Abstract
Accurately assessing the impact of land use patterns on total phosphorus (TP) concentration in surface water is crucial for protecting the water environment of the Yangtze River Basin (YRB). However, due to the heterogeneity of land use patterns, the regional differences in the intensity and direction of their impacts on TP concentrations in the YRB remain insufficiently understood. This study utilizes water quality monitoring data from state-controlled sections in 2021 and employs spatial autocorrelation analysis, geographic detectors, and Pearson correlation models to identify the impacts of land use on TP concentrations at multiple scales across the YRB. The results indicate that TP concentrations at 98.8% of the monitoring stations in the YRB exceed the Class III standard, with high concentrations of TP concentrated in the Pudu River Basin, Chengdu Plain, Jianghan Plain, and Yangtze River Delta regions. At the YRB scale, the spatial pattern of built-up land, cropland, and industrial and mining land significantly increases TP concentrations, while the pattern of forest and grassland areas exert mitigating effects. At the sub-basin scale, the impact of land use patterns on TP concentrations varies regionally. Specifically, TP concentrations in the Pudu River Basin are primarily attributed to the spatial pattern of industrial and mining land, in the Chengdu Plain to the spatial pattern of cropland and industrial and mining land, and in the Jianghan Plain to the spatial pattern of cropland, built-up land, and industrial and mining land. These results provided decision support for TP concentration control strategies and effective mitigation measures.
1. Introduction
Phosphorus, a critical nutrient for algal growth in aquatic ecosystems, is the primary driver of water eutrophication [1]. Eutrophication significantly alters the ecological balance of aquatic systems and poses serious risks to ecosystem security [2]. Land use practices serve as a direct reflection of human activity impacts on the environment, shaping agricultural management, farming practices, and other phosphorus discharge pathways, which significantly influence the input and output of total phosphorus (TP) concentration in water bodies [3,4,5]. Regional disparities in land use practices create complex, non-linear relationships between land use and TP concentrations [6,7], complicating TP source traceability and hindering the effective management of aquatic ecosystems. Therefore, understanding watershed land use impacts on TP concentrations is critical for identifying TP sources and protecting aquatic ecosystems effectively.
The Yangtze River, the largest river in China, contributes to around 20% of the nation’s wetland area, 35% of its total water resources, and sustains over 40% of its population and GDP [8,9]. Since 2016, TP concentration has been recognized as a key pollutant in the Yangtze River Basin (YRB) aquatic environment [10,11]. Accurately assessing the impact of land use on TP concentrations in the basin has become a key research priority. An increasing body of evidence indicates that land use patterns within a watershed significantly affect water quality [12,13,14]. Numerous studies have examined the relationship between land use and TP concentrations across different scales, including control units, sub-basins, and the entire basin [15,16,17]. However, the conclusions of these studies also exhibit discrepancies to some extent. For example, Li et al. [12] identified cropland as the primary source of TP concentrations in the upper Yangtze River, whereas Wang et al. [14] found that both built-up lands and croplands are the major sources in the Gan River Basin. Similarly, Zhang et al. [18] demonstrated that built-up lands is the primary contributor to TP concentrations in the Dianchi Basin of the Jinsha River system. These discrepancies highlight that multi-scale, systematic studies are essential for understanding the mechanisms and regional differences of land use impacts on TP concentrations in the YRB. However, current research often focuses on specific river segments or individual sub-watersheds [19,20,21].
In addition, the land use types examined in previous studies typically encompass broad categories, including cropland, built-up land, grassland, and forest. However, the influence of industrial and mining land on TP concentrations must not be underestimated. For instance, Guan et al. [22] observed a significant correlation between industrial and mining land and TP concentrations, while Cao et al. [23] identified that sub-basins dominated by industrial and mining land tend to have the worst water quality. The YRB is a major region for phosphate mining, phosphorus chemical industries, and phosphogypsum disposal sites, especially in the upper and middle reaches [10]. However, the extent and regional variations of the impact of industrial and mining land on TP concentrations remain unclear.
This study aimed to investigate the impact of land use on TP concentrations in the YRB at multiple scales, along with regional variations of this influence. Specifically, the study aims are as follows: (1) to analyze the spatial distribution characteristics of TP concentrations across the entire YRB and its secondary water resource divisions, and identify the spatial hot and cold zones of total TP concentrations; (2) to examine the spatial distribution of different land use types at three scales (the entire basin, hot and cold zones of TP concentrations, and secondary water resource divisions); (3) to explore the impact of land use on TP concentrations at the above three scales and identify regional differences in the dominant factors influencing TP concentrations. The results provide decision support for regional management and the control of TP concentrations in the YRB.
2. Materials and Methods
2.1. Study Area
The YRB is a key strategic economic region in China, comprising 16 provinces and municipalities, including Qinghai, Zhejiang, and Shanghai, etc. The Yangtze River’s main stem is divided into three sections: the upstream, extending from Yichang to the river’s upper reaches, with a catchment area of approximately ; the midstream, from Yichang to Hukou, covering around ; and the downstream, from Hukou onwards, with a catchment area of about [24] (Figure 1). The YRB spans China’s eastern, central, and western economic zones, linking the north and south, and plays a pivotal role in national economic development. The upper and middle reaches of the YRB are rich in the country’s phosphate mineral resources and are the regions most impacted by the “three phosphorus” issue. In recent years, TP has emerged as the primary pollutant in the YRB, posing a significant barrier to water quality improvement in the region [25].
Figure 1.
Overview of the Yangtze River Basin.
2.2. Data Source
2.2.1. State-Controlled Sections and Water Resource Allocation
TP concentration monitoring data were obtained from the China National Environmental Monitoring Center (https://www.cnemc.cn, accessed on 20 August 2024). The monitoring parameters encompass water temperature, pH, dissolved oxygen, conductivity, turbidity, permanganate index, ammonia nitrogen, TP, and total nitrogen. In accordance with the “Surface Water Environmental Quality Assessment Method (Trial)” issued by the Ministry of Environmental Protection in 2011, the annual TP concentration indicator for the 2021 monitoring data was derived using the arithmetic mean of TP concentrations. During the 14th Five-Year Plan, the Ministry of Ecology and Environment set up 3641 state-controlled sections (monitoring stations) nationwide [26]. These stations monitor the main streams and major tributaries of key national river basins, vital water bodies at provincial and municipal boundaries, cities at or above the prefecture level, and significant river and lake water functional zones across the country. Specifically, the YRB includes 1252 state-controlled sections and 12 secondary water resource divisions.
2.2.2. Land Use Type Data
This study utilizes land use type data from the WorldCover dataset released by the European Space Agency (ESA) in 2021, which has a resolution of 10 m. The WorldCover v200 product provides a global land cover map for 2021, generated from Sentinel-1 and Sentinel-2 data (https://viewer.esa-worldcover.org/worldcover/, accessed on 20 August 2024). It includes 11 land cover classes aligned with the UN-FAO Land Cover Classification System, developed within the ESA WorldCover project. Based on existing research and the land use types in the YRB, six land use types were selected as potential determinants of phosphorus concentrations: forest, grassland, cropland, built-up land, bareland, and wetland.
Industrial and mining land use data were obtained from the National Land Use/Cover Change Dataset, provided by the Institute of Remote Sensing and Digital Earth, Chinese Academy of Sciences (https://www.resdc.cn, accessed on 20 August 2024). This dataset represents a secondary classification within land use/cover change data, encompassing areas designated for industrial and mining activities, including factories, large industrial zones, oil fields, salt fields, quarries, transportation infrastructure, airports, and specialized land uses. To assess the distribution of industrial and mining land, this study employed 2022 Point of Interest (POI) data (https://lbs.amap.com/, accessed on 20 August 2024), filtering records based on keywords such as “phosphorus”, “chemicals”, “phosphate”, “fertilizer”, and “mining”. A total of 19,609 POI records corresponding to industrial and mining land were retrieved. Since the POI data are point-based, a 3000 m buffer was applied to extract areas within transportation infrastructure related to industrial and mining land use, thereby delineating the land use areas corresponding to industrial and mining activities.
2.3. Methods
This study is comprised of two primary components: the first involves employing hotspot analysis to investigate the spatial aggregation characteristics of TP concentrations, and the second focuses on constructing a land use impact index to identify the mechanisms by which land use influences TP concentrations across multiple scales. The technical approach is illustrated in Figure 2.
Figure 2.
Technical Scheme.
2.3.1. Getis-Ord Gi* Hot Spot Analysis
Getis-Ord Gi* is a spatial clustering method, used to reveal the spatial distribution patterns of statistically significant hot and cold spots [27]. Specifically, it identifies regions of high (hot spots) and low (cold spots) concentrations of TP concentrations in the YRB. The specific calculation formula of Getis-Ord Gi* is as follows:
where i is the central section, j is the adjacent section within the distance d from the central section i, is the TP concentration of section j, is the spatial weight between section i and section j, and n is the total number of sections within the distance d. Moreover:
where is the Z-score and no further calculations are required.
2.3.2. Land Use Impact Factor (LUIF)
To quantify the strength and direction of the impact of land use type on TP concentration and to comprehensively evaluate the impact of land use type on TP concentration, we proposed an innovative index, Land Use Impact Factor (LUIF). LUIF combines the q-value (interpretability) of GeoDetector and Pearson correlation (directionality) as follows:
where q is the GeoDetector statistic, which characterizes the influence of land use type on TP concentration, and is the Pearson correlation coefficient.
Pearson correlation analysis is a statistical method used to measure the strength and direction of a linear relationship between two continuous variables. It has a value between −1 and 1, where 1 indicates a perfect positive correlation, −1 indicates a complete negative correlation, and 0 indicates no correlation. The Pearson correlation calculation is based on the covariance and standard deviation of the two variables, which are calculated as follows:
where and are the observed values of the two variables, and are the mean values of the two variables.
GeoDetector is a statistical method proposed by Wang Jinfeng in 2017 to detect spatial heterogeneity and reveal the driving factors behind it [28]. The q statistic of GeoDetector can be used to measure spatial heterogeneity, detect explanatory factors, and analyze the interaction between variables. The specific formula for calculating the q value is as follows:
where is the strata of the variable Y or factor X, i.e., classification or partitioning; and N are the number of units in layer h and the whole area, respectively; and are the variances of the Y values for layer h and the whole area, respectively. The value ranges from [0, 1], and the larger the value, the more obvious is the spatial heterogeneity of Y. If the stratification is generated by the independent variable X, a higher value indicates that the independent variable X is more explanatory to the dependent variable Y, and vice versa. In the extreme case, a value of 1 indicates that factor X fully controls the spatial distribution of Y; a value of 0 indicates that factor X has no relationship to Y; and a value indicates that X explains 100 ×% of Y.
Interactive detectors are an important part of the GeoDetector method, which can study the effects of any two land use types on the TP concentration, and the following five situations may occur when the two factors are interacted (Table 1).
Table 1.
The type of interaction between two independent variables on the dependent variable.
3. Results
3.1. Spatial Distribution Pattern of TP Concentration in the YRB
3.1.1. Spatial Distribution Characteristics of TP Concentration
The spatial distribution of TP concentration in the YRB shows a fragmented pattern, with areas of high TP concentration predominantly located in low-elevation plains, such as the Chengdu Plain, Jianghan Plain, and the Yangtze River Delta (Figure 3). TP concentrations in the middle reaches of the Yangtze River are significantly lower than those in both the upper and lower reaches. Among the 12 secondary water resource divisions, areas such as the downstream of the Jinsha River, the mainstream from Yibin to Yichang, the Han River, the mainstream from Yichang to Hukou, and the Dongting Lake water system exhibit more frequent extreme TP concentration values, marking them as high-risk zones for TP concentration (Figure A1). According to the water quality classification standards issued by the Ministry of Ecology and Environment, TP concentration in the YRB ranges from Class I to Class V. Notably, 98.8% of state-controlled sections report TP concentration above the Class III standard, indicating that the overall water quality in the basin is predominantly classified as good or better. However, certain areas in the basin exhibit TP concentrations that exceed the standard. The highest recorded TP concentration is at the Muguodian Village section in Wuding County, Chuxiong Yi Autonomous Prefecture, Yunnan Province, where the TP concentration is 0.45 mg/L, corresponding to the Class V standard, indicating poor water quality.
Figure 3.
Spatial distribution map of TP concentration in the Yangtze River Basin based on national control cross-sections.
3.1.2. Analysis of Hotspot Areas for TP Concentration
TP concentration in the YRB displays distinct spatial clustering, predominantly concentrated in low-lying plains, including the Chengdu Plain in the Sichuan Basin, the Pu River Basin in Yunnan, the Jianghan Plain, the Central Anhui Plain, and the Yangtze River Delta (Figure 4). TP concentration in hotspot areas ranges from 0.02 mg/L to 0.45 mg/L, which are classified below the Class II water quality standard. In contrast, TP concentration in cold spot areas remains consistently below 0.3 mg/L, all surpassing the Class III water quality standard. In non-hotspot regions, TP concentrations range from 0.005 mg/L to 0.25 mg/L, with pollution levels meeting or surpassing the Class IV standard.
Figure 4.
Hotspot analysis and secondary water resource zoning-based TP concentration hot and cold zoning map in the Yangtze River Basin.
3.2. Spatial Distribution Characteristics of Land Use Patterns in the YRB
The land use in the YRB is predominantly composed of forests, grasslands, and croplands (Figure 5). The distribution of land use types is as follows: forests (53.5%), grasslands (22.1%), croplands (14.5%), built-up lands (2.9%), barelands (3.2%), and wetlands (0.2%). Forests are predominantly located in the middle reaches of the YRB, forming a concentric pattern around the Chengdu Plain. Grasslands are mainly found in the upper reaches of the basin, while croplands are concentrated in the middle and lower reaches, including the Sichuan Basin. Built-up lands, which occupy a significant proportion, are mainly located in the downstream sections of the basin and around the Chengdu Plain. Barelands are primarily located in the upper and lower reaches, with limited presence in the middle reaches. Wetlands are predominantly distributed in the lower reaches, especially within the Poyang Lake and Dongting Lake water system.
Figure 5.
Spatial distribution map of the 6 main land use types in the Yangtze River Basin: (a) forest; (b) grassland; (c) cropland; (d) built-up land; (e) bareland; (f) wetland.
3.3. Effects of Land Use Types on TP Concentration at Different Scales
3.3.1. Impact of Land Use Patterns on TP Concentrations at the Whole Basin Scale
Land use types in the YRB, including built-up lands, croplands, forests, grasslands, industrial and mining lands, and barelands, show significant correlations with TP concentration (Table 2). The top three land use types influencing TP concentration in the basin are built-up lands (q = 0.19, corr = 0.43, p < 0.001), croplands (q = 0.18, corr = 0.40, p < 0.001), and forests (q = 0.16, corr = −0.38, p < 0.001). Built-up lands, croplands, industrial and mining lands, and barelands significantly increase TP concentration, whereas forests and grasslands significantly reduce them. Wetlands have a negative effect on TP concentrations; however, the p-value exceeds 0.05, indicating statistical insignificance. Due to the limited distribution of wetlands in the YRB and the absence of a significant correlation, wetlands are excluded from the analysis of the impact of land use types on TP concentration in subsequent analyses of secondary water resource divisions and hotspot/coldspot areas.
Table 2.
Land use impact factor of land use type and TP concentration across the Yangtze River Basin in 2021.
The interaction between any two land use types leads to either bilinear or nonlinear increases in explanatory power (Figure 6). Notably, the interaction between built-up lands and croplands demonstrates the highest explanatory power, reaching 0.30. The TP concentration increases under the influence of any two land use types, with a notable strengthening in the explanatory power of the interaction factor. This further validates the impact of combined land use types on TP concentration.
Figure 6.
Interaction q value of different land use types and TP concentration in the Yangtze River Basin. Mining land refers to industrial and mining land.
3.3.2. Impact of Land Use Patterns on TP Concentrations at the Sub-Basin Scale
The impact of land use patterns on TP concentrations varies across the sub-basins of the YRB. Figure 7 illustrates that TP concentration in the above Shigu of the Jinsha River primarily originates from grasslands. In contrast, TP concentration in the below Shigu of the Jinsha River primarily originates from industrial and mining lands. In the Minjiang and Tuojiang Rivers, TP concentration is predominantly derived from croplands, built-up lands, and industrial and mining lands, with croplands exerting the most significant impact on TP concentrations in these regions. In the Jialing River, TP concentration is primarily derived from croplands. Along the mainstream from Yibin to Yichang, TP concentration is driven primarily by croplands, built-up lands, and barelands, with croplands having the most significant impact on TP concentrations. In the Wujiang River, TP concentration originates mainly from built-up lands, industrial and mining lands, and barelands, with industrial and mining lands exerting the greatest impact on TP concentrations in this area. In the Han River, TP concentration is primarily derived from croplands, built-up lands, industrial and mining lands, and barelands, with built-up lands having the greatest impact on TP concentrations in this region. Along the mainstream from Yichang to Hukou, TP concentration is driven by grasslands, croplands, built-up lands, industrial and mining lands, and barelands, with croplands exerting the greatest impact on TP concentrations. In the Dongting Lake water system, TP concentration primarily originates from croplands, built-up lands, industrial and mining lands, and barelands, with croplands exerting the greatest impact on TP concentrations. Below Hukou of the mainstream, TP concentration originates from grasslands, croplands, built-up lands, industrial and mining lands, and barelands, with built-up lands exerting the greatest impact on TP concentrations. In the Taihu Lake water system, TP concentration is primarily derived from grasslands, croplands, and built-up lands, with croplands having the greatest impact on TP concentrations.
Figure 7.
Histogram of land use impact factor (LUIF) of secondary water resources in the Yangtze River Basin. Mining land refers to industrial and mining land. “***” indicates a significance level of p < 0.001, “**” indicates a significance level of p < 0.01, and “*” indicates a significance level of p < 0.05.
3.3.3. Impact of Land Use Patterns on TP Concentrations at the Regional Scale
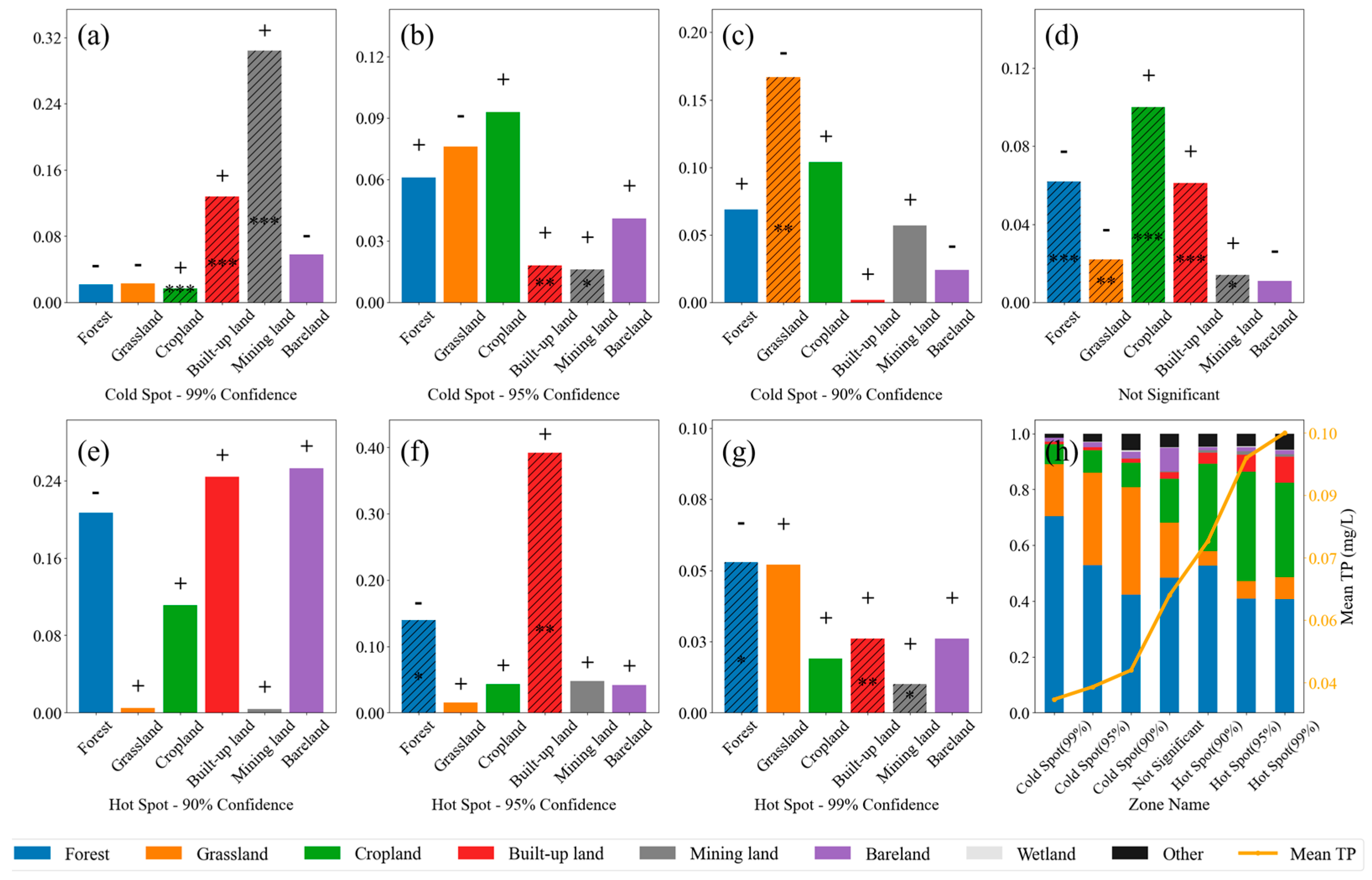
Significant differences in the impact of land use patterns on TP concentrations exist across different hotspot zones (Figure 8a–g). In the three high-value hotspot areas, forests play a mitigating role, with TP concentration primarily originating from built-up lands and industrial and mining lands. In the three low-value coldspot areas, grasslands exert a mitigating effect, with TP concentration primarily stemming from built-up lands, croplands, and industrial and mining lands. In non-hotspot areas, both forests and grasslands provide a mitigating effect, with TP concentration primarily emanating from built-up lands, croplands, and industrial and mining lands. According to Figure 8h, TP concentration hotspots are predominantly located in areas with a higher proportion of croplands and built-up lands, while coldspot areas are more prevalent in regions dominated by forests and grasslands. From coldspot low-value areas to hotspot high-value areas, the proportion of forests decreases progressively (area proportion from 70.4% to 40.7%), while the proportion of croplands increases (area proportion from 7.2% to 33.7%), along with a rise in the proportion of built-up lands (area proportion from 1.2% to 10.2%).
Figure 8.
Histogram of land use impact factor (LUIF) of land use type in hot and cold zones in the Yangtze River Basin (a–g). Accumulation histogram of land use area proportion and TP concentration curve of the hot and cold zones in the Yangtze River Basin (h). “***” indicates a significance level of p < 0.001, “**” indicates a significance level of p < 0.01, and “*” indicates a significance level of p < 0.05. “+” indicates a positive value of LUIF, and “-“ indicates a negative value of LUIF.
4. Discussion
4.1. Significant Spatial Clustering of TP Concentration in the YRB
This study reveals the spatial clustering of TP pollution in the YRB using hotspot analysis. Hotspot regions of TP concentration include the Pudu River Basin, Chengdu Plain, Jianghan Plain, and the Yangtze River Delta. In comparison to the studies by Ji et al. [29] and Chen et al. [30], this study also identifies the Chengdu and Hanjiang Plains as hotspots for TP concentration. This distribution corresponds to areas rich in China’s renowned phosphate mineral deposits, such as the Jinhua-Qingping mines in Sichuan, Dianchi mines in Yunnan, Yichang mines in Hubei, and Fuquan mines in Guizhou [10,31,32]. These areas, rich in phosphate resources, experience elevated TP concentrations due to intensive mining activities and high-load emissions from phosphate chemical industries, which significantly contribute to persistent pollution levels.
In August 2019, the Ministry of Ecology and Environment published a rectification report, revealing that 276 out of 692 “three phosphorus” enterprises (phosphate mines, storage, and chemical industries) were found to have ecological and environmental issues (Figure 9). Upstream of the four primary hotspots for elevated TP concentrations, a dense cluster of “three phosphorus” enterprises requiring rectification is observed. TP concentrations from these enterprises accumulate through tributaries, eventually flowing into the main rivers, forming high-value hotspot areas along the river. Research by Yan et al. [33] also highlights significant spatial variations in phosphorus loads entering the river from “three phosphorus” enterprises in the YRB. Sub-basins such as the downstream of the Jinsha River, Wujiang River, Minjiang and Tuojiang Rivers, and Han River contribute 32.8% to the TP flux in the Yangtze River, marking them as key sources of phosphorus in the basin. In addition, in the 12 secondary water resource zones within the basin, TP concentration in the below Shigu of the Jinsha River and Wujiang River is primarily attributed to industrial and mining lands. Industrial and mining lands are also key contributors to TP concentration in the Minjiang and Tuojiang Rivers, Han River, the stretch from Yichang to Hukou, the Dongting Lake water system, and downstream of Hukou. Furthermore, in the high-value areas identified through hotspot analysis, TP concentration primarily originates from built-up lands and industrial and mining lands, emphasizing that the major sources of TP concentration in these hotspots are mining activities and high-load emissions from phosphate mining and chemical industries.
Figure 9.
Distribution map of enterprises that need to be rectified in the self-examination of “three phosphorus” in the Yangtze River Basin in 2019.
4.2. Regional Differences in the Impact of Land Use Patterns on TP Concentration in the YRB
At the basin-wide scale, the primary sources of TP concentration are ranked as follows: built-up land, cropland, industrial and mining land, and bareland. However, the main sources of TP concentration vary significantly across the sub-basins. Specifically, TP concentration in seven sub-basins are primarily driven by cropland, while in two sub-basins, built-up land is the predominant source, and in two others, industrial and mining land are the major contributors. (Figure 10). These findings align with the general trend observed by Zou et al. [34], which indicates that 83% of TP concentrations in China originate from agricultural non-point source pollution. However, discrepancies between the basin-wide results and those at the sub-basin scale may be related to the scale-dependent nature of land use impacts on water quality [19].
Figure 10.
The distribution map of the dominant land use types for TP concentration sources in the 12 sub-basins of the Yangtze River.
In this study, the sources of TP pollution in the sub-basins of the Yangtze River exhibit considerable complexity, with four predominant types of pollution sources identified: industrial and mining land type, cropland type, cropland-dominant type, and built-up land-dominant type. In the below Shigu of the Jinsha River, TP concentration primarily originates from industrial and mining land. This is primarily due to the region’s status as a major phosphate mining area in the Dianchi region, where the proven P2O5 reserves amount to 8.94 × 108 tons. The extraction and processing of phosphate ores have caused significant vegetation degradation, contributing to persistently high TP concentrations in this sub-basin [18,32,35]. Therefore, the focus for TP concentration control in this region should be directed towards the management of mining areas and regulation of phosphorus emissions.
In the Jialing River, TP concentration arises predominantly from cropland, a finding consistent with the results of Wu et al. [36], which indicates that cropland contributes the most to TP concentration in the Jialing River. Consequently, TP control efforts in this sub-basin should prioritize preventing soil erosion and implementing ecological fertilization techniques to reduce pollution in croplands.
The sources of TP concentration in the Minjiang and Tuojiang Rivers, the Dongting Lake water system, the mainstream from Yibin to Hukou, and the Taihu Lake water system are characterized as cropland-dominant type. Within these regions, the influence of built-up land and industrial and mining land is also substantial, further exacerbating TP concentration levels. Notable examples include the phosphate mines in the Jinhe-Qingping area of Sichuan and the dense concentration of phosphorus chemical industries along the Yichang section of the Yangtze River [37,38]. In these cropland-dominant sub-basins, TP concentration control should focus on large-scale agricultural management practices, including optimizing fertilizer use and promoting conservation tillage.
In the Han River and the downstream section below Hukou, the primary source of TP concentration is built-up land, although cropland and industrial and mining land also significantly influence the TP concentrations in these areas, such as phosphorus enterprises are concentrated below the Danjiangkou section of the Han River [24]. For sub-basins dominated by built-up land, the control of TP concentration should focus on the management of domestic sewage discharge and waste treatment.
In the Wujiang River, TP concentration is predominantly from industrial and mining land, with substantial contributions from built-up land and bareland. The basin contains strategically significant national-level phosphate mines, such as the Kaiyang and Wengfu mines, which have been in continuous development, contributing notably to TP concentration due to mining activities and the associated phosphate chemical industries [39]. Therefore, TP concentration control in these sub-basins should focus on the regulation of mining areas, emissions from phosphate production, and the management of domestic wastewater and solid waste disposal.
The land use types in the Poyang Lake watershed did not pass the significance test, and the main factors driving TP pollution have yet to be identified. However, studies by Sun et al. [40] and Wang et al. [41] indicated that the TP concentration in Poyang Lake is primarily influenced by five rivers: Xiu River, Gan River, Fu River, Xin River, and Rao River. The pollution load from these rivers, along with hydrological changes, are key factors influencing the TP concentration in the lake’s waters. Therefore, the control and mitigation of TP concentration in the Poyang Lake watershed should focus on the management of these five rivers. In conclusion, effective TP concentration management in the YRB requires a tailored approach, with zonal management and systematic governance based on regional characteristics.
4.3. Limitations and Future Works
Although this study has made significant progress in examining the impact of land use on TP pollution, several limitations need to be addressed in future research. First, the water quality data used in this study consist solely of national monitoring data from 2021, which limits the ability to analyze the spatiotemporal variations and trends of TP concentration in the YRB. Second, the land use types considered in this study, except for industrial and mining land, are based on the primary classification of land use, which may obscure spatial heterogeneity within these types. For example, the influence of different crop types within cropland on TP concentration can vary significantly. In this study, TP concentration in many sub-basins primarily originates from croplands, representing agricultural non-point source pollution. Future research could explore the impact of different farming practices on TP concentration.
5. Conclusions
This study provides a systematic analysis of the impact of land use on TP concentration at various scales, including both watershed and sub-watershed levels. In 2021, 98.8% of the state-controlled sections in the YRB were classified with TP concentration as “good” or better. TP concentration showed clear spatial clustering, with notable pollution detected in the Pudu River Basin, Chengdu Plain, Jianghan Plain, and the Yangtze River Delta. At the basin-wide scale, built-up land and cropland were identified as the most significant land use types influencing TP concentration levels. A significant regional variation exists in the sources of TP concentration within the YRB, with over half of the sub-basins identifying cropland as the primary source of pollution. Notably, phosphorus concentrations in hotspot regions, including the Pudu River Basin, Chengdu Plain, and Jianghan Plain, are strongly correlated with the distribution of industrial and mining lands. Therefore, TP concentration management in the YRB should implement targeted strategies that address the specific sources of pollution in individual sub-basins.
Author Contributions
Methodology, F.D. and Y.X.; Investigation, F.D. and Y.Y.; Data curation, W.L. (Wenhui Liu) and W.L. (Wei Liu); Writing—original draft, F.D., W.L. (Wenhui Liu), W.L. (Wei Liu), Y.X., Y.S., C.Z., M.S. and Y.Y.; Writing—review & editing, F.D., Y.X., W.L. (Wenhui Liu), W.L. (Wei Liu) and Y.S.; Visualization, W.L. (Wei Liu) and M.S. All authors have read and agreed to the published version of the manuscript.
Funding
This research was funded by the Xiamen Natural Science Foundation Project (3502Z202372044) and the Xiamen Natural Science Foundation Project (3502Z202471079).
Data Availability Statement
The raw data supporting the conclusions of this article will be made available by the authors on request.
Conflicts of Interest
The authors declare no conflict of interest.
Appendix A
Figure A1.
Box plot of TP concentration in 2021 for secondary water resources in the Yangtze River Basin.
Figure A1.
Box plot of TP concentration in 2021 for secondary water resources in the Yangtze River Basin.

Figure A2.
Accumulation histogram of land use area proportion and TP concentration curve of secondary water resources in the Yangtze River Basin. ASJR is the above Shigu of the Jinsha River; BSJR is the below Shigu of the Jinsha River; MTR is the Minjiang and Tuojiang Rivers; YTY is the mainstream from Yibin to Yichang; WR is the Wujiang River; JR is the Jialing River; HR is the Han River; YTH is the mainstream from Yichang to Hukou; DTL is the Dongting Lake Water System; PYL is the Poyang Lake Water System; BHMS is the Below Hukou of Main Stream; THL is the Taihu Lake Water System.
Figure A2.
Accumulation histogram of land use area proportion and TP concentration curve of secondary water resources in the Yangtze River Basin. ASJR is the above Shigu of the Jinsha River; BSJR is the below Shigu of the Jinsha River; MTR is the Minjiang and Tuojiang Rivers; YTY is the mainstream from Yibin to Yichang; WR is the Wujiang River; JR is the Jialing River; HR is the Han River; YTH is the mainstream from Yichang to Hukou; DTL is the Dongting Lake Water System; PYL is the Poyang Lake Water System; BHMS is the Below Hukou of Main Stream; THL is the Taihu Lake Water System.

References
- Qin, Y.W.; Ma, Y.Q.; Wang, L.J.; Zheng, B.; Ren, C.; Tong, H.; Wang, H. Pollution of the total phosphorus in the Yangtze River Basin: Distribution characteristics, source and control strategy. Res. Environ. Sci. 2018, 31, 9–14. [Google Scholar]
- Yao, J.Z.; Fan, X.J.; Yang, X.; Huang, Y.B. Current situation, causes and control measures of water bloom in the key tributaries of the Three Gorges Reservoir. Chin. J. Environ. Eng. 2022, 16, 2041–2048. [Google Scholar]
- Song, J.W.; Zhang, X.X.; Jiang, D.Y.; Zhao, C.H.Z.; Li, P.F. Impact of Land Use Types at Different Scales on Surface Water Environment Quality and Its Driving Mechanism. Environ. Sci. 2022, 43, 3016–3026. [Google Scholar] [CrossRef]
- Zhang, J.; Li, S.Y.; Jiang, C.S. Effects of land use on water quality in a River Basin (Daning) of the Three Gorges Reservoir Area, China: Watershed versus riparian zone. Ecol. Indic. 2020, 113, 106226. [Google Scholar] [CrossRef]
- Xu, S.; Li, S.L.; Zhong, J.; Li, C. Spatial scale effects of the variable relationships between landscape pattern and water quality: Example from an agricultural karst river basin, Southwestern China. Agric. Ecosyst. Environ. 2020, 300, 106999. [Google Scholar] [CrossRef]
- Xu, E.Q. Research progress in the impact of land use on water nutrients. Chin. J. Eco-Agric. 2019, 27, 1880–1891. [Google Scholar] [CrossRef]
- Wen, J.W.; Wang, P.; Huang, G.X.; Zahng, H.; Nie, M.H.; Ding, M.J.; She, Y.Y. Influence of Land Use Structure and Spatial Pattern on Water Quality of Small and Medium-sized Rivers in Poyang Lake Basin. Environ. Sci. 2023, 44, 6728–6743. [Google Scholar] [CrossRef]
- Xu, Y.X.; Wu, X.; Lu, R.; Yang, W.J.; Zhao, Y. Total Phosphorus Pollution, Countermeasures and Suggestions of the Yangtze River Economic Belt. Environ. Conform. Assess. 2018, 10, 70–74. [Google Scholar] [CrossRef]
- Liu, L.S.; Huang, G.X.; Wang, F.; Chu, Z.S.; Li, H.S. Problems, Situation and Countermeasures of Water Eco-Environment Security in the Yangtze River Basin. Res. Environ. Sci. 2020, 33, 1081–1090. [Google Scholar]
- Chen, F.; Li, X.H.; Wang, W.J.; Peng, L.; Qian, B. and spatial variation characteristics of total phosphorus in Yangtze River Basin from 2018 to 2022. Express Water Resour. Hydropower Inf. 2023, 44, 91–97. [Google Scholar]
- Yin, W.; Wang, C.; Zhang, H. Consideration on total phosphorus problem in Yangtze River Basin. Yangtze River 2022, 53, 44–52. [Google Scholar] [CrossRef]
- Li, Q.; Yang, Z.H.; Yin, W.; Yu, M.H.; Bai, F.P.; Yue, Y.; Ren, Y.F. Tracing the sources and transport of the total phosphorus in the upper Yangtze River. Ecol. Inf. 2023, 77, 102230. [Google Scholar] [CrossRef]
- Yi, F.; Chen, M.; He, X.F.; Yu, C.H.; An, R.D. Effect of spatial scale on water quality in watershed land use analysis. China Environ. Sci. 2023, 43, 4280–4291. [Google Scholar] [CrossRef]
- Wang, P.; Qi, S.H.; Chen, B. Influence of land use on river water quality in the Ganjiang basin. Acta Ecol. Sin. 2015, 35, 4326–4337. [Google Scholar] [CrossRef][Green Version]
- Chen, Y.P.; Yue, A.R.; Wei, Y.L.; Yang, C.J. Source Apportionment of Ammonia Nitrogen and Total Phosphorus of Minjiang Bridge Control Unit. Sichuan Environ. 2018, 37, 44–50. [Google Scholar] [CrossRef]
- Fang, N.; Liu, L.L.; You, Q.H.; Tian, N.; Wu, Y.P.; Yang, W.J. Effects of Land Use Types at Different Spatial Scales on Water Quality in Poyang Lake Wetland. Environ. Sci. 2019, 40, 5348–5357. [Google Scholar] [CrossRef]
- Wang, J.; Liu, A.A.; Zhang, J.W.; Chen, Q.S.; Yang, H.W. Effect of Integrated Landscape Characteristics Around Chaohu Lake on River Water Quality Based on Watershed Units. Environ. Sci. 2024, 45, 3214–3224. [Google Scholar] [CrossRef]
- Zhang, H.S.; Jiao, Y.M.; Xu, Q.E.; Zhang, Z.N.; Tao, Y. Research review on land use change in Dianchi Lake Basin and its impact on water quality. Yangtze River 2023, 54, 65–73. [Google Scholar] [CrossRef]
- Ding, J.; Jiang, Y.; Liu, Q.; Hou, Z.J.; Liao, J.Y.; Fu, L.; Peng, Q.Z. Influences of the land use pattern on water quality in low-order streams of the Dongjiang River basin, China: A multi-scale analysis. Sci. Total Env. 2016, 551–552, 205–216. [Google Scholar] [CrossRef]
- Wang, Y.B.; Junaid, M.; Deng, J.Y.; Tang, Q.P.; Luo, L.; Xie, Z.Y.; Pei, D.S. Effects of land-use patterns on seasonal water quality at multiple spatial scales in the Jialing River, Chongqing, China. Catena Giess. 2024, 234, 107646. [Google Scholar] [CrossRef]
- Guan, W.H.; Luo, G.H.; Wang, P.F.; Lou, B.F.; Qiu, G.S. Variation of TP flux in Jialing River and spatial source apportionment. China Environ. Sci. 2024, 44, 1448–1456. [Google Scholar] [CrossRef]
- Guan, B.H.; Li, J.; Zeng, A.B.; Deng, J.S.; Zhang, J. Impacts of Urban Land Use on Water Quality in Hangzhou. Resour. Sci. 2008, 30, 857–863. [Google Scholar] [CrossRef]
- Cao, X.F.; Sun, J.H.; Huang, Y. The impact of landscape pattern on water quality in Lake Dianchi watershed. Ecol. Environ. Sci. 2012, 21, 364–369. [Google Scholar] [CrossRef]
- Yang, W.; Li, R.Q. Characteristics and Causes of the Total Phosphorus Pollution in the Yangtze River and Han River. China Rural. Water Hydropower 2021, 1, 42–47. [Google Scholar] [CrossRef]
- Chen, S.R.; He, L.; Zhang, F.Y.; Ma, G.W.; Lin, L.Y. Characteristics of Surface Water Quality of the Yangtze River Basin during 2016–2019. Res. Environ. Sci. 2020, 33, 1100–1108. [Google Scholar]
- Deng, F.L.; Lin, T.; Zhao, Y.; Yuan, Y. Zoning and Analysis of Control Units for Water Pollution Control in the Yangtze River Basin, China. Sustainability 2017, 9, 1374. [Google Scholar] [CrossRef]
- Wang, J.Y.; Xie, D.T.; Wang, S.; Yan, J.Z. Research on spatial distribution of rural tourism in mountainous and hilly areas base Don POI extraction—A case study of Chongqing city. Chin. J. Agric. Resour. Reg. Plan. 2020, 41, 257–267. [Google Scholar]
- Wang, J.; Xu, C. Geographical Detector: Principles and Prospects. Acta Geogr. Sin. 2017, 72, 116–134. [Google Scholar]
- Ji, X.Y.; Peng, D. Characteristics of Total Phosphorus Concentration in the Yangtze River Basin in the Thirteenth Five-Year Plan Period. J. Chang. River Sci. Res. Inst. 2022, 39, 1–9. [Google Scholar] [CrossRef]
- Chen, S.R.; He, L.H.; Lin, L.Y.; Fang, D.K.; Zhang, F.Y. Change Trends of Surface Water Quality in the Mainstream of the Yangtze River during the Past Four Decades. Res. Environ. Sci. 2020, 33, 1119–1128. [Google Scholar] [CrossRef]
- Li, Z.M. Introduction to China’s Chemical Mineral Geology. Ind. Miner. Process. 2002, 5, 33–34. [Google Scholar]
- Shi, Y.; Qin, Y.W.; Ma, Y.Q.; Zhao, Y.M.; Wen, Q.; Cao, W.; Qiao, F. Pollution Status and Control Strategy of ‘Three Phosphorus’ Pollution in the Upper Reaches of Yangtze River Basin, China. Res. Environ. Sci. 2020, 33, 2283–2289. [Google Scholar]
- Yan, W.J.; Li, Q.Q.; Wang, F.; Wang, J.N.; Yu, Q.B.; Song, Y.H.; Wang, D.S. Basin-scale phosphorus and “three-P” loads into the river network and their contributions to the riverine P fluxes at key stations of the Changjiang River: Model and scenario analysis. Acta Sci. Circumstantiae 2022, 42, 149–159. [Google Scholar] [CrossRef]
- Zou, L.L.; Liu, Y.S.; Wang, Y.S.; Hu, X.D. Assessment and analysis of agricultural non-point source pollution loads in China: 1978–2017. J. Env. Manag. 2020, 263, 110400. [Google Scholar] [CrossRef] [PubMed]
- Jiang, W.; Li, J.; Chen, Y.H. Current Situation and Analysis of Water Quality of the Jinsha River(Yunnan Section) Basin. Environ. Sci. Surv. 2023, 6, 78–82. [Google Scholar] [CrossRef]
- Wu, L.; Long, T.Y.; Wang, Y.X.; Lu, Q.Q. Prediction of non-point source nitrogen and phosphorus pollution load in Jialing River watershed based on distributed hydrological model. Trans. Csae 2011, 27, 55–60. [Google Scholar] [CrossRef]
- Zhao, L. Analysis of water quality changes in Yichang section of the Changjiang River Basin under the background of Great Protection of the Changjiang River. Environ. Prot. Technol. 2023, 29, 41–46+64. [Google Scholar] [CrossRef]
- Cheng, M.; Tang, M.; Liang, G.L. Research on the transformation of one kilometer industrial space along the Yangtze River in Yichang under the background of Yangtze River protection. Contemp. Econ. 2019, 4, 24–28. [Google Scholar] [CrossRef]
- Sun, J.; Wang, Z.F. Water quality and main pollutants in the Sinan section of the Wujiang river in Guizhou Province. Inn. Mong. Environ. Sci. 2020, 32, 24–25. [Google Scholar] [CrossRef]
- Sun, J.W.; Wang, J.; Yang, Y.L.; Chen, J.; Zhou, Q.; Zhong, W.J. Temporal and spatial characteristics and abnormal changes of nitrogen and phosphorus in Poyang lake and the impact pathways. Jiangxi Hydraul. Sci. Technol. 2024, 50, 199–205. [Google Scholar] [CrossRef]
- Wang, Y.D.; Jia, J.J.; Lu, Y.; Tian, L.L.; Gao, Y. Nitrogen and phosphorus budget and eutrophication impacts in Poyang Lake from 2010 to 2019. Acta Sci. Circumstantiae 2024, 44, 151–160. [Google Scholar]
Disclaimer/Publisher’s Note: The statements, opinions and data contained in all publications are solely those of the individual author(s) and contributor(s) and not of MDPI and/or the editor(s). MDPI and/or the editor(s) disclaim responsibility for any injury to people or property resulting from any ideas, methods, instructions or products referred to in the content. |
© 2025 by the authors. Licensee MDPI, Basel, Switzerland. This article is an open access article distributed under the terms and conditions of the Creative Commons Attribution (CC BY) license (https://creativecommons.org/licenses/by/4.0/).









