Next Article in Journal
Transitional and Post-Mining Land Uses: A Global Review of Regulatory Frameworks, Decision-Making Criteria, and Methods
Previous Article in Journal
Research on the Spatiotemporal Distribution Characteristics and Accessibility of Traditional Villages Based on Geographic Information Systems—A Case Study of Shandong Province, China
 
 
Font Type:
Arial Georgia Verdana
Font Size:
Aa Aa Aa
Line Spacing:
Column Width:
Background:
Article

Spatial Heterogeneity Analysis of the Multidimensional Characteristics of Urban Green Spaces in China—A Study Based on 285 Prefecture-Level Cities

1
School of Resource and Environmental Sciences, Wuhan University, Wuhan 430079, China
2
School of Geographical Sciences, Xinyang Normal University, Xinyang 464000, China
3
Key Laboratory of Digital Cartography and Land Information Application Engineering, Ministry of Natural Resources, Wuhan 430079, China
4
Key Laboratory for Synergistic Prevention of Water and Soil Environment Pollution, Xinyang Normal University, Xinyang 464000, China
*
Author to whom correspondence should be addressed.
Land 2024, 13(7), 1050; https://doi.org/10.3390/land13071050
Submission received: 19 June 2024 / Revised: 6 July 2024 / Accepted: 10 July 2024 / Published: 13 July 2024
(This article belongs to the Section Urban Contexts and Urban-Rural Interactions)

Abstract

Quantitative measurement of urban green spaces (UGSs) plays a fundamental role in enhancing their ecological functions and services. Current studies have not adequately analyzed the multifunctional characteristics and the diverse benefits of urban green spaces at the national scale. This study developed a multidimensional indicator system in terms of scale, pattern, and services to measure green spaces in 285 prefecture-level cities in China. The influences of different geographic zones and urban development on UGS characteristics were also investigated. The results showed that per capita area of urban green spaces were significantly different between the two sides of the “Botai Line”, and the UGS structure was mainly dominated by woodlands. Urban green spaces in the central and east had higher fragmentation, lower landscape diversity, and weaker connectivity. The spatial accessibility of green spaces exhibited a “low–high–medium” pattern from north to south in China, with central-eastern China experiencing the worst equity in green space supply. Overall, cities with higher integrated benefits of green spaces were mainly located in Northeast and North China. Type I large cities had higher ratings for UGS characteristics compared with the other types of cities. These findings can serve as solid guidance for cities seeking to build green space systems with highly integrated socio–ecological benefits.

1. Introduction

As global urbanization accelerates, cities confront significant challenges, with ecological degradation being a primary concern. The United Nations has issued a call for a “Decade of Ecosystem Restoration Initiatives”, dedicated to protecting and restoring global ecosystems, curbing ecosystem degradation, and achieving sustainable development goals for the benefit of both nature and humanity [1]. As a key element of urban planning in recent years, urban green spaces (UGSs) can provide tremendous social and ecological benefits, such as green public spaces that provide opportunities for physical activity [2], social interaction, and stress reduction [3,4], which have various positive effects on health [5]. It is reported that disadvantaged populations will benefit the most from urban greening improvements [6]. In addition, UGSs can reduce short-term climate pollutants [7] and improve urban air quality [8].
UGSs are important for climate and ecological change, as well as sustainable cities, public health, and nature conservation, according to the SDGs. SDG 11.7.1 also explicitly mentions the importance of providing safe and green public spaces for all by 2030, especially for vulnerable groups [9]. In this regard, China has been actively promoting the development of ecological civilization and paying attention to the planning of urban green space (UGS) in recent years. The Master Plan for the Major Projects for the Protection and Restoration of National Key Ecosystems (2021–2035) proposes the ongoing promotion of large-scale greening of the national territory [10]. It subsequently released guidelines on scientific greening in 2021, which are committed to making UGSs the main position for the construction of ecological civilization, an important part of ecological infrastructure, and the important support for the construction of a beautiful China [11].
Given the scarcity of UGSs, measuring and evaluating UGSs in multiple dimensions has become an important issue in urban planning. To improve the level of urban greening, China has formulated the following three basic indicators for UGS planning and construction: UGS per capita, urban green coverage, and UGS rate, which are based on the current situation and development of greening in each city. These focus primarily on the quantity and scale of green spaces while ignoring the quality and effectiveness of UGSs. Therefore, some researchers have studied the landscape pattern of UGSs from the perspective of spatial patterns, using patch density [12], the Shannon diversity index, the contagion index, the aggregation degree [13], connectivity, and other indicators. Some researchers have also proposed indicators such as the green visibility rate [14], plant diversity of green spaces [15], volume of three-dimensional green space [16], structural diversity index of UGSs [13], neighborhood green index [17], and so on.
A green space quality evaluation scale that includes elements such as UGS surroundings, facilities, safety, ornamental properties, potential uses, and birds and biodiversity has also been proposed for studying how to utilize UGSs better [18]. Furthermore, various scholars have investigated UGSs from the perspective of social service benefits to improve human–social–ecological interactions. Their studies focus on UGS accessibility [19], the equity of UGS supply [20,21], green space exposure [22], and UGS availability [23,24]. However, most studies on various aspects of UGSs only focus on a single indicator or dimension and usually analyze the single-dimension indicators at a small scale dominated by cities [3,25,26,27] or a large global scale [21,22,28]. There is a lack of comprehensive measurement and analysis of the multidimensional characteristics of UGSs at a national scale.
In addition, as an important part of the coordinated development of ecology and living space, a large number of scholars have studied the ecological benefits of UGSs, such as alleviating the urban heat island effect [29], promoting water and climate regulation [30], protecting biodiversity [31,32], and providing significant carbon storage [33]. Some researchers have also investigated the numerous benefits that UGSs can provide to people and society, such as serving as a venue for sports and recreation [2,34], facilitating resident interaction [3,35], and promoting people’s physical and mental health [4,5]. These studies have analyzed the ecological or social benefits of UGSs from a single perspective, and some scholars have also examined the benefits of UGSs to different stakeholders [36]. However, few studies have simultaneously assessed and analyzed the level of ecological, social, and integrated ecological–social benefits generated by UGSs. In this regard, we analyzed the integrated benefits of UGSs based on their multidimensional characteristics to provide theoretical support for cities to implement more comprehensive and high-quality UGS planning.
Overall, to address the lack of comprehensive measurement and analysis of large-scale UGSs, this study uses a number of prefecture-level cities in China to measure and analyze the multidimensional characteristics of UGSs and their integrated benefits. Specifically, the research objectives of this paper are three-fold. First, to analyze the multidimensional spatial characteristics of UGSs in China from the index system of quantity and scale, spatial patterns, and social services. Second, to analyze the differentiated impacts of various geographic regions and urban development levels on the multidimensional characteristics of UGSs. Third, to evaluate and analyze the integrated benefits of the multidimensional characteristics of UGSs in each city. The results of this study can provide theoretical support for regions in developing differentiated green space planning policies in urban development, thereby promoting the construction of an ecologically livable and sustainable city.

2. Materials and Methods

2.1. Study Area and Data

The geographical scope of this study includes 285 prefecture-level cities in China, each with a population of more than 300,000 in built-up areas, to ensure that basic UGS planning can be incorporated into the urban development process. The study area was divided into six subregions based on geographic administrative divisions as follows: Northeast, Central South, East China, North China, Northwest, and Southwest (Figure 1). These six regions were divided based on natural, historical, economic, and other conditions and were utilized to explore the heterogeneity in UGS distribution. Furthermore, to examine variations in green spaces across different stages of urban development, the 285 cities were categorized into five groups as follows: megacities, supercities, type I large cities, type II large cities, and small and medium-sized cities using the urban classification criteria (e.g., population size) outlined by China’s Ministry of Housing and Construction. These cities were also further categorized into two groups based on whether they are provincial capitals, aiming to comprehensively explore the differences and similarities in UGS planning across cities of varying sizes.
The dataset for this study includes land use/cover data, urban built-up area boundary range, and population data (Table 1), which were used to extract UGSs and calculate UGS indicators. To extract UGSs, we utilized the 2020 land use/cover data released by the Chinese Academy of Sciences (CAS). These data include the following six 1st level land use types: cropland, forest land, grassland, watershed, urban and rural construction land, and unused land. The mapping’s overall accuracy reaches 95.53%, with a Kappa coefficient of 0.937 [37]. According to the characteristics of urban land use in China and the land use classifications, cropland, woodland, and grassland within the built-up area were defined as UGSs. Because of the lack of data at the national scale, wetlands and restored abandoned land were excluded from this study. To delineate the urban built-up area, this study utilized the 2020 China urban built-up area dataset, which was extracted with reference to the United Nations standard. These data include impervious surfaces and related ancillary types (such as green space and water bodies) within the city. They can accurately capture the contour features of both large and small urban fringes, with an overall accuracy of 95.57% [38]. Additionally, population grid data were derived from WorldPOP2020 at a spatial resolution of 100 m [39], and Point of Interest (POI) data for Chinese settlements were downloaded from the Geographic Data Sharing Infrastructure of Peking University.

2.2. Methods

UGSs not only perform environmental and ecological protection functions but also provide social benefits for humans. Creating a high-quality UGS system is essential for the development of urban ecological civilization and sustainability. During the early stages of urbanization, compact urban expansion gradually occupied UGSs. Urban planning, which emphasizes economic development, has usually neglected the rational layout of urban green spaces. As a result, a series of issues have arisen, such as a reduction in the number and scale of green spaces, fragmentation of green spaces, and mismatch between green space supply and population distribution [40]. Nowadays, attention to UGS planning has gradually increased globally, shifting from the quantity mode to the quality-quantity mode [41]. Scholars and policymakers have begun to improve landscape patterns, accessibility, ecological protection, and multifunctional benefits of green spaces. To maximize the benefits of green space, a comprehensive multidimensional index system is required to perform a thorough and integrated evaluation of the level of UGS construction.
The framework of this study consists of the following four steps (Figure 2): data acquisition, indicator calculation, spatial pattern analysis, and benefit evaluation. Step 1 entails extracting the UGSs of each prefecture-level city in China based on land use/cover data and the boundaries of urban built-up areas, as well as collecting socio-economic data for each region. Step 2 creates and calculates the indicator system for UGSs in three dimensions including quantity and scale, spatial patterns, and social services. Step 3 analyzes the heterogeneity in the spatial distribution of the multidimensional characteristics of UGSs, as well as the differential effects of geographic zoning and urban development level on these multidimensional characteristics. Finally, step 4 evaluates and analyzes the ecological, social, and integrated benefits of the multidimensional characteristics of UGSs.

2.2.1. Evaluation Indicators and Quantifying Methods

Based on a synthesis of the characteristics of UGSs in previous studies, the indicators in this work can be summarized into three dimensions as follows: quantity and scale, spatial patterns, and social services. For example, studies have found that indicators of the quantity and scale of UGSs, such as coverage and per capita area of green spaces, are strongly correlated with human well-being [42,43]. An increase in the number of UGSs can improve the diversity of bird communities [44]. Studies have also found that the spatial pattern impacts multiple functions of UGSs. For example, a small and dispersed distribution of UGSs can negatively impact the mental health of residents [3,45]. The optimal allocation of UGSs in terms of density, degree of aggregation, and connectivity can reduce the urban heat island effect and promote biodiversity conservation [32,46,47,48]. Changes in the UGS pattern can also stimulate synergies or trade-offs among different ecosystem services [49]. Moreover, increasing attention has been paid to equity in UGS provisions [21,50,51] and their accessibility to diverse social groups [52,53]. Among the three dimensions, the quantity and scale of UGSs are the basic indicators, and insufficient scale may result in an imbalanced distribution of green spaces, potentially preventing residents in certain areas from easily accessing green space services. Moreover, the rationality of the UGS pattern will affect the ecological benefits of green spaces, as well as the accessibility and equity of green space supply for residents. The social functions of UGSs are fundamental to ensuring that green spaces can be better utilized by residents, thereby promoting the human–nature connection. An optimal allocation will balance the conflicts between quantitative supply and demand on UGSs.
In this regard, we constructed a UGS index system, as shown in Table 2. It measured the UGS characteristics of 285 Chinese cities, as well as their integrated ecological–social benefits. Specifically, from the perspective of quantity and scale, the indicator system considered UGS per capita, UGS coverage, and UGS structure types in urban built-up areas to provide a theoretical foundation for urban sustainability development planning. From the ecological perspective, it considered landscape fragmentation, landscape diversity, and connectivity of UGSs to promote the health of the urban ecosystem. From the social perspective, the proposed system accounted for the spatial accessibility of UGSs and the equity of UGS supply based on the Gini coefficient to ensure a better living environment for residents.

2.2.2. Calculation of Indicators

The indicators were quantified based on the following equation in each subsection. Then, to measure the integrated benefits of multiple indicators, we calculated the composite values of indicators in terms of scale, pattern, and social services using a weighted aggregation approach.
(1)
Indicators of Quantity and Scale.
Urban green space per capita (UGSPC) refers to the average area of green spaces occupied by urban residents. UGSPC was calculated based on the national population raster at a spatial resolution of 100 m from WorldPOP. Given the built-up area for a city, UGSPC is equal to the proportion of the total area of UGSs and the population size within this area. The equation is as follows:
UGSPC = GA/POP
where UGSPC is the per capita area of green spaces in a city, GA is the total green space area within the built-up area of the city, and POP is the corresponding population size.
The coverage ratio of urban green space (UGSCR) is the proportion of the total area of green spaces in a city to its built-up area, which can be expressed as follows:
UGSCR = GA/BA
where UGSCR is the coverage rate of urban green spaces and BA denotes the area of urban built-up land.
Moreover, urban green space structure (UGSS) is the ratio of forested land to non-forested land in the green space, which is calculated as follows:
UGSS = SF/(SC + SG)
where UGSS denotes the structure of green spaces, SF represents the area of forest land within the urban built-up area, SC refers to the area of cropland in the built-up area, and SG is the area of grassland in the urban built-up area. If UGSS is significantly greater than 1, the urban green spaces are predominantly forested. A UGSS close to or equal to 1 indicates a balanced distribution of forest land, grassland, and cropland, and a UGSS smaller than 1 implies the dominant role of grassland and cropland in urban green spaces.
(2)
Indicators of Spatial Patterns.
The spatial pattern of UGSs and their ecological benefits were evaluated by the landscape pattern index [47]. In this study, three indicators of landscape connectivity, landscape fragmentation, and landscape diversity were calculated. Landscape connectivity is quantified by the connectivity index (CONNECT), which indicates functional connectivity among UGS patches. A higher connectivity will facilitate the flow of ecological material and energy among UGS patches. UGS landscape fragmentation is comprehensively assessed [12] using patch density (PD), the aggregation index (AI), and the contagion index (CONTAG), which reflect the degree of fragmentation from patch differentiation, agglomeration, and extension trends in different patch types, respectively. Smaller patch densities and higher aggregation and contagion indices indicate lower fragmentation of the UGS landscape. UGS landscape diversity is characterized by the Shannon diversity index (SHDI), which indicates landscape heterogeneity and is particularly sensitive to the unbalanced distribution of different types of UGS patches in the landscape.
(3)
Indicators of Social Services.
The accesses to UGSs in China were evaluated in terms of spatial accessibility and supply equity (Figure 3). According to the Guiding Opinions on Promoting the Healthy Development of Urban Landscaping and Greening issued by the Ministry of Housing and Construction of China, urban residents can access to green spaces within 300 m of travel. Similarly, the World Health Organization’s guidelines suggest that all residences should have at least 0.5 hectares of public green space within 300 m of them [54]. This standard is also followed in places like the United Kingdom [55], Geneva [56], and Mexico [57]. Therefore, this study defined the spatial accessibility of UGSs as the percentage of green spaces within 300 m of residences to total green spaces in built-up areas (Figure 3a). This equation can be expressed as follows:
G E = j = 1 N S j G A
where GE is the area proportion of reachable UGS, N indicates the number of urban residences, and  S j  indicates the area of green spaces within 300 m of residence j.
The Gini coefficient method was used to calculate the equity of green space provision to measure whether the population distribution and UGS layout are coordinated and matched (Figure 3b). The Gini coefficient is calculated as follows:
G = 1 i = 1 M p i p i 1 s i + s i 1
where M represents the count of grid cells within 500 m of an urban built-up area;  p i  denotes the cumulative population within grid cell i; and  s i  represents the cumulative area of green spaces accessible to residents within grid i. The grid size was set to 500 m × 500 m, primarily based on studies such as green space planning in the Netherlands, where the minimum required Urban Green Space Planning Coefficient (UGSPC) is 60 square meters within 500 m [58], and a study in Germany where 92.8% of the urban population resides within a maximum distance of 500 m from an urban green space [20]. A higher Gini coefficient close to 1 indicates greater inequality in urban green space (UGS) supply, while a lower coefficient close to 0 signifies a more equitable distribution of green spaces.

3. Results and Analysis

3.1. Multidimensional Characteristics of Urban Green Spaces

3.1.1. Quantity and Scale of UGSs

Figure 4 presents the quantity and scale characteristics of UGSs in China. From a national perspective, the distribution of the per capita area of UGS (UGSPC) in urban built-up areas demonstrates a significant difference from two sides of the “Botai line”. On the left side of the line, which includes the south-central, northwestern, and southwestern regions, the UGSPC is significantly lower, at just 80.55 m2 per capita on average. Conversely, on the right side, including Northeast, East, and North China, the UGSPC is remarkably higher, averaging 108.23 m2 per person. The per capita gap in UGSPC on both sides of the “Botai line” reaches up to nearly 30 m2 on average (Figure 4a).
Specifically, Naqu City in Tibet has the smallest per capita green area at only 2.21 m2 per person, while Daqing City in Heilongjiang Province boasts the largest per capita green space at 379.55 m2 per person. These cities are located in Southwest China and Northeast China, respectively, and exhibit the same disparities in spatial distribution as the national average per capita green space. The distribution of cold and hot spots of UGSPC is even more apparent, with the division between a cold spot in the southwest and a hot spot in the northeast around the “Botai line”. This indicates that the per capita green space of urban built-up areas in Northeast China is significantly higher than that in Southwest China (Figure 4b). China’s 285 cities have a per capita green space of 101.3 m2, which is at a high level compared with other countries in the world. For example, countries such as Spain and Macedonia have only about 4 m2 of green space per capita, Romania has about 26 m2 per capita [59], and the standard set by the World Health Organization (WHO) is only 50 m2 [60].
The spatial distribution of green space coverage (UGSCR) in Chinese cities differs significantly from that of UGSPC. The UGSCR in urban built-up areas is high in the southeast coastal areas, whereas it is low in western China. In other regions, the UGSCR is relatively average, with high and low values distributed alternately (Figure 4c). According to China’s “Urban Green Space Planning Standards,” the UGSCR within built-up areas should not fall below 35%. It can be seen that the average UGSCR of 32.3% in the 285 Chinese cities is slightly lower than the national standard but higher than the UGSCR of 30.0% in the 38 member countries of the European Economic Area. Specifically, Southwest China has the lowest UGSCR at 25%, while East China has the highest at 36% (Figure 4d). This 11% difference highlights the regional heterogeneity in the quantity and scale of UGSs.
Figure 4e depicts the distribution of UGSS in China, which is represented as the proportion of forested and non-forested land within urban green spaces. The results reveal that forested land dominates urban green spaces in Chinese cities, with non-forested land, such as grassland and cropland, accounting for only a small proportion. The UGSs in central-eastern China, comprising Hebei, Shandong, Henan, Anhui, and Jiangsu Provinces, are largely forested. For example, in cities like Zhoukou, Kaifeng, Shangqiu, and Luohe in Henan Province, as well as Liaocheng, Dezhou, and Heze in Shandong Province, forest land has reached more than 95% of the total urban green spaces. In contrast, Nagqu and Rikaze in Tibet, Ordos in Inner Mongolia, and Karamay in Xinjiang have dominant grassland within the urban green spaces, accounting for more than 80% of the UGSs.

3.1.2. Spatial Patterns of UGSs

Figure 5 presents the degree of UGS fragmentation in terms of PD, CONTAG, and AI in China. The overall degree of UGS fragmentation in Chinese cities is relatively low, with only a few cities exhibiting more fragmentation. Eighty percent of cities have patch densities of less than 0.1 per ha, while a few cities, such as Naqu City in Tibet and Tongchuan City in Shaanxi Province, can reach 0.45 per ha (Figure 5a). The cities with low PD are mainly distributed along the southeastern coast and near the Han River and Huaihe River Basin. East China has the lowest PD of green spaces, while Southwest China has the highest (Figure 5b).
In terms of CONTAG in each city, high values are concentrated in the central and eastern regions, which aligns with the spatial distribution of UGSS, reflecting that the UGS patches dominated by forestland are highly clustered with significant ductility (Figure 5c). Among the six subregions, East China has the highest UGS CONTAG of 75.98, while Northwest China has the lowest value of 69.74 (Figure 5d). This slight difference indicates that the dominant land cover types of UGSs in each Chinese city are concentrated.
The spatial pattern of the UGS aggregation index (AI) is similar to that of PD. Specifically, the aggregation of UGSs is higher in the southeastern coastal region and the central-eastern region compared with the other regions, indicating a lower degree of UGS fragmentation (Figure 5e). The average value of UGS aggregation in the six regions varies slightly, with only a 2.25% difference between high values in East China and low values in Southwest China (Figure 5f). The analysis of the above three indicators shows that cities with low fragmentation of UGSs are mainly clustered in the southeastern coastal area and the central-eastern region. UGS fragmentation is relatively low in East China and high in Southwest China.
The results show that the landscape diversity is low in central and eastern China, mainly in Hebei, Shandong, Henan, Anhui, and Jiangsu Province compared with the other regions (Figure 6a,b). These results are consistent with the distribution of UGSS, which reflects that the layout of green spaces in central and east-central China is dominated by forest land with a low landscape diversity. Overall, the diversity of UGSs in most cities is only 0.54 on average, and 21% of cities have a high SHDI of more than 0.8. For example, Guiyang City has the highest SHDI of only 1.05. East China has the lowest average UGS landscape diversity, with a SHDI of 0.46, while Northwest China has the highest average SHDI of 0.67. This illustrates the low complexity of the UGS landscape and the uneven distribution of UGS structures in Chinese cities.
Figure 6c,d show the connectivity of UGSs (CONNECT). UGS connectivity is weak in the central-eastern region but strong in the western region. Among the cities, Shannan City in Tibet has the highest UGS connectivity of 44.4, while cities like Baoding, Cangzhou, and Shijiazhuang in Hebei Province have the lowest connectivity of less than 0.3. As for the six subregions, the northwest and southwest have higher connectivity, with mean values of 5.36 and 3.73, respectively, whereas East and North China have lower connectivity, with mean values of only 0.94 and 1.04, respectively. In addition, 94% of cities in China have a CONNECT of less than 5 because early urban development primarily focused on urban expansion rather than the conservation of green spaces.

3.1.3. Social Services of UGSs

The equity of green space provision in Chinese cities is illustrated in Figure 7c. The Gini coefficient of UGS equity (UGSE) exceeds 0.5 in the majority of Chinese cities, indicating generally poor equity. Particularly in the central-eastern region, the UGSE is notably inadequate. Only a few cities have Gini coefficients for UGSE below 0.4, suggesting a more balanced distribution between green spaces and the population. Shenzhen City in Guangdong Province has the highest Gini coefficient of more than 0.7. This is due to significant population influx, rapid economic development, and a lack of coordination in the extensive development of construction land with green space planning, thereby leading to highly unequal population-weighted green space provision.
Additionally, the Gini coefficients of Xiangyang, Ezhou, Huanggang, Suizhou, Huangshi, and Xianning in Hubei Province are less than 0.4, indicating high-quality greening effectiveness and green development initiatives in urban planning. As for the six geographical regions (Figure 7b), the differences in the average Gini coefficients among the cities are slight, fluctuating around 0.52 with a difference of less than 0.03. This reflects the weak coordination between UGS planning and population distribution in Chinese cities. Globally, African and West Asian countries have Gini coefficients of UGSE that exceed 0.5, and some North African countries have coefficients close to 0.85. However, Australia and countries in Europe and North America have UGSE Gini coefficients of below 0.4 [21]. Therefore, most Chinese cities still need to make efforts to improve the equity of green space supply.
The spatial distribution of urban green space accessibility (UGSA) in Chinese cities is illustrated in Figure 7c. A significant three-stage variation from north to south characterized as “low–high–medium” can be observed. The UGSA is low in the northern regions, primarily Northeast and North China with mean UGSA values of 0.15 and 0.13 (Figure 7d). This indicates that the UGSA within 300m of residential areas accounts for less than 20% of the total urban green spaces. For example, cities like Karamay in Xinjiang and Wuhaiti in Inner Mongolia have a spatial accessibility of UGS value of only about 4%. Conversely, the UGSA south of the Yellow River exceeds 60%, particularly in Xiangtan City in Hunan Province and Ya’an City in Sichuan Province. The UGSA in the southern region is moderate, averaging around 30%. This suggests that the southern region of China pays more attention to the greening of urban built-up areas than the northern region, which realizes the matching of residential areas and green space distribution. However, urban green space planning in northern China needs to be strengthened, and the distribution of green space near residential areas needs to be improved.

3.2. Divergence of UGSs in Levels of Urban Development

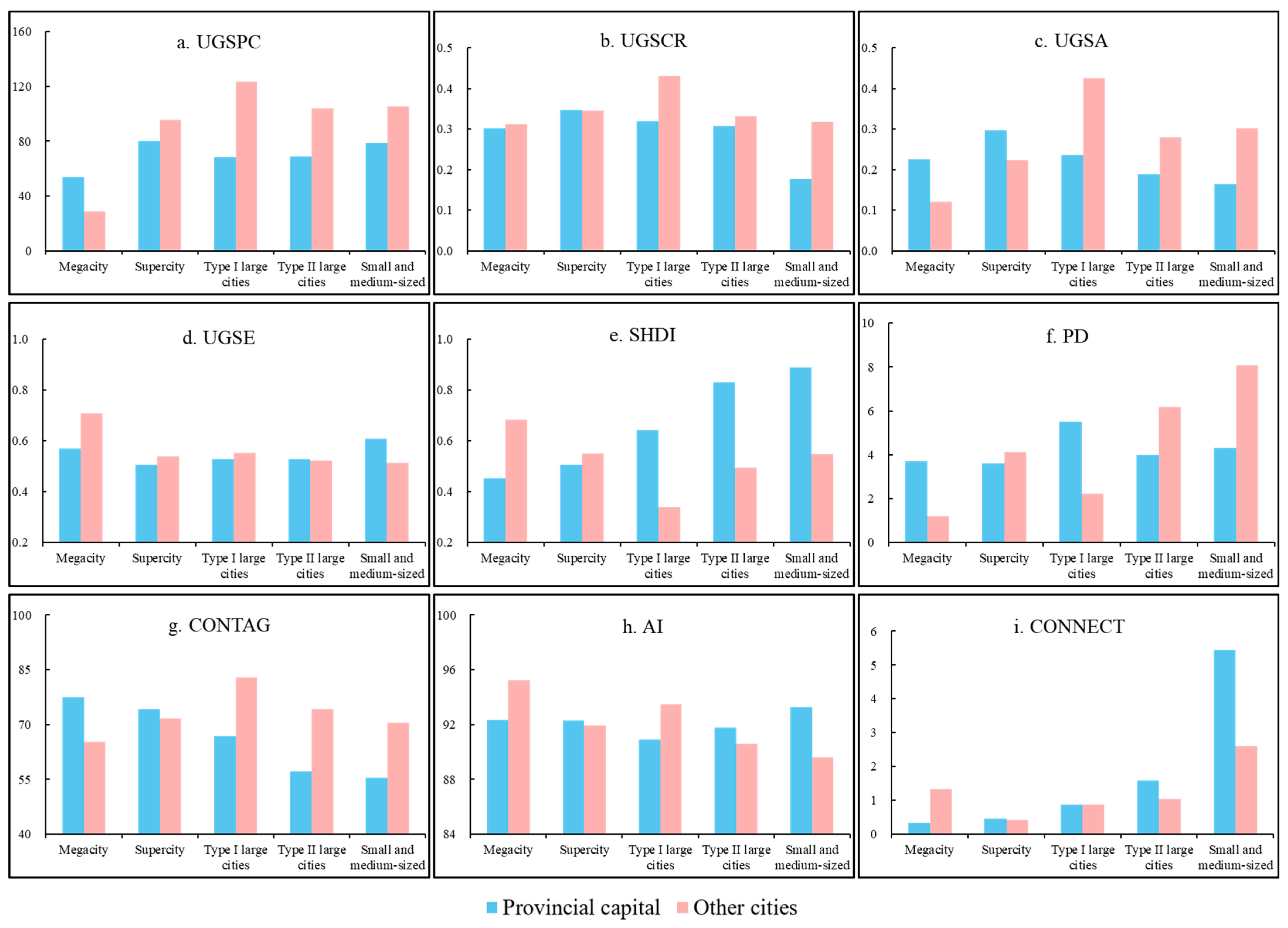
Figure 8 shows a comparison of the multidimensional indicators of green space in different types of cities. Differences are found in the indicators of green space in cities at different levels, as well as between provincial capitals and non-provincial capitals. UGSPC, SHDI, and CONNECT exhibit a decreasing trend from small to large cities, decreasing by 31%, 49%, and 93%, respectively. In contrast, UGSCR, UGSA, and CONTAG demonstrate an increasing trend, increasing by 41%, 27%, and 28%, respectively. UGSE, PD, and AI are relatively stable. We can see that the larger the scale of the provincial capital city, the smaller the diversity and connectivity of green landscape, and the higher the coverage rate, spread degree, and accessibility of green space. Notably, in the development process of provincial capital cities from small and medium-sized cities to megacities, green space coverage and green space accessibility show an overall trend of gradual increase. However, when the development level of provincial capital cities exceeds that of megacities, the two indicators decrease by 13% and 24%. Furthermore, the UGSPC also decreases by 33% at the same time.
As for non-provincial capital cities, significant differences in green space indicators exist in Type I large cities. These cities peak in UGSPC, UGSCR, UGSA, CONTAG, and AI while showing lower values in SHDI and PD. From small and medium-sized cities to Type I large cities, UGSPC, UGSCR, UGSA, and CONTAG increase by 14%, 26%, 28%, and 14%, respectively. However, these indicators are expected to decrease by 76%, 27%, 71%, and 21% from Type I large cities to megacities. Conversely, SHDI and PD decrease by 38% and 72%, respectively, from small to Type I large cities, and then increase by 50% and 46% from Type I large cities to megacities. This indicates that Type I large cities in China, with mid-to-upper population sizes, prioritize UGS planning during rapid economic development, leading to high UGSPC, CONTAG, and UGSA and low fragmentation of green spaces. Compared with provincial capital cities, after the urban development level of non-provincial capital cities reaches the level of Type I large cities, the per capita green space, green space coverage, and green space accessibility begin to decrease, which is one stage earlier than that of provincial capital cities.

3.3. Integrated Benefit of UGSs

Urban green spaces are essential in improving the urban ecological environment and quality of life because they incorporate ecological and social benefits. The quantity and scale of UGSs directly influence their ecological benefits and the convenience of social services. Scientific planning of green space patterns, such as building a complete ecological network and improving ecological connectivity, will help improve the ecological benefits of green space in terms of air quality, water purification, and biodiversity protection while affecting social services such as green space accessibility and supply equity. Improved accessibility and equity will enhance the social benefits of UGS, allowing better use of UGS services for urban residents. Thus, we present bivariate mapping statistics and three-dimensional scatter plots to evaluate the integrated benefits of UGSs in different regions (Figure 9).
Areas with high urban green space (UGS) quantities and social services are concentrated in Northeastern China, including Heilongjiang, Liaoning, Jilin, Hebei, and Shandong Provinces. Cities in Inner Mongolia and Shanxi have a high quantity and scale of UGSs with an orderly spatial pattern. Tibet, Inner Mongolia, and Yunnan stand out for their cities with an orderly spatial pattern and high social services related to UGSs. The central-eastern region has cities with high UGS quantity and scale, while cities with high social services are mainly in Tibet, Xinjiang, Yunnan, and the northeastern region. Cities with an orderly spatial pattern are primarily found in Tibet, Inner Mongolia, and the southern region of China.
The three-dimensional scatter plot illustrates that the social benefits of UGSs are higher in Northeast, Northwest, and North China, suggesting that cities with the best integrated benefits of UGSs, such as Daqing, Chifeng, and Baicheng, are mainly located in North and Northeast China (Figure 9d). Conversely, cities with weak integrated benefits of UGSs, such as Shaoyang, Shangrao, and Zhangye, are located in Central South and East China. Interestingly, the integrated benefits of UGSs are not always positively correlated with urban development. Figure 9e shows that cities with high values in all three dimensions of UGSs are not megacities or supercities but rather small and medium-sized cities and Type II large cities. For example, Changsha, a megacity, exhibits a very low integrated green space benefit, while other mega- and supercities show intermediate benefits. Type I large cities generally have relatively high integrated benefits, whereas cities with low values in all three dimensions are mainly small and medium-sized cities, indicating lower integrated benefits.

4. Discussion

4.1. Spatial Heterogeneity in the Multidimensional Characteristics and Integrated Benefits of UGSs

Cities in China with high UGSPC are mainly located east of the “Botai Line”, and cities with high UGSCR and a significant proportion of forested land in the UGSS are primarily located in the southeast coastal and central-eastern regions. The eastern region with low altitude has suitable climate conditions and a developed economy and attaches more importance to the green environment of cities. The western region of China has a higher altitude and severe climate conditions of cold and drought, resulting in a fragile ecological environment in the region. Considering the convenience and economy of infrastructure construction, urban residential areas are relatively concentrated and all of them are construction land. Green vegetation is scarce and mostly distributed outside the built-up area, typically as grasslands in plateau or desert areas [61]. The forest-dominated green space structure in cities within central-eastern China results in low UGS landscape diversity, and the simple structure of green spaces also makes its landscape less fragmented [62]. Conversely, rapid urbanization in western high-altitude areas leads to higher green space landscape fragmentation [63].
Regarding social services, the Gini coefficient of UGSE in Chinese cities is relatively high. This indicates that green spaces and densely populated areas are rarely spatially matched in Chinese cities. Instead, a common phenomenon observed is that dense urban centers often lack green spaces, while suburban areas with lower population density tend to have more green spaces. As a result, most urban residents have limited access to green space resources, which hinders their fair use of green space. The spatial accessibility of UGSs is lower in southern China than in northern China, which is consistent with the findings of Huang et al. [64]. This is primarily attributed to rapid urbanization, which results in a decrease in green spaces within built-up areas [65]. When assessing the integrated social–ecological benefits of urban green spaces (UGSs), it is notable that the northeastern region of China demonstrates higher social service benefits, whereas ecological benefits are more prominent in northern regions like Inner Mongolia and Shaanxi. Cities with high performances across all three dimensions are predominantly located in northern China. This is partly due to lower social services such as green space accessibility in the southern region, as well as spatial fragmentation caused by urbanization.

4.2. Heterogeneity in UGS Multidimensional Characteristics in Different Classes of Cities

Urban development provides a material basis for UGS planning, influencing the optimization of UGS layout [66]. According to the levels of urban development, the UGSCR tends to increase as cities progress from small to large, which aligns with the findings of Fuller et al., which suggest a higher urban greening value in larger cities [67]. However, a distinction arises when large cities evolve into supercities and megacities, as the UGSCR tends to decline. This trend contrasts with the anticipated positive correlation between green space construction and urban economic development [68]. This phenomenon is attributed to the challenge faced by high-density megacities in expanding their built-up areas during rapid urbanization. This continuous squeezing of green ecological spaces results in a corresponding decrease in the UGSCR. Simultaneously, the population density of megacities rises, leading to a concomitant decrease in the UGSPC. Consequently, while megacities demonstrate the highest level of urban development, they also exhibit the lowest UGSPC.
Two indicators of urban green space (UGS) social services, namely, UGSA and UGSE, exhibit different patterns across different levels of urban development. UGSA demonstrates a trend of initially increasing and then decreasing as the urban scale expands. On the other hand, UGSE reaches its peak at the level of supercities. This disparity suggests that cities at a more advanced socio-economic stage prioritize the quality of green space services and place greater emphasis on achieving equitable distribution of green spaces [51]. However, when the urban economy and population development reach the size of super-large cities and megacities, limited urban land space leads to the behavior of occupying urban green space, resulting in the imbalance between the distribution of population activities and the planning and layout of green space. Therefore, the accessibility of green space in megacities is the worst. Similarly, the indicators of UGS spatial patterns, namely, SHDI and CONNECT, show an increasingly disordered trend as the urban scale increases. Compared with the eastern and southeastern coastal areas, UGSs in western China exhibit lower performances across various indicators. This disparity can be attributed to the lower level of urban development and population density in the western region, as well as the relatively subdued demand for UGS in these areas. Therefore, the allocation of UGSs should be assessed based on the current urban development stage and future requirements. Strategies such as expanding the area of UGSs, enhancing green space accessibility, and optimizing the spatial distribution of green spaces should be implemented. These measures will help ensure that UGS development aligns with the evolving needs of social and ecological services, thereby maximizing the integrated benefits of ecological conservation and social well-being.

4.3. Comparative Analysis with Other Studies on the Characteristics of UGSs

This study compared the multidimensional characteristics of UGSs with other existing cases and found consistent conclusions. It was noted that the percentage of urban green space in China exceeds 20% on average at both the national and regional scales, with higher greening levels in the eastern coastal region than in the western region [69]. We also revealed that all six geographic subregions have approximately 25% urban green space coverage, with the northwest and southwest regions exhibiting the lowest coverage. Furthermore, this study highlighted similarities with the findings of Han et al., indicating that the Gini coefficient of green space equity in Chinese cities typically ranges between 0.3 and 0.85, with higher values concentrated in the central-eastern delta. This aligns with this study’s results, showing a Gini coefficient of urban green space equity above 0.4, with the highest value in the central-eastern delta region [21].
Comparisons were also drawn with cities in other countries. For instance, the average UGSCR in China of 25% was noted to be lower than the average of 30% in the 38 member states of the European Economic Area, suggesting room for improvement [70]. Zepp et al. determined that urban green space accessibility within 300 m of eight European metropolitan areas ranges from a minimum of 40% to a maximum of 90% [71]. In terms of green space accessibility, this study found that most UGSs in China have around 30% accessibility, with only a few exceeding 40%, and the highest reaching 72%. Interestingly, cities with high accessibility were not metropolitan cities in China, underscoring the need for enhanced green space planning and development in China’s megacities.

4.4. Suggestions for the Planning and Development of UGSs

Firstly, the UGSPC and UGSCR in cities in Southwest China are relatively low. To address this issue, increasing the number of street trees by expanding street gardens and embedded planting spaces is recommended. Moreover, the development of open green spaces such as community parks and pocket parks is crucial to establishing green space ecosystems that encompass the entire city [72]. Secondly, although the spatial patterns of urban green spaces (UGSs) in China are relatively unfragmented, connectivity and landscape diversity within UGSs are weak. Therefore, UGS planning should focus on constructing an urban green network. This entails balancing the distribution of different types of green spaces and utilizing green corridors, green wedges, and green paths to incorporate various natural spaces in the city into the green network. This approach aims to enhance the connectivity and coherence of the green space system and create a comprehensive green ecosystem throughout the city [73]. The UGS system will connect to the green network through green corridors, green wedges, and green roads, establishing a dynamic green network system that is natural, diverse, efficient, and self-sustaining. This will improve the coordination between urban development and ecology.
Furthermore, optimizing the UGSE and UGSA of UGSs facilitates greater access to the services provided by green spaces [74]. Research indicates that northern China often exhibits a high Gini coefficient for UGSE and low UGSA, indicating a lack of alignment between overall population distribution and green space planning in cities. Furthermore, mature large cities are often unable to convert densely developed construction land into green space on a large scale [75]. To address this issue, nature-based solutions such as rooftop gardens, botanical garden buildings, green walls, vertical greening systems, and small natural street parks can be leveraged to integrate greenery with buildings and maximize available space [66]. This approach can address the insufficient green coverage and unequal access in specific areas such as central business districts and commercial and industrial zones. Given the relatively lower integrated benefits of UGSs in East China and Central South, emphasis should be placed on ecological protection and social service benefits in UGS planning.

4.5. Research Strengths and Limitations

This study has several advantages. Firstly, it is the first attempt to measure UGS characteristics using multidimensional indicators based on quantity and scale, spatial patterns, and social services. Secondly, this study analyzes the spatial differentiation of UGS characteristics from the perspective of the urban development level. Thirdly, we evaluated the integrated ecological and social benefits of the UGS in each city, which helped us to better develop green space planning focusing on ecological protection and people-centered social services.
However, this study also has some limitations. Firstly, the accuracy of UGS data, extracted from a combination of urban built-up area data and land use data, is subject to the quality of the data sources and may differ across various cities. Nonetheless, the general patterns observed at the national scale are largely consistent with the current status of UGSs. Secondly, the indicators utilized in this study were based on common scholarly practices rather than specific schemes tailored to the study area. While this approach enhances the broader applicability of the findings, it may not capture the unique characteristics of the UGS in each city. Thirdly, this study did not investigate the driving mechanisms behind urban green space characteristics. Additionally, it solely focused on the multidimensional characteristics of UGS in China during a recent period, potentially limiting the depth of analysis and the applicability of the findings to other regions or timeframes. Future research endeavors could explore the spatial and temporal trends in these multidimensional characteristics over a more extended period to gain a more comprehensive understanding of the dynamics of UGS in urban environments.

5. Conclusions

This work conducted an analysis of the UGS characteristics of 285 prefecture-level cities in China from three dimensions including quantity and scale, spatial patterns, and social services. The findings revealed a nationwide trend of differentiation in UGSPC, with higher values in the northeast and lower values in the southwest along the “Botai Line”. The UGSCR in the southeast coastal region was relatively lower. Except for Tibet, forested land accounted for the majority of UGS distribution nationwide. However, the delta zone in central and eastern China exhibited weak landscape diversity and connectivity, and low UGSE. Furthermore, UGS fragmentation was higher in the coastal region of southeast and central-east China. The UGSA varied from low to high and then to medium from north to south. Overall, the multidimensional characteristics of UGSs were spatially heterogeneous, with better performance in the east compared with the west, in the south compared with the north, and in coastal areas compared with inland regions. The spatial patterns of indicators such as UGSS, landscape diversity, and fragmentation were consistent. Cities classified as Type I were generally rated more positively in terms of UGS characteristics, indicating a trend of gradual optimization to deterioration as the urban scale increases. Furthermore, this study highlighted that the integrated social–ecological benefits of UGSs were higher in North and Northeast China, suggesting better-coordinated development of UGS in these regions. These research findings contribute significantly to understanding the systematic characteristics of UGSs during rapid urbanization, thereby facilitating improved planning and development of UGSs in Chinese cities.

Author Contributions

Conceptualization, W.Z. and D.L.; methodology, W.Z. and D.L.; validation, D.L., J.H. and J.N.; investigation, W.Z., D.L. and F.X.; resources, W.Z., D.L. and J.N.; data curation, W.Z. and D.L.; writing—original draft preparation, W.Z.; writing—review and editing, D.L. and J.H.; visualization, W.Z., F.X. and D.L.; supervision, D.L. and J.H.; project administration, D.L. and J.N.; funding acquisition, D.L. All authors have read and agreed to the published version of the manuscript.

Funding

This research was funded by the National Natural Science Foundation of China [Grant number: 42171414] and the Open Fund of Key Laboratory for Synergistic Prevention of Water and Soil Environmental Pollution.

Data Availability Statement

Data available on request due to privacy: The data presented in this study are available on request from the corresponding author.

Acknowledgments

We would like to express our respect and gratitude to the anonymous reviewers and editors for their professional comments and suggestions.

Conflicts of Interest

The authors declare no conflicts of interest.

References

  1. Aronson, J.; Alexander, S. Ecosystem restoration is now a global priority: Time to roll up our sleeves. Restor. Ecol. 2013, 21, 293–296. [Google Scholar] [CrossRef]
  2. Li, H.S.; Zhang, X.; Bi, S.L.; Cao, Y.; Zhang, G.D. Psychological benefits of green exercise in wild or urban greenspaces: A meta-analysis of controlled trials. Urban. For. Urban. Gree. 2022, 68, 127458. [Google Scholar] [CrossRef]
  3. Ha, J.; Kim, H.J.; With, K.A. Urban green space alone is not enough: A landscape analysis linking the spatial distribution of urban green space to mental health in the city of Chicago. Landsc. Urban Plan. 2022, 218, 104309. [Google Scholar] [CrossRef]
  4. Liu, L.H.; Qu, H.Y.; Ma, Y.M.; Wang, K.; Qu, H.X. Restorative benefits of urban green space: Physiological, psychological restoration and eye movement analysis. J. Environ. Manag. 2022, 301, 113930. [Google Scholar] [CrossRef] [PubMed]
  5. Vujcic, M.; Tomicevic-Dubljevic, J.; Zivojinovic, I.; Toskovic, O. Connection between urban green areas and visitors’ physical and mental well-being. Urban. For. Urban. Gree. 2019, 40, 299–307. [Google Scholar] [CrossRef]
  6. Schinasi, L.H.; Kondo, M.C.; Edwards, J.; Clougherty, J.E.; De Roos, A.J.; Bilal, U. Does Urban Greenspace Reduce Mortality Inequalities Based on Poverty, Race, or Both in Philadelphia, PA? J. Urban. Health 2023, 100, 686–695. [Google Scholar] [CrossRef] [PubMed]
  7. Silva, L.T.; Fonseca, F.; Pires, M.; Mendes, B. SAUS: A tool for preserving urban green areas from air pollution. Urban. For. Urban. Gree. 2019, 46, 126440. [Google Scholar] [CrossRef]
  8. Sabedotti, M.E.S.; O’Regan, A.C.; Nyhan, M.M. Data Insights for Sustainable Cities: Associations between Google Street View-Derived Urban Greenspace and Google Air View-Derived Pollution Levels. Environ. Sci. Technol. 2023, 57, 19637–19648. [Google Scholar] [CrossRef] [PubMed]
  9. Giuliani, G.; Petri, E.; Interwies, E.; Vysna, V.; Guigoz, Y.; Ray, N.; Dickie, I. Modelling Accessibility To Urban Green Areas Using Open Earth Observations Data: A Novel Approach To Support The Urban Sdg In Four European Cities. Remote Sens. 2021, 13, 422. [Google Scholar] [CrossRef]
  10. Lu, N.; Tian, H.; Fu, B.; Yu, H.; Piao, S.; Chen, S.; Li, Y.; Li, X.; Wang, M.; Li, Z. Biophysical and economic constraints on China’s natural climate solutions. Nat. Clim. Change 2022, 12, 847–853. [Google Scholar] [CrossRef]
  11. Greening Plan to Advance in Scientific Way. Available online: https://www.gov.cn/zhengce/content/2021-06/02/content_5614922.htm (accessed on 8 June 2024).
  12. Huang, B.-X.; Chiou, S.-C.; Li, W.-Y. Landscape pattern and ecological network structure in urban green space planning: A case study of Fuzhou city. Land 2021, 10, 769. [Google Scholar] [CrossRef]
  13. Massoni, E.S.; Barton, D.N.; Rusch, G.M.; Gundersen, V. Bigger, more diverse and better? Mapping structural diversity and its recreational value in urban green spaces. Ecosyst. Serv. 2018, 31, 502–516. [Google Scholar] [CrossRef]
  14. Yu, S.; Yu, B.; Song, W.; Wu, B.; Zhou, J.; Huang, Y.; Wu, J.; Zhao, F.; Mao, W. View-based greenery: A three-dimensional assessment of city buildings’ green visibility using Floor Green View Index. Landsc. Urban Plan. 2016, 152, 13–26. [Google Scholar] [CrossRef]
  15. Ren, Y.; Ge, Y.; Ma, D.P.; Song, X.L.; Shi, Y.; Pan, K.X.; Qu, Z.L.; Guo, P.P.; Han, W.J.; Chang, J. Enhancing plant diversity and mitigating BVOC emissions of urban green spaces through the introduction of ornamental tree species. Urban. For. Urban. Gree. 2017, 27, 305–313. [Google Scholar] [CrossRef]
  16. Hong, Z.H.; Xu, W.H.; Liu, Y.; Wang, L.G.; Ou, G.L.; Lu, N.; Dai, Q.L. Retrieval of Three-Dimensional Green Volume in Urban Green Space from Multi-Source Remote Sensing Data. Remote Sens. 2023, 15, 5364. [Google Scholar] [CrossRef]
  17. Yang, Z.Q.; Fang, C.L.; Mu, X.F.; Li, G.D.; Xu, G.Y. Urban green space quality in China: Quality measurement, spatial heterogeneity pattern and influencing factor. Urban. For. Urban. Gree. 2021, 66, 127381. [Google Scholar] [CrossRef]
  18. Knobel, P.; Maneja, R.; Bartoll, X.; Alonso, L.; Bauwelinck, M.; Valentin, A.; Zijlema, W.; Borrell, C.; Nieuwenhuijsen, M.; Dadvand, P. Quality of urban green spaces influences residents’ use of these spaces, physical activity, and overweight/obesity. Environ. Pollut. 2021, 271, 116393. [Google Scholar] [CrossRef] [PubMed]
  19. Stoia, N.L.; Nita, M.R.; Popa, A.M.; Ioja, I.C. The green walk-An analysis for evaluating the accessibility of urban green spaces. Urban. For. Urban. Gree. 2022, 75, 127685. [Google Scholar] [CrossRef]
  20. Guan, J.X.; Wang, R.Z.; Van Berkel, D.; Liang, Z.Y. How spatial patterns affect urban green space equity at different equity levels: A Bayesian quantile regression approach (vol 233, 104709, 2023). Landsc. Urban Plan. 2024, 242, 104840. [Google Scholar] [CrossRef]
  21. Han, Y.; He, J.H.; Liu, D.F.; Zhao, H.Z.; Huang, J.L. Inequality in urban green provision: A comparative study of large cities throughout the world. Sustain. Cities Soc. 2023, 89, 104229. [Google Scholar] [CrossRef]
  22. Wu, S.; Chen, B.; Webster, C.; Xu, B.; Gong, P. Improved human greenspace exposure equality during 21st century urbanization. Nat. Commun. 2023, 14, 6460. [Google Scholar] [CrossRef] [PubMed]
  23. Kabisch, N.; Strohbach, M.; Haase, D.; Kronenberg, J. Urban green space availability in European cities. Ecol. Indic. 2016, 70, 586–596. [Google Scholar] [CrossRef]
  24. Jia, J.; Zlatanova, S.; Liu, H.L.; Aleksandrov, M.; Zhang, K.F. A design-support framework to assess urban green spaces for human wellbeing. Sustain. Cities Soc. 2023, 98, 104779. [Google Scholar] [CrossRef]
  25. Zhong, J.L.; Li, Z.G.; Sun, Z.S.; Tian, Y.J.; Yang, F. The spatial equilibrium analysis of urban green space and human activity in Chengdu, China. J. Clean. Prod. 2020, 259, 120754. [Google Scholar] [CrossRef]
  26. Zhang, Q.; Zhou, D.; Xu, D.; Rogora, A. Correlation between cooling effect of green space and surrounding urban spatial form: Evidence from 36 urban green spaces. Build. Environ. 2022, 222, 109375. [Google Scholar] [CrossRef]
  27. Kajosaari, A.; Hasanzadeh, K.; Fagerholm, N.; Nummi, P.; Kuusisto-Hjort, P.; Kyttä, M. Predicting context-sensitive urban green space quality to support urban green infrastructure planning. Landsc. Urban Plan. 2024, 242, 104952. [Google Scholar] [CrossRef]
  28. Kim, J.; Khouakhi, A.; Corstanje, R.; Johnston, A.S.A. Greater local cooling effects of trees across globally distributed urban green spaces. Sci. Total Environ. 2024, 911, 168494. [Google Scholar] [CrossRef] [PubMed]
  29. Wang, C.; Ren, Z.; Dong, Y.; Zhang, P.; Guo, Y.; Wang, W.; Bao, G. Efficient cooling of cities at global scale using urban green space to mitigate urban heat island effects in different climatic regions. Urban. For. Urban. Gree. 2022, 74, 127635. [Google Scholar] [CrossRef]
  30. Mukherjee, M.; Takara, K. Urban green space as a countermeasure to increasing urban risk and the UGS-3CC resilience framework. Int. J. Disaster Risk Reduct. 2018, 28, 854–861. [Google Scholar] [CrossRef]
  31. Oliver, A.J.; Hong-Wa, C.; Devonshire, J.; Olea, K.R.; Rivas, G.F.; Gahl, M.K. Avifauna richness enhanced in large, isolated urban parks. Landsc. Urban Plan. 2011, 102, 215–225. [Google Scholar] [CrossRef]
  32. Lepczyk, C.A.; Aronson, M.F.; Evans, K.L.; Goddard, M.A.; Lerman, S.B.; MacIvor, J.S. Biodiversity in the city: Fundamental questions for understanding the ecology of urban green spaces for biodiversity conservation. BioScience 2017, 67, 799–807. [Google Scholar] [CrossRef]
  33. Strohbach, M.W.; Arnold, E.; Haase, D. The carbon footprint of urban green space—A life cycle approach. Landsc. Urban Plan. 2012, 104, 220–229. [Google Scholar] [CrossRef]
  34. Schipperijn, J.; Bentsen, P.; Troelsen, J.; Toftager, M.; Stigsdotter, U.K. Associations between physical activity and characteristics of urban green space. Urban. For. Urban. Gree. 2013, 12, 109–116. [Google Scholar] [CrossRef]
  35. Collins, C.; Haase, D.; Heiland, S.; Kabisch, N. Urban green space interaction and wellbeing–investigating the experience of international students in Berlin during the first COVID-19 lockdown. Urban. For. Urban. Gree. 2022, 70, 127543. [Google Scholar] [CrossRef] [PubMed]
  36. Ugolini, F.; Massetti, L.; Calaza-Martínez, P.; Cariñanos, P.; Dobbs, C.; Ostoić, S.K.; Marin, A.M.; Pearlmutter, D.; Saaroni, H.; Šaulienė, I. Understanding the benefits of public urban green space: How do perceptions vary between professionals and users? Landsc. Urban Plan. 2022, 228, 104575. [Google Scholar] [CrossRef]
  37. Wenhui, K.; Shuwen, Z.; Guoming, D.U.; Changzhen, Y.A.N.; Shixin, W.U.; Rendong, L.I.; Dengsheng, L.U.; Tao, P.A.N.; Jing, N.; Changqing, G.U.O.; et al. Remotely sensed mapping and analysis of spatio-temporal patterns of land use change across China in 2015-2020. Acta Geogr. Sin. 2022, 77, 1056–1071. [Google Scholar] [CrossRef]
  38. Li, X.C.; Gong, P.; Zhou, Y.Y.; Wang, J.; Bai, Y.Q.; Chen, B.; Hu, T.Y.; Xiao, Y.X.; Xu, B.; Yang, J.; et al. Mapping global urban boundaries from the global artificial impervious area (GAIA) data. Environ. Res. Lett. 2020, 15, 094044. [Google Scholar] [CrossRef]
  39. Bondarenko, M.; Kerr, D.; Sorichetta, A.; Tatem, A. Census/Projection-Disaggregated Gridded Population Datasets for 189 Countries in 2020 Using Built-Settlement Growth Model (BSGM) Outputs; University of Southampton: Southampton, UK, 2020. [Google Scholar] [CrossRef]
  40. Haaland, C.; van Den Bosch, C.K. Challenges and strategies for urban green-space planning in cities undergoing densification: A review. Urban. For. Urban. Gree. 2015, 14, 760–771. [Google Scholar] [CrossRef]
  41. Li, K.; Du, W.; Yang, Z.; Yan, H.; Mu, Y. Spatio-Temporal Pattern of Urban Green Space in Chengdu Urban Center under Rapid Urbanization: From the Policy-Oriented Perspective. Land 2024, 13, 443. [Google Scholar] [CrossRef]
  42. Richards, D.R.; Passy, P.; Oh, R.R.Y. Impacts of population density and wealth on the quantity and structure of urban green space in tropical Southeast Asia. Landsc. Urban Plan. 2017, 157, 553–560. [Google Scholar] [CrossRef]
  43. Bertram, C.; Rehdanz, K. The role of urban green space for human well-being. Ecol. Econ. 2015, 120, 139–152. [Google Scholar] [CrossRef]
  44. Zorzal, R.R.; Diniz, P.; de Oliveira, R.; Duca, C. Drivers of avian diversity in urban greenspaces in the Atlantic Forest. Urban. For. Urban. Gree. 2021, 59, 126908. [Google Scholar] [CrossRef]
  45. Addas, A. Influence of urban green spaces on quality of life and health with smart city design. Land 2023, 12, 960. [Google Scholar] [CrossRef]
  46. Xiao, X.D.; Dong, L.; Yan, H.N.; Yang, N.; Xiong, Y.M. The influence of the spatial characteristics of urban green space on the urban heat island effect in Suzhou Industrial Park. Sustain. Cities Soc. 2018, 40, 428–439. [Google Scholar] [CrossRef]
  47. Masoudi, M.; Tan, P.Y. Multi-year comparison of the effects of spatial pattern of urban green spaces on urban land surface temperature. Landsc. Urban Plan. 2019, 184, 44–58. [Google Scholar] [CrossRef]
  48. Li, Y.L.; Ren, C.; Ho, J.Y.E.; Shi, Y. Landscape metrics in assessing how the configuration of urban green spaces affects their cooling effect: A systematic review of empirical studies. Landsc. Urban Plan. 2023, 239, 104842. [Google Scholar] [CrossRef]
  49. Liu, O.Y.; Russo, A. Assessing the contribution of urban green spaces in green infrastructure strategy planning for urban ecosystem conditions and services. Sustain. Cities Soc. 2021, 68, 102772. [Google Scholar] [CrossRef]
  50. Wüstemann, H.; Kalisch, D.; Kolbe, J. Access to urban green space and environmental inequalities in Germany. Landsc. Urban Plan. 2017, 164, 124–131. [Google Scholar] [CrossRef]
  51. Hou, Y.; Liu, Y.; Wu, Y.; Wang, L. Assessing Inequality in Urban Green Spaces with Consideration for Physical Activity Promotion: Utilizing Spatial Analysis Techniques Supported by Multisource Data. Land 2024, 13, 626. [Google Scholar] [CrossRef]
  52. Yutian, L.; Running, C.; Bin, C.; Jiayu, W. Inclusive green environment for all? An investigation of spatial access equity of urban green space and associated socioeconomic drivers in China. Landsc. Urban Plan. 2024, 241, 104926. [Google Scholar]
  53. La Rosa, D.; Takatori, C.; Shimizu, H.; Privitera, R. A planning framework to evaluate demands and preferences by different social groups for accessibility to urban greenspaces. Sustain. Cities Soc. 2018, 36, 346–362. [Google Scholar] [CrossRef]
  54. World Health Organization. Urban green spaces: A brief for action. In Urban Green Spaces: A Brief for Action; World Health Organization. Regional Office for Europe: Copenhagen, Denmark, 2017; Available online: https://iris.who.int/handle/10665/344116 (accessed on 8 June 2024).
  55. Ergen, M. Using geographical information systems to measure accessibility of green areas in the urban center of Nevşehir, Turkey. Urban. For. Urban. Gree. 2021, 62, 127160. [Google Scholar] [CrossRef]
  56. Guinaudeau, B.; Brink, M.; Schäffer, B.; Schlaepfer, M.A. A Methodology for Quantifying the Spatial Distribution and Social Equity of Urban Green and Blue Spaces. Sustainability 2023, 15, 16886. [Google Scholar] [CrossRef]
  57. Huerta, C.M. Rethinking the distribution of urban green spaces in Mexico City: Lessons from the COVID-19 outbreak. Urban. For. Urban. Gree. 2022, 70, 127525. [Google Scholar] [CrossRef]
  58. Roo, M.d.; Kuypers, V.; Lenzholzer, S. The Green City Guidelines: Techniques for a Healthy Liveable City; The Green City: Hildesheim, Germany, 2011; Available online: https://edepot.wur.nl/178666 (accessed on 8 June 2024).
  59. Badiu, D.L.; Iojă, C.I.; Pătroescu, M.; Breuste, J.; Artmann, M.; Niță, M.R.; Grădinaru, S.R.; Hossu, C.A.; Onose, D.A. Is urban green space per capita a valuable target to achieve cities’ sustainability goals? Romania as a case study. Ecol. Indic. 2016, 70, 53–66. [Google Scholar] [CrossRef]
  60. World Health Organization. Urban Planning, Environment and Health: From Evidence to Policy Action; World Health Organization: København, Denmark, 2010. [Google Scholar]
  61. Wang, Y.; Lv, W.; Xue, K.; Wang, S.; Zhang, L.; Hu, R.; Zeng, H.; Xu, X.; Li, Y.; Jiang, L. Grassland changes and adaptive management on the Qinghai–Tibetan Plateau. Nat. Rev. Earth Environ. 2022, 3, 668–683. [Google Scholar] [CrossRef]
  62. Fu, G.; Xiao, N.; Qiao, M.; Qin, Y.; Yan, B.; Liu, G.; Gao, X.; Li, J. Spatial-temporal changes of landscape fragmentation patterns in Beijing in the last two decades. Acta Ecol. Sin. 2017, 37, 2551–2562. [Google Scholar]
  63. Pan, X.; Wang, Y.; Liu, Z.; He, C.; Liu, H.; Chen, Z. Understanding urban expansion on the Tibetan Plateau over the past half century based on remote sensing: The case of Xining city, China. Remote Sens. 2020, 13, 46. [Google Scholar] [CrossRef]
  64. Huang, Y.; Lin, T.; Zhang, G.; Jones, L.; Xue, X.; Ye, H.; Liu, Y. Spatiotemporal patterns and inequity of urban green space accessibility and its relationship with urban spatial expansion in China during rapid urbanization period. Sci. Total Environ. 2022, 809, 151123. [Google Scholar] [CrossRef] [PubMed]
  65. Chu, M.; Lu, J.; Sun, D. Influence of urban agglomeration expansion on fragmentation of green space: A case study of Beijing-Tianjin-Hebei urban agglomeration. Land 2022, 11, 275. [Google Scholar] [CrossRef]
  66. Wang, J.; Zhang, Y.; Zhang, X.; Song, M.; Ye, J. The spatio-temporal trends of urban green space and its interactions with urban growth: Evidence from the Yangtze River Delta region, China. Land Use Policy 2023, 128, 106598. [Google Scholar] [CrossRef]
  67. Fuller, R.A.; Gaston, K.J. The scaling of green space coverage in European cities. Biol. Lett. 2009, 5, 352–355. [Google Scholar] [CrossRef] [PubMed]
  68. Chen, W.Y.; Wang, D.T. Economic development and natural amenity: An econometric analysis of urban green spaces in China. Urban. For. Urban. Gree. 2013, 12, 435–442. [Google Scholar] [CrossRef]
  69. Kuang, W.; Zhang, S.; Li, X.; Lu, D. A 30 m resolution dataset of China’s urban impervious surface area and green space, 2000–2018. Earth Syst. Sci. Data 2021, 13, 63–82. [Google Scholar] [CrossRef]
  70. How Green Are European Cities? Green Space Key to Well-Being—But Access Varies. Available online: https://www.eea.europa.eu/highlights/how-green-are-european-cities (accessed on 8 June 2024).
  71. Zepp, H.; Groß, L.; Inostroza, L. And the winner is? Comparing urban green space provision and accessibility in eight European metropolitan areas using a spatially explicit approach. Urban. For. Urban. Gree. 2020, 49, 126603. [Google Scholar] [CrossRef]
  72. Latasa, I.; Laurenz, A. The Residual Spaces of Developmental Urbanism as Opportunity for Green Cities and Improvement of Human Wellbeing. Land 2023, 12, 764. [Google Scholar] [CrossRef]
  73. Kong, F.; Yin, H.; Nakagoshi, N.; Zong, Y. Urban green space network development for biodiversity conservation: Identification based on graph theory and gravity modeling. Landsc. Urban Plan. 2010, 95, 16–27. [Google Scholar] [CrossRef]
  74. Verma, P.; Singh, R.; Bryant, C.; Raghubanshi, A.S. Green space indicators in a social-ecological system: A case study of Varanasi, India. Sustain. Cities Soc. 2020, 60, 102261. [Google Scholar] [CrossRef]
  75. Belmeziti, A.; Cherqui, F.; Kaufmann, B. Improving the multi-functionality of urban green spaces: Relations between components of green spaces and urban services. Sustain. Cities Soc. 2018, 43, 1–10. [Google Scholar] [CrossRef]
Figure 1. The distribution of the 285 prefecture-level cities in China.
Figure 1. The distribution of the 285 prefecture-level cities in China.
Land 13 01050 g001
Figure 2. Flowchart of this study.
Figure 2. Flowchart of this study.
Land 13 01050 g002
Figure 3. The calculation of spatial accessibility (a) and supply equity (b) of urban green spaces.
Figure 3. The calculation of spatial accessibility (a) and supply equity (b) of urban green spaces.
Land 13 01050 g003
Figure 4. Spatial distribution of the quantity and scale characteristics of UGSs in China. (a) per capita area of UGS; (b) cold and hot spot analysis of UGSPC; (c) coverage ratio of UGS; (d) regional statistics of UGSCR; and (e) urban green space structure.
Figure 4. Spatial distribution of the quantity and scale characteristics of UGSs in China. (a) per capita area of UGS; (b) cold and hot spot analysis of UGSPC; (c) coverage ratio of UGS; (d) regional statistics of UGSCR; and (e) urban green space structure.
Land 13 01050 g004
Figure 5. Degree of fragmentation of UGS landscapes in Chinese cities. (a) patch density of UGS; (b) regional statistics of PD; (c) contagion of UGS; (d) regional statistics of CONTAG; (e) aggregation index of UGS; and (f) regional statistics of AI.
Figure 5. Degree of fragmentation of UGS landscapes in Chinese cities. (a) patch density of UGS; (b) regional statistics of PD; (c) contagion of UGS; (d) regional statistics of CONTAG; (e) aggregation index of UGS; and (f) regional statistics of AI.
Land 13 01050 g005
Figure 6. Distribution of the characteristics of green space patterns in Chinese cities. (a) Shannon’s diversity index of UGS; (b) regional statistics of SHDI; (c) connectivity of UGS; and (d) regional statistics of CONECT.
Figure 6. Distribution of the characteristics of green space patterns in Chinese cities. (a) Shannon’s diversity index of UGS; (b) regional statistics of SHDI; (c) connectivity of UGS; and (d) regional statistics of CONECT.
Land 13 01050 g006
Figure 7. Spatial distribution of social service characteristics of green spaces in Chinese cities. (a) urban green space equity; (b) regional statistics of UGSE; (c) urban green space accessibility; and (d) regional statistics of UGSA.
Figure 7. Spatial distribution of social service characteristics of green spaces in Chinese cities. (a) urban green space equity; (b) regional statistics of UGSE; (c) urban green space accessibility; and (d) regional statistics of UGSA.
Land 13 01050 g007
Figure 8. Comparison of the multidimensional characteristics of UGSs in Chinese cities of different grades.
Figure 8. Comparison of the multidimensional characteristics of UGSs in Chinese cities of different grades.
Land 13 01050 g008
Figure 9. Spatial distribution of multidimensional benefits of UGSs. (a) Social benefits; (b) ecological benefits; (c) multifunctional integrated benefits; (d) integrated benefits in three dimensions by administrative division; and (e) integrated benefits in three dimensions by level of urban development.
Figure 9. Spatial distribution of multidimensional benefits of UGSs. (a) Social benefits; (b) ecological benefits; (c) multifunctional integrated benefits; (d) integrated benefits in three dimensions by administrative division; and (e) integrated benefits in three dimensions by level of urban development.
Land 13 01050 g009
Table 1. Research data and sources.
Table 1. Research data and sources.
DataResolutionSource
Land use/cover data30 mChina Land Use/Cover Dataset 2020 produced by the Resource and Environmental Science and Data Center (https://www.resdc.cn/, accessed on 28 May 2024)
Urban built-up area boundary10 mA dataset of built-up areas in Chinese cities in 2020 (https://www.scidb.cn/en/, accessed on 28 May 2024)
Population100 mChina population grid dataset 2020 produced by WorldPOP (https://hub.worldpop.org/, accessed on 30 May 2024)
Residential POIsGeographic Data Sharing Infrastructure, College of Urban and Environmental Science, Peking University (http://geodata.pku.eud.cn, accessed on 30 May 2024)
Table 2. Evaluation indicator system for urban green spaces.
Table 2. Evaluation indicator system for urban green spaces.
DimensionIndicatorCodeDefinition
Quantity and scalePer capita area of UGSUGSPCUGS per capita in urban built-up areas
Coverage ratio of UGSUGSCRThe ratio of UGSs to built-up areas within built-up areas
UGS structureUGSSProportion of UGSs comprising woodland, grassland, and cropland
Spatial patternsLandscape fragmentationPatch densityPDNumber of UGS patches per unit area reflected in the landscape pattern
Contagion indexCONTAGIndicates the degree of spatial clustering or tendency of UGSs to spread out
Aggregation indexAIMeasures the aggregation of the distribution of UGSs in urban space
Landscape diversityShannon’s diversitySHDIMeasures the complexity of UGSs in terms of structure, type, and distribution, which can reflect landscape heterogeneity
Landscape connectivityConnectivity indexCONNECTHigher indices indicate better connectivity among UGS patches
Social servicesUGS accessibilityUGSAProportion of accessible UGSs within 300m of a settlement
UGS equityUGSEMatching between UGS resources and population distribution
Disclaimer/Publisher’s Note: The statements, opinions and data contained in all publications are solely those of the individual author(s) and contributor(s) and not of MDPI and/or the editor(s). MDPI and/or the editor(s) disclaim responsibility for any injury to people or property resulting from any ideas, methods, instructions or products referred to in the content.

Share and Cite

MDPI and ACS Style

Zhao, W.; Liu, D.; Niu, J.; He, J.; Xu, F. Spatial Heterogeneity Analysis of the Multidimensional Characteristics of Urban Green Spaces in China—A Study Based on 285 Prefecture-Level Cities. Land 2024, 13, 1050. https://doi.org/10.3390/land13071050

AMA Style

Zhao W, Liu D, Niu J, He J, Xu F. Spatial Heterogeneity Analysis of the Multidimensional Characteristics of Urban Green Spaces in China—A Study Based on 285 Prefecture-Level Cities. Land. 2024; 13(7):1050. https://doi.org/10.3390/land13071050

Chicago/Turabian Style

Zhao, Wei, Dianfeng Liu, Jiqiang Niu, Jianhua He, and Feng Xu. 2024. "Spatial Heterogeneity Analysis of the Multidimensional Characteristics of Urban Green Spaces in China—A Study Based on 285 Prefecture-Level Cities" Land 13, no. 7: 1050. https://doi.org/10.3390/land13071050

APA Style

Zhao, W., Liu, D., Niu, J., He, J., & Xu, F. (2024). Spatial Heterogeneity Analysis of the Multidimensional Characteristics of Urban Green Spaces in China—A Study Based on 285 Prefecture-Level Cities. Land, 13(7), 1050. https://doi.org/10.3390/land13071050

Note that from the first issue of 2016, this journal uses article numbers instead of page numbers. See further details here.

Article Metrics

Back to TopTop