Coexistence of Built Areas and Natural Protected Areas Within Metropolitan Regions in China
Abstract
1. Introduction
2. Source and Method
2.1. Identification of Built-Up Areas and Natural Protected Areas in China’s Metropolitan Regions
- (1)
- Identification of metropolitan regions and built-up areas
- (2)
- Identification of natural protected areas
2.2. Characterizing the Coexistence of Built-Up Areas and Natural Protected Areas in Metropolitan Regions
- (1)
- Recognizing coexistence through single factors
- (2)
- Establishment of ICD indicators to comprehensively evaluate the coexistence degree of built-up areas-natural protected areas
- (3)
- Contrasting the variations in coexistence phenomena across different regions
2.3. Factors Influencing the Degree of Coexistence Between Built-Up Areas and Natural Protected Areas
3. Analysis and Results
3.1. Strengthening Coexistence of Built-Up Areas and Natural Protected Areas in Metropolitan Regions
- (1)
- Increase in the number of natural protected areas within metropolitan regions
- (2)
- Increase in the total area of natural protected areas in metropolitan regions
- (3)
- Reduction in distance between built-up areas and natural protected areas in metropolitan regions
- (4)
- Significant increase in the ICD in metropolitan regions
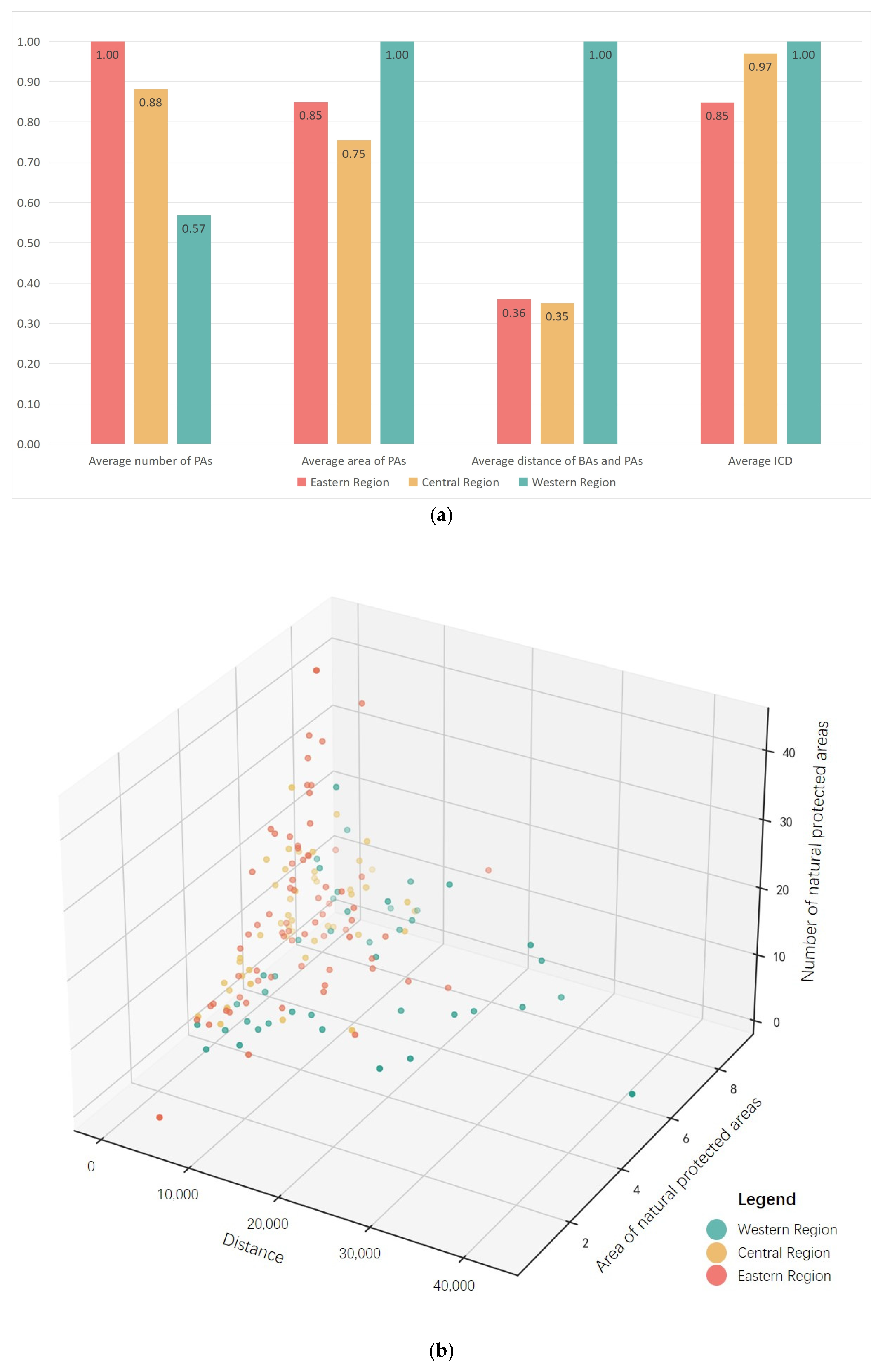
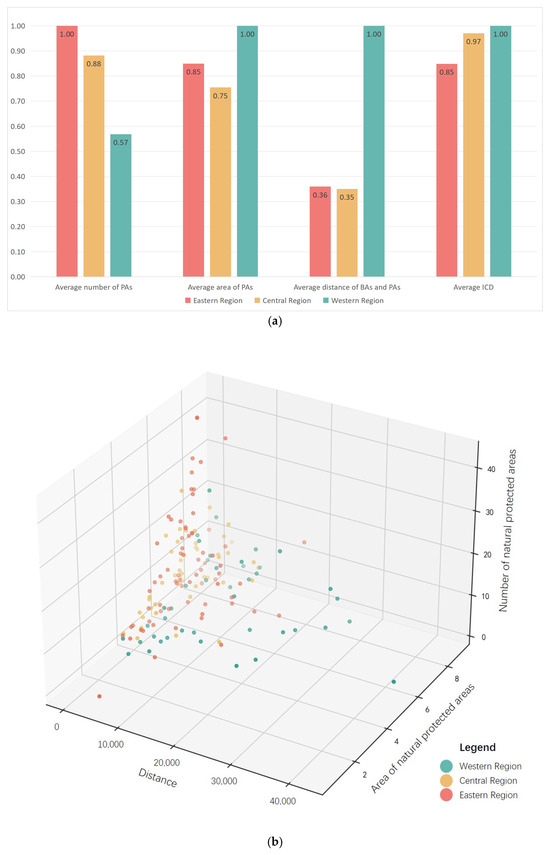
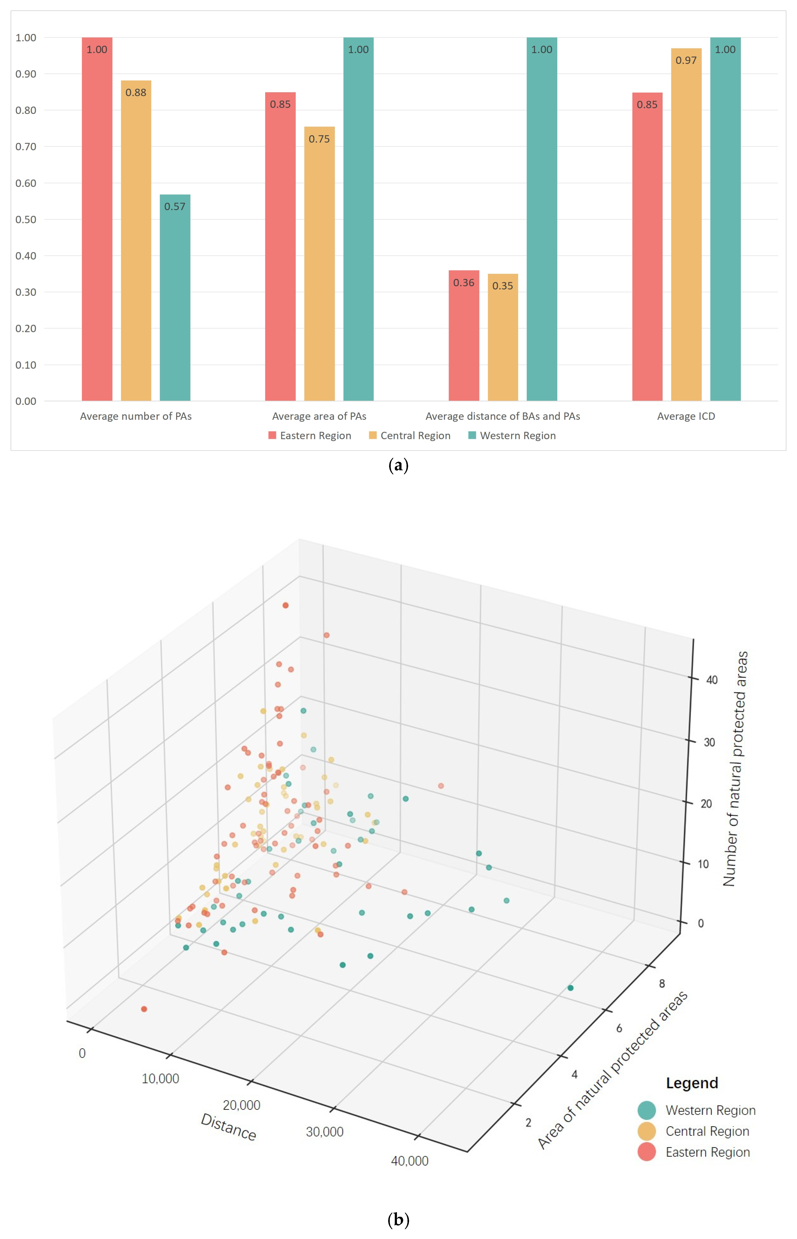
3.2. Significant Differences in the Coexistence Phenomenon Across Different Regions
- (1)
- Disparities in coexistence level and features among eastern, central, and western regions
- (2)
- Differences in coexistence characteristics of metropolitan regions with high degrees of coexistence in different regions
- (3)
- Varied relationships between urban development and the coexistence phenomenon across different regions
3.3. Analysis of Factors Influencing the Coexistence Phenomenon
- (1)
- Nationwide regression analysis
- (2)
- Regional regression analysis
4. Discussion
4.1. Toward More Coexistence of Built-Up Areas and Natural Protected Areas
4.2. Planning for Better Coexistence with Nature
4.3. Linking Urban Development with Nature Conservation
5. Conclusions
Author Contributions
Funding
Data Availability Statement
Conflicts of Interest
References
- West, G. Scale: The Universal Laws of Growth, Innovation, Sustainability, and the Pace of Life in Organisms, Cities, Economies, and Companies; Oengun Press: New York, NY, USA, 2016. [Google Scholar]
- Forman, R. Urban Regions: Ecology and Planning Beyond the City; Cambridge University Press: Cambridge, UK, 2008. [Google Scholar]
- Gordon, A.; Simondson, D.; White, M.; Moilanen, A.; Bekessy, S.A. Integrating conservation planning and landuse planning in urban landscapes. Landsc. Urban Plan. 2009, 91, 183–194. [Google Scholar] [CrossRef]
- Thompson, G.F.; Steiner, F.R.; Carbonell, A. Nature and Cities; Lincoln Institute of Land Policy: Cambridge, UK, 2016. [Google Scholar]
- Edmiston, J.T.; Hyman, G.; McNeely, J.A.; Trzyna, T. Urban Protected Areas: Profiles and best practice guidelines. In Best Practice Protected Area Guidelines Series; IUCN: Gland, Switzerland, 2014. [Google Scholar]
- Talukdar, S.; Naikoo, M.W.; Rahman, A. Urban expansion and vegetation dynamics: The role of protected areas in preventing vegetation loss in a growing mega city. Habitat Int. 2024, 150, 103129. [Google Scholar]
- Jiricka-Pürrer, A.; Tadini, V.; Salak, B.; Taczanowska, K.; Tucki, A.; Senes, G. Do Protected Areas Contribute to Health and Well-Being? A Cross-Cultural Comparison. Int. J. Environ. Res. Public Health 2019, 16, 1172. [Google Scholar] [CrossRef] [PubMed]
- McNeely, J.A. Cities and protected areas: An oxymoron or a partnership? Parks 2001, 11, 1–3. [Google Scholar]
- Horváth, Z.; Ptacnik, R.; Vad, C.F.; Chase, J.M.; Coulson, T. Habitat loss over six decades accelerates regional and local biodiversity loss via changing landscape connectance. Ecol. Lett. 2019, 22, 1019–1027. [Google Scholar] [CrossRef]
- Mcdonald, R.I.; Kareiva, P.; Forman, R. The implications of current and future urbanization for global natural protected areas and biodiversity conservation. Biol. Conserv. 2008, 141, 1695–1703. [Google Scholar] [CrossRef]
- Mckinney, M.L. Urbanization as a major cause of biotic homogenization. Biol. Conserv. 2006, 127, 247–260. [Google Scholar] [CrossRef]
- Meng, Z.Q.; Dong, J.W.; Zhai, J.; Huang, L.; Liu, M.; Ellis, E.C. Effectiveness in protected areas at resisting development pressures in China. Appl. Geogr. 2022, 141, 102682. [Google Scholar] [CrossRef]
- Gasparella, L.; Tomao, A.; Agrimi, M.; Corona, P.; Portoghesi, L.; Barbati, A. Italian stone pine forests under Rome’s siege: Learning from the past to protect their future. Landsc. Res. 2017, 42, 211–222. [Google Scholar] [CrossRef]
- Seifollahi-Aghmiuni, S.; Kalantari, Z.; Egidi, G.; Gaburova, L.; Salvati, L. Urbanisation-driven land degradation and socioeconomic challenges in peri-urban areas: Insights from Southern Europe. Ambio 2022, 51, 1446–1458. [Google Scholar] [CrossRef]
- De La Fuente, B.; Bertzky, B.; Delli, G.; Mandrici, A.; Conti, M.; Florczyk, A.J.; Freire, S.; Schiavina, M.; Bastin, L.; Dubois, G. Built-up areas within and around protected areas: Global patterns and 40-year trends. Glob. Ecol. Conserv. 2020, 24, e01291. [Google Scholar]
- Feng, Y.; Wang, X.; Du, W.; Liu, J.; Li, Y. Spatiotemporal characteristics and driving forces of urban sprawl in China during 2003–2017. J. Clean. Prod. 2019, 241, 118061. [Google Scholar] [CrossRef]
- Li, X.; Gong, P.; Zhou, Y.; Wang, J.; Bai, Y.; Chen, B.; Hu, T.; Xiao, Y.; Xu, B.; Yang, J. Mapping global urban boundaries from the global artificial impervious area (GAIA) data. Environ. Res. Lett. 2020, 15, 094044. [Google Scholar] [CrossRef]
- Peng, Q.; Yang, R.; Cao, Y.; Wang, F.; Hou, S.; Tseng, T.; Wang, X.; Wang, P.; Zhao, Z.; Yu, L. One-third of lands face high conflict risk between biodiversity conservation and human activities in China. J. Environ. Manag. 2021, 299, 113449. [Google Scholar] [CrossRef] [PubMed]
- Ke, X.; van Vliet, J.; Zhou, T.; Verburg, P.H.; Zheng, W.; Liu, X. Direct and indirect loss of natural habitat due to built-up area expansion: A model-based analysis for the city of Wuhan, China. Land Use Policy 2018, 74, 231–239. [Google Scholar] [CrossRef]
- Wang, G.; Li, F.; Liu, X.; Gao, N.; Gao, Y. New Patterns of Urbanization in the New Development Stage—The Conceptand Identification Standards of Modern Metropolitan Areas. J. Urban Plan. 2021, 2, 15–24. (In Chinese) [Google Scholar]
- Güneralp, B.; Seto, K.C. Futures of global urban expansion: Uncertainties and implications for biodiversity conservation. Environ. Res. Lett. 2013, 8, 14025. [Google Scholar] [CrossRef]
- Vitousek, P.M.; Mooney, H.A.; Lubchenco, J.; Melillo, J.M.; Mellilo, J.; Lubachenko, J. Human domination of the Earth’s ecosystems. Science 1997, 277, 494–499. [Google Scholar] [CrossRef]
- Ouyang, Z.; Hua, Z.; Yang, X.; Polasky, S.; Daily, G.C. Improvements in ecosystem services from investments in natural capital. Science 2016, 352, 1455–1459. [Google Scholar] [CrossRef] [PubMed]
- Department of Urban Surveys, National Bureau of Statistics of China. China City Statistical Yearbook; China Statistics Press: Beijing, China, 1990–2019.
- Mcdonald, R.I.; Forman, R.; Kareiva, P.; Neugarten, R.; Dan, S.; Fisher, J. Urban effects, distance, and protected areas in an urbanizing world. Landsc. Urban Plan. 2009, 93, 63–75. [Google Scholar] [CrossRef]
- Li, C.; Yao, T.; Wang, X.; Zhang, B.; Qiao, H.; Hu, J. Prospects and challenges coexist in China’s new protected area system. Biodivers. Conserv. 2021, 31, 315–319. [Google Scholar] [CrossRef]
- Xu, W.; Xiao, Y.; Zhang, J.; Yang, W.U.; Zhang, L.U.; Hull, V.; Wang, Z.; Zheng, H.; Liu, J.; Polasky, S. Strengthening protected areas for biodiversity and ecosystem services in China. Proc. Natl. Acad. Sci. USA 2017, 114, 1601–1606. [Google Scholar] [CrossRef]
- Wu, R.D.; Zhang, S.; Yu, D.W.; Zhao, P.; Li, X.H.; Wang, L.Z.; Yu, Q.; Ma, J.; Chen, A.; Long, Y.C. Effectiveness of China’s nature reserves in representing ecological diversity. Front. Ecol. Environ. 2011, 9, 383–389. [Google Scholar] [CrossRef]
- Watson, J.E.; Dudley, N.; Segan, D.B.; Hockings, M. The performance and potential of protected areas. Nature 2014, 515, 67–73. [Google Scholar] [CrossRef] [PubMed]
- Miller-Rushing, A.J.; Primack, R.B.; Ma, K.P.; Zhou, Z.Q. A Chinese approach to protected areas: A case study comparison with the United States. Biol. Conserv. 2017, 210, 101–112. [Google Scholar] [CrossRef]
- Wu, J.; Wu, G.; Kong, X.; Luo, Y.; Zhang, X. Why should landowners in protected areas be compensated? A theoretical framework based on value capture. Land Use Policy 2020, 95, 104640. [Google Scholar] [CrossRef]
- Su, Y. Protected Land system and new urbanization. China Dev. Watch 2016, 40–43. (In Chinese) [Google Scholar]
- Fan, L.; Feng, C.; Wang, Z.; Tian, J.; Huang, W.; Wang, W. Balancing the Conservation and Poverty Eradication: Differences in the Spatial Distribution Characteristics of Protected Areas between Poor and Non-Poor Counties in China. Sustainability 2022, 14, 4984. [Google Scholar] [CrossRef]
- Hansen, A.J.; DeFries, R. Ecological Mechanisms Linking Protected Areas To Surrounding Lands. Ecol. Appl. 2007, 17, 974–988. [Google Scholar] [CrossRef]
- Hostetler, M.; Allen, W.; Meurk, C. Conserving urban biodiversity? Creating green infrastructure is only the first step. Landsc. Urban Plan. 2011, 100, 369–371. [Google Scholar] [CrossRef]










| Indicators | Code | Variable | Description |
|---|---|---|---|
| Natural resource factors | ES | Ecosystem service | The standard deviation of ecosystem service of metropolitan regions |
| WA | Water area | The logarithm-transformed area of water in a city’s metropolitan regions | |
| MR | Mountain ratio | The mountain ratio of a city’s metropolitan regions | |
| Urbanization factors | UA | Urban built-up area | The logarithm-transformed urban built-up area in a city’s metropolitan regions |
| UR | Urbanization ratio | The urbanization ratio of a city | |
| Pop | Population | The logarithm-transformed value of a city’s population | |
| Economic development factors | TC | Tertiary industry contribution | The ratio that tertiary industry contributes to a city |
| T1C | Tier-1 city | Whether a city is a Tier-1 city | |
| T2C | Tier-2 city | Whether a city is a Tier-2 city | |
| T3C | Tier-3 city | Whether a city is a Tier-3 city | |
| T4C | Tier-4 city | Whether a city is a Tier-4 city | |
| PBD | Public budget expenditure | The logarithm-transformed value of public budget expenditure | |
| GDP | Gross domestic product | The logarithm-transformed value of gross domestic product | |
| GPC | GDP per capita | The logarithm-transformed value of GDP per capita |
| OLS Model | Random Forest Model | ||||||
|---|---|---|---|---|---|---|---|
| Number of PAs | Area of PAs | Distance | Number of PAs | Area of PAs | Distance | ||
| R2 | 0.571 | 0.335 | 0.449 | 0.911 | 0.864 | 0.857 | |
| Beta | ES | 0.2741 *** | 0.3418 *** | 0.1426 * | 0.1120 | 0.2312 | 0.1525 |
| WA | 0.1537 * | 0.0075 | 0.1120 | 0.0619 | 0.0574 | 0.1156 | |
| MR | 0.0908 | −0.0740 | −0.0559 | 0.0596 | 0.0651 | 0.0499 | |
| UA | 0.5650 *** | -0.1003 | −0.5291 *** | 0.2296 | 0.0582 | 0.2599 | |
| UR | 0.0198 | 0.2283 | 0.0834 | 0.0058 | 0.0026 | 0.0073 | |
| Pop | −0.0488 | −0.0858 | 0.2162 | 0.0460 | 0.1172 | 0.0310 | |
| TC | 0.0592 | 0.1258 | 0.1282 | 0.1198 | 0.1187 | 0.0958 | |
| T1C | 0.3205 * | 0.3601 * | −0.0677 | 0.0047 | 0.0002 | 0.0007 | |
| T2C | 0.0485 | 0.2846 * | −0.1168 | 0.0030 | 0.0025 | 0.0015 | |
| T3C | 0.0393 | 0.399 *** | −0.1644 | 0.0049 | 0.0126 | 0.0117 | |
| T4C | 0.0606 | 0.1889 | −0.2271 * | 0.0037 | 0.0190 | 0.0023 | |
| PBD | −0.0668 | 0.0577 | 0.0019 | 0.0579 | 0.0603 | 0.0672 | |
| GDP | 0.0522 | −0.0967 | −0.3769 * | 0.1344 | 0.1379 | 0.0548 | |
| GPC | 0.0743 | 0.0735 | 0.0420 | 0.1569 | 0.1172 | 0.1497 | |
| Whole Country | Eastern Region | Central Region | Western Region | ||
|---|---|---|---|---|---|
| ICD | R2 | 0.291 | 0.228 | 0.541 | 0.617 |
| Sig. | ES *** | ES ** | ES * | UA * | |
| UA * | T3C * | ||||
| T3C * | |||||
| T4C ** | |||||
| Number of PAs | R2 | 0.571 | 0.648 | 0.702 | 0.628 |
| Sig. | ES *** | ES ** | UA * | UR * | |
| WA * | UA *** | UR * | |||
| UA *** | |||||
| T1C * | |||||
| Area of PAs | R2 | 0.335 | 0.309 | 0.635 | 0.595 |
| Sig. | ES *** | ES ** | ES ** | UA ** | |
| T1C * | |||||
| T2C * | |||||
| T3C *** | |||||
| Distance | R2 | 0.449 | 0.486 | 0.630 | 0.587 |
| Sig. | ES * | ES ** | ES * | UA *** | |
| UA *** | UA * | UA *** | |||
| T4C * | Pop * | Pop * | |||
| GDP * | GDP * |
Disclaimer/Publisher’s Note: The statements, opinions and data contained in all publications are solely those of the individual author(s) and contributor(s) and not of MDPI and/or the editor(s). MDPI and/or the editor(s) disclaim responsibility for any injury to people or property resulting from any ideas, methods, instructions or products referred to in the content. |
© 2025 by the authors. Licensee MDPI, Basel, Switzerland. This article is an open access article distributed under the terms and conditions of the Creative Commons Attribution (CC BY) license (https://creativecommons.org/licenses/by/4.0/).
Share and Cite
Yuan, L.; Wang, S.; Hou, J. Coexistence of Built Areas and Natural Protected Areas Within Metropolitan Regions in China. Land 2025, 14, 370. https://doi.org/10.3390/land14020370
Yuan L, Wang S, Hou J. Coexistence of Built Areas and Natural Protected Areas Within Metropolitan Regions in China. Land. 2025; 14(2):370. https://doi.org/10.3390/land14020370
Chicago/Turabian StyleYuan, Lin, Siqi Wang, and Jingxuan Hou. 2025. "Coexistence of Built Areas and Natural Protected Areas Within Metropolitan Regions in China" Land 14, no. 2: 370. https://doi.org/10.3390/land14020370
APA StyleYuan, L., Wang, S., & Hou, J. (2025). Coexistence of Built Areas and Natural Protected Areas Within Metropolitan Regions in China. Land, 14(2), 370. https://doi.org/10.3390/land14020370
