Feature Selection and Regression Models for Multisource Data-Based Soil Salinity Prediction: A Case Study of Minqin Oasis in Arid China
Abstract
1. Introduction
2. Materials and Methods
2.1. Study Area and Field Sampling
2.2. Data
2.2.1. Remote Sensing Data and Pre-Processing
2.2.2. Environmental Covariates
- Variables Based on Microwave Data;
- 2.
- Variables based on optical remote sensing data;
- 3.
- Texture feature extraction;
- 4.
- Topographic factor extraction.
2.3. Feature Selection Algorithms
2.4. Modeling Strategy
2.4.1. Modeling Algorithm
2.4.2. Model Evaluation
3. Results and Discussion
3.1. Sample Descriptive Statistics
3.2. Feature Selection
3.2.1. Correlation Analysis
3.2.2. Feature Variable Combination Selection
3.3. Modeling Assessment
3.4. Importance of Variables
3.5. Characterization of the Spatial Distribution of Soil Salinity
4. Conclusions
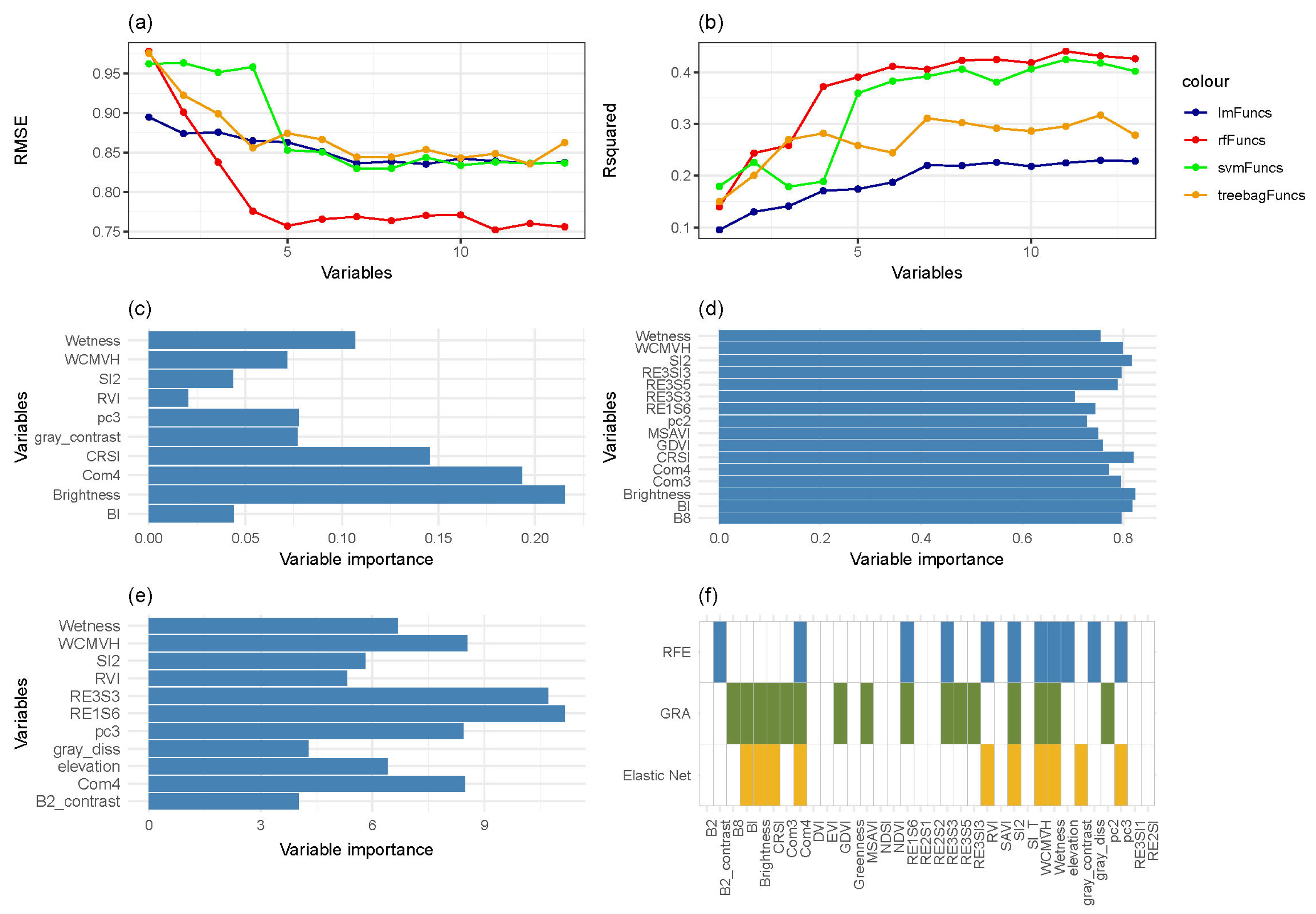
- Variable selection reduces model complexity, preventing information redundancy and feature multicollinearity. Relying solely on correlation calculations may not adequately reduce dimensionality due to potential nonlinear correlations. The most effective method for feature selection is the RFE algorithm, which significantly streamlines model construction, reducing the feature variables from 34 to 11. These include six spectral features (SI2, RVI, RE3S3, RE3S6, pc3, and Wetness), two microwave backscattering coefficient features (WCMVH and Com4), two texture features (gray_diss and B2_contrast), and a topographic feature (elevation). In arid areas with low vegetation cover, featuring unutilized land (Gobi Desert) and irrigated cropland, model feature selection should consider not only vegetation and salinity indices but also other soil properties and environmental factors.
- PLSR models lack accuracy for salinity predictions; RF models, adept at capturing nonlinear relationships, are preferable for such predictions. The RFE-RF and Elastic-RF inversion models outperform basic RF models. Among them, REF-RF stands out as the superior salinity inversion model. It excels in low and medium saline soils but tends to underestimate strongly saline soils and above. Model-based feature combination offers effective soil salinity monitoring in the study area’s irrigation zone, aiding decision-making in soil management. Limiting factors include sample point distribution, cropland mulching effects on reflectance, and model parameter optimization.
- Introducing the red-edge band, the water cloud model, and the tassel-cap transformed wetness component produced satisfactory estimates. The red-edge spectral indices and the backscattering coefficients processed by the water cloud model are significantly more sensitive to soil salinity, and these effects will be more pronounced in areas with higher vegetation cover. Therefore, when choosing Sentinel data as the data source for model construction, the red-edge band of Sentinel-2 and using water cloud model pre-processing for Sentinel-1 data should be considered.
- There is a need to study the effects of other environmental variables on soil salinity levels in the future, and the GEE platform makes the whole modeling process of this study online, which facilitates teamwork and provides a convenient method for monitoring soil salinity in a large area. In the future, we will rely on the GEE platform to estimate soil salinity in a larger area and try to improve the method’s reliability further.
Author Contributions
Funding
Data Availability Statement
Acknowledgments
Conflicts of Interest
References
- Hassani, A.; Azapagic, A.; Shokri, N. Predicting long-term dynamics of soil salinity and sodicity on a global scale. Proc. Natl. Acad. Sci. USA 2020, 117, 33017–33027. [Google Scholar] [CrossRef] [PubMed]
- Li, J.G.; Pu, L.J.; Han, M.F.; Zhu, M.; Zhang, R.S.; Xiang, Y.Z. Soil salinization research in China: Advances and prospects. J. Geogr. Sci. 2014, 24, 943–960. [Google Scholar] [CrossRef]
- Stavi, I.; Thevs, N.; Priori, S. Soil Salinity and Sodicity in Drylands: A Review of Causes, Effects, Monitoring, and Restoration Measures. Front. Environ. Sci. 2021, 9, 712831. [Google Scholar] [CrossRef]
- Singh, A. Soil salinization management for sustainable development: A review. J. Environ. Manag. 2021, 277, 15. [Google Scholar] [CrossRef] [PubMed]
- Chen, S.; Arrouays, D.; Mulder, V.L.; Poggio, L.; Minasny, B.; Roudier, P.; Libohova, Z.; Lagacherie, P.; Shi, Z.; Hannam, J.; et al. Digital mapping of GlobalSoilMap soil properties at a broad scale: A review. Geoderma 2022, 409, 115567. [Google Scholar] [CrossRef]
- Brunner, P.; Li, H.T.; Kinzelbach, W.; Li, W.P. Generating soil electrical conductivity maps at regional level by integrating measurements on the ground and remote sensing data. Int. J. Remote Sens. 2007, 28, 3341–3361. [Google Scholar] [CrossRef]
- Dehaan, R.L.; Taylor, G.R. Field-derived spectra of salinized soils and vegetation as indicators of irrigation-induced soil salinization. Remote Sens. Environ. 2002, 80, 406–417. [Google Scholar] [CrossRef]
- Nanni, M.R.; Demattê, J.A.M. Spectral reflectance methodology in comparison to traditional soil analysis. Soil Sci. Soc. Am. J. 2006, 70, 393–407. [Google Scholar] [CrossRef]
- Mougenot, B.; Pouget, M.; Epema, G.F. Remote sensing of salt affected soils. Remote Sens. Rev. 1993, 7, 241–259. [Google Scholar] [CrossRef]
- Garajeh, M.K.; Blaschke, T.; Haghi, V.H.; Weng, Q.H.; Kamran, K.V.; Li, Z.L. A Comparison between Sentinel-2 and Landsat 8 OLI Satellite Images for Soil Salinity Distribution Mapping Using a Deep Learning Convolutional Neural Network. Can. J. Remote Sens. 2022, 48, 452–468. [Google Scholar] [CrossRef]
- Sahbeni, G. A PLSR model to predict soil salinity using Sentinel-2 MSI data. Open Geosci. 2021, 13, 977–987. [Google Scholar] [CrossRef]
- Wang, F.; Yang, S.T.; Yang, W.; Yang, X.D.; Ding, J.L. Comparison of machine learning algorithms for soil salinity predictions in three dryland oases located in Xinjiang Uyghur Autonomous Region (XJUAR) of China. Eur. J. Remote Sens. 2019, 52, 256–276. [Google Scholar] [CrossRef]
- Yahiaoui, I.; Bradai, A.; Douaoui, A.; Abdennour, M.A. Performance of random forest and buffer analysis of Sentinel-2 data for modelling soil salinity in the Lower-Cheliff plain (Algeria). Int. J. Remote Sens. 2021, 42, 128–151. [Google Scholar] [CrossRef]
- Gharechelou, S.; Tateishi, R.; Sumantyo, J.T.S. Interrelationship analysis of L-band backscattering intensity and soil dielectric constant for soil moisture retrieval using PALSAR data. Adv. Remote Sens. 2015, 4, 15. [Google Scholar] [CrossRef]
- Metternicht, G.I.; Zinck, J.A. Remote sensing of soil salinity: Potentials and constraints. Remote Sens. Environ. 2003, 85, 1–20. [Google Scholar] [CrossRef]
- Sreenivas, K.; Venkataratnam, L.; Rao, P.N. Dielectric properties of salt-affected soils. Int. J. Remote Sens. 1995, 16, 641–649. [Google Scholar] [CrossRef]
- Allbed, A.; Kumar, L.; Aldakheel, Y.Y. Assessing soil salinity using soil salinity and vegetation indices derived from IKONOS high-spatial resolution imageries: Applications in a date palm dominated region. Geoderma 2014, 230, 1–8. [Google Scholar] [CrossRef]
- Sidike, A.; Zhao, S.; Wen, Y. Estimating soil salinity in Pingluo County of China using QuickBird data and soil reflectance spectra. Int. J. Appl. Earth Obs. Geoinf. 2014, 26, 156–175. [Google Scholar] [CrossRef]
- Wang, J.; Ding, J.; Yu, D.; Ma, X.; Zhang, Z.; Ge, X.; Teng, D.; Li, X.; Liang, J.; Lizaga, I.; et al. Capability of Sentinel-2 MSI data for monitoring and mapping of soil salinity in dry and wet seasons in the Ebinur Lake region, Xinjiang, China. Geoderma 2019, 353, 172–187. [Google Scholar] [CrossRef]
- Zhou, T.; Lu, H.L.; Wang, W.W.; Yong, X. GA-SVM based feature selection and parameter optimization in hospitalization expense modeling. Appl. Soft Comput. 2019, 75, 323–332. [Google Scholar] [CrossRef]
- Peng, J.; Biswas, A.; Jiang, Q.S.; Zhao, R.Y.; Hu, J.; Hu, B.F.; Shi, Z. Estimating soil salinity from remote sensing and terrain data in southern Xinjiang Province, China. Geoderma 2019, 337, 1309–1319. [Google Scholar] [CrossRef]
- Pang, G.J.; Wang, T.; Liao, J.; Li, S. Quantitative Model Based on Field-Derived Spectral Characteristics to Estimate Soil Salinity in Minqin County, China. Soil Sci. Soc. Am. J. 2014, 78, 546–555. [Google Scholar] [CrossRef]
- Yang, H.; Wang, Z.H.; Cao, J.F.; Wu, Q.Y.; Zhang, B.L. Estimating soil salinity using Gaofen-2 imagery: A novel application of combined spectral and textural features. Environ. Res. 2023, 217, 114870. [Google Scholar] [CrossRef] [PubMed]
- Zhang, J.; Zhang, Z.; Chen, J.; Chen, H.; Jin, J.; Han, J.; Wang, X.; Song, Z.; Wei, G. Estimating soil salinity with different fractional vegetation cover using remote sensing. Land Degrad. Dev. 2021, 32, 597–612. [Google Scholar] [CrossRef]
- Jia, P.; Zhang, J.; He, W.; Hu, Y.; Zeng, R.; Zamanian, K.; Jia, K.; Zhao, X. Combination of Hyperspectral and Machine Learning to Invert Soil Electrical Conductivity. Remote Sens. 2022, 14, 20. [Google Scholar] [CrossRef]
- Zhang, Q.Q.; Li, L.; Sun, R.Z.; Zhu, D.H.; Zhang, C.; Chen, Q.Q. Retrieval of the Soil Salinity From Sentinel-1 Dual-Polarized SAR Data Based on Deep Neural Network Regression. IEEE Geosci. Remote Sens. Lett. 2022, 19, 5. [Google Scholar] [CrossRef]
- Zhao, W.J.; Zhou, C.; Zhou, C.Q.; Ma, H.; Wang, Z.J. Soil Salinity Inversion Model of Oasis in Arid Area Based on UAV Multispectral Remote Sensing. Remote Sens. 2022, 14, 13. [Google Scholar] [CrossRef]
- Ziane, A.; Douaoui, A.; Yahiaoui, I.; Pulido, M.; Larid, M.; Gulakhmadov, A.; Chen, X. Upgrading the Salinity Index Estimation and Mapping Quality of Soil Salinity Using Artificial Neural Networks in the Lower-Cheliff Plain of Algeria in North Africa Amelioration de l’estimation de l‘indice de salinite et de la qualite de la cartographie de la salinite des sols en utilisant les reseaux de neurones artificiels dans la plaine du Bas Cheliff au Nord de l’Algerie. Can. J. Remote Sens. 2022, 48, 182–196. [Google Scholar] [CrossRef]
- Calderón-Loor, M.; Hadjikakou, M.; Bryan, B.A. High-resolution wall-to-wall land-cover mapping and land change assessment for Australia from 1985 to 2015. Remote Sens. Environ. 2021, 252, 112148. [Google Scholar] [CrossRef]
- Li, A.; Song, K.; Chen, S.; Mu, Y.; Xu, Z.; Zeng, Q. Mapping African wetlands for 2020 using multiple spectral, geo-ecological features and Google Earth Engine. ISPRS J. Photogramm. Remote Sens. 2022, 193, 252–268. [Google Scholar] [CrossRef]
- Ivushkin, K.; Bartholomeus, H.; Bregt, A.K.; Pulatov, A.; Kempen, B.; de Sousa, L. Global mapping of soil salinity change. Remote Sens. Environ. 2019, 231, 12. [Google Scholar] [CrossRef]
- Qian, T.; Tsunekawa, A.; Masunaga, T.; Wang, T. Analysis of the Spatial Variation of Soil Salinity and Its Causal Factors in China’s Minqin Oasis. Math. Probl. Eng. 2017, 2017, 9745264. [Google Scholar] [CrossRef]
- Wang, X.; Chen, X.; Ding, Q.; Zhao, X.; Wang, X.; Ma, Z.; Lian, J. Vegetation and soil environmental factor characteristics, and their relationship at different desertification stages: A case study in the Minqin desert-oasis ecotone. Acta Ecol. Sin. 2018, 38, 1569–1580. [Google Scholar]
- Zhao, J.; Yang, J.; Zhu, G. Effect of ecological water conveyance on vegetation coverage in surrounding area of the qingtu lake. Arid Zone Res. 2018, 35, 1251–1261. [Google Scholar]
- Bondes, M.; Buainain, A.M.; Cheng, F.-T.; Eremina, N.; Gregoryev, L.M.; Janik, L.L.; McGuire, R. Climate Change, Sustainable Development, and Human Security: A Comparative Analysis; Lexington Books: Lanham, MD, USA, 2013. [Google Scholar]
- Attema, E.; Ulaby, F.T. Vegetation modeled as a water cloud. Radio Sci. 1978, 13, 357–364. [Google Scholar] [CrossRef]
- Wei, Q.Y.; Nurmemet, I.; Gao, M.H.; Xie, B.Q. Inversion of Soil Salinity Using Multisource Remote Sensing Data and Particle Swarm Machine Learning Models in Keriya Oasis, Northwestern China. Remote Sens. 2022, 14, 21. [Google Scholar] [CrossRef]
- Ma, C. Quantitative retrieval of soil salt content based on Sentinel-1 dual polarization radar image. Trans. Chin. Soc. Agric. Eng. 2018, 34, 153–158. [Google Scholar]
- Tripathi, N.; Rai, B.K.; Dwivedi, P. Spatial modeling of soil alkalinity in GIS environment using IRS data. In Proceedings of the 18th Asian Conference in Remote Sensing, ACRS, Kuala Lumpur, Malaysia, 20–24 October 1997. [Google Scholar]
- Khan, N.M.; Rastoskuev, V.V.; Sato, Y.; Shiozawa, S. Assessment of hydrosaline land degradation by using a simple approach of remote sensing indicators. Agric. Water Manag. 2005, 77, 96–109. [Google Scholar] [CrossRef]
- Douaoui, A.E.K.; Nicolas, H.; Walter, C. Detecting salinity hazards within a semiarid context by means of combining soil and remote-sensing data. Geoderma 2006, 134, 217–230. [Google Scholar] [CrossRef]
- Abbas, A.; Khan, S. Using remote sensing techniques for appraisal of irrigated soil salinity. In Proceedings of the International Congress on Modelling and Simulation (MODSIM), Christchurch, New Zealand, 10–13 December 2007. [Google Scholar]
- Taghizadeh-Mehrjardi, R.; Minasny, B.; Sarmadian, F.; Malone, B.P. Digital mapping of soil salinity in Ardakan region, central Iran. Geoderma 2014, 213, 15–28. [Google Scholar] [CrossRef]
- Scudiero, E.; Skaggs, T.H.; Corwin, D.L. Regional scale soil salinity evaluation using Landsat 7, western San Joaquin Valley, California, USA. Geoderma Reg. 2014, 2–3, 82–90. [Google Scholar] [CrossRef]
- Liu, H.Q.; Huete, A. A feedback based modification of the NDVI to minimize canopy background and atmospheric noise. IEEE Trans. Geosci. Remote Sens. 1995, 33, 457–465. [Google Scholar] [CrossRef]
- Huete, A.R. A soil-adjusted vegetation index (SAVI). Remote Sens. Environ. 1988, 25, 295–309. [Google Scholar] [CrossRef]
- Qi, J.; Chehbouni, A.; Huete, A.R.; Kerr, Y.H.; Sorooshian, S. A modified soil adjusted vegetation index. Remote Sens. Environ. 1994, 48, 119–126. [Google Scholar] [CrossRef]
- Alhammadi, M.; Glenn, E. Detecting date palm trees health and vegetation greenness change on the eastern coast of the United Arab Emirates using SAVI. Int. J. Remote Sens. 2008, 29, 1745–1765. [Google Scholar] [CrossRef]
- Major, D.; Baret, F.; Guyot, G. A ratio vegetation index adjusted for soil brightness. Int. J. Remote Sens. 1990, 11, 727–740. [Google Scholar] [CrossRef]
- Wu, W.; Mhaimeed, A.S.; Al-Shafie, W.M.; Ziadat, F.; Dhehibi, B.; Nangia, V.; De Pauw, E. Mapping soil salinity changes using remote sensing in Central Iraq. Geoderma Reg. 2014, 2–3, 21–31. [Google Scholar] [CrossRef]
- Kwarteng, P.; Chavez, A. Extracting spectral contrast in Landsat Thematic Mapper image data using selective principal component analysis. Photogramm. Eng. Remote Sens. 1989, 55, 339–348. [Google Scholar]
- Crist, E.P.; Cicone, R.C. A physically-based transformation of Thematic Mapper data—The TM Tasseled Cap. IEEE Trans. Geosci. Remote Sens. 1984, GE-22, 256–263. [Google Scholar] [CrossRef]
- Ren, J.; Xie, R.; Zhu, H.; Zhao, Y.; Zhang, Z. Comparative study on the abilities of different crack parameters to estimate the salinity of soda saline-alkali soil in Songnen Plain, China. Catena 2022, 213, 106221. [Google Scholar] [CrossRef]
- Zhao, Y.; Zhang, Z.; Zhu, H.; Ren, J. Quantitative Response of Gray-Level Co-Occurrence Matrix Texture Features to the Salinity of Cracked Soda Saline–Alkali Soil. Int. J. Environ. Res. Public Health 2022, 19, 6556. [Google Scholar] [CrossRef] [PubMed]
- Vermeulen, D.; Van Niekerk, A. Machine learning performance for predicting soil salinity using different combinations of geomorphometric covariates. Geoderma 2017, 299, 1–12. [Google Scholar] [CrossRef]
- Naimi, S.; Ayoubi, S.; Zeraatpisheh, M.; Dematte, J.A.M. Ground observations and environmental covariates integration for mapping of soil salinity: A machine learning-based approach. Remote Sens. 2021, 13, 4825. [Google Scholar] [CrossRef]
- Wang, F.; Shi, Z.; Biswas, A.; Yang, S.T.; Ding, J.L. Multi-algorithm comparison for predicting soil salinity. Geoderma 2020, 365, 18. [Google Scholar] [CrossRef]
- Xu, H.; Chen, C.; Zheng, H.; Luo, G.; Yang, L.; Wang, W.; Wu, S.; Ding, J. AGA-SVR-based selection of feature subsets and optimization of parameter in regional soil salinization monitoring. Int. J. Remote Sens. 2020, 41, 4470–4495. [Google Scholar] [CrossRef]
- Tutmez, B. Identifying electrical conductivity in topsoil by interpretable machine learning. Model. Earth Syst. Environ. 2023, 10, 1869–1881. [Google Scholar] [CrossRef]
- Mohamed, S.A.; Metwaly, M.M.; Metwalli, M.R.; AbdelRahman, M.A.E.; Badreldin, N. Integrating Active and Passive Remote Sensing Data for Mapping Soil Salinity Using Machine Learning and Feature Selection Approaches in Arid Regions. Remote Sens. 2023, 15, 1751. [Google Scholar] [CrossRef]
- Jin, X.; Xu, X.; Song, X.; Li, Z.; Wang, J.; Guo, W. Estimation of leaf water content in winter wheat using grey relational analysis–partial least squares modeling with hyperspectral data. Agron. J. 2013, 105, 1385–1392. [Google Scholar] [CrossRef]
- Kuo, Y.; Yang, T.; Huang, G.-W. The use of grey relational analysis in solving multiple attribute decision-making problems. Comput. Ind. Eng. 2008, 55, 80–93. [Google Scholar] [CrossRef]
- Das, B.; Manohara, K.K.; Mahajan, G.R.; Sahoo, R.N. Spectroscopy based novel spectral indices, PCA- and PLSR-coupled machine learning models for salinity stress phenotyping of rice. Spectrochim. Acta Part A Mol. Biomol. Spectrosc. 2020, 229, 13. [Google Scholar] [CrossRef]
- Yu, H.; Liu, M.Y.; Du, B.J.; Wang, Z.M.; Hu, L.J.; Zhang, B. Mapping Soil Salinity/Sodicity by using Landsat OLI Imagery and PLSR Algorithm over Semiarid West Jilin Province, China. Sensors 2018, 18, 17. [Google Scholar] [CrossRef] [PubMed]
- Breiman, L. Random forests. Mach. Learn. 2001, 45, 5–32. [Google Scholar] [CrossRef]
- Zhu, C.M.; Ding, J.L.; Zhang, Z.P.; Wang, Z. Exploring the potential of UAV hyperspectral image for estimating soil salinity: Effects of optimal band combination algorithm and random forest. Spectrochim. Acta Part A Mol. Biomol. Spectrosc. 2022, 279, 8. [Google Scholar] [CrossRef] [PubMed]
- Chang, C.-W.; Laird, D.A.; Mausbach, M.J.; Hurburgh, C.R. Near-infrared reflectance spectroscopy–principal components regression analyses of soil properties. Soil Sci. Soc. Am. J. 2001, 65, 480–490. [Google Scholar] [CrossRef]
- Richards, L.A. Diagnosis and Improvement of Saline and Alkali Soils; US Government Printing Office: Washington, DC, USA, 1954. [Google Scholar]
- Wei, G.; Li, Y.; Zhang, Z.; Chen, Y.; Chen, J.; Yao, Z.; Lao, C.; Chen, H. Estimation of soil salt content by combining UAV-borne multispectral sensor and machine learning algorithms. Peerj 2020, 8, 24. [Google Scholar] [CrossRef] [PubMed]
- Liu, Y.; Zhong, Y.; Hu, C.; Xiao, M.; Ding, F.; Yu, Y.; Yao, H.; Zhu, Z.; Chen, J.; Ge, T.; et al. Distribution of microplastics in soil aggregates after film mulching. Soil Ecol. Lett. 2023, 5, 230171. [Google Scholar] [CrossRef]
- Xu, Z.; Hu, C.; Wang, X.; Wang, L.; Xing, J.; He, X.; Wang, Z.; Zhao, P. Distribution characteristics of plastic film residue in long-term mulched farmland soil. Soil Ecol. Lett. 2022, 5, 220144. [Google Scholar] [CrossRef]
- Han, L.; Liu, D.; Cheng, G.; Zhang, G.; Wang, L. Spatial distribution and genesis of salt on the saline playa at Qehan Lake, Inner Mongolia, China. Catena 2019, 177, 22–30. [Google Scholar] [CrossRef]
- Lobell, D.B.; Asner, G.P. Moisture effects on soil reflectance. Soil Sci. Soc. Am. J. 2002, 66, 722–727. [Google Scholar] [CrossRef]
- Fang, S.; Yu, W.; Qi, Y. Spectra and vegetation index variations in moss soil crust in different seasons, and in wet and dry conditions. Int. J. Appl. Earth Obs. Geoinf. 2015, 38, 261–266. [Google Scholar] [CrossRef]
- Abou Samra, R.M.; Ali, R. The development of an overlay model to predict soil salinity risks by using remote sensing and GIS techniques: A case study in soils around Idku Lake, Egypt. Environ. Monit. Assess. 2018, 190, 706. [Google Scholar] [CrossRef] [PubMed]
- Scudiero, E.; Skaggs, T.H.; Corwin, D.L. Regional-scale soil salinity assessment using Landsat ETM+ canopy reflectance. Remote Sens. Environ. 2015, 169, 335–343. [Google Scholar] [CrossRef]
- Ngabire, M.; Wang, T.; Xue, X.; Liao, J.; Sahbeni, G.; Huang, C.; Duan, H.; Song, X. Soil salinization mapping across different sandy land-cover types in the Shiyang River Basin: A remote sensing and multiple linear regression approach. Remote Sens. Appl. Soc. Environ. 2022, 28, 100847. [Google Scholar] [CrossRef]
- Yang, J.; Zhao, J.; Zhu, G.; Wang, Y.; Ma, X.; Wang, J.; Guo, H.; Zhang, Y. Soil salinization in the oasis areas of downstream inland rivers —Case Study: Minqin oasis. Quat. Int. 2020, 537, 69–78. [Google Scholar] [CrossRef]









| Index | Formula | References | |
|---|---|---|---|
| Salinity Index | Salinity Index (SI-T) | [39] | |
| Brightness Index (BI) | [39] | ||
| Salinity Index (SI) | [40] | ||
| Salinity Index 1 (SI1) | [40] | ||
| Salinity Index 2 (SI2) | [41] | ||
| Salinity Index 3 (SI3) | [41] | ||
| Salinity Index (S1) | B/R | [41] | |
| Salinity Index (S2) | (B − R)/(B + R) | [42] | |
| Salinity Index (S3) | (GR)/B | [42] | |
| Salinity Index (S5) | (BR)/G | [42] | |
| Salinity Index (S6) | (RNIR)/G | [42] | |
| Normalized Difference Salinity Index (NDSI) | (R − NIR)/(R + NIR) | [40] | |
| Vegetation Index | Normalized Difference Vegetation Index (NDVI) | (NIR − R)/(NIR + R) | [43] |
| Canopy Response Salinity Index (CRSI) | [44] | ||
| Enhanced Vegetation Index (EVI) | [45] | ||
| Difference Vegetation Index (DVI) | [43] | ||
| Soil Adjusted Vegetation Index (SAVI) | [46] | ||
| Modified Soil Adjusted Vegetation Index (MSAVI) | )/2 | [47] | |
| Salinity Remote Sensing Index (SRSI) | [48] | ||
| Ratio Vegetation Index (RVI) | [49] | ||
| Generalized Difference Vegetation Index (GDVI) | [50] | ||
| Spectral Transformation | Principal Component Analysis (PCA) | PC1, PC2, PC3 | [51] |
| Tasseled Cap (TC) | TC1, TC2, TC3 | [52] | |
| Sentinel-2 MSI Bands | B4, B3, B2, B8 | ||
| Red-edge Spectral Index | Red-edge Salinity Index S1 (RES1) | B/ | [19] |
| Red-edge Salinity Index S2 (RES2) | (B − )/(B + ) | [19] | |
| Red-edge Salinity Index S3 (RES3) | (G)/B | [19] | |
| Red-edge Salinity Index S5 (RES5) | (B)/G | [19] | |
| Red-edge Salinity Index S6 (RES6) | (RedEdgeNIR)/G | [19] | |
| Red-edge Salinity Index SI (RESI) | [19] | ||
| Red-edge Salinity Index S1 (RESI1) | [19] | ||
| Red-edge Salinity Index SI2 (RESI2) | [19] | ||
| Red-edge Salinity Index SI3 (RESI3) | [19] |
| Feature Name | Formula | Clarification |
|---|---|---|
| Contrast (CON) | Describes the clarity of the remotely sensed image and how it produces changes in a small area. | |
| Dissimilarity (DIS) | Describes the localized contrast of a remotely sensed image. | |
| Entropy (ENT) | Indicators of texture feature clutter in remotely sensed images. | |
| Angular Second Moment (ASM) | Homogeneity and consistency of grayscale distribution of remotely sensed images. | |
| Correlation (COR) | Describes the directionality of linear targets in remotely sensed images. |
| Algorithms | Parameters | Number of Features |
|---|---|---|
| GRA-PLSR | n_components = 3 | 10 |
| Elastic-PLSR | n_components = 8 | 10 |
| RFE-PLSR | n_components = 2 | 11 |
| GRA-RF | n_estimators = 27, max_depth = 4,min_samples_split = 10, | 10 |
| Elastic-RF | min_samples_leaf = 1, max_features = 3 | 10 |
| RFE-RF | n_estimators = 10, max_depth = 6,min_samples_split = 3, | 11 |
| Model | Calibration Set | Validation Set | |||
|---|---|---|---|---|---|
| R2 | m−1) | R2 | m−1) | RPD | |
| GRA-PLSR | 0.29 | 3.41 | 0.16 | 2.49 | 1.09 |
| Elastic-PLSR | 0.3 | 3.38 | 0.31 | 2.24 | 1.21 |
| RFE-PLSR | 0.28 | 3.43 | 0.29 | 2.28 | 1.19 |
| GRA-RF | 0.72 | 2.12 | 0.42 | 2.06 | 1.31 |
| Elastic-RF | 0.83 | 1.66 | 0.62 | 1.66 | 1.63 |
| RFE-RF | 0.62 | 2.49 | 0.72 | 1.47 | 1.84 |
Disclaimer/Publisher’s Note: The statements, opinions and data contained in all publications are solely those of the individual author(s) and contributor(s) and not of MDPI and/or the editor(s). MDPI and/or the editor(s) disclaim responsibility for any injury to people or property resulting from any ideas, methods, instructions or products referred to in the content. |
© 2024 by the authors. Licensee MDPI, Basel, Switzerland. This article is an open access article distributed under the terms and conditions of the Creative Commons Attribution (CC BY) license (https://creativecommons.org/licenses/by/4.0/).
Share and Cite
Zhang, S.; Zhao, J.; Yang, J.; Xie, J.; Sun, Z. Feature Selection and Regression Models for Multisource Data-Based Soil Salinity Prediction: A Case Study of Minqin Oasis in Arid China. Land 2024, 13, 877. https://doi.org/10.3390/land13060877
Zhang S, Zhao J, Yang J, Xie J, Sun Z. Feature Selection and Regression Models for Multisource Data-Based Soil Salinity Prediction: A Case Study of Minqin Oasis in Arid China. Land. 2024; 13(6):877. https://doi.org/10.3390/land13060877
Chicago/Turabian StyleZhang, Sheshu, Jun Zhao, Jianxia Yang, Jinfeng Xie, and Ziyun Sun. 2024. "Feature Selection and Regression Models for Multisource Data-Based Soil Salinity Prediction: A Case Study of Minqin Oasis in Arid China" Land 13, no. 6: 877. https://doi.org/10.3390/land13060877
APA StyleZhang, S., Zhao, J., Yang, J., Xie, J., & Sun, Z. (2024). Feature Selection and Regression Models for Multisource Data-Based Soil Salinity Prediction: A Case Study of Minqin Oasis in Arid China. Land, 13(6), 877. https://doi.org/10.3390/land13060877
