Application of Sustainability Criteria in Identifying Sites for Social Housing in Serbia
Abstract
1. Introduction
1.1. Social Housing in Serbia and Site Selection Issues
1.2. Conceptual Background: Social Housing and Sustainability
1.3. Purpose of This Study
- The formation of a conceptual multi-criteria framework for identifying sustainable sites for social housing in Serbia, based on an analysis of relevant theoretical sources and literature;
- The evaluation of social housing site selection practice in Serbia through a case study of six competition projects implemented in six cities (Valjevo, Pančevo, Kraljevo, Čačak, Kragujevac, Belgrade), using the aforementioned multi-criteria framework, and a resident satisfaction survey for a more comprehensive insight into the results achieved.
2. Materials and Methods
2.1. Conceptual and Methodological Framework
- Target user categories. Social housing must be created primarily to meet the needs of special, socially sensitive categories, which are characterized by the following: economic insecurity due to unemployment, low income, or lack of material resources; physical vulnerability due to age or special health problems; social exclusion and exposure to discrimination; specificity of cultural habits and way of life; inability to choose a place of residence; reduced physical mobility, etc.;
- Long-term affordability and quality. Ensuring long-term affordability in the social housing sector is directly linked to the improvement of general social well-being through increasing employment, reducing poverty, social exclusion, and inequality, improving public health, etc. At the same time, the improvement of housing quality (safety, privacy, health and comfort, environment, location, accessibility, etc.) aims to prevent physical degradation and abandonment, and to ensure the economic viability of the housing stock in public ownership; and
- Contribution to social cohesion. Social housing is recognized as one of the key instruments for achieving the goals of social cohesion, through reducing social exclusion and social and economic differences, combating spatial segregation, providing social services to people with special needs, encouraging a sense of belonging through social empowerment, promoting tenant participation, etc. [37].
- Socio-cultural (S-C) goals: (1) adaptation to the residents’ needs; (2) adaptation to the changing needs of tenants; (3) encouraging the social integration and interaction of tenants; (4) diversity; (5) safety; and (6) cultural adequacy;
- Environmental (EN) goals: (1) efficient use of land and compactness of the urban form; (2) reduction in car use; (3) efficient use of energy; (4) efficient use of water, materials and resources; (5) environmental safety and reduction in pollution; and (6) preventing the heat island effect;
2.2. Case Study Methodology
2.2.1. Resident Satisfaction Survey
2.2.2. Multi-Criteria Evaluation
2.3. Case Study Description
3. Results
3.1. A Multi-Criteria Model
- Avoiding sites with low microclimatic ambient temperatures, extremely high wind intensity, low solar radiation, extremely high air pollution, and fog;
- Preferring flat terrains or slopes oriented towards the south, then the southeast and the southwest, because they allow better sunlight, protection from northern winds, and higher density.
- The most suitable shape of the site is a rectangle, with a wider side in the east-west direction to maximize sunlight exposure;
- Surrounding buildings can significantly affect the sun exposure of the buildings, as well as the density of housing due to the distance factor between buildings [94].
3.2. Case Study: A Brief Overview of the Survey Questionnaire Results
3.2.1. General Profile of the Respondents
3.2.2. Residents’ Perception of the Housing Location
3.3. Case Study: Multi-Criteria Evaluation Results
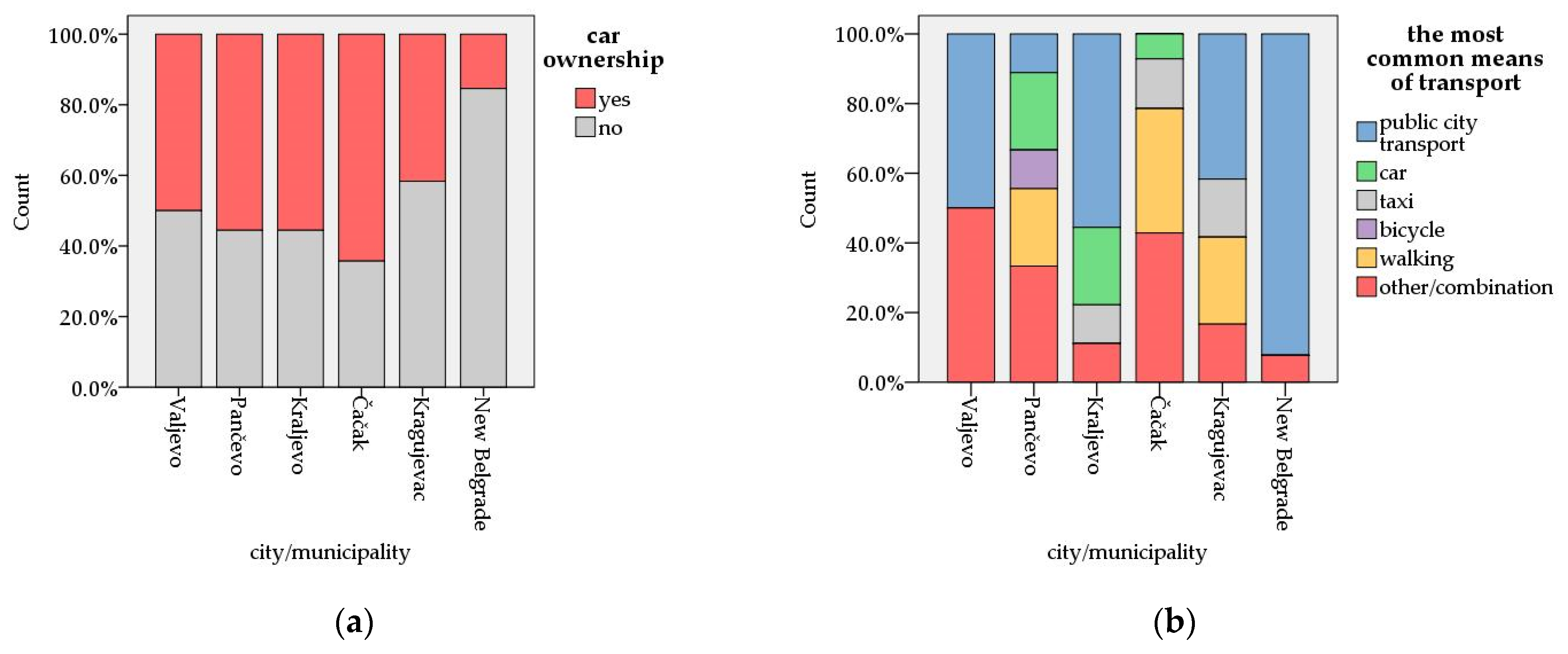
- GC 2: Owing to the available public transport, most of the sites in the study are connected with the city center. The proximity and organization of public transport has been shown through the survey to be a very significant factor in the quality of social housing, since it is the dominant form of daily transportation for social tenants, even those who own their own car. A good example of accessible and organized public transport was observed in the case of the social housing complex in New Belgrade, to which a special bus line was introduced, although the location is near a large number of existing transportation lines. Also, in this residential complex, special transportation to educational and social welfare institutions for tenants with special needs has been introduced. The issue of insufficiently organized public transport was noticed only in Kraljevo and Čačak. Residents in Čačak expressed dissatisfaction with the lack of a public transport line serving their residential area, despite the site being within walking distance from the city center;
- GC 3: District heating infrastructure is available in most of the settlements, except in Kraljevo and Valjevo. The questionnaire answered by the tenants shows that an efficient heating system is decisive for the overall level of thermal comfort in apartments, but that it has no effect on reducing the problem of fuel poverty in households. The problem of fuel poverty is partly caused by the excessively high prices of available heating sources in relation to household incomes;
- GC 6: The survey revealed that, in addition to social welfare facilities, the immediate proximity of services is very important to tenants, particularly the walking distance to shops, such as larger supermarkets, for periodic supplies. Conversely, the majority of tenants surveyed do not attach any importance to the proximity of sports-recreational, cultural, and hospitality facilities, due to lack of interest and reduced economic or health conditions. It was found that the close proximity of green and park spaces to the location of housing is particularly important for elderly and lower-income social tenants;
- GC11: When it comes to the predominant socioeconomic structure of the population in the surrounding area, most sites are in neighborhoods with housing mostly in private ownership, either multi-family or individual. In Pančevo, Kragujevac, and Kraljevo, other social housing projects have also been implemented in the vicinity of the observed sites. In New Belgrade, social housing was built right next to non-profit (for-sale) housing, which is a form of mixed tenure residential development. Unfortunately, the New Belgrade case turned out to be extremely unsuccessful in practice, because only a few years after the social tenants moved in, the problem of non-acceptance by the surrounding homeowner residents appeared (NIMBY effect), as well as crime, ghettoization, and stigma related to the entire residential block. However, these issues are more related to the overall inadequate management of facilities, the community and social composition of the tenants (the very homogeneous social structure consisted of predominantly Roma families and other households vulnerable on the basis of several criteria), and inappropriate site planning (“cluster” or microsegregation model of social housing, with a high concentration—as much as 34% of the total number of apartments), than to inadequacy of the location itself [60].
- GC12: The land value criterion, viewed only from the aspect of the location of the plots in relation to the city center, was not decisive in all cities. While the sites in Valjevo and Kraljevo are situated in suburban residential areas with a lower built-up density and single-family housing as the dominant typology, the sites in Pančevo, Kragujevac, and New Belgrade are located in urban areas and are relatively close to central services and facilities. The site of the residential complex in Čačak is at a convenient walking distance from the city center. With the exception of New Belgrade, where the social housing was planned as a separate type of housing by BGP, in other cities, social housing locations were selected ad hoc and only for the needs of implementing a given housing program, without being previously determined through local urban plans. The participation of the local self-governments in the realization of the projects implied the provision of infrastructure-equipped locations, which are in public ownership and in relative proximity to basic amenities.
4. Discussion
5. Conclusions
Author Contributions
Funding
Data Availability Statement
Conflicts of Interest
Appendix A
| Socio-Cultural Aspect | IS | SP | AUD | |
|---|---|---|---|---|
| Goals | General Criteria in Urban Planning and Design | |||
| Adaptation to the residents’ needs | Availability of basic infrastructure | x | ||
| Availability of social infrastructure | x | |||
| Availability of jobs | x | |||
| Availability of central urban facilities and services | x | |||
| Availability and good organization of public transport | x | |||
| Sustainable traffic solution at the site | x | |||
| Design in accordance with the needs and cultural habits of special social groups | x | |||
| Spatial and functional comfort and healthy housing conditions | x | |||
| Typological diversity | x | |||
| Adaptation to the changing needs of tenants | Flexibility of the urban housing typology | x | ||
| Flexibility of the architectural design and construction system | x | |||
| Design in accordance with the needs and cultural habits of special social groups | x | |||
| Housing and typological diversity | x | x | ||
| Encouraging the social integration and interaction of tenants | Site within an existing residential area | x | ||
| Open spaces and facilities designed to foster social integration and interaction between tenants | x | x | ||
| Enabling tenants’ economic activities | x | x | ||
| Permanence and fostering a sense of belonging | x | |||
| Spaces in residential building designed to foster social integration and interaction between tenants | x | |||
| Design in accordance with the needs and cultural habits of special social groups | x | |||
| Tenure blind design | x | |||
| Diversity | Site in a socially mixed area | x | ||
| Site in a mixed-use area | x | |||
| Site within an existing residential area | x | |||
| Housing and typological diversity | x | x | ||
| Visual diversity | x | |||
| Safety | Site within an existing residential area | x | ||
| Site in a socially mixed area | x | |||
| An architectural and landscape layout that enables monitoring and control | x | x | ||
| Cultural adequacy | Design in accordance with the needs and cultural habits of special social groups | x | ||
| Contextuality | x | |||
| Flexibility of the architectural design and construction system | x | |||
| Environmental Aspect | IS | SP | AUD | |
|---|---|---|---|---|
| Goals | General Criteria in Urban Planning and Design | |||
| Efficient use of land and compactness of the urban form | Availability of basic infrastructure | x | ||
| Availability of district heating infrastructure | x | |||
| Site in a higher built-up density and mixed-use area | x | |||
| Site within an existing residential area | x | |||
| Application of urban recycling and renewal | x | |||
| Compactness of residential development | x | |||
| Reduction in car use | Availability of social infrastructure | x | ||
| Availability of jobs | x | |||
| Availability of central urban facilities and services | x | |||
| Availability and good organization of public transport | x | |||
| Site in a higher built-up density and mixed-use area | x | |||
| Sustainable traffic solution at the site | x | |||
| Efficient use of energy | Favorable ecological conditions for residential construction | x | ||
| Availability of district heating infrastructure | x | |||
| Bioclimatic planning and design and energy efficiency | x | x | ||
| Compactness of residential development | x | |||
| Energy-efficient heating/cooling system | x | |||
| Environmentally and climate-responsible design | x | |||
| Sustainability of materials | x | |||
| Efficient use of water, materials, and resources | Application of urban recycling and renewal | x | ||
| Efficient use of water at the site | x | |||
| Efficient waste management | x | |||
| Flexibility of the architectural design and construction system | x | |||
| Sustainability of materials | x | |||
| Efficient water use in buildings | x | |||
| Environmentally and climate-responsible design | x | |||
| Environmental safety and reduction in pollution | Favorable ecological conditions for residential construction | x | ||
| Availability and good organization of public transport | x | |||
| Availability of district heating infrastructure | x | |||
| Sustainable greenery | x | |||
| Environmentally efficient heating/cooling system | x | |||
| Efficient waste management | x | |||
| Environmentally and climate-responsible design | x | |||
| Sustainability of materials | x | |||
| Preventing the heat island effect | Sustainable traffic solution at the site | x | ||
| Sustainable greenery | x | |||
| Sustainability of materials | x | |||
| Economic Aspect | IS | SP | AUD | |
|---|---|---|---|---|
| Goals | General Criteria in Urban Planning and Design | |||
| Encouraging local economic development | Environmentally efficient heating/cooling system | x | x | |
| Application of energy efficiency measures | x | |||
| Environmentally and climate-responsible design | x | |||
| Sustainability of materials | x | |||
| Local workforce, technologies, and construction techniques | x | |||
| Lower land acquisition costs | Cheaper land outside the central zone of the city/settlement | x | ||
| Ownership status of the land—land in public ownership | x | |||
| Lower costs of landscaping, equipping, construction, and adaptation | Availability of basic infrastructure | x | ||
| Availability of district heating infrastructure | x | |||
| Site within an existing residential area | x | |||
| Application of urban recycling and renewal | x | |||
| Compactness of residential development | x | |||
| Sustainable traffic solution at the site | x | |||
| Sustainability of materials | x | |||
| Rationality and cost-effectiveness of the architectural structure and construction system | x | |||
| Lower costs of maintenance | Sustainable greenery | x | ||
| Efficient water use | x | |||
| An architectural and landscape layout that enables monitoring and control | x | x | ||
| Design in accordance with the needs and cultural habits of special social groups | x | |||
| Spatial and functional comfort and healthy housing conditions | x | |||
| Flexibility of the architectural design and construction system | x | |||
| Sustainability of materials | x | |||
| Permanence and fostering a sense of belonging | x | |||
| Economic strengthening of the community and lower costs of housing | Availability of district heating infrastructure | x | ||
| Availability of social infrastructure | x | |||
| Availability of jobs | x | |||
| Availability of central urban facilities and services | x | |||
| Availability and good organization of public transport | x | |||
| Site in a mixed-use area | x | |||
| Site in an area with a mixed social structure and housing tenure | x | |||
| Favorable ecological and bioclimatic conditions for residential construction | x | |||
| Bioclimatic planning and design and energy efficiency | x | x | ||
| Energy-efficient heating and cooling systems | x | x | ||
| Enabling tenants’ economic activities | x | x | ||
| Sustainability of materials and durability | x | |||
| Equipment enabling water savings in the apartment | x | |||
| Flexible layout of residential units | x | |||
References
- King, P. The Principles of Housing, 1st ed.; Routledge: London, UK; New York, NY, USA, 2016. [Google Scholar]
- Newman, O. Defensible Space—Crime Prevention Through Urban Design; Macmillan Publishers: New York, NY, USA, 1972. [Google Scholar]
- Towers, G. Shelter Is Not Enough. Transforming Multi-Storey Housing; The Policy Press: Bristol, UK, 2000. [Google Scholar]
- Power, A. Hovels to High Rise. State Housing in Europe Since 1850, 1st ed.; Routledge: London, UK; New York, NY, USA, 1993. [Google Scholar]
- Wassenberg, F. Large social housing estates: From stigma to demolition? J. Hous. Built Environ. 2004, 19, 223–232. Available online: http://www.jstor.org/stable/41107262 (accessed on 20 October 2024). [CrossRef]
- Lux, M.; Sunega, P. New Social Housing Strategies in Post-Socialist States—Effectiveness, Efficiency, and Sustainability. In Social Housing in Transition Countries, 1st ed.; Hegedüs, J., Lux, M., Teller, N., Eds.; Routledge: London, UK; New York, NY, USA, 2013; pp. 307–330. [Google Scholar]
- UNECE. Social Housing in the UNECE Region. Models, Trends and Challenges; United Nations: Geneva, Switzerland, 2015. [Google Scholar]
- Harloe, M. The People’s Home: Social Rented Housing in Europe and America; Blackwell Publishiers: Oxford, UK; Cambridge, MA, USA, 1995. [Google Scholar]
- Official Gazette of the Republic of Serbia. Law on Social Housing; Public Enterprise “Official Gazette”: Belgrade, Serbia, 2009; No. 72/2009. [Google Scholar]
- Federal Statistics Office of the SFRY. The Census of Population, Households and Dwellings in the SFRY; Federal Statistics Office of the SFRY: Belgrade, Serbia, 1991. [Google Scholar]
- Statistical Office of the Republic of Serbia—SORS. The Census of Population, Households and Dwellings in the Republic of Serbia; SORS: Belgrade, Serbia, 2002. [Google Scholar]
- Statistical Office of the Republic of Serbia—SORS. The Census of Population, Households and Dwellings in the Republic of Serbia; SORS: Belgrade, Serbia, 2022. [Google Scholar]
- Damjanović, D.; Gligorijević, Ž. (Eds.) Social Housing. An Overview of Housing Policies in Serbia and Selected European Countries; Palgo centar: Belgrade, Serbia, 2010. [Google Scholar]
- Petrović, M. Serbia: A patchwork of local options. In Social Housing in Transition Countries, 1st ed.; Hegedüs, J., Lux, M., Teller, N., Eds.; Routledge: London, UK; New York, NY, USA, 2013; pp. 244–261. [Google Scholar]
- Official Gazette of the City of Belgrade. Belgrade General Plan 2021; City of Belgrade—Information Service: Belgrade, Serbia, 2003; No. 27/03. [Google Scholar]
- Timotijević, J.; Ćurčić, D. What Do We Mean When We Say... Against Housing Segregation; Institute for Philosophy and Social Theory, University of Belgrade, and Institute for Democratic Engagement of Southeast Europe: Belgrade, Serbia, 2023. [Google Scholar]
- Đokić, V.; Gligorijević, Ž.; Čolić Damjanović, V.M. Towards sustainable development of social housing model in Serbia: Case study of Belgrade. Spatium 2015, 34, 18–26. [Google Scholar] [CrossRef]
- Milanović Hrašovec, I. Dossier of Time: Kamendin—Cries That No One Hears. Vreme. Available online: https://www.vreme.com/vreme/4594602/ (accessed on 20 October 2024).
- Ćurčić, D. The Rich with the Rich, the Poor in Suburban Settlements: No News Reaches Jabučki Rit. Vreme. Available online: https://vreme.com/vesti/bogati-sa-bogatima-siromasne-u-prigradska-naselja-u-jabucki-rit-ne-stizu-novine/ (accessed on 20 October 2024).
- Trkulja, S.; Čolić, R.; Maksin, M. (Eds.) Sustainable and Integrated Urban Development Strategy of the Republic of Serbia until 2030; Ministry of Construction, Transport and Infrastructure: Belgrade, Serbia, 2018; Available online: https://raf.arh.bg.ac.rs/handle/123456789/2145 (accessed on 20 October 2024).
- National Housing Strategy 2020–2030—Draft. Available online: https://www.mgsi.gov.rs/sites/default/files/Nacionalna%20stambena%20strategija_NACRT_0.pdf (accessed on 30 December 2024).
- Spatial Plan of the Republic of Serbia 2021–2035—Draft. Available online: https://www.mgsi.gov.rs/sites/default/files/PPRS%20Nacrt.pdf (accessed on 30 December 2024).
- Silva, L.P.P.; Najjar, M.K.; da Costa, B.B.F.; Amario, M.; Vasco, D.A.; Haddad, A.N. Sustainable Affordable Housing: State-of-the-Art and Future Perspectives. Sustainability 2024, 16, 4187. [Google Scholar] [CrossRef]
- Housing Europe. The State of Housing in Europe in 2021. Available online: https://www.housingeurope.eu/file/1173/download (accessed on 20 October 2024).
- Universal Declaration of Human Rights (UDHR) (1948), Proclaimed by the General Assembly, Resolution 217 A (III), A/RES/3/217 A, 10 December 1948, U.N. Doc A/810 at 71. Available online: http://www.ohchr.org/EN/UDHR/Documents/UDHR_Translations/eng.pdf (accessed on 1 December 2024).
- International Covenant on Economic, Social and Cultural Rights (CESCR), General Assembly Resolution 2200A (XXI), 21 UN GAOR Supp. (No. 16) at 49, UN Doc. A/6316 (1966), 993 UNTS 3; 6 ILM 368. 1967. Available online: https://www.ohchr.org/en/instruments-mechanisms/instruments/international-covenant-economic-social-and-cultural-rights (accessed on 1 December 2024).
- UN CESCR (1991) General Comment No. 4: The Right to Adequate Housing (Art. 11(1) of the Covenant), Adopted at the Sixth Session of the Committee on Economic, Social and Cultural Rights, on 13 December 1991, Contained in Document E/1992/23). Available online: http://www.refworld.org/docid/47a7079a1.html (accessed on 1 December 2024).
- The Vancouver Declaration on Human Settlements, From the Report of Habitat: United Nations Conference on Human Settlements, Vancouver, Canada, 31 May to 11 June. 1976. Available online: http://mirror.unhabitat.org/downloads/docs/The_Vancouver_Declaration.pdf (accessed on 1 December 2024).
- The Habitat Agenda, Istanbul Declaration on Human Settlements, A/CONF.165/14, 1996, Chapter I, Annex II. Available online: http://www.un-documents.net/hab-ag.htm (accessed on 1 December 2024).
- European Council of Town Planners, New Charter of Athens 1998: European Council of Town Planners’ Principles for Planning Cities. International Congress 28–31 May, 1998, Athens, Greece. Available online: https://archive.ectp-ceu.eu/ectp-ceu.eu/images/stories/download/Athens-Charter-1998.pdf (accessed on 1 December 2024).
- United Nations General Assembly. Habitat III New Urban Agenda: Quito Declaration on Sustainable Cities and Human Settlements for All; United Nations General Assembly: Quito, Ecuador, 2016; Available online: https://habitat3.org/wp-content/uploads/NUA-English-With-Index-1.pdf (accessed on 1 December 2024).
- Transforming Our World: The 2030 Agenda for Sustainable Development, 70/1, Resolution Adopted by the General Assembly on 25 September 2015. Available online: https://documents.un.org/doc/undoc/gen/n15/291/89/pdf/n1529189.pdf (accessed on 1 December 2024).
- UN-HABITAT. Sustainable Housing for Sustainable Cities—A Policy Framework for Developing Countries; United Nations Human Settlements Programme: Nairobi, Kenya, 2012. [Google Scholar]
- Newman, P. Sustainability and Housing—More Than a Roof over Head. The 9th F. Oswald Barnett Oration, Melbourne. Available online: http://st1.asflib.net/MEDIA/ASF-CD/ASF-M-00173/BGPapers/Newman%20P%20-%20Sustainability%20and%20Housing.pdf (accessed on 20 October 2024).
- WCED. Our Common Future; Oxford University Press: Oxford, UK, 1987. [Google Scholar]
- Priemus, H. How to make housing sustainable? The Dutch experience. Environ. Plan. B Plan. Des. 2005, 32, 5–19. [Google Scholar] [CrossRef]
- UNECE. Guidelines on Social Housing. Principles and Examples; United Nations: New York, NY, USA; Geneva, Switzerland, 2006. [Google Scholar]
- UNEP. Sustainable Solutions for Social Housing; Guidelines for Project Developers; United Nations Environment Programme: Nairobi, Kenya, 2013. [Google Scholar]
- UNECE. The Geneva UN Charter on Sustainable Housing. Ensure Access to Decent, Adequate, Affordable and Healthy Housing for All; United Nations: Geneva, Switzerland, 2015; Available online: https://www.unece.org/fileadmin/DAM/hlm/documents/Publications/UNECE_Charter_EN.pdf (accessed on 20 October 2024).
- Reeves, P. An Introduction to Social Housing, 2nd ed.; Routledge: London, UK; New York, NY, USA, 2005. [Google Scholar]
- Milić, V. Urban Aspects of Social Housing; University of Belgrade—Faculty of Architecture: Belgrade, Serbia, 2006. [Google Scholar]
- Bhatti, M. From consumers to prosumers: Housing for a sustainable future. Hous. Stud. 1993, 8, 98–108. [Google Scholar] [CrossRef]
- Chiu, R.L.H. Sustainable development: A new perspective for housing development. In Proceedings of the 3rd National Housing Conference, Housing Futures, Adelaide, Australia, 26–28 November 2003. [Google Scholar]
- Chiu, R.L.H. Social sustainability, sustainable development and housing development. The experience of Hong Kong. In Housing and Social Change: East–West Perspectives, 1st ed.; Forrest, R., Lee, J., Eds.; Routledge: London, UK, 2003; pp. 221–239. [Google Scholar]
- Tosics, I. European urban development: Sustainability and the role of housing. J. Hous. Built Environ. 2004, 19, 67–90. Available online: http://www.jstor.org/stable/41107245 (accessed on 1 December 2024). [CrossRef]
- Winston, N. Urban Regeneration for a Sustainable City: The Role of Housing; IRCHSS: Dublin, Ireland, 2008. [Google Scholar]
- Winston, N.; Pareja Eastaway, M. Sustainable housing in the urban context: International sustainable development indicator sets and housing. Soc. Indic. Res. 2008, 87, 211–221. Available online: https://ideas.repec.org/a/spr/soinre/v87y2008i2p211-221.html (accessed on 1 December 2024). [CrossRef]
- Ancell, S.; Thompson-Fawcett, M. The social sustainability of medium density housing: A conceptual model and Christchurch case study. Hous. Stud. 2008, 23, 423–442. [Google Scholar] [CrossRef]
- Cousins, M. Designing Quality in New Housing. Learning from the Netherlands, 1st ed.; Taylor & Francis: New York, NY, USA, 2009. [Google Scholar]
- Bramley, G.; Brown, C.; Dempsey, N.; Power, S.; Watkins, D. Social Acceptability. In Dimensions of the Sustainable City; Jenks, M., Jones, C., Eds.; Springer: Dordrecht, The Netherland; Heidelberg, Germany; London, UK; New York, NY, USA, 2010; pp. 105–128. [Google Scholar]
- Williams, K.; Dair, C.; Lindsay, M. Neighborhood Design and Sustainable Lifestyles. In Dimensions of the Sustainable City; Jenks, M., Jones, C., Eds.; Springer: Dordrecht, The Netherland; Heidelberg, Germany; London, UK; New York, NY, USA, 2010; pp. 183–214. [Google Scholar]
- Woodcraft, S.; Hackett, T.; Caistor-Arendar, L. Design for Social Sustainability: A Framework for Creating Thriving New Communities; Social Life: London, UK, 2012. [Google Scholar]
- Welch, A.; Benfield, K.; Raimi, M. A Citizen’s Guide to LEED for Neighborhood Development: How to Tell If Development Is Smart and Green; Natural Resources Defense Council: New York, NY, USA, 2011. [Google Scholar]
- Karuppannan, S.; Sivam, A. Social sustainability and neighbourhood design: An investigation of residents’ satisfaction in Delhi. Local Environ. 2011, 16, 849–870. [Google Scholar] [CrossRef]
- Dave, S. Neighbourhood density and social sustainability in cities of developing countries. Sustain. Dev. 2011, 19, 189–205. [Google Scholar] [CrossRef]
- Bailey, N.; Manzi, T. Developing and Sustaining Mixed Tenure Housing Developments. Round-Up—Reviewing the Evidence; Joseph Rowntree Foundation: York, UK, 2008. [Google Scholar]
- Jupp, B. Living Together: Community Life on Mixed Tenure Estates; Demos: London, UK, 1999. [Google Scholar]
- Allen, C.; Camina, M.; Casey, R.; Coward, S.; Wood, M. Mixed Tenure, Twenty Years on: Nothing out of the Ordinary; Joseph Rowntree Foundation: York, UK, 2005. [Google Scholar]
- Camina, M.M.; Wood, M.J. Parallel Lives: Towards a Greater Understanding of What Mixed Communities Can Offer. Urban Stud. 2009, 46, 459–480. [Google Scholar] [CrossRef]
- Biddulph, R.; Sandberg, M. The Outdoor Area Implications of Mixed Housing Tenure Initiatives—A Swedish Case in Tynnered, Gothenburg. Land 2024, 13, 1942. [Google Scholar] [CrossRef]
- Atkinson, R.; Kintrea, K. Owner occupation, social mix and neighbourhood impacts. Policy Politics 2000, 28, 93–108. [Google Scholar] [CrossRef]
- Graham, E.; Manley, D.J.; Hiscock, R.; Boyle, P.J.; Doherty, J. Mixing housing tenures: Is it good for social well-being? Urban Stud. 2009, 46, 139–165. [Google Scholar] [CrossRef]
- Williams, K.; Burton, E.; Jenks, M. (Eds.) Achieving Sustainable Urban Form; E & FN Spon: London, UK, 2000. [Google Scholar]
- Jabareen, Y.R. Sustainable Urban Forms: Their Typologies, Models, and Concepts. J. Plan. Educ. Res. 2006, 26, 38–52. [Google Scholar] [CrossRef]
- Saez, V.C.; Quintana-Gallardo, A.; Mendiguchía-Fontes, F.A.; Garzón, B.S.; Guillén-Guillamón, I. The Present and Future of the Use Phase of Social Housing in Tucumán, Argentina: An LCA Perspective. Sustainability 2024, 16, 4958. [Google Scholar] [CrossRef]
- Zhang, Y.; Li, B.; Caneparo, L.; Meng, Q.; Guo, W.; Liu, X. Physical Environment Study on Social Housing Stock in Italian Western Alps for Healthy and Sustainable Communities. Land 2023, 12, 1468. [Google Scholar] [CrossRef]
- Hayles, C.S.; Dean, M. Social housing tenants, Climate Change and sustainable living: A study of awareness, behaviours and willingness to adapt. Sustain. Cities Soc. 2015, 17, 35–45. [Google Scholar] [CrossRef]
- Mulliner, E.; Maliene, V. An Analysis of Professional Perceptions of Criteria Contributing to Sustainable Housing Affordability. Sustainability 2015, 7, 248–270. [Google Scholar] [CrossRef]
- Ezenia, I.S.; Hoskara, S.O. Assessing the subjective perception of urban households on the criteria representing sustainable housing affordability. Sci. Afr. 2021, 13, e00847. [Google Scholar] [CrossRef]
- De Azevedo, N.J.D.; Silva, J.J.; Silva, P.M.W. Definition of indicators for sustainable social housing: In search of a model. Int. J. Hous. Sci. Its Appl. 2010, 34, 79–92. [Google Scholar]
- Ibem, E.O.; Azuh, D.E. Framework for Evaluating the Sustainability of Public Housing Programmes in Developing Countries. J. Sustain. Dev. Environ. Prot. 2011, 1, 24–39. [Google Scholar]
- Moghayedi, A.; Awuzie, B.; Omotayo, T.; Le Jeune, K.; Massyn, M.; Ekpo, C.O.; Braune, M.; Byron, P.A. Critical Success Factor Framework for Implementing Sustainable Innovative and Affordable Housing: A Systematic Review and Bibliometric Analysis. Buildings 2021, 11, 317. [Google Scholar] [CrossRef]
- Oyebanji, A.O.; Liyanage, C.; Akintoye, A. Critical Success Factors (CSFs) for Achieving Sustainable Social Housing (SSH). Int. J. Sustain. Built Environ. 2017, 6, 216–227. [Google Scholar] [CrossRef]
- Ahmed, K.G. Designing Sustainable Urban Social Housing in the United Arab Emirates. Sustainability 2017, 9, 1413. [Google Scholar] [CrossRef]
- Adabre, M.A.; Chan, A.P.C. Critical success factors (CSFs) for sustainable affordable housing. Build. Environ. 2019, 156, 203–214. [Google Scholar] [CrossRef]
- Poholka, H. Locating Optimal Affordable Housing Sites: A Determination of Potential Site Locations for New Affordable Housing Units Using Multi-Criteria Analysis: A Case Study of Kelowna, British Columbia. Bachelor’s Thesis, University of Gävle—Högskolan i Gävle, Gävle, Sweden, 2011. [Google Scholar]
- Sharghi, A.; Nourtaghani, A.; Ramzanpour, M.; Bagherigorji, R. Low-income housing location based on affordable criteria Using AHP Model and GIS Technique (Case Study: Babolsar City). Environ. Dev. Sustain. 2022, 24, 10337–10377. [Google Scholar] [CrossRef]
- Villa, S.B.; Vasconcellos, P.B.; De Bortoli, K.C.R.; De Araujo, L.B. Lack of adaptability in Brazilian social housing: Impacts on residents. Build. Cities 2022, 3, 376–397. [Google Scholar] [CrossRef]
- Ziama, J.A.; Li, B. Residents Post-Occupancy Evaluation of Social Housing in Liberia. J. Build. Constr. Plan. Res. 2018, 6, 1–22. [Google Scholar] [CrossRef]
- Paisi, M.; Allen, Z.; Shawe, J. New Home, New You: A retrospective mixed-methods evaluation of a health-related behavioural intervention programme supporting social housing tenants. Health Expect. 2023, 26, 752–764. [Google Scholar] [CrossRef] [PubMed]
- Bajić, T. Energy efficiency criteria in urban planning of social housing. In Spatial, Ecological, Energetic and Social Aspects of Settlement Developing and Climate Changes; Pucar, M., Nenković-Riznić, M., Eds.; IAUS: Belgrade, Serbia, 2016; pp. 259–286. [Google Scholar]
- Petković-Grozdanović, N.; Stoiljković, B.; Shubenkov, M. Location Criteria Relevant for Sustainability of Social Housing. In Proceedings of the XV International Conference Topical Problems of Architecture, Civil Engineering, Energy Efficiency and Ecology—2016, MATEC Web of Conferences, Tyumen, Russia, 27–29 April 2016; Volume 73. [Google Scholar] [CrossRef]
- Official Gazette of the Republic of Serbia. Regulation on Standards and Norms for Planning, Design, Construction and Conditions for the Use and Maintenance of Apartments for Social Housing; Public Enterprise “Official Gazette”: Belgrade, Serbia, 2013; No. 26/2013. [Google Scholar]
- Official Gazette of the Republic of Serbia. Law on Housing and Building Maintenance; Public Enterprise “Official Gazette”: Belgrade, Serbia, 2016; No. 104/2016. [Google Scholar]
- Official Gazette of the Republic of Serbia. Rulebook on Conditions and Norms for Planning and Designing Residential Buildings and Apartments in Housing Support Programs; Public Enterprise “Official Gazette”: Belgrade, Serbia, 2017; No. 76/2017. [Google Scholar]
- Bajić, T. Criteria in the Urban Planning and Design of Social Housing in Serbia. Ph.D. Thesis, University of Belgrade—Faculty of Architecture, Belgrade, Serbia, 2017. Available online: https://phaidrabg.bg.ac.rs/view/o:16528 (accessed on 20 October 2024).
- Njegić, T.; Manić, B.; Lojanica, V. Creating more sustainable social housing in Serbia: A conceptual framework for architectural and urban design. Facta Univ. Ser. Archit. Civ. Eng. 2022, 20, 131–150. [Google Scholar] [CrossRef]
- Bajić, T.; Manić, B. Urban architectural competition as an instrument for realization of the social housing projects in post-socialist Belgrade. In A Support to Urban Development Process; Bolay, J.C., Maričić, T., Zeković, S., Eds.; EPFL and IAUS: Lausanne, Switzerland; Belgrade, Serbia, 2018; pp. 108–128. [Google Scholar]
- Ramirez, L.; Mojović, Đ.; Galasi, B.; Čolić, R.; Vuksanović-Macura, Z.; Merola, A.; Zambrano, A. (Eds.) SIRP Book: The Settlement and Integration of Refugees Programme in Serbia 2005–2008; UN-Habitat: Belgrade, Serbia, 2008. [Google Scholar]
- Bajić, T.; Manić, B. Mixed tenure housing: Urbanistic aspects and experience of recent housing practices in Serbia. Arhit. I Urban. 2018, 47, 25–36. [Google Scholar] [CrossRef]
- Lucas, K.; Halden, D.; Wixey, S. Transport Planning for Sustainable Communities. In Social Sustainability in Urban Areas. Communities, Connectivity and the Urban Fabric; Manzi, T., Lucas, K., Jones, T.L., Allen, J., Eds.; Earthscan: London, UK; Washington, DC, USA, 2010; p. 121140. [Google Scholar]
- Department of the Environment, Heritage and Local Government—DOEHLG. Quality Housing for Sustainable Communities; DOEHLG: Dublin, Ireland, 2007. [Google Scholar]
- Global Green USA. Blueprint for Greening Affordable Housing; Island Press: Washington, DC, USA, 2007. [Google Scholar]
- Pucar, M.; Pajević, M.; Jovanović-Popović, M. Bioclimatic Planning and Design—Urban Parameters; IP Zavet: Belgrade, Serbia, 1994. [Google Scholar]
- Radovanović, S.; Knežević, A. Roma in Serbia; Republic Institute of Statistics: Belgrade, Serbia, 2014. [Google Scholar]
- Fuerst, J.S. (Ed.) Public Housing in Europe and America; Croom Helm: London, UK, 1974. [Google Scholar]
- Šijaković, M.; Bajić, T. Architectural dimension of sustainability: Re-establishing the concept of recycling. Spatium 2017, 37, 66–73. [Google Scholar] [CrossRef]
- Alfirević, Đ.; Simonović Alfirević, S. Micro-Apartments: Achieving Spatial Comfort in Substandard Housing Conditions. Arhit. I Urban. 2022, 55, 5–23. [Google Scholar] [CrossRef]
- Crnčević, T.; Orlović Lovren, V. Displacement and climate change: Improving planning policy and increasing community resilience. Int. J. Clim. Chang. Strateg. Manag. 2018, 10, 105–120. [Google Scholar] [CrossRef]
- Progress Report on the Implementation of the Sustainable Development Goals by 2030 in the Republic of Serbia. Report for 2023. Available online: https://serbia.un.org/sites/default/files/2024-06/Progress%20Report%20on%20the%20Implementation%20of%20the%20Sustainable%20Development%20Goals%20by%202030%20in%20the%20Republic%20of%20Serbia%20%28Report%20for%202023%29-ENG.pdf (accessed on 1 December 2024).







| Typology | Description of the Site | Site on the Orthophoto Image |
|---|---|---|
| Novo naselje, Valjevo, 2008 | ||
| 1 multi-family building, G + 2, 11 apartments ![]() | suburban area, 4 km from the center of Valjevo dominant family housing plot area: 494 m2 within walking distance: city transport stop, elementary school and kindergarten, community health center, post office, shop for daily and periodic supply | ![]() |
| Strelište, Pančevo, 2008 | ||
| 1 multi-family building, G + 4, 76 apartments ![]() | urban area, 2 km from the center of Pančevo dominant multi-family housing plot area: 1200 m2 within walking distance: city transport stop, elementary school and kindergarten, community health center, post office, farmers market, shop for daily and periodic supply, mall | ![]() |
| Beranovac, Kraljevo, 2008 | ||
| 3 multi-family buildings, G + 2 + A, 76 apartments ![]() | suburban area, 3 km from the center of Kraljevo dominant family housing plot area: 4002 m2 within walking distance: city transport stop, elementary school and kindergarten, store for daily and periodic supply | ![]() |
| Košutnjak, Čačak, 2008 | ||
| 10 semi-detached multi-family buildings, G + 1 + A – G + 2 + A, 102 apartments ![]() | urban area, 1 km from the center of Čačak, on the right bank of the Morava River dominant family housing plot area: 1932 m2 within walking distance: all social infrastructure facilities, administrative, commercial and service facilities, green and recreational areas | ![]() |
| “Avala Block”, Aerodrom settlement, Kragujevac, 2008 | ||
| 3 multi-family buildings, G+3, 96 apartments ![]() | urban area, 4 km from the center of Kragujevac dominant multi-family housing plot area: 13,000 m2 within walking distance: city transport stop, primary school, stores for daily and periodic supply | ![]() |
| Block 72, New Belgrade, Belgrade, 2010 | ||
| 3 multi-family buildings, G + 4 + A, 399 apartments * ![]() | the transition between the urban area of New Belgrade and the suburban area of Ledine, 10 km from the center of Belgrade dominant multi-family housing plot area: 78,000 m2 within walking distance: several public transport stops, all objects of social infrastructure, commercial and service contents, green and recreational areas | ![]() |
| Sustainability Criteria in Identifying Sites for Social Housing | |||
|---|---|---|---|
| General Criteria | Specific Criteria | ||
| 1. | Availability of basic infrastructure | 1.1 | Availability of traffic infrastructure |
| 1.2 | Availability of water supply and sewage infrastructure | ||
| 1.3 | Availability of electric power infrastructure | ||
| 1.4 | Availability of telecommunications infrastructure | ||
| 2. | Availability and good organization of public transport | 2.1 | Distance from public transport stops |
| 2.2 | Convenient and safe access to public transport stops | ||
| 2.3 | Variety and number of public transport lines | ||
| 2.4 | Frequency of public transport | ||
| 3. | Availability of district heating infrastructure | 3.1 | Availability of heating infrastructure |
| 3.2 | Availability of gas pipeline infrastructure | ||
| 3.3 | Availability of cogeneration systems | ||
| 4. | Availability of social infrastructure | 4.1 | Proximity to school |
| 4.2 | Proximity to kindergarten | ||
| 4.3 | Proximity to health care center | ||
| 4.4 | Proximity to social welfare center | ||
| 5. | Availability of jobs | 5.1 | Proximity to city/town center |
| 5.2 | Proximity to industrial and other work zones | ||
| 5.3 | Availability of jobs in the residential area | ||
| 6. | Availability of central urban facilities and services | 6.1 | Proximity to the city/town center |
| 6.2 | Proximity to shops for daily and periodic supplies | ||
| 6.3 | Proximity to services | ||
| 6.4 | Proximity to the post office, bank, administrative facilities | ||
| 6.5 | Proximity to green and park areas | ||
| 6.6 | Proximity to sports and recreational facilities | ||
| 6.7 | Proximity to cultural facilities | ||
| 6.8 | Proximity to hospitality facilities | ||
| 7. | Site in a higher built-up density and mixed-use area | 7.1 | Built-up density |
| 7.2 | Functional diversity (housing, central facilities, production and services) | ||
| 7.3 | Walking distance links to facilities and services | ||
| 8. | Site within an existing residential area | 8.1 | Housing density |
| 8.2 | Proximity to existing housing | ||
| 9. | Application of urban recycling and renewal | 9.1 | Regeneration of brownfield sites |
| 9.2 | Application of urban interpolation | ||
| 9.3 | Renovation/repurposing of existing buildings | ||
| 10. | Favorable ecological and bioclimatic conditions for residential construction | 10.1 | Environmental suitability for construction |
| 10.2 | Predominantly south-facing slope or flat terrain | ||
| 10.3 | Protection from strong winds | ||
| 10.4 | High quality of existing vegetation | ||
| 10.5 | Favorable influence of existing buildings | ||
| 10.6 | Conditions for using geothermal energy | ||
| 11. | Site in a socially mixed area | 11.1 | Diversity in terms of socioeconomic characteristics of residents |
| 11.2 | Variety of tenancy types (ownership and social rental) | ||
| 12. | Cheaper land outside the central zone of the city/settlement | 12.1 | Residential site in the suburbs |
| 12.2 | Residential site in a fringe suburban area | ||
| 13. | Ownership status of the land | 13.1 | Land in public ownership |
| 13.2 | Conditions for expropriation of land in other forms of ownership | ||
| Age of the Respondent | % of Net Monthly Income Spent on Housing Costs | ||
|---|---|---|---|
| satisfaction with proximity to green and park areas | Pearson Correlation | −0.271 * | −0.381 ** |
| Sig. (2-tailed) | 0.034 | 0.002 | |
| N | 61 | 61 | |
| General and Specific Criteria (GC, SC) | Valjevo | Pančevo | Kraljevo | Čačak | Kragujevac | N Belgrade | AV * | ||||||||
|---|---|---|---|---|---|---|---|---|---|---|---|---|---|---|---|
| 1. | Availability of basic infrastructure | 1.1 | 5 | 5.0 | 5 | 5.0 | 5 | 5.0 | 5 | 5.0 | 5 | 5.0 | 5 | 5.0 | 5.0 |
| 1.2 | 5 | 5 | 5 | 5 | 5 | 5 | |||||||||
| 1.3 | 5 | 5 | 5 | 5 | 5 | 5 | |||||||||
| 1.4 | 5 | 5 | 5 | 5 | 5 | 5 | |||||||||
| 2. | Availability and good organization of public transport | 2.1 | 5 | 3.8 | 5 | 3.8 | 5 | 2.5 | 1 | 2.2 | 5 | 4.3 | 5 | 5.0 | 3.6 |
| 2.2 | 4 | 5 | 3 | 2 | 5 | 5 | |||||||||
| 2.3 | 2 | 2 | 1 | 3 | 4 | 5 | |||||||||
| 2.4 | 3 | 3 | 1 | 3 | 3 | 5 | |||||||||
| 3. | Availability of district heating infrastructure ** | 3.1 | 1 | 1.0 | 5 | 5.0 | 1 | 1.0 | 1 | 5.0 | 1 | 5.0 | 5 | 5.0 | 3.7 |
| 3.2 | 1 | 1 | 1 | 5 | 5 | 1 | |||||||||
| 3.3 | 1 | 1 | 1 | 1 | 1 | 1 | |||||||||
| 4. | Availability of social infrastructure | 4.1 | 5 | 3.8 | 5 | 4.3 | 5 | 3.2 | 5 | 4.8 | 5 | 4.8 | 5 | 4.8 | 4.3 |
| 4.2 | 3 | 4 | 5 | 5 | 5 | 5 | |||||||||
| 4.3 | 5 | 4 | 2 | 5 | 5 | 5 | |||||||||
| 4.4 | 2 | 4 | 1 | 4 | 4 | 4 | |||||||||
| 5. | Availability of jobs | 5.1 | 3 | 3.3 | 4 | 4.7 | 2 | 2.3 | 5 | 4.7 | 4 | 4.7 | 4 | 4.7 | 4.1 |
| 5.2 | 4 | 5 | 3 | 5 | 5 | 5 | |||||||||
| 5.3 | 3 | 5 | 2 | 4 | 5 | 5 | |||||||||
| 6. | Availability of central urban facilities and services | 6.1 | 3 | 2.9 | 4 | 3.8 | 2 | 2.8 | 5 | 5.0 | 4 | 3.3 | 4 | 4.4 | 3.7 |
| 6.2 | 4 | 5 | 3 | 5 | 5 | 5 | |||||||||
| 6.3 | 3 | 4 | 2 | 5 | 3 | 5 | |||||||||
| 6.4 | 4 | 4 | 3 | 5 | 4 | 3 | |||||||||
| 6.5 | 3 | 4 | 4 | 5 | 1 | 5 | |||||||||
| 6.6 | 2 | 3 | 4 | 5 | 2 | 5 | |||||||||
| 6.7 | 2 | 3 | 1 | 5 | 3 | 3 | |||||||||
| 6.8 | 2 | 3 | 3 | 5 | 4 | 5 | |||||||||
| 7. | Site in a higher built-up density and mixed-use area | 7.1 | 1 | 1.3 | 2 | 3.0 | 1 | 1.0 | 2 | 3.0 | 4 | 4.0 | 4 | 4.0 | 2.7 |
| 7.2 | 2 | 4 | 1 | 4 | 4 | 4 | |||||||||
| 7.3 | 1 | 3 | 1 | 3 | 4 | 4 | |||||||||
| 8. | Site within an existing residential area | 8.1 | 3 | 4.0 | 4 | 4.5 | 2 | 3.0 | 3 | 4.0 | 4 | 4.5 | 4 | 4.0 | 4.0 |
| 8.2 | 5 | 5 | 4 | 5 | 5 | 4 | |||||||||
| 9. | Application of urban recycling and renewal | 9.1 | NC | NC | NC | NC | NC | NC | NC | NC | NC | NC | NC | NC | 0 |
| 9.2 | NC | NC | NC | NC | NC | NC | |||||||||
| 9.3 | NC | NC | NC | NC | NC | NC | |||||||||
| 10. | Favorable ecological and bioclimatic conditions for residential construction | 10.1 | 5 | 4.2 | 1 | 3.0 | 5 | 4.6 | 5 | 4.4 | 5 | 4.6 | 5 | 4.6 | 4.2 |
| 10.2 | 5 | 4 | 4 | 4 | 5 | 4 | |||||||||
| 10.3 | 3 | 2 | 4 | 3 | 4 | 5 | |||||||||
| 10.4 | 3 | 3 | 5 | 5 | 4 | 5 | |||||||||
| 10.5 | 5 | 5 | 5 | 5 | 5 | 4 | |||||||||
| 10.6 | NA | NA | NA | NA | NA | NA | |||||||||
| 11. | Site in a socially mixed area | 11.1 | 4 | 3.5 | 2 | 2.0 | 2 | 2.0 | 4 | 4.0 | 4 | 3.5 | 4 | 3.5 | 3.1 |
| 11.2 | 3 | 2 | 2 | 4 | 3 | 3 | |||||||||
| 12. | Cheaper land outside the central zone of the city/settlement *** | 12.1 | 5 | 5.0 | 3 | 3.0 | / | 5.0 | 2 | 2.0 | 3 | 3.0 | 2 | 2.0 | 3.3 |
| 12.2 | / | / | 5 | / | / | / | |||||||||
| 13. | Ownership status of the land ** | 13.1 | 5 | 5.0 | 5 | 5.0 | 5 | 5.0 | 5 | 5.0 | 5 | 5.0 | 5 | 5.0 | 5.0 |
| 13.2 | / | / | / | / | / | / | |||||||||
| Average value (AV) *, GC 1–13 | 3.3 | 3.6 | 2.9 | 3.8 | 4.0 | 4.0 | |||||||||
Disclaimer/Publisher’s Note: The statements, opinions and data contained in all publications are solely those of the individual author(s) and contributor(s) and not of MDPI and/or the editor(s). MDPI and/or the editor(s) disclaim responsibility for any injury to people or property resulting from any ideas, methods, instructions or products referred to in the content. |
© 2025 by the authors. Licensee MDPI, Basel, Switzerland. This article is an open access article distributed under the terms and conditions of the Creative Commons Attribution (CC BY) license (https://creativecommons.org/licenses/by/4.0/).
Share and Cite
Njegić, T.; Simonović Alfirević, S.; Crnčević, T.; Majhenšek, K. Application of Sustainability Criteria in Identifying Sites for Social Housing in Serbia. Land 2025, 14, 67. https://doi.org/10.3390/land14010067
Njegić T, Simonović Alfirević S, Crnčević T, Majhenšek K. Application of Sustainability Criteria in Identifying Sites for Social Housing in Serbia. Land. 2025; 14(1):67. https://doi.org/10.3390/land14010067
Chicago/Turabian StyleNjegić, Tanja, Sanja Simonović Alfirević, Tijana Crnčević, and Katarina Majhenšek. 2025. "Application of Sustainability Criteria in Identifying Sites for Social Housing in Serbia" Land 14, no. 1: 67. https://doi.org/10.3390/land14010067
APA StyleNjegić, T., Simonović Alfirević, S., Crnčević, T., & Majhenšek, K. (2025). Application of Sustainability Criteria in Identifying Sites for Social Housing in Serbia. Land, 14(1), 67. https://doi.org/10.3390/land14010067













