Spatial–Temporal Analysis of Coupling Coordination Between New Urbanization and Ecological Environment in Ya’an, China
Abstract
1. Introduction
2. Study Areas and Data Sources
2.1. Study Areas
2.2. Data Sources
3. Research Methods
3.1. Data Standardization Processing
3.2. Entropy Method Index Assignment
3.3. Coupling Coordination Relative Development Degree Model
- (1)
- Coupling degree model.
- (2)
- CCD model.
- (3)
- RDD model.
3.4. Spatial Autocorrelation Model
3.5. GWR Model
4. Index System Construction
- (1)
- Population urbanization: The process of population urbanization involves the continuous concentration of a rural population in urban areas and the transformation of an agricultural population into a non-agricultural population. Three indicators—the urbanization rate, urban population density, and natural population growth rate—are used to measure population urbanization, representing the proportion of the resident population and visually reflecting the level of population urbanization of a region.
- (2)
- Economic urbanization: Economic urbanization refers to the transformation of an industrial structure from agricultural to non-agricultural activities and the gathering of economic factors of various non-agricultural developments in cities. The GDP per capita, the value added of a tertiary sector, and the average salary of workers are used to reflect the level of economic urbanization, representing the economic level, the degree of rationalization of the regional industrial structure, and the income level of residents, respectively.
- (3)
- Spatial urbanization: Spatial urbanization refers to the transformation of rural areas into urban areas, including the expansion of town and city areas and the optimization of urban spaces. Built-up areas reflect the extent of urban spatial expansion, while urban parklands and urban roads reflect the occupation of urban internal spaces. Three indicators—the per capita urban road area, per capita garden green space, and urban built-up area of land—were chosen to reflect the development of spatial urbanization.
- (4)
- Social urbanization: Social urbanization covers various factors such as education, health care, and social consumption levels. The development of social urbanization is reflected by three indicators—the number of medical institution beds per 10,000 people, the number of health professionals per 10,000 people, and the coverage of basic old-age insurance for urban workers—showing the progress in social urbanization.
- (1)
- Ecological environment pressure: The main pressure on the ecological environment comes from the pollution of water, soil, and air by industrialization. To reflect this ecological pressure, three indicators were chosen: the industrial wastewater treatment capacity, industrial sulfur dioxide emissions, and industrial smoke (powder) dust emissions.
- (2)
- Ecological environment status: Ecological environment status refers to the water, soil, and green cover. It is measured by three indicators: the green cover of built-up areas, forest coverage, and total urban water supply.
- (3)
- Ecological environment response: Ecological environment response involves controlling and protecting water, soil, and air pollution. Three indicators reflect the level of ecological response: the harmless treatment rate of household garbage, comprehensive utilization rate of industrial solid waste, and sewage treatment capacity.
5. Results and Analysis
5.1. Spatial–Temporal Evolution Analysis of CCD
5.1.1. Temporal Trend of CCD
- (1)
- The CCD value of Ya’an’s new urbanization and ecological environment increased from 0.4470 to 0.9313 between 2011 and 2021, indicating a progression from “basically balanced–new urbanization lag” to “highly balanced–systematic balanced”. This shift signifies a harmonious interaction between new urbanization and the ecological environment. Specifically, a lower CCD value signals a swifter pace of urban development, giving rise to numerous large-scale urban construction activities. These activities may lead to the overexploitation of natural resources and a reduction in the carrying capacity of the ecosystem. Conversely, a higher CCD value indicates a more stable urban development speed, suggesting a dynamic and sustainable equilibrium between urban growth and ecological protection [41]. During the research period, the variation in the CCD value of Ya’an satisfactorily accounted for the aforementioned changes. It is evident that the present developmental trajectory of Ya’an is congruent with the assertion of a harmonized and sustainable integration of new urbanization and ecological environmental concerns.
- (2)
- With regard to RDD, the comprehensive index of new urbanization and the ecological environment generally exhibits an upward trend. The relative development index demonstrates a fluctuating pattern, characterized by periods of rise, decline, and subsequent rise. This pattern reveals that new urbanization has gradually shifted from “new urbanization lag” to “systematic balanced”. Ya’an is evolving towards a balanced and healthy state. Specifically, from 2011 to 2014, the comprehensive level of the ecological environment system was invariably higher than that of the new urbanization. Ya’an conspicuously manifested the characteristic of relying on its preponderant ecological resources to propel the development of urbanization. From 2015 to 2017, the disparity between the level of new urbanization and that of the ecological environment was narrowed. Factors such as economic growth engendered by novel development plans, post-disaster reconstruction, and the frequent flow of the urban–rural population, to a large extent, facilitated the progress of urbanization. From 2018 to 2021, the level of new urbanization sporadically exceeded that of the ecological environment, which implies the potential for further advancements of urbanization.
5.1.2. Spatial Characteristic of CCD
- (1)
- Between 2011 and 2014, the CCD of new urbanization and the ecological environment in Ya’an districts and counties showed faster growth. The overall CCD of Ya’an shifted from “basically balanced” to “moderately balanced”. Specifically, Baoxing, Xinjing, Hanyuan, and Shimian also transitioned to “moderately balanced”, aligning with the overall trend in Ya’an. This progress is attributed to the fact that Ya’an promotes urbanization development by relying on its abundant ecological resources. Additionally, Table 3 shows that the new urbanization level was lower than the ecological environment level during this period. This discrepancy was mainly due to the strong ecological foundation of Ya’an, while the new urbanization process was still in its early stages of exploration. Economic growth was relatively weak, and urban construction progressed slowly.
- (2)
- Between 2015 and 2018, the coupling degree within the new urbanization and ecological environment system in Ya’an improved significantly. Lushan notably transitioned from “basically balanced” to “highly balanced” in terms of coupling and coordination. This change can be attributed to Ya’an’s launch of a new development strategy in 2016, emphasizing the creation of a beautiful and ecologically robust city, with green industries as the focus. Ya’an steadily improved both the comprehensive level of the new urbanization system and the eco-environmental system, which led to a more coordinated overall development.
- (3)
- Between 2019 and 2021, all districts and counties in Ya’an reached the “highly balanced” development stage. These achievements highlight the importance of the ecological environment for new urbanization. Promoting the development of ecological economy and optimizing the modes of economic development and environmental protection are essential measures for Ya’an to achieve the coordinated and sustainable development of new urbanization and the ecological environment.
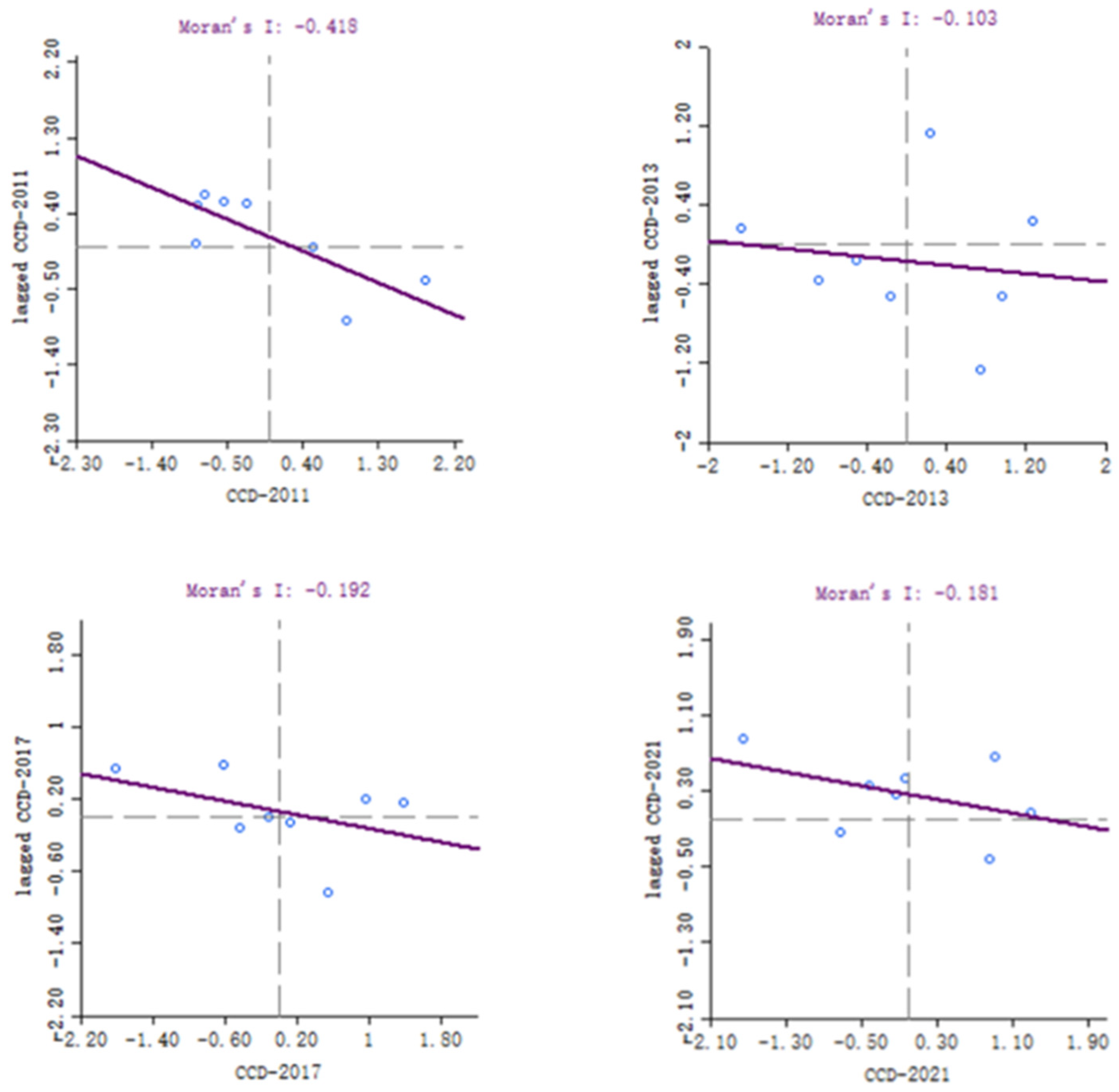
5.1.3. Spatial Correlation Analysis of CCD
5.2. Influence Factors of CCD
6. Discussion
7. Conclusions
- (1)
- From 2011 to 2021, the CCD of Ya’an exhibits a progression from “basically balanced–new urbanization lag” to “highly balanced–systematic balanced”. The continuous and robust growth of the CCD indicates that Ya’an is experiencing a balanced and healthy development.
- (2)
- The CCD varies significantly among Ya’an districts and counties. The regions where each indicator exerts the most pronounced positive influence on the CCD are Tianquan and Yingjing, whereas the regions where the negative effect is most discernible are Shimian and Mingshan. So, all districts and counties should make full use of their own basic advantages, should coordinate development, and should narrow regional differences.
Author Contributions
Funding
Data Availability Statement
Conflicts of Interest
References
- Nagendra, H.; Bai, X.; Brondizio, E.S.; Lwasa, S. The urban south and the predicament of global sustainability. Nat. Sustain. 2018, 1, 341–349. [Google Scholar] [CrossRef]
- Güneralp, B.; Perlstein, A.S.; Seto, K.C. Balancing urban growth and ecological conservation: A challenge for planning and governance in China. Ambio 2015, 44, 532–543. [Google Scholar] [CrossRef]
- Dame, J.; Schmidt, S.; Müller, J.; Nüsser, M. Urbanisation and socio-ecological challenges in high mountain towns: Insights from Leh (Ladakh), India. Landsc. Urban Plan. 2019, 189, 189–199. [Google Scholar] [CrossRef]
- Wang, J.; Wang, S.; Li, S.; Feng, K. Coupling analysis of urbanization and energy-environment efficiency: Evidence from Guangdong province. Appl. Energy 2019, 254, 113650. [Google Scholar] [CrossRef]
- Ouyang, X.; Tang, L.; Wei, X.; Li, Y. Spatial interaction between urbanization and ecosystem services in Chinese urban agglomerations. Land Use Policy 2021, 109, 105587. [Google Scholar] [CrossRef]
- Zhou, Y.; Chen, M.; Tang, Z.; Mei, Z. Urbanization, land use change, and carbon emissions: Quantitative assessments for city-level carbon emissions in Beijing-Tianjin-Hebei Region. Sustainable Cities and Society. Sustain. Cities Soc. 2021, 66, 102701. [Google Scholar] [CrossRef]
- Juknys, R.; Liobikienė, G.; Dagiliūtė, R. Sustainability of economic growth and convergence in regions of different developmental stages. Sustain. Dev. 2017, 25, 276–287. [Google Scholar] [CrossRef]
- Liao, F.H.; Wei, Y.D. Space, scale, and regional inequality in provincial China: A spatial filtering approach. Appl. Geogr. 2015, 61, 94–104. [Google Scholar] [CrossRef]
- Chen, D.; Zhao, Q.; Jiang, P.; Li, M. Incorporating ecosystem services to assess progress towards sustainable development goals: A case study of the Yangtze River Economic Belt, China. Sci. Total Environ. 2022, 806, 151277. [Google Scholar] [CrossRef]
- Hou, H.; Wang, R.; Murayama, Y. Scenario-based modelling for urban sustainability focusing on changes in cropland under rapid urbanization: A case study of Hangzhou from 1990 to 2035. Sci. Total Environ. 2019, 661, 422–431. [Google Scholar] [CrossRef]
- Schroeder, P.; Anggraeni, K.; Weber, U. The relevance of circular economy practices to the sustainable development goals. J. Ind. Ecol. 2019, 23, 77–95. [Google Scholar] [CrossRef]
- Cui, X.; Fang, C.; Liu, H.; Liu, X. Assessing sustainability of urbanization by a coordinated development index for an Urbanization-Resources-Environment complex system: A case study of Jing-Jin-Ji region, China. Ecol. Indic. 2019, 96, 383–391. [Google Scholar] [CrossRef]
- Li, C.; Wu, Y.; Gao, B.; Deng, G.; Zhu, X.; Wu, Y. A study on the spatial and temporal evolution of the quality of new urbanisation in Yunnan Province under the perspective of the new development concept. Resour. Dev. Mark. 2023, 39, 1012–1021. [Google Scholar]
- Wei, H.; Xue, D.; Huang, J.; Liu, M.; Li, L. Identification of coupling relationship between ecosystem services and urbanization for supporting ecological management: A case study on areas along the Yellow River of Henan province. Remote Sens. 2022, 14, 2277. [Google Scholar] [CrossRef]
- Zou, C.; Zhu, J.; Lou, K.; Yang, L. Coupling coordination and spatiotemporal heterogeneity between urbanization and ecological environment in Shaanxi Province, China. Ecol. Indic. 2022, 141, 109152. [Google Scholar] [CrossRef]
- Zhang, D.; Lu, Y.; Tian, Y. Spatial association effect of haze pollution in Cheng-Yu urban agglomeration. Sci. Rep. 2020, 10, 9753. [Google Scholar] [CrossRef] [PubMed]
- Liu, H.; Zhang, Y.; Zheng, W. Evaluation on spatio-temporal development and interaction of intensive urban land use and urbanization: Case studies of the cities in the Bohai Rim Region. Geogr. Res. 2011, 30, 1805–1817. [Google Scholar]
- Chen, T.; Feng, Z.; Zhao, H.; Wu, K. Identification of ecosystem service bundles and driving factors in Beijing and its surrounding areas. Sci. Total Environ. 2020, 711, 134687. [Google Scholar] [CrossRef]
- Ma, L.; Chen, M.; Fang, F.; Che, X. Research on the spatiotemporal variation of rural-urban transformation and its driving mechanisms in underdeveloped regions: Gansu Province in western China as an example. Sustain. Cities Soc. 2019, 50, 101675. [Google Scholar] [CrossRef]
- Fang, C.; Ren, Y. Analysis of emergy-based metabolic efficiency and environmental pressure on the local coupling and telecoupling between urbanization and the eco-environment in the Beijing-Tianjin-Hebei urban agglomeration. Sci. China Earth Sci. 2017, 60, 1083–1097. [Google Scholar] [CrossRef]
- Deng, C.; Liu, J.; Nie, X.; Li, Z.; Liu, Y.; Xiao, H.; Hu, X.; Wang, L.; Zhang, Y.; Zhang, G. How trade-offs between ecological construction and urbanization expansion affect ecosystem services. Ecol. Indic. 2021, 122, 107253. [Google Scholar] [CrossRef]
- Ding, T.; Chen, J.; Fang, Z.; Chen, J. Assessment of coordinative relationship between comprehensive ecosystem service and urbanization: A case study of Yangtze River Delta urban Agglomerations, China. Ecol. Indic. 2021, 133, 108454. [Google Scholar] [CrossRef]
- Zhang, H.; Deng, W.; Zhang, S.; Peng, L.; Liu, Y. Impacts of urbanization on ecosystem services in the Chengdu-Chongqing Urban Agglomeration: Changes and trade-offs. Ecol. Indic. 2022, 139, 108920. [Google Scholar] [CrossRef]
- Zhou, Y.; Kong, Y.; Wang, H.; Luo, F. The impact of population urbanization lag on eco-efficiency: A panel quantile approach. J. Clean. Prod. 2020, 244, 118664. [Google Scholar] [CrossRef]
- Peng, R. Research on the Coupled and Coordinated Development of Urbanization and Ecological Environment and Spatial Differentiation. Master’s Thesis, Sichuan Agricultural University, Yaan, China, 2022. [Google Scholar] [CrossRef]
- Cai, J.; Li, X.; Liu, L.; Chen, Y.; Wang, X.; Lu, S. Coupling and coordinated development of new urbanization and agro-ecological environment in China. Sci. Total Environ. 2021, 776, 145837. [Google Scholar] [CrossRef]
- Yang, C.; Zeng, W.; Yang, X. Coupling coordination evaluation and sustainable development pattern of geo-ecological environment and urbanization in Chongqing municipality, China. Sustain. Cities Soc. 2020, 61, 102271. [Google Scholar] [CrossRef]
- Li, W.; Wang, Y.; Xie, S.; Cheng, X. Coupling coordination analysis and spatiotemporal heterogeneity between urbanization and ecosystem health in Chongqing municipality, China. Sci. Total Environ. 2021, 791, 148311. [Google Scholar] [CrossRef] [PubMed]
- Yang, Z.; Zhan, J.; Wang, C.; Twumasi-Ankrah, M.J. Coupling coordination analysis and spatiotemporal heterogeneity between sustainable development and ecosystem services in Shanxi Province, China. Sci. Total Environ. 2022, 836, 155625. [Google Scholar] [CrossRef]
- Zhao, W.; Luo, J. Analysis of the evolution of spatial and temporal patterns of coupled coordination of urbanisation and ecological resilience in the Three Gorges Reservoir Area. Resour. Environ. Yangtze Basin 2024, 33, 1888–1904. [Google Scholar]
- Li, X. Research on Spatial and Temporal Changes of Urbanization and Its Coupling Relationship with Ecological Environment in Xinjiang. Master’s Thesis, Xinjiang University, Ürümqi, China, 2020. [Google Scholar] [CrossRef]
- Guo, L.; Wang, G.; Jiang, G.; Zhao, Y.; Zi, F.; Ye, L.; Liu, H. Study on Spatial and Temporal Differentiation and Influencing Factors of Coupled Coordination of Urbanisation and Ecological Environment Quality in Liaoning Province, 2005–2019. J. Environ. Eng. Technol. 2022, 12, 1123–1133. [Google Scholar]
- Wang, Z.; Liang, L.; Sun, Z.; Wang, X. Spatiotemporal differentiation and the factors influencing urbanization and ecological environment synergistic effects within the Beijing-Tianjin-Hebei urban agglomeration. J. Environ. Manag. 2019, 243, 227–239. [Google Scholar] [CrossRef]
- Ariken, M.; Zhang, F.; weng Chan, N. Coupling coordination analysis and spatio-temporal heterogeneity between urbanization and eco-environment along the Silk Road Economic Belt in China. Ecol. Indic. 2021, 121, 107014. [Google Scholar] [CrossRef]
- Liu, N.; Liu, C.; Xia, Y.; Da, B. Examining the coordination between urbanization and eco-environment using coupling and spatial analyses: A case study in China. Ecol. Indic. 2018, 93, 1163–1175. [Google Scholar] [CrossRef]
- Yu, J.; Yang, H.; Chen, R.; Ding, Z. Spatial and temporal differentiation of coupled coordination of urbanisation and ecosystems in eco-cities. J. Shandong Univ. (Nat. Sci.) 2022, 57, 102–110. [Google Scholar]
- Wu, S.; Wang, X. Spatial and Temporal Characteristics and Influencing Factors of the Coupling and Coordination of Urbanisation and Ecological Environment in Fujian Province. Taiwan Agric. Res. 2020, 33–40. [Google Scholar] [CrossRef]
- Huang, D.; Liu, X.; Zheng, Q.; Liu, J. Study on the Impact of Polycentric Pattern on the Coupled and Coordinated Development of Urbanisation and Ecological Environment-A Case Study of Two Major Metropolitan Areas in Fujian Province. Acta Ecol. Sin. 2020, 40, 7886–7896. [Google Scholar]
- Xu, L. Evaluation of the Development Level of New Urbanisation and Analysis of Spatial Characteristics-Taking Changzhou City, Jiangsu Province. Chin. J. Agric. Resour. Reg. Plan. 2018, 39, 61–66. [Google Scholar]
- Luo, W.; Bai, H.; Jing, Q.; Liu, T.; Xu, H. Urbanization-induced ecological degradation in Midwestern China: An analysis based on an improved ecological footprint model. Resour. Conserv. Recycl. 2018, 137, 113–125. [Google Scholar] [CrossRef]
- Lei, X.; Liu, H.; Li, S.; Luo, Q.; Cheng, S.; Hu, G.; Wang, X.; Bai, W. Coupling coordination analysis of urbanization and ecological environment in Chengdu-Chongqing urban agglomeration. Ecol. Indic. 2024, 161, 111969. [Google Scholar] [CrossRef]
- Guo, S.; Chen, M.; Liu, H. Coupling procedure and decoupling analysis of urbanization andresource environment: The study of Beijing. Geogr. Res. 2018, 37, 1599–1608. [Google Scholar]
- Zhao, C.; Wang, B. How does new-type urbanization affect air pollution? Empirical evidence based on spatial spillover effect and spatial Durbin model. Environ. Int. 2022, 165, 107304. [Google Scholar] [CrossRef] [PubMed]
- Shen, H.; Xiong, P.; Zhou, L. The impact of the energy-consuming right trading system on corporate environmental performance: Based on empirical evidence from panel data of industrial enterprises listed in pilot regions. Heliyon 2024, 10, e29628. [Google Scholar] [CrossRef] [PubMed]
- Guo, R.; Yuan, Y. Different types of environmental regulations and heterogeneous influence on energy efficiency in the industrial sector: Evidence from Chinese provincial data. Energy Policy 2020, 145, 111747. [Google Scholar] [CrossRef]
- Zhang, D.; Xu, J.; Zhang, Y.; Wang, J.; He, S.; Zhou, X. Study on sustainable urbanization literature based on Web of Science, scopus, and China national knowledge infrastructure: A scientometric analysis in CiteSpace. J. Clean. Prod. 2020, 264, 121537. [Google Scholar] [CrossRef]
- Shi, T.; Yang, S.; Zhang, W.; Zhou, Q. Coupling coordination degree measurement and spatiotemporal heterogeneity between economic development and ecological environment—Empirical evidence from tropical and subtropical regions of China. J. Clean. Prod. 2020, 244, 118739. [Google Scholar] [CrossRef]
- Tan, S.; Liu, Q.; Han, S. Spatial-temporal evolution of coupling relationship between land development intensity and resources environment carrying capacity in China. J. Environ. Manag. 2022, 301, 113778. [Google Scholar] [CrossRef] [PubMed]
- Xie, L.; Yan, H.; Zhang, S.; Wei, C. Does urbanization increase residential energy use? Evidence from the Chinese residential energy consumption survey 2012. China Econ. Rev. 2020, 59, 101374. [Google Scholar] [CrossRef]
- Lei, D.; Xu, X.; Zhang, Y. Analysis of the dynamic characteristics of the coupling relationship between urbanization and environment in Kunming city, southwest China. Clean. Environ. Syst. 2021, 2, 100018. [Google Scholar] [CrossRef]






| Level (D) | Degree | R | Type |
|---|---|---|---|
| 0.8 < D ≤ 1.0 | Highly balanced | R ≥ 1.2 | Eco-environment lag |
| 0.8 < R < 1.2 | Systematic balanced | ||
| R ≤ 0.8 | New urbanization lag | ||
| 0.6 < D ≤ 0.8 | Moderately balanced | R ≥ 1.2 | Eco-environment lag |
| 0.8 < R < 1.2 | Systematic balanced | ||
| R ≤ 0.8 | New urbanization lag | ||
| 0.4 < D ≤ 0.6 | Basically balanced | R ≥ 1.2 | Eco-environment lag |
| 0.8 < R < 1.2 | Systematic balanced | ||
| R ≤ 0.8 | New urbanization lag | ||
| 0.2 < D ≤ 0.4 | Moderately unbalanced | R ≥ 1.2 | Eco-environment lag |
| 0.8 < R < 1.2 | Systematic balanced | ||
| R ≤ 0.8 | New urbanization lag | ||
| 0 < D ≤ 0.2 | Seriously unbalanced | R ≥ 1.2 | Eco-environment lag |
| 0.8 < R < 1.2 | Systematic balanced | ||
| R ≤ 0.8 | New urbanization lag |
| System | First-Order Index | Secondary Index | Units | Weight (%) |
|---|---|---|---|---|
| New urbanization level | Population urbanization | X1: Urbanization rate (+) | % | 6.84 |
| X2: Urban population density (+) | persons/km2 | 7.63 | ||
| X3: Natural population growth rate (+) | ‰ | 7.55 | ||
| Economic urbanization | X4: GDP per capita (+) | CNY/persons | 7.84 | |
| X5: Average salary of employees (+) | CNY | 6.90 | ||
| X6: The proportion of value added of tertiary industry in GDP (+) | % | 11.94 | ||
| Spatial urbanization | X7: Per capita urban road area (+) | m2/persons | 7.96 | |
| X8: Per capita garden green space (+) | m2/persons | 6.50 | ||
| X9: Urban built-up area of land (+) | km2 | 11.10 | ||
| Social urbanization | X10: Number of medical institution beds per 10,000 people (+) | Beds | 7.88 | |
| X11: Number of health professionals per 10,000 people (+) | Person | 11.41 | ||
| X12: Coverage of basic old-age insurance for urban workers (+) | % | 6.45 |
| System | First-Order Index | Secondary Index | Units | Weight (%) |
|---|---|---|---|---|
| Eco-environment level | Eco-environmental pressure | Y1: Industrial wastewater treatment capacity discharge (−) | 10,000 tons | 8.34 |
| Y2: Industrial sulfur dioxide emissions (−) | Tons | 14.19 | ||
| Y3: Industrial smoke (powder) dust emissions (−) | Tons | 14.37 | ||
| Eco-environmental state | Y4: Green coverage of built-up areas (+) | % | 8.80 | |
| Y5: Forest coverage (+) | % | 11.45 | ||
| Y6: Total urban water consumption (+) | 10,000 m3 | 7.26 | ||
| Eco-environmental response | Y7: Harmless treatment rate of household garbage (+) | % | 11.96 | |
| Y8: Comprehensive utilization rate of industrial solid waste (+) | % | 11.42 | ||
| Y9: Sewage treatment capacity (+) | 10,000 tons | 12.20 |
| Years | U | EE | D | R | Lever (D) | Type (R) |
|---|---|---|---|---|---|---|
| 2011 | 0.1545 | 0.2584 | 0.4470 | 0.5979 | Basically balanced | New urbanization lag |
| 2012 | 0.2004 | 0.3317 | 0.5078 | 0.6042 | Basically balanced | New urbanization lag |
| 2013 | 0.2386 | 0.4057 | 0.5578 | 0.5880 | Basically balanced | New urbanization lag |
| 2014 | 0.2848 | 0.5141 | 0.6186 | 0.5540 | Moderately balanced | New urbanization lag |
| 2015 | 0.3449 | 0.4182 | 0.6163 | 0.8247 | Moderately balanced | Systematic balanced |
| 2016 | 0.4009 | 0.3991 | 0.6324 | 1.0044 | Moderately balanced | Systematic balanced |
| 2017 | 0.5181 | 0.5028 | 0.7144 | 1.0304 | Moderately balanced | Systematic balanced |
| 2018 | 0.5442 | 0.6183 | 0.7616 | 0.8802 | Moderately balanced | Systematic balanced |
| 2019 | 0.6567 | 0.6390 | 0.8048 | 1.0277 | Highly balanced | Systematic balanced |
| 2020 | 0.7962 | 0.7245 | 0.8715 | 1.0990 | Highly balanced | Systematic balanced |
| 2021 | 0.8618 | 0.8728 | 0.9313 | 0.9874 | Highly balanced | Systematic balanced |
| Population Urbanization | Economic Urbanization | Spatial Urbanization | Social Urbanization | Eco-Environmental Pressure | Eco-Environmental State | Eco-Environmental Response | |
|---|---|---|---|---|---|---|---|
| Index | X1–X3 | X4–X6 | X7–X9 | X10–X12 | Y1–Y3 | Y4–Y6 | Y7–Y9 |
| Ordinary least squares test | |||||||
| X2 | X5 | X8 | X11 | Y1 | Y6 | Y7 | |
| VIF | 1.0097 | 1.0767 | 3.5917 | 1.0001 | 1.1766 | 1.0001 | 1.1595 |
| Stepwise regression | |||||||
| X2 (C1) | X5 (C2) | Y1 (C3) | Y6 (C4) | ||||
Disclaimer/Publisher’s Note: The statements, opinions and data contained in all publications are solely those of the individual author(s) and contributor(s) and not of MDPI and/or the editor(s). MDPI and/or the editor(s) disclaim responsibility for any injury to people or property resulting from any ideas, methods, instructions or products referred to in the content. |
© 2025 by the authors. Licensee MDPI, Basel, Switzerland. This article is an open access article distributed under the terms and conditions of the Creative Commons Attribution (CC BY) license (https://creativecommons.org/licenses/by/4.0/).
Share and Cite
Wei, W.; Xiao, L.; Zhang, X.; Jin, L.; Wang, D.; Long, X.; Yang, Q.; Li, J.; Zhou, Y. Spatial–Temporal Analysis of Coupling Coordination Between New Urbanization and Ecological Environment in Ya’an, China. Land 2025, 14, 65. https://doi.org/10.3390/land14010065
Wei W, Xiao L, Zhang X, Jin L, Wang D, Long X, Yang Q, Li J, Zhou Y. Spatial–Temporal Analysis of Coupling Coordination Between New Urbanization and Ecological Environment in Ya’an, China. Land. 2025; 14(1):65. https://doi.org/10.3390/land14010065
Chicago/Turabian StyleWei, Wei, Lei Xiao, Xiao Zhang, Luyao Jin, Di Wang, Xin Long, Qiaoqiao Yang, Jinxiang Li, and Ying Zhou. 2025. "Spatial–Temporal Analysis of Coupling Coordination Between New Urbanization and Ecological Environment in Ya’an, China" Land 14, no. 1: 65. https://doi.org/10.3390/land14010065
APA StyleWei, W., Xiao, L., Zhang, X., Jin, L., Wang, D., Long, X., Yang, Q., Li, J., & Zhou, Y. (2025). Spatial–Temporal Analysis of Coupling Coordination Between New Urbanization and Ecological Environment in Ya’an, China. Land, 14(1), 65. https://doi.org/10.3390/land14010065

