S.A. Global model estimates of carbon and nitrogen storage in litter and soil pools: Response to changes in vegetation quality and biomass allocation. Tellus B 1997, 49, 1–17. [Google Scholar] [CrossRef]
  35. Evans, J.; Geerken, R. Discrimination between climate and human-induced dryland degradation. J. Arid Environ. 2004, 57, 535–554. [Google Scholar] [CrossRef]
  36. Xu, Y.; Huang, H.Y.; Dai, Q.Y.; Guo, Z.D.; Zheng, Z.W.; Pan, Y.C. Spatial-temporal Variation in Net Primary Productivity in terrestrial vegetation ecosystems and its driving forces in Southwest China. Huan Jing Ke Xue Huanjing Kexue 2023, 44, 2704–2714. [Google Scholar] [PubMed]
  37. Yao, J.; Li, M.; Dilinuer, T.; Chen, J.; Mao, W. The assessment on “warming-wetting” trend in Xinjiang at multi-scale during 1961–2019. Arid Zone Res. 2022, 39, 333–346. [Google Scholar]
  38. Smith, P.; Adams, J.; Beerling, D.J.; Beringer, T.; Calvin, K.V.; Fuss, S.; Griscom, B.; Hagemann, N.; Kammann, C.; Kraxner, F. Land-management options for greenhouse gas removal and their impacts on ecosystem services and the sustainable development goals. Annu. Rev. Environ. Resour. 2019, 44, 255–286. [Google Scholar] [CrossRef]
  39. Dengke, L.; Zhao, W. Quantitative analysis of the impact of climate change and human activities on vegetation NPP in Shaanxi Province. Ecol. Environ. 2022, 31, 1071. [Google Scholar]
  40. Zhou, Y.; Zhu, M.; Guo, X.; Li, K.; Miao, J.; Guo, J.; Xu, X.; Yue, D. Relative effects of climate change and human activities on net primary productivity in Shule River Basin. Acta Ecol. Sin. 2019, 39, 5127–5137. [Google Scholar]
  41. Du, Q.; Yi, G.; Zhou, X.; Zhang, T.; Li, J.; Xie, H.; Hu, J. Analysis of asymmetry in diurnal warming and its impact on vegetation phenology in the Qinghai-Tibetan Plateau using MODIS remote sensing data. J. Appl. Remote Sens. 2021, 15, 028502. [Google Scholar] [CrossRef]
  42. Baig, F.; Ali, L.; Faiz, M.A.; Chen, H.; Sherif, M. How accurate are the machine learning models in improving monthly rainfall prediction in hyper arid environment? J. Hydrol. 2024, 633, 131040. [Google Scholar] [CrossRef]
  43. Hwang, J.; Choi, Y.-S.; Kim, W.; Su, H.; Jiang, J.H. Observational estimation of radiative feedback to surface air temperature over Northern High Latitudes. Clim. Dyn. 2018, 50, 615–628. [Google Scholar] [CrossRef]
  44. Ma, M.; Wang, Q.; Liu, R.; Zhao, Y.; Zhang, D. Effects of climate change and human activities on vegetation coverage change in northern China considering extreme climate and time-lag and-accumulation effects. Sci. Total Environ. 2023, 860, 160527. [Google Scholar] [CrossRef]
  45. Chen, S.-T.; Guo, B.; Yang, F.; Han, B.-M.; Fan, Y.-W.; Yang, X.; He, T.-L.; Liu, Y.; Yang, W.-N. Spatial and temporal patterns of NPP and its response to climate change in the Qinghai-Tibet Plateau from 2000 to 2015. J. Nat. Resour. 2020, 35, 2511–2527. [Google Scholar] [CrossRef]
  46. Chen, H.; Zhao, X.; Lin, Q.; Li, G.; Kong, W. Spring watering interactively improves aboveground net primary productivity and soil microbial biomass in a semi-arid grassland of China. Catena 2020, 189, 104478. [Google Scholar] [CrossRef]
  47. Zhou, W.; Li, C.; Wang, S.; Ren, Z.; Stringer, L.C. Effects of vegetation restoration on soil properties and vegetation attributes in the arid and semi-arid regions of China. J. Environ. Manag. 2023, 343, 118186. [Google Scholar] [CrossRef] [PubMed]
  48. Nielsen, U.N.; Ball, B.A. Impacts of altered precipitation regimes on soil communities and biogeochemistry in arid and semi-arid ecosystems. Glob. Change Biol. 2015, 21, 1407–1421. [Google Scholar] [CrossRef]
  49. Yin, G.; Li, L.; Meng, X.; Wang, L.; Liu, Y. A research of precipitation trend and fluctuation in Xinjiang from 1979 to 2013. J. North China Univ. Water Resour. Electr. Power (Nat. Sci. Ed.) 2017, 38, 19–27. [Google Scholar]
  50. Wei, J.-P.; Yang, Y.-C.; Xin-Chang, X.; Liao, L.-P.; Tian, Y.; Zhou, J.-Y. Quantifying ecosystem service trade-offs and synergies in Nanning City based on ecosystem service bundles. J. Ecol. Rural. Environ. 2022, 38, 21–31. [Google Scholar]
  51. Baron, J.S.; Hartman, M.D.; Kittel, T.G.; Band, L.E.; Ojima, D.S.; Lammers, R.B. Effects of land cover, water redistribution, and temperature on ecosystem processes in the South Platte Basin. Ecol. Appl. 1998, 8, 1037–1051. [Google Scholar] [CrossRef]
  52. Jiao, W.; Chen, Y.-n.; Li, Z. Remote sensing estimation and the reasons for temporal-spatial differences of vegetation net primary productivity in arid region of Northwest China. Chin. J. Ecol. 2017, 36, 181. [Google Scholar]
  53. Sun, H.; Liu, X. Impacts of the uplift of four mountain ranges on the arid climate and dust cycle of inland Asia. Palaeogeogr. Palaeoclimatol. Palaeoecol. 2018, 505, 167–179. [Google Scholar] [CrossRef]
  54. An, L.; Hao, Y.; Yeh, T.-C.J.; Zhang, B. Annual to multidecadal climate modes linking precipitation of the northern and southern slopes of the Tianshan Mts. Theor. Appl. Climatol. 2020, 140, 453–465. [Google Scholar] [CrossRef]
  55. Yang, A.; Zhang, H.; Yang, X.; Zhang, X. Quantitative analysis of the impact of climate change and human activities on vegetation NPP in the Qilian Mountain. Hum. Ecol. Risk Assess. Int. J. 2023, 29, 202–221. [Google Scholar] [CrossRef]
  56. Jiang, X.; Bai, J. Quantifying the impacts of drought and ecological restoration on net primary production changes in the Chinese Loess Plateau. PLoS ONE 2020, 15, e0238997. [Google Scholar] [CrossRef] [PubMed]
  57. Zhang, F.; Zeng, B.; Cao, Y.; Li, F.; Tang, Z.; Qi, J. Human activities have markedly altered the pattern and trend of net primary production in the Ili River basin of Northwest China under current climate change. Land Degrad. Dev. 2022, 33, 2585–2595. [Google Scholar] [CrossRef]
  58. Peng, Z.; Tao, C.; Qian, W.; Ruide, Y. Quantitative analysis of the impact of climate change and human activities on grassland ecosystem NPP in Xinjiang. J. Univ. Chin. Acad. Sci. 2020, 37, 51. [Google Scholar]
  59. Zhang, H.-Y.; Fan, J.-W.; Shao, Q.-Q.; Zhang, Y.-X. Ecosystem dynamics in the ‘Returning Rangeland to Grassland’programs, China. Acta Prataculturae Sin. 2016, 25, 1. [Google Scholar]
  60. Jianan, Z.; Jianjun, Z.; Haibo, Z.; Ruoxiu, S.; Shouhong, Z.; Yunbin, Y. Water conservation capacity of typical forestlands in the Loess Plateau of Western Shanxi Province of Northern China. J. Beijing For. Univ. 2019, 41, 105–114. [Google Scholar]
  61. Wang, Y.; Zhang, C.; Liu, C.; Zhen, L. Research on the pattern and change of forest water conservation in Three-North Shelterbelt Forest Program region, China. Acta Ecol. Sin. 2019, 39, 5847–5856. [Google Scholar]
  62. Gao, L.; Li, H. Improving carbon sequestration capacity of forest vegetation in China: Afforestation or forest management? Forests 2023, 14, 1077. [Google Scholar] [CrossRef]
  63. Qiu, Z.; Feng, Z.; Song, Y.; Li, M.; Zhang, P. Carbon sequestration potential of forest vegetation in China from 2003 to 2050: Predicting forest vegetation growth based on climate and the environment. J. Clean. Prod. 2020, 252, 119715. [Google Scholar] [CrossRef]
  64. Fu, B.; Meng, Q.; Qiu, Y.; Zhao, W.; Zhang, Q.; Davidson, D. Effects of land use on soil erosion and nitrogen loss in the hilly area of the Loess Plateau, China. Land Degrad. Dev. 2004, 15, 87–96. [Google Scholar] [CrossRef]
  65. Mao, D.; Wang, Z.; Wu, C.; Song, K.; Ren, C. Examining forest net primary productivity dynamics and driving forces in northeastern China during 1982–2010. Chin. Geogr. Sci. 2014, 24, 631–646. [Google Scholar] [CrossRef]
  66. Zhang, H.; Zhu, C.; Jiao, T.; Luo, K.; Ma, X.; Wang, M. Analysis of the Trends and Driving Factors of Cultivated Land Utilization Efficiency in Henan Province from 2000 to 2020. Land 2024, 13, 2109. [Google Scholar] [CrossRef]
  67. Zhao, Y.; Ju, Z.; Wu, L. Effects of land use change on net primary productivity. Sci. Surv. Mapp 2023, 48, 166–175. [Google Scholar]
  68. Chen, Y.; Chen, L.; Cheng, Y.; Ju, W.; Chen, H.Y.; Ruan, H. Afforestation promotes the enhancement of forest LAI and NPP in China. For. Ecol. Manag. 2020, 462, 117990. [Google Scholar] [CrossRef]
Figure 1. Study area and land cover types. (a) Location of the study area, and distribution of (b) changed and (c) unchanged land cover types from 2000 to 2020.
Figure 1. Study area and land cover types. (a) Location of the study area, and distribution of (b) changed and (c) unchanged land cover types from 2000 to 2020.
Land 14 00371 g001
Figure 2. Comparison of estimated NPP and GLASS_NPP in Xinjiang.
Figure 2. Comparison of estimated NPP and GLASS_NPP in Xinjiang.
Land 14 00371 g002
Figure 3. Spatial distribution characteristics of vegetation NPP in Xinjiang from 2000 to 2020. (a) Spatial distribution of NPP in Xinjiang in 2000; (b) spatial distribution of NPP in Xinjiang in 2005; (c) spatial distribution of NPP in Xinjiang in 2010; (d) spatial distribution of NPP in Xinjiang in 2015; (e) spatial distribution of NPP in Xinjiang in 2020; (f) spatial distribution of the multi-year average NPP in Xinjiang.
Figure 3. Spatial distribution characteristics of vegetation NPP in Xinjiang from 2000 to 2020. (a) Spatial distribution of NPP in Xinjiang in 2000; (b) spatial distribution of NPP in Xinjiang in 2005; (c) spatial distribution of NPP in Xinjiang in 2010; (d) spatial distribution of NPP in Xinjiang in 2015; (e) spatial distribution of NPP in Xinjiang in 2020; (f) spatial distribution of the multi-year average NPP in Xinjiang.
Land 14 00371 g003
Figure 4. Interannual variations in vegetation NPP in Xinjiang from 2000 to 2020.
Figure 4. Interannual variations in vegetation NPP in Xinjiang from 2000 to 2020.
Land 14 00371 g004
Figure 5. Interannual variation of NPP of different vegetation types. (a) Interannual NPP variation of cropland; (b) interannual NPP variation of forestland; (c) interannual NPP variation of grassland; (d) interannual NPP variation of barren land; (e) interannual NPP variation of impervious land; (f) interannual NPP variation of wetlands.
Figure 5. Interannual variation of NPP of different vegetation types. (a) Interannual NPP variation of cropland; (b) interannual NPP variation of forestland; (c) interannual NPP variation of grassland; (d) interannual NPP variation of barren land; (e) interannual NPP variation of impervious land; (f) interannual NPP variation of wetlands.
Land 14 00371 g005
Figure 6. Change trend (a) and significance test (b) of vegetation NPP in Xinjiang from 2000 to 2020 (Supplementary Materials).
Figure 6. Change trend (a) and significance test (b) of vegetation NPP in Xinjiang from 2000 to 2020 (Supplementary Materials).
Land 14 00371 g006
Figure 7. The interannual CV of Xinjiang NPP from 2000 to 2020.
Figure 7. The interannual CV of Xinjiang NPP from 2000 to 2020.
Land 14 00371 g007
Figure 8. Interannual variation of (a) annual average temperature, (b) cumulative precipitation, and (c) sunshine hours in Xinjiang from 2000 to 2020.
Figure 8. Interannual variation of (a) annual average temperature, (b) cumulative precipitation, and (c) sunshine hours in Xinjiang from 2000 to 2020.
Land 14 00371 g008
Figure 9. Contribution of (a) precipitation, (b) temperature, and (c) sunshine hours in Xinjiang to changes in NPP.
Figure 9. Contribution of (a) precipitation, (b) temperature, and (c) sunshine hours in Xinjiang to changes in NPP.
Land 14 00371 g009
Figure 10. Contribution of climate factors (a) and human activities (b) to NPP changes in Xinjiang.
Figure 10. Contribution of climate factors (a) and human activities (b) to NPP changes in Xinjiang.
Land 14 00371 g010
Figure 11. Average contribution of each driving factor to different land types.
Figure 11. Average contribution of each driving factor to different land types.
Land 14 00371 g011
Figure 12. Sankey diagram of area transitions among different land use types from 2000 to 2020.
Figure 12. Sankey diagram of area transitions among different land use types from 2000 to 2020.
Land 14 00371 g012
Figure 13. Dominant factor zoning of vegetation NPP changes in Xinjiang from 2000 to 2020 (recovery for both climate factors and human activities; recovery for climate factors; recovery for human activities; degradation for both climate factors and human activities; degradation for climate factors; degradation for human activities).
Figure 13. Dominant factor zoning of vegetation NPP changes in Xinjiang from 2000 to 2020 (recovery for both climate factors and human activities; recovery for climate factors; recovery for human activities; degradation for both climate factors and human activities; degradation for climate factors; degradation for human activities).
Land 14 00371 g013
Figure 14. Statistics on afforestation area and NPP in Xinjiang.
Figure 14. Statistics on afforestation area and NPP in Xinjiang.
Land 14 00371 g014
Table 1. Environmental variables summary table.
Table 1. Environmental variables summary table.
Average Contribution
XinjiangTemperaturePrecipitationSunshine HoursClimate FactorsHuman Activities
0.0030.1690.5881.0540.239
Table 2. NPP gain and loss values attributable to land use changes in Xinjiang from 2000 to 2020.
Table 2. NPP gain and loss values attributable to land use changes in Xinjiang from 2000 to 2020.
Area/km2Values% Area/km2Values% Area/km2Values%
Cropland–Cropland58,005.2545.58Cropland–Forest85.551.23Cropland–Grassland7845−4.9
Cropland–Barren185.5−49.19Cropland–Impervious692.75−5.72Cropland–Wetland3.52.12
Forest–Cropland330.25−1.94Forest–Forest16,215−0.3Forest–Grassland19.75−17.33
Forest–Barren00Forest–Impervious1.75−4.62Forest–Wetland0.2579.52
Grassland–Cropland25,70894.64Grassland–Forest4187−2.62Grassland–Grassland360,3924.81
Grassland–Barren36,777.5−2.13Grassland–Impervious2018.528.78Grassland–Wetland227.514.02
Barren–Cropland9940.75144.58Barren–Forest10.7591.73Barren–Grassland41,663.7536.47
Barren–Barren1,128,942−0.65Barren–Impervious1274.2552.57Barren–Wetland197.49
Impervious–Cropland1.560.93Impervious–Forest00Impervious–Grassland3.7538.05
Impervious–Barren0.75−12.32Impervious–Impervious1282.2529.87Impervious–Wetland00
Wetland–Cropland2626.04Wetland–Forest1.757.09Wetland–Grassland35.758.81
Wetland–Barren0.25−5.76Wetland–Impervious00Wetland–Wetland319.752.26
Table 3. Six scenarios depicting NPP changes driven by climate factors and human activities.
Table 3. Six scenarios depicting NPP changes driven by climate factors and human activities.
SNPPC(C)C(H)Contribution
Climate Factors (%)Human Activities (%)Scenario
>0>0>0 C C C C + C H × 100 C H C C + C H × 100 Recovery for Both Factors
>0<01000Recovery for Climate Factors
<0>00100Recovery for Human Activities
<0<0<0 C C C C + C H × 100 C H C C + C H × 100 Degradation for Both Factors
<0>01000Degradation for Climate Factors
>0<00100Degradation for Human Activities
Disclaimer/Publisher’s Note: The statements, opinions and data contained in all publications are solely those of the individual author(s) and contributor(s) and not of MDPI and/or the editor(s). MDPI and/or the editor(s) disclaim responsibility for any injury to people or property resulting from any ideas, methods, instructions or products referred to in the content.

Share and Cite

MDPI and ACS Style

Yisilayili, G.; He, B.; Song, Y.; Luo, X.; Yang, W.; Chen, Y. Simulation of Vegetation NPP in Typical Arid Regions Based on the CASA Model and Quantification of Its Driving Factors. Land 2025, 14, 371. https://doi.org/10.3390/land14020371

AMA Style

Yisilayili G, He B, Song Y, Luo X, Yang W, Chen Y. Simulation of Vegetation NPP in Typical Arid Regions Based on the CASA Model and Quantification of Its Driving Factors. Land. 2025; 14(2):371. https://doi.org/10.3390/land14020371

Chicago/Turabian Style

Yisilayili, Gulinigaer, Baozhong He, Yaning Song, Xuefeng Luo, Wen Yang, and Yuqian Chen. 2025. "Simulation of Vegetation NPP in Typical Arid Regions Based on the CASA Model and Quantification of Its Driving Factors" Land 14, no. 2: 371. https://doi.org/10.3390/land14020371

APA Style

Yisilayili, G., He, B., Song, Y., Luo, X., Yang, W., & Chen, Y. (2025). Simulation of Vegetation NPP in Typical Arid Regions Based on the CASA Model and Quantification of Its Driving Factors. Land, 14(2), 371. https://doi.org/10.3390/land14020371

Note that from the first issue of 2016, this journal uses article numbers instead of page numbers. See further details here.

Article Metrics

Back to TopTop