The Average Direct, Indirect and Total Effects of Environmental Concern on Pro-Environmental Behavior
Abstract
1. Introduction
2. Method
2.1. Background
Designing Observational Study as Experimental
2.2. Data Section
2.3. Technical Point and Description of the Method
2.4. Sensitivity Analysis
3. Results




Sensitivity Analysis








4. Discussion
Author Contributions
Funding
Data Availability Statement
Conflicts of Interest
Appendix A
| Item Definitions | Categories | |||||||||
|---|---|---|---|---|---|---|---|---|---|---|
| I1 Affective dimension (worry) (treatment): Are you concerned about the environmental situation? * | nk/na | nothing | little | much | ||||||
| Freq. | % | Freq. | % | Freq. | % | Freq. | % | |||
| 327 | 1.33 | 836 | 3.40 | 4384 | 17.84 | 19,024 | 77.42 | |||
| Conative dimension (M) (mediator) (tolerance, attitudes and intentions): the sum of 2 to 9 | ||||||||||
| Would you be in favor of the following environmental protection measures? | nk/na | yes | no | |||||||
| Freq. | % | Freq. | % | Freq. | % | |||||
| I2 | Mandatory, subject to a fine, the separation of household waste | 3 | 0.01 | 12,719 | 51.76 | 11,849 | 48.22 | |||
| I3 | Regulate or restrict the abusive water consumption of each dwelling | 2 | 0.01 | 19,532 | 79.49 | 5037 | 20.50 | |||
| I4 | Establishing an environmental tax on the most polluting fuels | 1 | 0.00 | 15,611 | 63.53 | 8959 | 36.46 | |||
| I5 | Restrictive measures on the use of private transport | 2 | 0.01 | 11,363 | 46.25 | 13,206 | 53.75 | |||
| I6 | Introduce an eco-tax on tourism | 3 | 0.01 | 8055 | 32.78 | 16,513 | 67.21 | |||
| I7 | Installation of a renewable energy park (wind, solar) in your municipality despite the effect on the landscape | - | - | 17,576 | 71.53 | 6995 | 28.47 | |||
| I8 | Pay more for the use of alternative energies | 3 | 0.01 | 5587 | 22.74 | 18,981 | 77.25 | |||
| I9 | Reduce noise on main roads (anti-noise panels, sound-reducing paving) | 1 | 0.00 | 20,930 | 85.18 | 3640 | 14.81 | |||
| Cognitive dimension (Co) (confounder): the sum of 10 and 11 | ||||||||||
| I10 Environmental campaign: In the last year, have you been aware of any awareness-raising campaigns concerning environmental protection (water, energy, recycling, etc.)? | nk/na | yes | no | |||||||
| Freq. | % | Freq. | % | Freq. | % | |||||
| 704 | 2.87 | 14,762 | 60.08 | 9105 | 37.06 | |||||
| I11 Environmental problem detection: During 2007, have you detected any environmental problems in your environment? | nk/na | yes | no | |||||||
| Freq. | % | Freq. | % | Freq. | % | |||||
| - | - | 6436 | 26.19 | 18,135 | 73.81 | |||||
| Active dimension or pro-environmental behavior (Y) (PEB, outcome): the sum of 12 to 17 | ||||||||||
| Do you use any of the following products? | Never % | Sometimes % | Somewhat often % | Whenever possible % | nk/na % | |||||
| I12 Recycled paper? | 66.22 | 18.67 | 7.85 | 5.02 | 2.24 | |||||
| I13 Returnable packaging? | 72.02 | 14.34 | 7.45 | 4.59 | 1.60 | |||||
| I14 Rechargeable batteries? | 49.20 | 20.93 | 16.83 | 11.62 | 1.42 | |||||
| Rate the importance they attach to the following elements when buying a new product (household appliance, food product, cleaning product, etc.): | No importance % | Little importance % | Quite importance % | Very importance % | ||||||
| I15 Energy consumption/efficiency | 6.74 | 15.31 | 48.15 | 29.80 | ||||||
| I16 Eco-label/eco-guarantee (organic food) | 18.96 | 29.98 | 35.70 | 15.35 | ||||||
| I17 Local product/proximity of products | 18.71 | 27.01 | 34.65 | 19.63 | ||||||
| Variables | Categories | Frequency | Cluster_1 | Cluster_2 | Cluster_3 | Cluster_4 |
|---|---|---|---|---|---|---|
| Are you concerned about the environmental situation? * | Much | 77.42 | 81.91 | 59.58 | 89.40 | 76.27 |
| Little | 17.84 | 16.39 | 29.43 | 8.66 | 19.24 | |
| nothing, nk/na | 4.73 | 1.70 | 10.99 | 1.94 | 4.48 | |
| Household income [net, monthly] | 1. Less than €1100 | 26.33 | 13.58 | 34.57 | 23.98 | 29.48 |
| 2. From €1101 to €1800 | 27.53 | 27.72 | 26.16 | 28.86 | 27.12 | |
| 3. From 1801 to 2700 €. | 15.55 | 19.86 | 13.23 | 16.50 | 13.95 | |
| 4. More than 2700 € | 9.52 | 12.86 | 6.56 | 11.28 | 8.15 | |
| 5. na/nk | 21.08 | 25.97 | 19.48 | 19.37 | 21.30 | |
| Household type | 1. One-person household | 18.30 | 12.86 | 23.00 | 15.65 | 20.40 |
| 2. Single couple | 23.54 | 19.86 | 23.19 | 23.87 | 25.55 | |
| 3. Parent-child household | 47.11 | 57.15 | 41.44 | 49.64 | 43.29 | |
| 4. Household with others | 11.05 | 10.13 | 12.37 | 10.84 | 10.77 | |
| Education * | 1. University studies | 15.21 | 21.97 | 11.17 | 18.19 | 12.53 |
| 2. Baccalaureate and vocational education | 26.87 | 36.34 | 22.81 | 28.73 | 22.93 | |
| 3. Illiterate up to 1st stage secondary education | 57.62 | 41.69 | 66.02 | 53.08 | 64.54 | |
| Municipality size (number of inhabitants) | 1. Provincial capitals and municipalities > 100,000 | 38.65 | 43.61 | 36.74 | 40.61 | 35.35 |
| 2. From 50,001 to 100,000 | 8.30 | 9.14 | 8.44 | 8.35 | 7.67 | |
| 3. 20,001 to 50,000 | 15.56 | 16.85 | 15.09 | 15.46 | 15.32 | |
| 4. 10,000 to 20,000 | 12.33 | 11.50 | 12.74 | 12.14 | 12.67 | |
| 5. Less than 10,000 | 25.15 | 18.89 | 26.99 | 23.44 | 28.99 | |
| N | 26,689 | 4462 | 6170 | 8119 | 7938 | |
| Stats. | Affective | Conative | Cognitive | PEB | Income | Household Type | Education | Age | Municipality Size |
|---|---|---|---|---|---|---|---|---|---|
| mean | 2 | 3.81 | 0.60 | 17.83 | 1.89 | 3.08 | 2.57 | 60.12 | 2.94 |
| T = 1 | - | 2.89 | 0.34 | 15.74 | 1.60 | 3.07 | 2.76 | 66.54 | 3.15 |
| T = 2 | - | 3.69 | 0.50 | 17.70 | 1.94 | 3.06 | 2.58 | 58.71 | 2.94 |
| T = 3 | - | 4.85 | 0.97 | 20.06 | 2.10 | 3.10 | 2.38 | 55.12 | 2.74 |
| sd | 0.81 | 2.26 | 0.69 | 5.77 | 0.96 | 2.08 | 0.67 | 17.95 | 1.67 |
| T = 1 | - | 2.30 | 0.55 | 6.03 | 0.90 | 2.31 | 0.53 | 17.58 | 1.72 |
| T = 2 | - | 2.12 | 0.65 | 5.49 | 0.95 | 2.03 | 0.66 | 17.79 | 1.64 |
| T = 3 | - | 1.91 | 0.71 | 4.89 | 0.97 | 1.88 | 0.75 | 16.55 | 1.64 |
| p50 | 2 | 4 | 0 | 18 | 2 | 3 | 3 | 61 | 3 |
| T = 1 | - | 3 | 0 | 16 | 1 | 2 | 3 | 72 | 3 |
| T = 2 | - | 4 | 0 | 18 | 2 | 3 | 3 | 58 | 3 |
| T = 3 | - | 5 | 1 | 20 | 2 | 3 | 3 | 54 | 3 |
| p25 | 1 | 2 | 0 | 14 | 1 | 1 | 2 | 45 | 1 |
| T = 1 | - | 1 | 0 | 11 | 1 | 1 | 3 | 53 | 1 |
| T = 2 | - | 2 | 0 | 13 | 1 | 2 | 2 | 44 | 1 |
| T = 3 | - | 4 | 0 | 17 | 1 | 2 | 2 | 42 | 1 |
| p75 | 3 | 5 | 1 | 22 | 3 | 4 | 3 | 75 | 5 |
| T = 1 | - | 5 | 1 | 20 | 2 | 4 | 3 | 80 | 5 |
| T = 2 | - | 5 | 1 | 22 | 3 | 4 | 3 | 75 | 5 |
| T = 3 | - | 6 | 1 | 23 | 3 | 4 | 3 | 69 | 4 |
| min | 1 | 0 | 0 | 3 | 1 | 1 | 1 | 19 | 1 |
| max | 3 | 8 | 2 | 38 | 4 | 8 | 3 | 98 | 5 |
| N | 3300 obs., [1100 per level of environmental concern (T)] | ||||||||
| Variables | Gaussian Identity (OLS) | Gaussian Identity (OLS) | Ordered_logit | |||
|---|---|---|---|---|---|---|
| Ec. (1) | Ec. (2) | Ec. (3) | ||||
| PEB (Y) | (95% Conf. Interval) | Cn (M) | (95% Conf. Interval) | Affective (T) | ( 95% Conf. Interval) | |
| Conative dim. (Cn) | 0.54 *** | [0.45; 0.64] | ||||
| (11.22) | ||||||
| Affective dim. | 1.11 *** | [0.82; 1.39] | 0.88 *** | [0.78; 0.97] | ||
| (7.60) | (18.11) | |||||
| Cognitive dim. (Co) | 0.64 *** | [0.32; 0.97] | 0.31 *** | [0.20; 0.42] | 1.06 *** | [0.96; 1.16] |
| (3.90) | (5.75) | (20.63) | ||||
| Income | 0.78 *** | [0.53; 1.02] | ||||
| (6.18) | ||||||
| Household_type | 0.03 | [−0.07; 0.13] | ||||
| (0.57) | ||||||
| Education | −0.60 *** | [−0.93; −0.27] | ||||
| (−3.59) | ||||||
| Age | −0.003 | [−0.01; 0.009] | ||||
| (−0.53) | ||||||
| Municipality size | −0.031 | [−0.15; −0.091] | ||||
| (−0.50) | ||||||
| _cons | 13.43 *** | [11.89; 14.97] | 1.85 *** | [1.65; 2.05] | ||
| (17.08) | (18.26) | |||||
| /cut1_ec.(3) | −0.16 *** | [−2.24; −0.07] | ||||
| (−3.70) | ||||||
| /cut2_ec.(3) | 1.39 *** | [1.30; 1.49] | ||||
| (28.29) | ||||||
| var(e.peb)_ec.(1) | 27.37 *** | [26.01; 29.02] | ||||
| (35.80) | ||||||
| var(e.cn)_ec(2) | 4.45 *** | [4.28; 4.63] | ||||
| (49.24) | ||||||
| N | 2638 | 3300 | 3300 | |||
| 1 | Available online: https://www.bhub.org/#?domain=environment (accessed on 20 March 2024). |
| 2 | Household and Environment Survey of the Spanish National Institute of Statistics. |
| 3 | Consistency and assumption of no interference between units. |
| 4 | Available online: https://www.ine.es/dyngs/INEbase/es/operacion.htm?c=Estadistica_C&cid=1254736176950&menu=resultados&idp=1254735976601 (accessed on 18 June 2018). |
| 5 | Number of Monte Carlo draws for nonparametric bootstrap or quasi-Bayesian approximation. |
References
- Bamberg, S. Changing environmentally harmful behaviors: A stage model of self-regulated behavioral change. J. Environ. Psychol. 2013, 34, 151–159. [Google Scholar] [CrossRef]
- Brieger, S.A. Social identity and environmental concern: The importance of contextual effects. Environ. Behav. 2019, 51, 828–855. [Google Scholar] [CrossRef]
- Casaló, L.V.; Escario, J.J.; Rodriguez-Sanchez, C. Analyzing differences between different types of pro-environmental behaviors: Do attitude intensity and type of knowledge matter? RCR Adv. 2019, 149, 56–64. [Google Scholar] [CrossRef]
- Dunlap, R.E.; Jones, R.E. Environmental concern: Conceptual and measurement issues. In Handbook of Environmental Sociology; Dunlap, R.E., Michelson, W., Eds.; Greenwood Press: Westport, CT, USA, 2002; pp. 482–542. [Google Scholar]
- Dunlap, R.E.; Van Liere, K.D.; Mertig, A.G.; Jones, R.E. Measuring Endorsement of the New Ecological Paradigm: A Revised NEP Scale. J. Soc. Issues 2000, 56, 425–442. [Google Scholar] [CrossRef]
- Gkargkavouzi, A.; Halkos, G.; Matsiori, S. How do motives and knowledge relate to intention to perform environmental behavior? Assessing the mediating role of constraints. Ecol. Econ. 2019, 165, 106394. [Google Scholar] [CrossRef]
- Malik, C.; Singhal, N. Consumer environmental attitude and willingness to purchase environmentally friendly products: An SEM approach. Vision 2017, 21, 152–161. [Google Scholar] [CrossRef]
- Su, K.; Ren, J.; Cui, C.; Hou, Y.; Wen, Y. Do Value Orientations and Beliefs Play a Positive Role in Shaping Personal Norms for Urban Green Space Conservation? Land 2022, 11, 262. [Google Scholar] [CrossRef]
- Weber, E.U. Breaking cognitive barriers to a sustainable future. Nat. Hum. Behav. 2017, 1, 0013. [Google Scholar] [CrossRef]
- Tapia-Fonllem, C.; Corral Verdugo, V.; Fraijo-Sing, B.; Durón-Ramos, M.F. Assessing sustainable behavior and its correlates: A measure of pro-ecological, frugal, altruistic and equitable actions. Sustainability 2013, 5, 711–723. [Google Scholar] [CrossRef]
- Eagly, A.H.; Chaiken, S. The Psychology of Attitudes; Harcourt Brace Jovanovich College Publishers: San Diego, CA, USA, 1993. [Google Scholar]
- Zhang, Y.; Zhao, Y.; Zhang, H.; Zheng, S.; Yao, Y. The Impact of Different Value Types on Environmentally Responsible Behavior: An Empirical Study from Residents of National Park Communities in China. Land 2024, 13, 81. [Google Scholar] [CrossRef]
- Giancola, M.; Palmiero, M.; D’Amico, S. The green adolescent: The joint contribution of personality and divergent thinking in shaping pro-environmental behaviours. J. Clean. Prod. 2023, 417, 138083. [Google Scholar] [CrossRef]
- Gray, D. Ecological Beliefs and Behaviors; Greenwood Press: Westport, CT, USA, 1985. [Google Scholar]
- Kals, E.; Schumacher, D.; Montada, L. Emotional affinity toward nature as a motivational basis to protect nature. Environ. Behav. 1999, 31, 178–202. [Google Scholar] [CrossRef]
- Levine, D.S.; Strube, M.J. Environmental attitudes, knowledge, intentions and behaviors among college students. J. Soc. Psychol. 2012, 152, 308–326. [Google Scholar] [CrossRef]
- Akintunde, E.A. Theories and concepts for human behavior in environmental preservation. J. Environ. Sci. Public Health 2017, 1, 120–133. [Google Scholar] [CrossRef]
- Li, D.; Zhao, L.; Ma, S.; Shao, S.; Zhang, L. What influences an individual’s pro-environmental behavior? A literature review. RCR Adv. 2019, 146, 28–34. [Google Scholar] [CrossRef]
- Casaló, L.V.; Escario, J.J. Heterogeneity in the association between environmental attitudes and pro-environmental behavior: A multilevel regression approach. J. Clean. Prod. 2018, 175, 155–163. [Google Scholar] [CrossRef]
- Grebitus, C.; Van Loo, E. Relationship between cognitive and affective processes, and willingness to pay for pesticide-free and GMO-free labeling. Agric. Econ. 2021, 53, 407–421. [Google Scholar] [CrossRef]
- Guagnano, G.A.; Stern, P.C.; Dietz, T. Influences on attitude-behavior relationships: A natural experiment with curbside recycling. Environ. Behav. 1995, 27, 699–718. [Google Scholar] [CrossRef]
- Halkos, G.; Matsiori, S. Environmental attitude, motivations and values for marine biodiversity protection. J. Behav. Exp. Econ. 2017, 69, 61–70. [Google Scholar] [CrossRef]
- Okumah, M.; Martin-Ortega, J.; Novo, P.; Chapman, P.J. Revisiting the Determinants of Pro-Environmental Behaviour to Inform Land Management Policy: A Meta-Analytic Structural Equation Model Application. Land 2020, 9, 135. [Google Scholar] [CrossRef]
- Paço, A.; Lavrador, T. Environmental knowledge and attitudes and behaviors towards energy consumption. J. Environ. Manag. 2017, 197, 384–392. [Google Scholar] [CrossRef] [PubMed]
- Sheeran, P.; Abraham, C. The health belief model. In Predicting Health Behaviour: Research and Practice with Social Cognition Models; Conner, M., Norman, P., Eds.; Open University Press: London, UK, 1996; pp. 23–61. [Google Scholar]
- Nielsen, K.S. From prediction to process: A self-regulation account of environmental behavior change. J. Environ. Psychol. 2017, 51, 189–198. [Google Scholar] [CrossRef]
- Langenbach, B.P.; Berger, S.; Baumgartner, T.S.; Knoch, D. Cognitive Resources Moderate the Relationship between Pro-Environmental Attitudes and Green Behavior. Environ. Behav. 2020, 52, 979–995. [Google Scholar] [CrossRef]
- Baron, R.M.; Kenny, D.A. The moderator–mediator variable distinction in social psychological research: Conceptual, strategic, and statistical considerations. J. Pers. Soc. Psychol. 1986, 51, 1173–1182. [Google Scholar] [CrossRef] [PubMed]
- Brader, T.; Valentino, N.A.; Suhat, E. What Triggers Public Opposition to Immigration? Anxiety, Group Cues, and Immigration. Am. J. Political Sci. 2008, 52, 959–978. [Google Scholar] [CrossRef]
- Bofah, E.A.; Hannula, M.S. Perceived Social Support Network and achievement: Mediation by Motivational Beliefs and Moderation by Gender. In Affect and Mathematics Education; Hannula, M., Leder, G., Morselli, F., Vollstedt, M., Zhang, Q., Eds.; ICME-13 Monographs; Springer: Cham, Switzerland, 2019; pp. 107–136. [Google Scholar] [CrossRef]
- Imai, K.; Keele, L.; Tingley, D.; Yamamoto, T. Unpacking the Black Box: Learning about Causal Mechanisms from Experimental and Observational Studies. Am. Political Sci. Rev. 2011, 105, 765–789. [Google Scholar] [CrossRef]
- Lange, F. Behavioral paradigms for studying pro-environmental behavior: A systematic review. Behav. Res. Methods 2023, 55, 600–622. [Google Scholar] [CrossRef] [PubMed]
- Robins, J.M. Semantics of causal DAG models and the identification of direct and indirect effects. In Highly Structured Stochastic Systems; Green, P.J., Hjort, N.L., Richardson, S., Eds.; Oxford Univ. Press: Oxford, UK, 2003; pp. 70–82. [Google Scholar]
- Robins, J.M.; Greenland, S. Identifiability and exchangeability for direct and indirect effects. Epidemiology 1992, 3, 143–155. [Google Scholar] [CrossRef] [PubMed]
- VanderWeele, T.J. Concerning the consistency assumption in causal inference. Epidemiology 2009, 20, 880–883. [Google Scholar] [CrossRef]
- Hernán, M.A.; Robins, J.M. Causal Inference: What If; Chapman & Hall/CRC: Boca Raton, FL, USA, 2020; Available online: https://www.hsph.harvard.edu/miguel-hernan/causal-inference-book (accessed on 1 February 2021).
- Imai, K.; Keele, L.; Tingley, D. A General Approach to Causal Mediation Analysis. Psychol. Methods 2010, 15, 309–334. [Google Scholar] [CrossRef]
- MacKinnon, D.P. Introduction to Statistical Mediation Analysis; Taylor & Francis: New York, NY, USA, 2008; p. 488. [Google Scholar]
- Imai, K.; Keele, T.; Yamamoto, T. Identification, Inference, and Sensitivity Analysis for Causal Mediation Effects. Stat. Sci. 2010, 25, 51–71. [Google Scholar] [CrossRef]
- Hernán, M.A. Causal analyses of existing databases: No power calculations required. J. Clin. Epidemiol. 2022, 144, 203–205. [Google Scholar] [CrossRef] [PubMed]
- Listl, S.; Jürges, H.; Watt, R.G. Causal inference from observational data. Community Dent. Oral Epidemiol. 2016, 44, 409–415. [Google Scholar] [CrossRef] [PubMed]
- Rubin, D. The design versus the analysis of observational studies for causal effects: Parallels with the design of randomized trials. Stat. Med. 2006, 26, 20–36. [Google Scholar] [CrossRef] [PubMed]
- Everitt, B.S.; Dunn, G. Applied Multivariate Data Analysis, 2nd ed.; Arnold: London, UK, 2001; p. 342. [Google Scholar] [CrossRef]
- Greenacre, M.J. Correspondence Analysis in Practice; Academic Press: London, UK, 1993. [Google Scholar]
- Hayes, A. Introduction to Mediation, Moderation, and Conditional Process Analysis: A Regression-Based Approach; The Guilford Press: New York, NY, USA, 2013; pp. 3–4. [Google Scholar]
- Pearl, J. The causal foundations of structural equation modeling. In Handbook of Structural Equation Modelling; Hoyle, R.H., Ed.; The Guildford Press: New York, NY, USA, 2012; pp. 68–91. [Google Scholar]
- Liu, P.; Teng, M.; Han, C. How does environmental knowledge translate into pro-environmental behaviors?: The mediating role of environmental attitudes and behavioral intentions. Sci. Total Environ. 2020, 728, 138126. [Google Scholar] [CrossRef] [PubMed]
- Rauwald, K.S.; Moore, C.F. Environmental attitudes as predictors of policy support across three countries. Environ. Behav. 2002, 34, 709–739. [Google Scholar] [CrossRef]
- VanderWeele, T.J. A unification of mediation and interaction. A 4-way decomposition. Epidemiology 2014, 25, 749–761. [Google Scholar] [CrossRef] [PubMed]
- VanderWeele, T.J. Explanation in Causal Inference: Methods for Mediation and Interaction; Oxford University Press: New York, NY, USA, 2015. [Google Scholar]
- Pearl, J. Direct and indirect effects. In Proceedings of the Seventeenth Conference on Uncertainty in Artificial Intelligence; Breese, J.S., Koller, D., Eds.; Morgan Kaufman: San Francisco, CA, USA, 2001; pp. 411–420. [Google Scholar]
- Imai, K.; Yamamoto, T. Identification and Sensitivity Analysis for Multiple Causal Mechanisms: Revisiting Evidence from Framing Experiments. Polit. Anal. 2013, 21, 141–171. [Google Scholar] [CrossRef]
- R Core Team. R: A Language and Environment for Statistical Computing; R Foundation for Statistical Computing: Vienna, Austria, 2014; Available online: https://www.R-project.org (accessed on 15 June 2021).
- Tingley, D.; Yamamoto, T.; Hirose, K.; Keele, L.; Imai, K. Mediation: R Package for Causal Mediation Analysis. J. Stat. Softw. 2014, 59, 1–38. [Google Scholar] [CrossRef]


| Pro-Environmental Behavior | Environmental Concern as the Treatment or Exposure Variable | |||||
|---|---|---|---|---|---|---|
| Nothing | Little | Much | ||||
| Mean | std. dev. | Mean | std. dev. | Mean | std. dev. | |
| PEB [min = 3; max = 38] | 15.74 | 6.03 | 17.70 | 5.49 | 20.06 | 4.89 |
| N (3300 obs.) | 1100 | 1100 | 1100 | |||
| χ2 Pearson’s test = 486.75; Pr. = 0.000; correlate = 0.30 * | ||||||
| Variables | Statistics | Conative Dimension [Mediator (M)] | Cognitive Dimension [Confounder (C0)] |
|---|---|---|---|
| Affective dimension (T) | χ2 Pearson’s test 1 | 474.71 (pr. = 0.000) | 495.58 (pr. = 0.000) |
| Correlate | 0.35 * | 0.36 * | |
| PEB (Y) (outcome) (active dimension) | χ2 Pearson’s test 1 | 760.42 (pr. = 0.000) | 290 (pr. = 0.000) |
| Correlate | 0.29 * | 0.24 * | |
| Conative dimension (M) | χ2 Pearson’s test 1 | - | 219,22 (pr. = 0.000) |
| Correlate | - | 0.21 * |
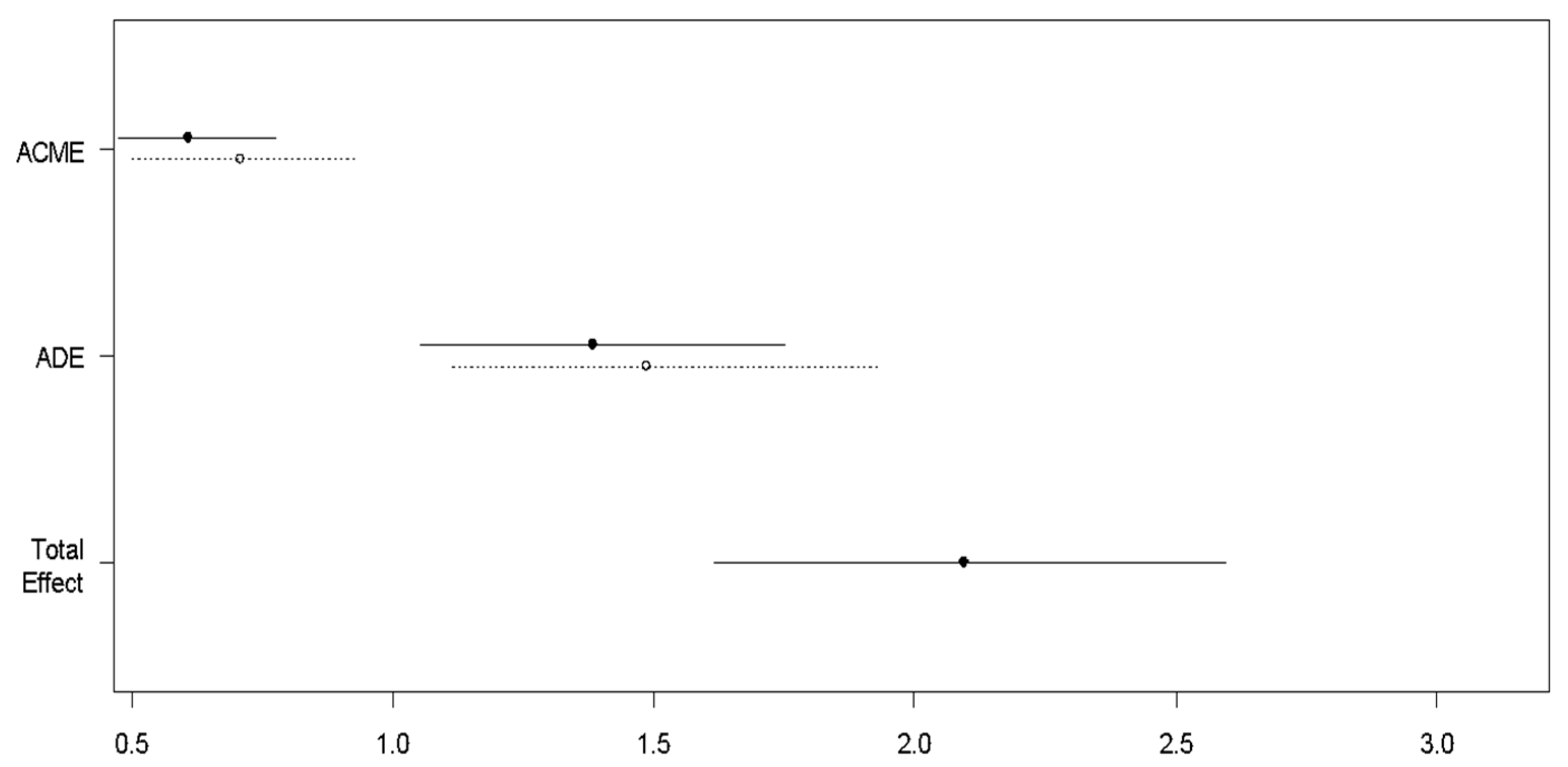
| Causal Effects under Different Hypothesis | DAG_1 | DAG_2 | ||||
|---|---|---|---|---|---|---|
| no Confounder (no Cognitive), no Covariates | with Confounder (Cognitive), no Covariates | |||||
| Estimate (1) | 95% CI (2) | p-Value (3) | Estimate (4) | 95% CI (5) | p-Value (6) | |
| A. Estimations under the hypothesis of simple treatment and control conditions, i. e., the lowest level of affection (1) vs. the other two conditions (average) | ||||||
| ACME | 0.54 | [0.47–0.63] | <2 × 10−16 *** | 0.44 | [0.34–0.52] | <2 × 10−16 *** |
| ADE | 1.60 | [1.34–1.81] | <2 × 10−16 *** | 1.31 | [1.05–1.52] | <2 × 10−16 *** |
| TE | 2.14 | [1.90–2.43] | <2 × 10−16 *** | 1.75 | [1.52–1.96] | <2 × 10−16 *** |
| PM | 0.25 | [0.21–0.31] | <2 × 10−16 *** | 0.25 | [0.19–0.30] | <2 × 10−16 *** |
| B. Estimations under the hypothesis of the lowest value of the treatment as control (=1 = the lowest level of concern) compares to the highest level of the exposure (treatment = 3 = level of concern) | ||||||
| ACME | 1.07 | [0.89–1.31] | <2 × 10−16 *** | 0.88 | [0.71–1.10] | <2 × 10−16 *** |
| ADE | 3.26 | [2.79–3.72] | <2 × 10−16 *** | 2.65 | [2.21–3.20] | <2 × 10−16 *** |
| TE | 4.33 | [3.89–4.82] | <2 × 10−16 *** | 3.54 | [3.10–4.05] | <2 × 10−16 *** |
| PM | 0.24 | [0.20–0.31] | <2 × 10−16 *** | 0.25 | [0.18–0.31] | <2 × 10−16 *** |
| C. Estimations under the hypothesis of the intermediate value of the treatment as control (=2 = intermediate level of concern) compares to the highest level of the exposure (treatment = 3 = level of concern) | ||||||
| ACME | 0.53 | [0.43–0.64] | <2 × 10−16 *** | 0.45 | [0.37–0.56] | <2 × 10−16 *** |
| ADE | 1.61 | [1.33–1.84] | <2 × 10−16 *** | 1.33 | [1.12–1.58] | <2 × 10−16 *** |
| TE | 2.14 | [1.91–2.38] | <2 × 10−16 *** | 1.78 | [1.57–2.02] | <2 × 10−16 *** |
| PM | 0.24 | [0.20–0.30] | <2 × 10−16 *** | 0.25 | [0.20–0.32] | <2 × 10−16 *** |
| Sample | 3300 obs. | |||||
| Adjusted for covariates: income, household type, education, age, and size of the municipality: | ||||||
| D. Estimations under the hypothesis of the lowest value of the treatment as control (=1 = the lowest level of concern) compares to the highest level of the exposure (treatment = 3 = level of concern) | ||||||
| ACME | 1.04 | [0.82–1.29] | <2 × 10−16 *** | 0.96 | [0.76–1.15] | <2 × 10−16 *** |
| ADE | 2.60 | [2.14–3.10] | <2 × 10−16 *** | 2.24 | [1.63–2.78] | <2 × 10−16 *** |
| TE | 3.64 | [3.16–4.16] | <2 × 10−16 *** | 3.21 | [2.63–3.76] | <2 × 10−16 *** |
| PM | 0.28 | [0.22–0.36] | <2 × 10−16 *** | 0.29 | [0.23–0.39] | <2 × 10−16 *** |
| E. Estimations under the hypothesis of the intermediate value of the treatment as control (=2 = intermediate level of concern) compares to the highest level of the exposure (treatment = 3 = level of concern) | ||||||
| ACME | 0.52 | [0.42–0.63] | <2 × 10−16 *** | 0.47 | [0.37–0.58] | <2 × 10−16 *** |
| ADE | 1.29 | [1.00–1.59] | <2 × 10−16 *** | 1.10 | [0.79–1.40] | <2 × 10−16 *** |
| TE | 1.81 | [1.57–2.13] | <2 × 10−16 *** | 1.57 | [1.26–1.92] | <2 × 10−16 *** |
| PM | 0.28 | [0.23–0.38] | <2 × 10−16 *** | 0.30 | [0.24–0.37] | <2 × 10−16 *** |
| Sample | 3300 | |||||
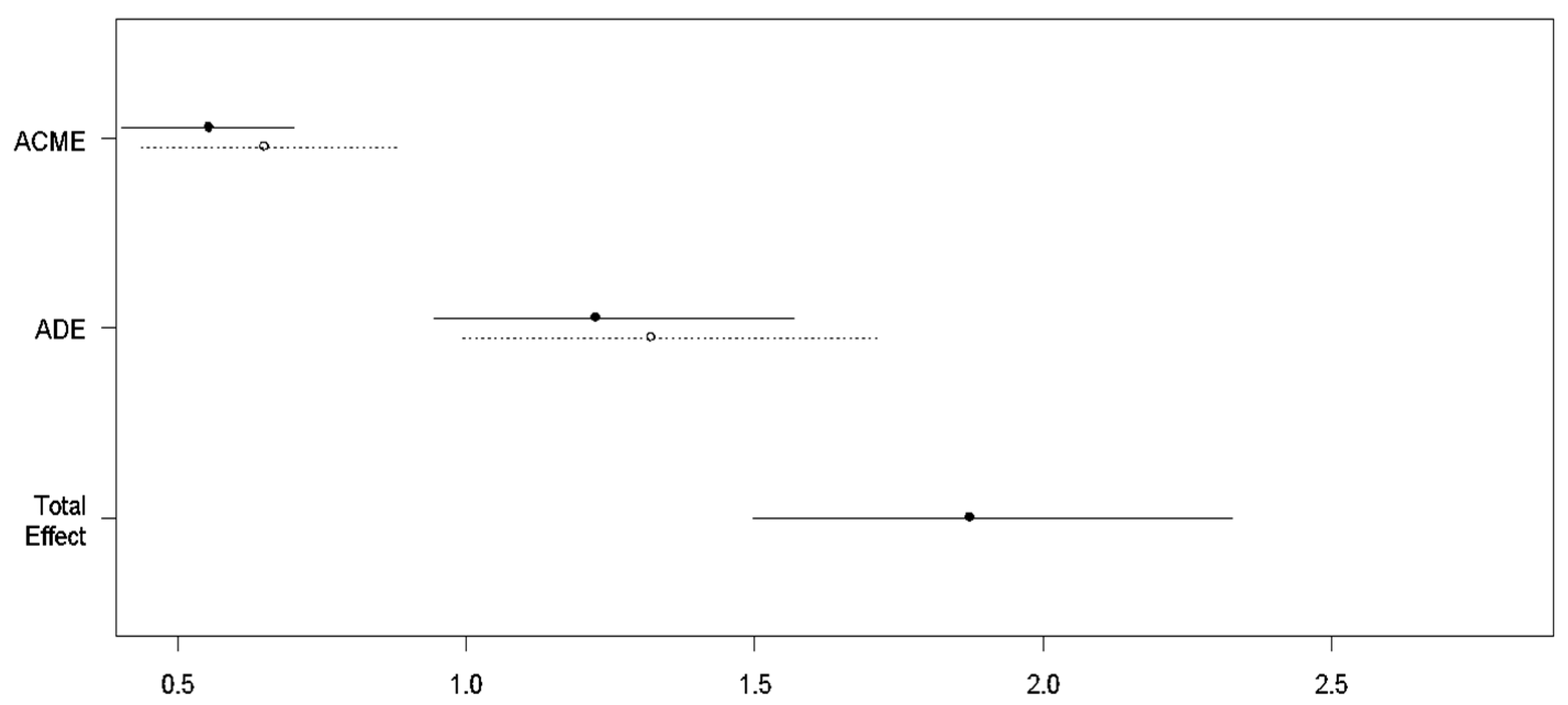
| Causal Effects | DAG_1 | DAG_2 | ||||
|---|---|---|---|---|---|---|
| Estimate (1) | 95% CI (2) | p-Value (3) | Estimate (4) | 95% CI (5) | p-Value (6) | |
| ACME [control] | 0.71 | [0.48–0.93] | <2 × 10−16 *** | 0.65 | [0.42–0.88] | <2 × 10−16 *** |
| ACME [treated] | 0.60 | [0.47–0.78] | <2 × 10−16 *** | 0.55 | [0.40–0.70] | <2 × 10−16 *** |
| ADE [control] | 1.48 | [1.10–1.94] | <2 × 10−16 *** | 1.32 | [0.98–1.72] | <2 × 10−16 *** |
| ADE [treated] | 1.38 | [1.05–1.75] | <2 × 10−16 *** | 1.22 | [0.94–1.57] | <2 × 10−16 *** |
| TE | 2.09 | [1.61–2.59] | <2 × 10−16 *** | 1.87 | [1.49–2.33] | <2 × 10−16 *** |
| PM [control] | 0.34 | [0.26–0.42] | <2 × 10−16 *** | 0.35 | [0.24–0.42] | <2 × 10−16 *** |
| PM [treated] | 0.29 | [0.23–0.36] | <2 × 10−16 *** | 0.29 | [0.23–0.36] | <2 × 10−16 *** |
| ACME [average] | 0.66 | [0.48–0.86] | <2 × 10−16 *** | 0.60 | [0.41–0.79] | <2 × 10−16 *** |
| ADE [average] | 1.43 | [1.08–1.85] | <2 × 10−16 *** | 1.27 | [0.96–1.65] | <2 × 10−16 *** |
| PM [average] | 0.31 | [0.25–0.39] | <2 × 10−16 *** | 0.32 | [0.24–0.38] | <2 × 10−16 *** |
| TMint-test for the null hypothesis, [(ACME (3)) − (ACME (1)) = 0]; N = 2629 Obs. | ||||||
| (ACME (3)) − (ACME (1)) = −0.10, p-value = 0.1; alternative hypothesis: true ACME (3) − ACME (1) is not equal to 95 percent confidence interval: [−0.20; 0.018] | (ACME (3)) − (ACME (1)) = −0.09, p-value = 0.04; alternative hypothesis: true ACME (3) − ACME (1) is not equal to 95 percent confidence interval: [−0.18; −0.003] | |||||
| Covariates/ Moderators | DAG_1 | DAG_2 | ||||||||
|---|---|---|---|---|---|---|---|---|---|---|
| Average Effects for the Average Treatment (Worry) Level | Adjusting for Treatment (Worry) to the Highest Level (t = 3) | Modmed-Test on Average(5) | Average Effects for the Average Treatment (Worry) Level | Adjusting for Treatment (Worry) to the Highest Level (t = 3) | Modmed-Test on Average (10) | |||||
| ACME (1) | ADE (2) | ACME (3) | ADE (4) | Diff1 Diff2 | ACME (6) | ADE (7) | ACME (8) | ADE (9) | Diff1 Diff2 | |
| Income (mean) | 0.51 *** | 1.24 *** | 1.56 *** | 3.72 *** | Income: 0.60; [0.10] CI [0.95] = [−0.65; 0.81] ; [2.2 × 10−16] CI [0.95] = [−1.08; 3.13] | 0.46 *** | 1.10 *** | 1.40 *** | 3.27 *** | Income: 0.14; [0.24] CI [0.95] = [−0.10; 0.39] 0.99; [0.02] CI [0.95] = [−0.10; 0.39] |
| 1. Income_Low | 0.56 *** | 1.53 *** | 1.73 *** | 4.56 *** | 0.51 *** | 1.40 *** | 1.53 *** | 4.17 *** | ||
| 4. Income_High | 0.39 *** | 0.60 | 1.13 *** | 1.71 | 0.34 *** | 0.38 | 1.06 *** | 1.14 *** | ||
| Age (average) | 0.54 *** | 1.23 *** | 1.62 *** | 3.78 *** | Age: −0.07: [0.44] CI [0.95] = [−0.25; 0.13] 0.28; [0.30] CI [0.95] = [−0.14; 0.71] | 0.48 *** | 1.10 *** | 1.48 *** | 3.27 *** | Age: −0.06; [0.42] CI [0.95] = [−0.30; 0.14] ; [0.26] CI [0.95] = [−0.17; 0.75] |
| Age<55 | 0.54 *** | 1.14 *** | 1.58 *** | 3.58 *** | 0.47 *** | 0.93 *** | 1.43 *** | 2.96 *** | ||
| Age>55 | 0.45 *** | 1.42 *** | 1.37 *** | 4.32 *** | 0.41 *** | 1.21 | 1.20 *** | 3.71 *** | ||
| Householdt (mean) | 0.51 *** | 1.28 *** | 1.57 *** | 3.75 *** | Household type: 0.021; [0.72] CI [0.95] = [−0.13; 0.15] 0.22; [0.32] CI [0.95] = [−0.15; 0.65] | 0.47 *** | 1.11 *** | 1.43 *** | 3.31 *** | Household type: 0.03; [0.66] CI [0.95] = [−0.13; 0.17] 0.259; [0.30] CI [0.95] = [−0.15; 0.73] |
| 1. Househt,one person | 0.54 *** | 1.55 *** | 1.64 *** | 4.68 *** | 0.48 *** | 1.40 *** | 1.47 *** | 4.37 *** | ||
| 2. Househt,couple | 0.52 *** | 1.31 *** | 1.57 *** | 3.94 *** | 0.48 *** | 1.17 *** | 1.45 *** | 3.56 *** | ||
| 3. Househt,parents, children | 0.50 *** | 1.10 *** | 1.51 *** | 3.36 *** | 0.44 *** | 0.92 *** | 1.36 *** | 2.78 *** | ||
| 4. Househt,other people | 0.49 *** | 0.92 *** | 1.44 *** | 2.70 *** | 0.43 *** | 0.66 * | 1.30 *** | 1.92 * | ||
| Education (mean) | 0.51 *** | 1.25 *** | 1.55 *** | 3.75 *** | Education: −0.11; [0.48] CI [0.95] = [−0.38; 0.16] −0.57; [0.16] CI [0.95] = [−1.21; 0.12] −0.19; [0.10] CI [0.95] = [−0.39; 0.03] −1.22; [2.2 × 10−16] CI [0.95]= [−1.83; −0.49] −0.10; [0.24] CI [0.95] = [−0.27; 0.03] [0.06] CI [0.95] = [−0.99; 0.05] | 0.46 *** | 0.11 *** | 1.41 *** | 3.31 *** | Education: −0.07; [0.56] CI [0.95] = [−0.29; 0.13] −0.63; [0.10] CI [0.95] = [−1.39; 0.18] −0.19; [0.12] CI [0.95] = [−0.44; 0.08] −1.26; [2.2 × 10−16] CI [0.95] = [−2.02; −0.60] −0.11; [0.14] CI [0.95] = [−0.26; 0.03] −0.57; [0.02] CI [0.95] = [−1.09; −0.06] |
| 1. Edu_university | 0.36 *** | 0.26 | 1.06 *** | 0.91 | 0.33 *** | 0.12 | 0.99 *** | 0.31 | ||
| 2. Edu_Bacc. + voc. | 1.35 *** | 2.71 *** | 1.35 *** | 2.71 *** | 0.40 *** | 0.73 *** | 1.25 *** | 2.26 *** | ||
| 3. Edu_Illit. + prim. | 0.55 *** | 1.49 *** | 1.68 *** | 4.50 *** | 0.51 *** | 1.35 *** | 1.52 *** | 4.00 *** | ||
| Municipal size (mean) | 1.56 *** | 3.80 *** | 1.56 *** | 3.83 *** | Municipality size: −0.049; [0.64] CI [0.95] = [−0.26; 0.17] 0.049; [0.86] CI [0.95] = [−0.47; 0.57] 0.001; [0.98] CI [0.95] = [−0.14; 0.13] 0.017; [0.92] CI [0.95] = [−0.43; 0.36] −0.02; [0.78] CI [0.95] = [−0.27; 0.18] ; [0.84] CI [0.95] = [−0.50; 0.49] | 0.48 *** | 1.10 *** | 1.43 *** | 3.29 *** | Municipality size: −0.03; [0.74] CI [0.95] = [−0.24; 0.16] 0.08; [0.80] CI [0.95] = [−0.53; 0.64] −0.02; [0.66] CI [0.95] = [−0.16; 0.12] 0.05; [0.84] CI [0.95] = [−0.33; 0.44] −0.03; [0.76] CI [0.95] = [−0.26; 0.15] 0.02; [0.99] CI [0.95] = [−0.55; 0.59] |
| 1. >100,000 | 0.48 *** | 1.29 *** | 1.48 *** | 3.97 *** | 0.44 *** | 1.13 *** | 1.33 *** | 3.44 *** | ||
| 2. [50,000–100,000] | 0.50 *** | 1.29 *** | 1.51 *** | 3.82 *** | 0.45 *** | 1.11 *** | 1.40 *** | 3.35 *** | ||
| 3. [20,000–50,000] | 0.52 *** | 1.26 *** | 1.54 *** | 3.80 *** | 0.46 *** | 1.11 *** | 1.41 *** | 3.36 *** | ||
| 4. [10,000–20,000] | 0.53 *** | 1.25 *** | 1.60 *** | 3.77 *** | 0.49 *** | 1.05 *** | 1.45 *** | 3.29 *** | ||
| 5. <10,000 | 0.55 *** | 1.22 *** | 1.63 *** | 3.70 *** | 0.51 *** | 1.05 *** | 1.51 *** | 3.19 *** | ||
| Sample | 2629 | |||||||||
Disclaimer/Publisher’s Note: The statements, opinions and data contained in all publications are solely those of the individual author(s) and contributor(s) and not of MDPI and/or the editor(s). MDPI and/or the editor(s) disclaim responsibility for any injury to people or property resulting from any ideas, methods, instructions or products referred to in the content. |
© 2024 by the authors. Licensee MDPI, Basel, Switzerland. This article is an open access article distributed under the terms and conditions of the Creative Commons Attribution (CC BY) license (https://creativecommons.org/licenses/by/4.0/).
Share and Cite
Hernández-Alemán, A.; Cruz-Pérez, N.; Santamarta, J.C. The Average Direct, Indirect and Total Effects of Environmental Concern on Pro-Environmental Behavior. Land 2024, 13, 1229. https://doi.org/10.3390/land13081229
Hernández-Alemán A, Cruz-Pérez N, Santamarta JC. The Average Direct, Indirect and Total Effects of Environmental Concern on Pro-Environmental Behavior. Land. 2024; 13(8):1229. https://doi.org/10.3390/land13081229
Chicago/Turabian StyleHernández-Alemán, Anastasia, Noelia Cruz-Pérez, and Juan C. Santamarta. 2024. "The Average Direct, Indirect and Total Effects of Environmental Concern on Pro-Environmental Behavior" Land 13, no. 8: 1229. https://doi.org/10.3390/land13081229
APA StyleHernández-Alemán, A., Cruz-Pérez, N., & Santamarta, J. C. (2024). The Average Direct, Indirect and Total Effects of Environmental Concern on Pro-Environmental Behavior. Land, 13(8), 1229. https://doi.org/10.3390/land13081229

