Enhancing Urban Land Use Identification Using Urban Morphology
Abstract
1. Introduction
2. Related Literature
3. Methodology
3.1. Basic Idea
3.2. Preliminary Land Use Type Identification Based on POI Data
3.3. Improvement of the Preliminary Identification Based on the Urban Spatial Morphology
3.3.1. Identification Results Improvement with Vertical Morphological Feature
3.3.2. Identification Results Improvement with Horizontal Morphological Feature
3.4. Verification Method
4. Case Study
4.1. Study Area
4.2. Data Sources
- (1)
- The POI data were collected from Amap (https://lbs.amap.com/, accessed on 1 December 2020), covering 62 types of institutions, such as government agencies, businesses, schools, shopping centers, and hospitals.
- (2)
- Road network data were obtained from OSM (https://www.openstreetmap.org, accessed on 7 December 2020), which were used for segmentation of identification units. The data include road level attributes, such as urban highways, main roads, and secondary roads. These data were used for hierarchical buffering analysis to obtain identification units.
- (3)
- The urban impervious surface data were obtained from the ESRI official website (https://livingatlas.arcgis.com, accessed on 25 June 2023), specifically the 2021 land use cover data for the study area.
- (4)
- The urban building footprints data were also obtained from Amap. They contained 2,129,478 building footprints within the study area.
- (5)
- The urban height data were sourced from a model developed by Wu et al. [61]. This model utilizes all-weather satellite observation data and considers factors such as shadows to estimate building heights. A random forest model was used to establish and optimize the estimation model, resulting in the calculation of building height grid data for the year 2020. Results show that building height simulation has a strong correlation with real observations at the national scale (RMSE of 6.1 m, MAE = 5.2 m, R = 0.77).
4.3. Land Use Identification
4.3.1. Experimentation and Parameter Setting
4.3.2. Land Use Identification Results
4.3.3. Results’ Validation and Comparisons
4.3.4. Situ Validation
- (1)
- Huaqiangbei Commercial District in Shenzhen Case Study
- (2)
- Tianhe Road Commercial District in Guangzhou Case Study
- (3)
- Xiawan Neighborhood in Zhuhai Case Study
5. Discussion
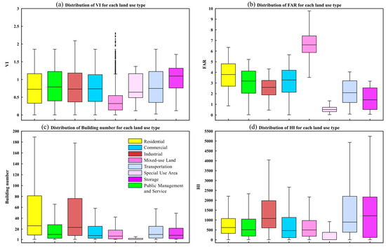
5.1. Distribution and Sensitivity of the Urban Morphological Factors
5.1.1. The Impact of VI on the Identification Results
5.1.2. The Impact of Building Number and HI on the Identification Results
5.2. Model Performance Changes in Central and Marginal Cities of Urban Agglomerations
6. Conclusions
Author Contributions
Funding
Data Availability Statement
Acknowledgments
Conflicts of Interest
References
- Jin, R.; Huang, C.; Wang, P.; Ma, J.; Wan, Y. Identification of inefficient urban land for urban regeneration considering land use differentiation. Land 2023, 12, 1957. [Google Scholar] [CrossRef]
- Liu, Y.; Zhu, A.; Wang, J.; Li, W.; Hu, G.; Hu, Y. Land-use decision support in brownfield redevelopment for urban renewal based on crowdsourced data and a presence-and-background learning (pbl) method. Land Use Policy 2019, 88, 104188. [Google Scholar] [CrossRef]
- Wang, R.; Wang, M. Multi-scale analysis of surface thermal environment in relation to urban form: A case study of the guangdong-hong kong-macao greater bay area. Sustain. Cities Soc. 2023, 99, 104953. [Google Scholar] [CrossRef]
- Zheng, S.; Chen, X.; Liu, Y. Impact of urban renewal on urban heat island: Study of renewal processes and thermal effects. Sustain. Cities Soc. 2023, 99, 104995. [Google Scholar] [CrossRef]
- Qiao, W.; Hu, B.; Guo, Z.; Huang, X. Evaluating the sustainability of land use integrating sdgs and its driving factors: A case study of the yangtze river delta urban agglomeration, china. Cities 2023, 143, 104569. [Google Scholar] [CrossRef]
- Zhgu, Y.; Wu, Z.; Xu, H.; Yan, D.; Jiang, M.; Zhang, X.; Wang, H. Adaptive selection and optimal combination scheme of candidate models for real-time integrated prediction of urban flood. J. Hydrol. 2023, 626, 130152. [Google Scholar] [CrossRef]
- Lang, W.; Long, Y.; Chen, T. Rediscovering Chinese cities through the lens of land-use patterns. Land Use Policy 2018, 79, 362–374. [Google Scholar] [CrossRef]
- Malczewski, J. Gis-based land-use suitability analysis: A critical overview. Prog. Plan. 2004, 62, 3–65. [Google Scholar] [CrossRef]
- He, W.; Yang, J.; Li, X.; Sang, X.; Xie, X. Research on the interactive relationship and the optimal adaptation degree between land use benefit and industrial structure evolution: A practical analysis of jiangsu province. J. Clean. Prod. 2021, 303, 127016. [Google Scholar] [CrossRef]
- Jiang, R.; Lin, G.C.S. Placing China’s land marketization: The state, market, and the changing geography of land use in chinese cities. Land Use Policy 2021, 103, 105293. [Google Scholar] [CrossRef]
- Zhao, L.; Liu, X.; Xu, X.; Liu, C.; Chen, K. Three-Dimensional Simulation Model for Synergistically Simulating Urban Horizontal Expansion and Vertical Growth. Remote Sens. 2022, 14, 1503. [Google Scholar] [CrossRef]
- Yu, X.; Zhang, L.; Wang, J.; Yang, J.; Zhu, H. Analysis on the sharing of the data of the geographical conditions census and the third national land survey. Sci. Surv. Mapp. 2021, 46, 150–155, 173. [Google Scholar]
- Chen, X.; Yu, L.; Du, Z.; Liu, Z.; Qi, Y.; Liu, T.; Gong, P. Toward sustainable land use in china: A perspective on China’s national land surveys. Land Use Policy 2022, 123, 106428. [Google Scholar] [CrossRef]
- Yang, S. A study on Population Distributing and Function Area in Shanghai. Master’s Thesis, Capital University of Economics and Business, Beijing, China, 2007. [Google Scholar]
- Southall, H.; Baily, B.; Aucott, P. 1930s Land Utilisation Mapping: An Improved Evidence-Base for Policy? 2007. Available online: https://researchportal.port.ac.uk/en/publications/1930s-land-utilisation-mapping-an-improved-evidence-base-for-poli (accessed on 5 January 2024).
- Anderson, J.R. A Land Use and Land Cover Classification System for Use with Remote Sensor Data; US Government Printing Office: Washington, DC, USA, 1976.
- Vogelmann, J.E.; Howard, S.M.; Yang, L.; Larson, C.R.; Wylie, B.K.; Van Driel, N. Completion of the 1990s national land cover data set for the conterminous united states from landsat thematic mapper data and ancillary data sources. Photogramm. Eng. Remote Sens. 2001, 67, 650–655, 657–659, 661–662. [Google Scholar]
- Sun, Y.; Yang, Z.; Yu, X.; Ding, W. Evaluating sustainable development of land resources in the yangtze river economic belt of china. J. Glob. Inf. Manag. (JGIM) 2022, 30, 23. [Google Scholar] [CrossRef]
- Martí, P.; Serrano-Estrada, L.; Nolasco-Cirugeda, A. Social media data: Challenges, opportunities and limitations in urban studies. Comput. Environ. Urban Syst. 2019, 74, 161–174. [Google Scholar] [CrossRef]
- Yammine, S.Z.; Liu, C.; Jarreau, P.B.; Coe, I.R. Social media for social change in science. Science 2018, 360, 162–163. [Google Scholar] [CrossRef] [PubMed]
- Hu, S.; Wang, L. Automated urban land-use classification with remote sensing. Int. J. Remote Sens. 2012, 34, 790–803. [Google Scholar] [CrossRef]
- Mialhe, F.; Gunnell, Y.; Ignacio, J.A.F.; Delbart, N.; Ogania, J.L.; Henry, S. Monitoring land-use change by combining participatory land-use maps with standard remote sensing techniques: Showcase from a remote forest catchment on mindanao, philippines. Int. J. Appl. Earth Obs. Geoinf. 2015, 36, 69–82. [Google Scholar] [CrossRef]
- Li, J.; Atli Benediktsson, J.; Zhang, B.; Yang, T.; Plaza, A. Spatial technology and social media in remote sensing: Challenges and opportunities. Proc. IEEE 2017, 105, 1583–1585. [Google Scholar] [CrossRef]
- Zhu, Z.; Zhou, Y.; Seto, K.C.; Stokes, E.C.; Deng, C.; Pickett, S.T.A.; Taubenboeck, H. Understanding an urbanizing planet: Strategic directions for remote sensing. Remote Sens. Environ. 2019, 228, 164–182. [Google Scholar] [CrossRef]
- Okujeni, A.; Canters, F.; Cooper, S.D.; Degerickx, J.; Heiden, U.; Hostert, P.; Priem, F.; Roberts, D.A.; Somers, B.; van der Linden, S. Generalizing machine learning regression models using multi-site spectral libraries for mapping vegetation-impervious-soil fractions across multiple cities. Remote Sens. Environ. 2018, 216, 482–496. [Google Scholar] [CrossRef]
- Weng, Q.; Hu, X.; Liu, H. Estimating impervious surfaces using linear spectral mixture analysis with multitemporal aster images. Int. J. Remote Sens. 2009, 30, 4807–4830. [Google Scholar] [CrossRef]
- Tang, X.; Sheng, L.; Zhou, Y. Exploring complex urban growth and land use efficiency in china’s developed regions: Implications for territorial spatial planning. Front. Earth Sci. 2022, 16, 1040–1051. [Google Scholar] [CrossRef]
- Goodchild, M.F.; Glennon, J.A. Crowdsourcing geographic information for disaster response: A research frontier. Int. J. Digit. Earth 2010, 3, 231–241. [Google Scholar] [CrossRef]
- Li, S.; Dragicevic, S.; Castro, F.A.; Sester, M.; Winter, S.; Çöltekin, A.; Pettit, C.; Jiang, B.; Haworth, J.; Stein, A.; et al. Geospatial big data handling theory and methods: A review and research challenges. ISPRS J. Photogramm. Remote Sens. 2016, 115, 119–133. [Google Scholar] [CrossRef]
- Wu, L.; Cheng, X.; Kang, C.; Zhu, D.; Huang, Z.; Liu, Y. A framework for mixed-use decomposition based on temporal activity signatures extracted from big geo-data. Int. J. Digit. Earth 2020, 13, 708–726. [Google Scholar] [CrossRef]
- Xu, S.; Qing, L.; Han, L.; Liu, M.; Peng, Y.; Shen, L. A new remote sensing images and point-of-interest fused (rpf) model for sensing urban functional regions. Remote Sens. 2020, 12, 1032. [Google Scholar] [CrossRef]
- Zhang, X.; Du, S.; Zheng, Z. Heuristic sample learning for complex urban scenes: Application to urban functional-zone mapping with vhr images and poi data. ISPRS J. Photogramm. Remote Sens. 2020, 161, 1–12. [Google Scholar] [CrossRef]
- Liu, X.; Long, Y. Automated identification and characterization of parcels with openstreetmap and points of interest. Environ. Plan. B Plan. Des. 2016, 43, 341–360. [Google Scholar] [CrossRef]
- Zhao, X.; Xia, N.; Li, M.; Xu, Y. Mapping urban land type with multi-source geospatial big data: A case study of Shenzhen, China. J. Maps 2023, 19, 2273833. [Google Scholar] [CrossRef]
- Psyllidis, A.; Gao, S.; Hu, Y.; Kim, E.-K.; McKenzie, G.; Purves, R.; Yuan, M.; Andris, C. Points of interest (poi): A commentary on the state of the art, challenges, and prospects for the future. Comput. Urban Sci. 2022, 2, 20. [Google Scholar] [CrossRef] [PubMed]
- Yeow, L.W.; Low, R.; Tan, Y.X.; Cheah, L. Point-of-interest (poi) data validation methods: An urban case study. ISPRS Int. J. Geo-Inf. 2021, 10, 735. [Google Scholar] [CrossRef]
- Bishop, A.; Victoria, F.; Trisalyn, N.; Karen, L. Crowdsourcing the Pedestrian Experience: Who’s Represented in the Data. Spatial Knowledge and Information Canada. 2023. Available online: https://osf.io/n6du5/ (accessed on 15 March 2023).
- Zhang, G.; Zhu, A. The representativeness and spatial bias of volunteered geographic information: A review. Ann. GIS 2018, 24, 151–162. [Google Scholar] [CrossRef]
- Zhang, X.; Du, S.; Zhou, Y.; Xu, Y. Extracting physical urban areas of 81 major Chinese cities from high-resolution land uses. Cities 2022, 131, 104061. [Google Scholar] [CrossRef]
- Liu, X.; He, J.; Yao, Y.; Zhang, J.; Hong, Y. Classifying urban land use by integrating remote sensing and social media data. Int. J. Geogr. Inf. Sci. 2017, 31, 1675–1696. [Google Scholar] [CrossRef]
- Gong, P.; Chen, B.; Li, X.; Liu, H.; Wang, J.; Bai, Y.; Chen, J.; Chen, X.; Fang, L.; Feng, S.; et al. Mapping essential urban land use categories in China (EULUC-China): Preliminary results for 2018. Sci. Bull. 2020, 65, 182–187. [Google Scholar] [CrossRef] [PubMed]
- Chen, B.; Tu, Y.; Song, Y.; Theobald, D.M.; Zhang, T.; Ren, Z.; Li, X.; Yang, J.; Wang, J.; Wang, X.; et al. Mapping essential urban land use categories with open big data: Results for five metropolitan areas in the united states of america. Isprs J. Photogramm. Remote Sens. 2021, 178, 203–218. [Google Scholar] [CrossRef]
- Wang, J.; Fleischmann, M.; Venerandi, A.; Romice, O.; Kuffer, M.; Porta, S. Eo + morphometrics: Understanding cities through urban morphology at large scale. Landsc. Urban Plan. 2023, 233, 104691. [Google Scholar] [CrossRef]
- Zhang, P.; Ghosh, D.; Park, S. Spatial measures and methods in sustainable urban morphology: A systematic review. Landsc. Urban Plan. 2023, 237, 104776. [Google Scholar] [CrossRef]
- Zhao, X.; Xia, N.; Li, M. 3-D multi-aspect mix degree index: A method for measuring land use mix at street block level. Comput. Environ. Urban Syst. 2023, 104, 102005. [Google Scholar] [CrossRef]
- He, J.; Zhang, J.; Yao, Y.; Li, X. Extracting human perceptions from street view images for better assessing urban renewal potential. Cities 2023, 134, 104189. [Google Scholar] [CrossRef]
- Qiao, W.; Gao, J.; Guo, Y.; Ji, Q.; Wu, J.; Cao, M. Multi-dimensional expansion of urban space through the lens of land use: The case study of nanjing city, china. J. Geogr. Sci. 2019, 29, 749–761. [Google Scholar] [CrossRef]
- Badwi, I.M.; Ellaithy, H.M.; Youssef, H.E. 3d-gis parametric modelling for virtual urban simulation using cityengine. Ann. GIS 2022, 28, 325–341. [Google Scholar] [CrossRef]
- He, J.; Liu, P.; Li, X. Modeling multi-type urban landscape dynamics along the horizontal and vertical dimensions. Landsc. Urban Plan. 2023, 233, 104683. [Google Scholar] [CrossRef]
- Anugraha, A.; Chu, H.; Ali, M. Social sensing for urban land use identification. Isprs Int. J. Geo-Inf. 2020, 9, 550. [Google Scholar] [CrossRef]
- Zhan, X.; Ukkusuri, S.V.; Zhu, F. Inferring urban land use using large-scale social media check-in data. Netw. Spat. Econ. 2014, 14, 647–667. [Google Scholar] [CrossRef]
- Cai, Z.; Demuzere, M.; Tang, Y.; Wan, Y. The characteristic and transformation of 3d urban morphology in three chinese mega-cities. Cities 2022, 131, 103988. [Google Scholar] [CrossRef]
- Liu, S.; Chen, Y. A three-Dimensional Box-Counting Method to Study the Fractal Characteristics of Urban Areas in Shenyang, Northeast China. Buildings 2022. Buildings 2022, 12, 299. [Google Scholar] [CrossRef]
- Niu, N.; Jin, H. Integrating multiple data to identify building functions in China’s urban villages. Environ. Plan. B Urban Anal. City Sci. 2020, 48, 1527–1542. [Google Scholar] [CrossRef]
- Zhang, Z.; Tang, W. Mixed landform with high-rise buildings: A spatial analysis integrating horizon-vertical dimension in natural-human urban systems. Land Use Policy 2023, 132, 106806. [Google Scholar] [CrossRef]
- Gao, X.P.; Li, T.S. Identification and optimization of Xi’an urban land use function based on poi data. In Proceedings of the 2020/2021 China Urban Planning Annual Conference and 2021 China Urban Planning Academic Season, Chengdu, China, 25 September 2021. [Google Scholar]
- China MOHURD. Code for Classification of Urban Land Use And Planning Standards of Development Land. 2012. Available online: https://www.planning.org.cn/law/uploads/2013/1383993139.pdf (accessed on 5 January 2024).
- Pontius, R.G.; Santacruz, A. Quantity, exchange, and shift components of difference in a square contingency table. Int. J. Remote Sens. 2014, 35, 7543–7554. [Google Scholar] [CrossRef]
- Pontius, R.G. Component intensities to relate difference by category with difference overall. Int. J. Appl. Earth Obs. Geoinf. 2019, 77, 94–99. [Google Scholar] [CrossRef]
- Pontius, R.G. Death to kappa: Birth of quantity disagreement and allocation disagreement for accuracy assessment. Int. J. Remote Sens. 2011, 32, 4407–4429. [Google Scholar] [CrossRef]
- Wu, W. Cnbh-10 m: A first chinese building height at 10 m resolution doi: Data set. Remote Sens. Environ. 2023, 291, 113578. [Google Scholar] [CrossRef]
- China MOHURD. The Ministry of Housing and Urban-Rural Development Has Issued the National Standards Announcement of the General Code for Civil Buildings. 2022. Available online: https://www.mohurd.gov.cn/gongkai/zhengce/zhengcefilelib/202208/20220824_767703.html (accessed on 5 January 2024).




















| Classification of Land Use | Type of POI | Reference Land Area (ha) |
|---|---|---|
| Public Management and Service | Government Agency | 0.8 |
| Social Group | 0.1 | |
| Library and Exhibition Facility | 0.2 | |
| Cultural Activity | 1 | |
| Higher Education Institution; Secondary School; Primary School | 10; 3; 2 | |
| Research Institution | 0.2 | |
| Public Gymnasium; Sports Ground | 1; 0.1 | |
| General Hospital; Specialty Hospital; Clinics and Pharmacy | 6; 2; 0.1 | |
| Nursing Home; Welfare Home | 1 | |
| Commercial Services | Catering Industry | 0.02 |
| Large shopping mall; Supermarket; Convenience store | 5; 0.3; 0.01 | |
| Accommodation | 0.2 | |
| Financial Insurance; Company | 0.2 | |
| Cinema; Amusement Facility | 0.1 | |
| Driving School; Training Institution | 0.1 | |
| Industrial | Industrial Park | 10 |
| Factory | 1 | |
| Residential | Residential quarter | 10 |
| Transportation | Train Station | 50 |
| Bus Station | 0.1 | |
| Special Use Area | Religious temples and tourist attractions | 1 |
| Type | LUC without Urban Morphology | UMH–LUC | EULUC-China |
|---|---|---|---|
| OA | 69.81 | 81.70 | 62.70 |
| Kappa | 66.58 | 77.56 | 62.49 |
| LUC without Urban Morphology | HI (Mean) |
|---|---|
| Storage | 3677.087 |
| Industrial | 1679.969 |
| Public Management and Service | 942.052 |
| Mix-use Land | 875.489 |
| Transportation | 1515.146 |
| Residential | 739.408 |
| Commercial | 1136.99 |
| Special Use Area | 502.06 |
| Type | UMH–LUC | LUC without Urban Morphology | EULUC-China |
|---|---|---|---|
| Central City | 84.15% | 73.33% | 68.97% |
| Secondary City | 76.92% | 70.00% | 56.52% |
| Marginal City | 70.73% | 62.50% | 47.37% |
Disclaimer/Publisher’s Note: The statements, opinions and data contained in all publications are solely those of the individual author(s) and contributor(s) and not of MDPI and/or the editor(s). MDPI and/or the editor(s) disclaim responsibility for any injury to people or property resulting from any ideas, methods, instructions or products referred to in the content. |
© 2024 by the authors. Licensee MDPI, Basel, Switzerland. This article is an open access article distributed under the terms and conditions of the Creative Commons Attribution (CC BY) license (https://creativecommons.org/licenses/by/4.0/).
Share and Cite
Lin, C.; Li, G.; Zhou, Z.; Li, J.; Wang, H.; Liu, Y. Enhancing Urban Land Use Identification Using Urban Morphology. Land 2024, 13, 761. https://doi.org/10.3390/land13060761
Lin C, Li G, Zhou Z, Li J, Wang H, Liu Y. Enhancing Urban Land Use Identification Using Urban Morphology. Land. 2024; 13(6):761. https://doi.org/10.3390/land13060761
Chicago/Turabian StyleLin, Chuan, Guang Li, Zegen Zhou, Jia Li, Hongmei Wang, and Yilun Liu. 2024. "Enhancing Urban Land Use Identification Using Urban Morphology" Land 13, no. 6: 761. https://doi.org/10.3390/land13060761
APA StyleLin, C., Li, G., Zhou, Z., Li, J., Wang, H., & Liu, Y. (2024). Enhancing Urban Land Use Identification Using Urban Morphology. Land, 13(6), 761. https://doi.org/10.3390/land13060761

