Next Article in Journal
Digital Footprint as a Public Participatory Tool: Identifying and Assessing Industrial Heritage Landscape through User-Generated Content on Social Media
Next Article in Special Issue
Carbon Emissions and Intensity of Land Use: A Rural Setting Analysis in Ningde City, China
Previous Article in Journal
NGO-Led Community-Based Conservation: A New Frontier of Territorialization with Implications for Pastoralists’ Land Tenure and Climate Change Adaptation
Previous Article in Special Issue
An Integrating Framework for Biomass and Carbon Stock Spatialization and Dynamics Assessment Using Unmanned Aerial Vehicle LiDAR (LiDAR UAV) Data, Landsat Imagery, and Forest Survey Data in the Mediterranean Cork Oak Forest of Maamora
 
 
Font Type:
Arial Georgia Verdana
Font Size:
Aa Aa Aa
Line Spacing:
Column Width:
Background:
Article

Distribution Characteristics and Main Influencing Factors of Organic Carbon in Sediments of Spartina Alterniflora Wetlands along the Northern Jiangsu Coast, China

1
School of Marine Science and Engineering, Nanjing Normal University, Nanjing 210023, China
2
Jiangsu Center for Collaborative Innovation in Geographical Information Resource Development and Application, Nanjing 210023, China
3
School of Geography, Nanjing Normal University, Nanjing 210023, China
*
Author to whom correspondence should be addressed.
Land 2024, 13(6), 741; https://doi.org/10.3390/land13060741
Submission received: 9 April 2024 / Revised: 19 May 2024 / Accepted: 23 May 2024 / Published: 25 May 2024
(This article belongs to the Special Issue Land Use Sustainability from the Viewpoint of Carbon Emission)

Abstract

In this study, columnar sediment samples were collected from north to south along the northern Jiangsu coast, China, under Spartina alterniflora vegetation in four sample areas: Chuandong Port (Area-1), Tiaozini Scenic Area (Area-2), Yangkou Town (Area-3), and Meiledi Marine Park (Area-4). Organic carbon (OC), nutrient elements including total nitrogen (TN), total phosphorus (TP), and total sulfur (TS), and physicochemical properties including pH, salinity (Sal), moisture content (MC), and bulk density (BD) were measured. Pearson’s correlation analysis was performed to explore the correlation between OC content and sedimentary physicochemical indexes, and the partial least squares regression (PLSR) model was used to analyze the factors affecting changes in OC content. The results found that the OC content of columnar sediments of S. alterniflora decreased with increasing depth in all four areas. The OC content in the four sample areas was mainly affected by the TN, pH, MC, TP, and burial depth. In particular, TN, MC, TP, TS, and clay content positively affected OC, whereas burial depth, pH, silt content, BD, sand content, and Sal negatively affected OC. The results of this study provide a valuable reference for evaluating the role of coastal wetlands in the global carbon cycle.

1. Introduction

With the development of the social economy, human activities have altered the functions of Earth’s ecosystems on a global scale. In particular, the consumption of fossil fuels has resulted in a sharp increase in the content of greenhouse gases, such as carbon dioxide and methane, in the atmosphere, contributing to climate change in the form of global warming. According to the Sixth Assessment Report released by the Intergovernmental Panel on Climate Change, the amount of greenhouse gases in the atmosphere has continued to increase since 2011, and the global average temperature between 2011 and 2020 was 1.09 °C higher than the 1850–1900 “preindustrial” average [1]. Climate warming has seriously impacted the global carbon cycle and carbon budget [2]. Reducing carbon dioxide emissions and increasing carbon sequestration capacity are important measures to mitigate regional and global climate change and are hot topics of current research.
Located in the transition zone between terrestrial and marine ecosystems, coastal wetlands are one of the three major ecosystems in the world and store more than 50% of marine carbon, or even up to 71% [3]. Wetland ecosystems play an important role in the global carbon cycle because of their large capacities for carbon storage and sequestration. “Blue carbon” ecosystems such as seagrass beds and salt marshes grow in coastal wetlands, which have extremely high productivity and rich biodiversity and provide important ecosystem functions such as protecting coasts, maintaining biodiversity, supplying aquatic products, purifying water bodies, and mitigating climate change [4,5].
Spartina alterniflora is a perennial salt marsh plant belonging to the Spartina Schreber family of Poaceae. It grows in wetland ecosystems along tropical and subtropical coastlines. In 1979, China introduced S. alterniflora, which is native to the United States, to prevent waves, consolidate embankments, and promote siltation and beach protection [6]. It expanded rapidly after its introduction because of its strong reproductive capacity and became the most widely distributed exotic species in coastal wetlands in China. Consequently, the habitat of local biological communities and tidal flat aquaculture were impacted [7,8]. S. alterniflora has a well-developed and dense root system, and its ability to slow flow and dissipate waves promotes sedimentation and siltation and accelerates the carbon deposition rate in coastal wetland ecosystems [9]. The net photosynthetic rate of S. alterniflora is relatively high, and it has a large biomass [10]. In addition, the respiration rate of tidal flat soils is low, and the carbon released by S. alterniflora plants and sediment surfaces is lower than that released by other ecosystems [11]. Therefore, its carbon sequestration effect positively slows global warming and sea-level rise [12].
The distribution of organic carbon (OC) in wetlands affects the improvement of ecosystem productivity and carbon balance and has an important impact on the global carbon cycle [13]. Notably, 90% of the carbon in wetland soil exists in the form of soil OC, and the distribution of soil OC in S. alterniflora wetlands varies due to differences in invasive vegetation status, hydrological and climatic conditions, soil physical and chemical properties, tides, and other environmental factors [14,15]. Therefore, research on the distribution characteristics, variation trends, and influence of human activities on soil OC content has attracted extensive attention. Hang [16] collected soil samples at a depth of 0–20 cm in Yancheng, Jiangsu Province, China, and measured the contents of soil OC, recalcitrant OC, and labile OC; the ratio of carbon to nitrogen; and the carbon isotope (δ13C) values of soil OC and recalcitrant OC. The composition, distribution characteristics, and source changes of soil OC during the seaward invasion of S. alterniflora were also investigated. Huang [17] collected surface soil samples from the Gale River Estuary in Beibu Bay, China, to explore the evolutionary characteristics of OC storage in tidal flats after the invasion of S. alterniflora. Bu [18] collected samples from the surface soil (0–20 cm) of the East Beach of Chongming Island in Shanghai, China, and concluded that the invasion of S. alterniflora substantially increased the plant carbon pool, soil microbial carbon, soil total carbon pool, and OC pool in the Yangtze River Estuary wetland. Jin [6] studied the influence mechanism of S. alterniflora invasion on wetland soil OC, compared the spatiotemporal variation characteristics of soil OC in S. alterniflora wetlands in China, and analyzed the main influencing factors. However, previous studies on the OC of S. alterniflora wetland sediments mainly focused on the study of soil surface samples, while the distribution characteristics and influencing factors of soil OC content in the vertical direction have rarely been reported. Vertical soil OC distribution has an important impact on correctly assessing the role and status of coastal wetlands in the global carbon cycle.
Therefore, columnar samples of S. alterniflora sediments were collected from different areas of the northern Jiangsu coast with the aims of: (1) quantifying the OC and physicochemical properties; (2) identifying the main influencing factors of OC in sediments, and; (3) analyzing the driving factors of changes in the physical and chemical properties of sediments and the response mechanism of OC to these factors.

2. Materials and Methods

2.1. Study Area

The northern Jiangsu coast in China is located in a typical East Asian monsoon region, which is substantially affected by both marine and continental climates [19]. The climate is mild and humid, with four distinct seasons, simultaneous rain and heat, and a long frost-free period. The average annual temperature is approximately 13.5–15.5 °C, the frost-free period lasts approximately 230 days, and the sunshine duration is 2305.6 h. Owing to the considerable influence of the monsoon climate, the coastal areas of Jiangsu receive more rainfall than the inland areas, with annual precipitation of 900–1200 mm, and the amount gradually increases from north to south. Precipitation is concentrated in the summer, accounting for approximately half of the annual precipitation, and winter precipitation is the lowest, accounting for approximately one-tenth of the annual precipitation [20].

2.2. Sample Collection and Laboratory Analyses

In July 2020, columnar sediment samples were collected from four S. alterniflora wetland areas on the north side of Chuandong Port in Yancheng City (Area-1), near Tiaozini Scenic Area in Dongtai City (Area-2), near Yangkou Town in Rudong County, Nantong City (Area-3), and on the south side of Mereti Marine Park in Rudong County, Nantong City (Area-4) (Figure 1). Three columnar samples were collected from each sampling area using a columnar sampler (diameter: 11 cm; length: 50 cm). The sampling points of the three columnar samples were distributed in a triangular shape, with a spacing of about 5 m between the sampling points. A total of 12 columnar sediment samples were collected from four sampling areas. The depth of the columnar sample was 50 cm, and the samples were divided at 5 cm intervals on site. Each columnar sediment sample was divided into 10 subsamples, for a total of 120 subsamples. The subsamples were placed in a refrigerated cabinet at −10 °C and transported to the laboratory for further analysis.

2.2.1. Total Carbon, Organic Carbon, and Total Nitrogen Analyses

All samples used for the determination of OC content were freeze-dried. Dried samples were weighed (3 g), visible plant and animal materials were removed, and samples were ground in an agate mortar [21,22] and passed through a 200-mesh sieve. Then, the samples were divided into two portions, one of which was placed in a sealed plastic bag for testing the total carbon. The remaining portion was placed in a centrifuge tube, and an appropriate amount of HCl with a concentration of 10% was added to remove inorganic carbon from the sample. The sample was then diluted with ultrapure water, and the supernatant was removed after centrifugation. This process was repeated until the pH of the solution was close to neutral. Finally, the sample was oven-dried at −60 °C and placed into a sealed plastic bag for OC measurement. The contents of TC, OC, and total nitrogen (TN) were tested in CN mode on a Vario Max elemental analyzer (Elementar Co., Langenselbold, Germany) with a sample analysis error of less than 0.5%. To account for the discrepancy in OC content between the sample and the actual sediment due to inorganic carbon removal, mathematical methods were used to obtain the actual OC content in the sediments [23].

2.2.2. Particle Size Analyses

Approximately 1 g of sediment sample was weighed into a beaker with a capacity of 100 mL, and 10 mL of H2O2 with a concentration of 10% was added to the sample to completely remove organic matter (C + 2H2O2 → CO2↑ + 2H2O). Subsequently, 10 mL of 10% HCl was added, and the sample was boiled to remove the cementing material from the sediment. Distilled water was added to the sample, and the upper clarifier of the beaker was removed using the siphon method after letting the sample stand for 24 h. This process was repeated several times until the pH of the sample solution was nearly neutral. Finally, sodium hexametaphosphate dispersant was added to the beaker, it was placed in an ultrasonic shaker for 30 min, and then the sample was tested. The particle size was measured using a Mastersizer 3000 laser particle size analyzer (Malven Co., Malven, UK). The residuals of sample analysis were controlled below 1%, and the samples with residuals greater than 1% were retested.

2.2.3. Total Phosphorus and Total Sulfur Analyses

Freeze-dried samples were weighed (5 g), ground, passed through a 200-mesh sieve, pressed into a cake under high pressure with the assistance of boric acid, and placed into a numbered plastic bag. Subsequently, the GSS+GSD mode was used to complete the total phosphorus (TP) and total sulfur (TS) tests on the X-ray fluorescence spectrometer (PANalytical Co., Almelo, The Netherlands) with an instrument error of less than 5%.

2.2.4. Bulk Density Analyses

Bulk density (BD) was measured using the cutting ring method. The sediment BD was calculated as follows:
Dd = M2 × V−1
where Dd is the BD of the sediment, M2 is the dry weight of the cutting ring sample, and V is the volume of the cutting ring.

2.2.5. Moisture Content Analyses

The collected samples were weighed directly, and their wet weights were recorded. Then, the samples were freeze-dried at −60 °C, and the dry weight of the samples was recorded. The calculation formula for MC is as follows:
MC = (M1 − M2)/M2 × 100%
where MC is the moisture content (%), M1 is the wet weight of the sediment (g), and M2 is the dry weight of the sediment (g).

2.2.6. Salinity and pH Analyses

The salinity (Sal) and pH of the sediment were determined using an sx751 multi-parameter water quality detector (Shanghai Sanxin Instrument Co., Shanghai, China). The specific operation steps were as follows: 2.50 g of dried and ground samples was weighed using an electronic balance and placed in a 10 mL test tube, and then 6.25 mL of pure water was added to the test tube using a syringe. The mixture was mixed at a water-to-soil ratio of 2.5:1, and the test tube cover was shaken to ensure full mixing. It was then placed on a test tube rack for 3 min, and the pH and Sal were measured using the sx751 multi-parameter water quality detector. The measurements were performed uniformly at the same height, and readings were taken when the values were stable. The average of the three measurements was used as the experimental result.

2.3. Impact Factors and Their Importance to Organic Carbon

Wold [24] first proposed the partial least squares regression (PLSR) model. This model combines the advantages of principal component analysis, canonical correlation analysis, and linear regression analysis and has unique advantages in solving the problem of multicollinearity among variables [25]. The PLSR model reorganizes the information of the prediction variables to fully consider the linear relationship between the response variables and the prediction variables when extracting the components and explains the prediction variables and response variables through comprehensive variables, thereby eliminating noise interference and the multicollinearity problem and ensuring the stability of the model. Furthermore, this model is particularly effective for identifying the importance of influencing factors [23,26,27]. The importance of the predictor to the response variable is derived from the importance of the variable to the projection (VIP) [28]. For example, VIP > 1 indicates that the predictive variable is importance to the dependent variable, and VIP < 0.5 indicates less importance to the dependent variable [29]. Cross-validation was used to determine the number of PLSR components [30], thereby avoiding overfitting and balancing the explanatory ability (R2) and predictive power (Q2) of the PLSR model [31]. When Q2 cum (cumulative predictive variation of response variables) was > 0.5, the model was considered to have better predictive ability [31]. The regression coefficient (RC) in the PLSR model reveals the direction and intensity of each variable [32].

2.4. Statistical Analyses

Descriptive statistics were used to obtain the mean, extremes (maximum and minimum), and coefficient of variation for all indicators. Pearson’s correlation analysis was used to determine the correlation between the OC content and the physical and chemical properties of the sediments. The PLSR model was used to identify the main factors influencing OC. All statistical analyses were performed using EXCEL 2016, SPSS 17.0, and SIMCA 14.1. Meanwhile, Arc GIS 10.3, Origin 22.0, and Grapher 11.0 were used to complete paper mapping.

3. Results

3.1. Distribution Characteristics of Physical and Chemical Parameters of Sediment

The average physicochemical indexes of the sediment in the S. alterniflora wetland are listed in Table 1. The sediments in Area-1, Area-2, and Area-3 were mainly composed of silt, followed by clay, and sand was the least abundant. The sediment in Area-4 was mainly silt, followed by sand, and clay was the least abundant. The contents of clay, silt, and sand in the sediments of the four study areas ranged from 4.29–21.49%, 71.80–86.53%, and 0.00–22.18%, respectively, and the median particle size (D50) was between 8.73 μm and 37.45 μm. With an increase in depth, the silt and sand contents in the columnar samples of S. alterniflora sediments gradually increased, the clay content gradually decreased, and the particle size gradually increased from fine to coarse (Figure 2).
The BD values of columnar sediment samples under the coverage of S. alterniflora in Area-1, Area-2, Area-3, and Area-4 were 1.09–1.50 g/cm3 (avg.: 1.24 g/cm3), 1.28–1.49 g/cm3 (avg.: 1.37 g/cm3), 1.49–1.80 g/cm3 (avg.: 1.62 g/cm3), and 1.34–1.84 g/cm3 (avg.: 1.67 g/cm3), respectively. The BD of the columnar sediment samples from the four study areas increased with depth (Figure 3), and the average BD gradually increased from north to south along the northern Jiangsu coast (Table 1).
The MC of the columnar sediments of S. alterniflora wetland in Area-1, Area-2, Area-3, and Area-4 ranged from 36.10% to 51.20%, 27.80% to 45.19%, 25.73% to 44.30%, and 27.58% to 55.67%, respectively, from north to south along the northern Jiangsu coast. The average MC in Area-1, Area-2, Area-3, and Area-4 was 44.46%, 34.15%, 32.71%, and 35.16%, respectively. The MC of the columnar sediments under S. alterniflora generally decreased with increasing depth (Figure 4).
The variation in pH value of the leachate of columnar sediment samples with depth at four sampling points is shown in Figure 5. The average pH values of Area-1, Area-2, Area-3, and Area-4 were 7.61, 7.83, 7.87, and 7.65, respectively. The pH values of sediment under the coverage of S. alterniflora in the four study areas were generally between 7.13 and 7.98, with little variation. The sediment types were weakly alkaline, and the pH values of the sediment increased with increasing depth.
The average values of Sal in the sediments of Area-1, Area-2, Area-3, and Area-4 were 3.01 g/kg, 1.61 g/kg, 1.79 g/kg, and 1.62 g/kg, respectively; that is, Area-1 > Area-3 > Area-4 > Area-2. The Sal of the sediments in the four study areas ranged from 1.14 to 3.56 g/kg and showed a slightly increasing trend with increasing depth (Figure 5).
The average values of TN, TP, and TS in the sediments of Area-1 were 0.07%, 0.06%, and 0.06%, respectively. The average values of TN, TP, and TS in the sediments of Area-2 were 0.05%, 0.06%, and 0.04%, respectively. The average values of TN, TP, and TS in the sediments of Area-3 were 0.05%, 0.06%, and 0.062%, respectively. The average values of TN, TP, and TS in the sediments of Area-4 were 0.06%, 0.06%, and 0.05%, respectively. The average TN and TP contents in the columnar sediments of the four study areas were similar, and the TP content was relatively stable. The average TS contents of the sample sites were not markedly different, except for the high average TS in Area-1. Previous studies have shown that S. alterniflora has higher reserves of and tolerance to TS [33,34]. Additionally, the higher biomass of S. alterniflora greatly increases its organic matter content by increasing the input of litter and root exudates, resulting in higher nitrogen reserves. In general, the nutrient elements TN, TP, and TS under the vegetation of S. alterniflora decreased with increasing depth (Figure 6).

3.2. Distribution Characteristics of the Organic Carbon Content of Sediment

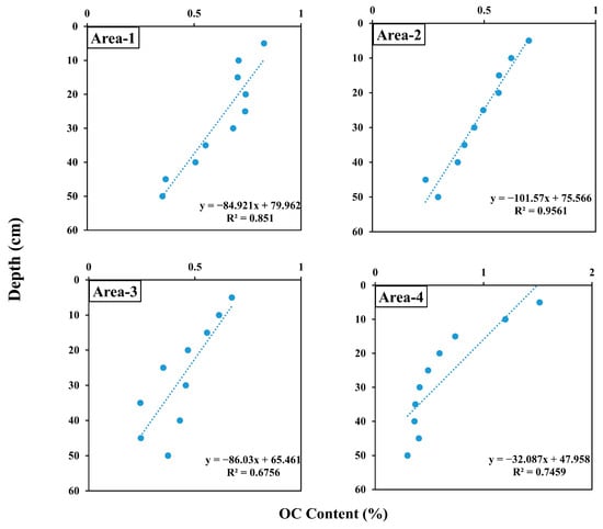
The OC contents of Area-1, Area-2, Area-3, and Area-4 were 0.35–0.83%, 0.24–0.70%, 0.24–0.67%, and 0.30–1.52%, respectively. The average values were 0.72%, 0.47%, 0.44%, and 0.64%, respectively, and Area-1 > Area-4 > Area-2 > Area-3. Overall, the OC content in the four sampling areas decreased with increasing depth (Figure 7).

3.3. Analysis of Influencing Factors of Sediments’ Organic Carbon Content

3.3.1. Pearson’s Correlation Analysis of Sediments’ Organic Carbon and Physicochemical Indexes

The OC contents of the four sampling areas showed different correlations with the physicochemical indexes of the sediments (Table 2). In Area-1, OC was significantly correlated with indexes other than Sal and TS (p < 0.001), showed a significant positive correlation with TN, TP, clay, and MC, and showed a significant negative correlation with depth, BD, sand, pH, and silt. In Area-2, OC was significantly correlated with all indexes except for Sal and TP (p < 0.001), positively correlated with TN, MC, clay, and TS, and negatively correlated with depth, pH, BD, sand, and silt. In Area-3, OC was significantly correlated with indexes other than Sal and silt (p < 0.001), and the absolute values of the correlation coefficients were all greater than 0.5. A significant positive correlation was observed with MC, TN, TP, TS, and clay, whereas a significant negative correlation was observed with pH, depth, BD, and sand. In Area-4, OC was significantly correlated with indexes other than Sal and sand (p < 0.001); positively correlated with TN, MC, TS, TP, and clay; and negatively correlated with BD, pH, depth, and silt; and the absolute values of each correlation coefficient were all greater than 0.5.
Pearson’s correlation analysis revealed a significant correlation between OC and TN, MC, pH, BD, depth, and clay content in the four study regions. A significant positive correlation between OC and MC, TN, clay, TP (except for Area-2), and TS (except for Area-1) (p < 0.01) was observed. A significant negative correlation existed between the OC content and depth, pH, BD, and silt. Meanwhile, Sal and sand were less strongly correlated with OC content.

3.3.2. Partial Least Squares Regression Model Analysis

The PLSR model was used to analyze the columnar sediment data of four S. alterniflora wetlands to determine and identify the main factors influencing sediment OC. Taking OC as the response variable, PLSR analysis was performed with the physicochemical indexes of each sediment sample as the prediction variable. Based on the results of the model analysis, only two components were extracted to achieve the best OC prediction. This model cumulatively explained 94.37% of OC variation; the maximum Q2 reached 91.80% (Table 3), and the model fitting degree was excellent. The factors influencing OC were ranked in order of importance as follows: TN > pH > MC > TP > depth > TS > clay > silt > BD > sand > Sal. Among these factors, the VIP values of TN (VIP = 1.45, RC = 0.59), pH (VIP = 1.31, RC = −0.31), MC (VIP = 1.25, RC = 0.07), TP (VIP = 1.22, RC = 0.01), and depth (VIP = 1.10, RC = −0.05) were > 1, indicating their status as the most important influencing factors of OC. The VIP values of TS, clay, silt, and BD were 0.97, 0.91, 0.76, and 0.74, respectively, indicating their status as general impact factors of OC. However, the VIP values of sand and Sal were less than 0.5, with values of 0.150 and 0.091, respectively, indicating no significant effect on OC. In addition, TN, MC, TP, TS, and clay positively affected OC, whereas pH, depth, silt, BD, sand, and Sal negatively affected OC (Figure 8).

4. Discussion

4.1. Driving Factors of Changes in Physicochemical Indexes of Sediments

The physicochemical indexes of the sediments in Area-1, Area-2, Area-3, and Area-4 showed significant changes with depth. The particle size of the sediment gradually coarsened with increasing depth, which could be related to the relatively thick stems and well-developed underground root systems of S. alterniflora. With the growth of S. alterniflora, its root and plant densities continue to increase, which is more conducive to the deposition of fine-grained sediments, and the particle size of the sediments continues to become finer, moving from deeper to shallower depths [35,36,37].
The change trend in the BD of sediments was similar to that of sediment particle size because the permeability of surface soil is higher than that of deep soil; therefore, BD decreases moving from deeper to shallower depths. In addition, with increasing depth, the amount of decomposition products of S. alterniflora roots and other withered organs gradually decreased, the organic matter content of the sediment decreased, the sediment structure became denser, and the BD increased. Furthermore, BD is associated with soil texture, and a decrease in clay content and an increase in sand content resulted in a higher BD [38,39].
The change in sediment MC under S. alterniflora vegetation was mainly affected by tidal action. Accumulated water on the sediment surface increases with depth, enhancing soil compaction while diminishing infiltration, resulting in reduced MC [39,40].
The Sal level of sediments tends to increase slightly with an increase in depth, which may be due to the longer sediment deposition time and greater salt deposition accumulation at greater depths.
The nutrient elements TN, TP, and TS in sediment under S. alterniflora vegetation showed a downward trend with increasing depth, which was mainly caused by the absorption and transport of nutrients by the vegetation roots [41].

4.2. Response Mechanism of Organic Carbon Content to Influencing Factors

Comparing the results of the Pearson’s correlation and PLSR analyses of OC and other physicochemical indexes, we determined that factors with high Pearson’s correlation levels were identified as important influencing factors of OC in the PLSR regression model (VIP > 1). A moderate Pearson’s correlation level was identified as a general influencing factor of OC in the PLSR regression model (1 > VIP > 0.5). A low Pearson’s correlation coefficient was identified as an unimportant influencer of OC in the PLSR regression model (VIP < 0.5). These factors affect the amount of OC buried through certain mechanisms.
Studies have shown that OC in the sediments of S. alterniflora wetlands is mainly derived from the decomposition of S. alterniflora litter or the exogenous input from waves, tides, and rivers [42,43,44,45]. In addition, because of the longer growing season, larger leaf area index, higher net photosynthesis rate, and large aboveground and belowground biomass, the carbon sequestration effect of S. alterniflora is remarkable [46]. Therefore, the OC content in the sediment of S. alterniflora is substantially higher than that of other vegetation types [16]. Furthermore, OC is influenced by climate, environmental conditions, sediment depth, topography, and other factors during burial [23,47,48,49].
The PLSR model identified TN as the most important factor influencing OC in the sediments of S. alterniflora wetlands, with a VIP value of 1.45. Nitrogen is crucial for plant growth and essential for chlorophyll synthesis. When plants are deficient in nitrogen, growth is affected, and plants are dwarfed. Nitrogen plays important roles in plant carbon sequestration and accumulation and primary productivity [50]. Zhang [51] conducted a comparative study on the effect of exogenous nitrogen input on the growth of S. alterniflora and found that under the application of nitrogen, the tiller number of S. alterniflora plants increased by about 60.0% compared to the control groups, and nitrogen was the main reason for the increase in aboveground biomass. Stevenson [52] revealed that more than 90% of the nitrogen in the soil is organically bound, and TN and OC showed a very high correlation. A study on the factors influencing OC content in the surface sediments of tidal flats also revealed that TN greatly influenced the change in OC content [23].
According to the results of the PLSR model, the VIP value of pH as an influencing factor of OC content was 1.31, second only to that of TN. This result is consistent with those obtained by Zhang [53,54] in tidal flat reclamation areas, which indicated the importance of pH in OC sequestration. The pH value is related to the decomposition of OC, which affects the respiration and activity of microorganisms, as most microorganisms prefer to grow and metabolize at a pH between 6 and 8 [55]. Within the appropriate pH range, more microorganisms with stronger activities can accelerate OC decomposition. Studies on carbon burial in mangrove wetland sediments have also revealed that pH plays a key role in the OC burial rate. When the pH is in a favorable range, the OC decomposition rate is faster, while the carbon burial rate is slower [45,56]. In addition, pH can affect the surface charge and adsorption sites of minerals in sediments, thereby affecting the adsorption of OC to minerals. When the pH is low, the sediment generally carries more positive charges and adsorption sites, which are conducive to the adsorption of negatively charged OC. When the pH is high, the positive charge and adsorption sites of the sediment and the OC adsorption capacity are reduced [57].
Another important factor influencing OC is MC. A higher sediment water content has been reported to affect plant growth and microbial decomposition, which are conducive to OC accumulation. Long-term flooding of S. alterniflora wetlands may increase the root density of S. alterniflora, which helps to aggregate more organic matter [39]. The moisture status of the sediment can markedly affect the mineralization and decomposition of OC by affecting its permeability, thereby affecting its OC content. Under the shade of S. alterniflora, the salt marsh sediment reduces the evapotranspiration of the retention tide, resulting in a high MC in the sediments. This reduces aeration and inhibits the mineralization and decomposition of OC, thereby facilitating the storage of OC [40].
Important nutrients required for plant growth include TP and TS, which are indicators of the sedimentary environment and have an important impact on the sequestration of OC [58]. TP can promote photosynthesis, plant growth, and root development and increase biological yields. Meanwhile, TS can help plants perform metabolism, promote the action of various elements in the plant body, and increase plant growth. The results of the PLSR model analysis showed that TP had a significant effect on OC; however, the effect of TS was not significant. This result may be because S. alterniflora has a greater tolerance for and larger reserves of TS [33,34]. The correlation between TS and OC was not as strong as that between TP and OC; however, the direct promoting effect of TS on OC cannot be excluded [17].
Burial depth also has an important influence on OC content. This is primarily because many physical and chemical indicators of the sedimentary environment in the study area showed regular changes with depth. For example, TN and TP, which significantly influence OC, showed a downward trend with increasing depth. In contrast, the pH value showed an upward trend with the increase in depth. Meanwhile, the MC decreased with increasing depth. In addition, with a change in burial depth, the number and distribution of microorganisms in sediments change regularly, which affects the mineralization and decomposition of OC [55].
In the four study areas, the correlations between sediment particle size parameters as well as BD and OC content were strong (Table 2), indicating that both sediment particle size and BD had an impact on carbon accumulation. The PLSR model analysis showed that clay, silt, BD, and sand were not important factors influencing OC. However, the VIP value of clay reached 0.91, which indicates that clay also had a relatively significant influence on the OC content, and the impact of clay on the OC content cannot be ignored. Previous studies have shown that clay particles are finer and have a stronger adsorption capacity, and a high clay content adsorbs more organic matter and promotes the enrichment of OC [23,59]. In addition, fine-grained clay materials worsen the water and ventilation performances of sediments, weaken the respiration process of sediments, reduce the OC decomposition rate, and increase OC accumulation [60].
The correlation between Sal and OC was not strong, and the results of PLSR model analysis also showed that Sal had no significant effect on OC. Salt affects plant growth and biomass in addition to microbial activity, which in turn affects the accumulation and mineralization decomposition processes of OC. In the four study areas, the regularity of Sal changes with depth was not evident, which led to an insignificant effect of Sal on OC. Li [61] and Feng [62] arrived at similar conclusions in their studies on soil carbon storage.
From the above discussion, it could also be seen that there was a good coupling relationship between some main influencing factors and OC content. With the growth of S. alterniflora, hydrodynamic conditions would weaken and sediment particles would become smaller. The thinning of sediment particles would increase porosity, thereby increasing sediment MC. With the growth of S. alterniflora, more plant residues entered the sediment, and more OC was preserved under the adsorption of fine-grained sediment. The continuous growth of S. alterniflora also released more organic acids and reduced the pH value of sediment [63], and enhanced the adsorption of OC [57].

5. Conclusions

In this study, columnar sediments were collected from S. alterniflora wetlands along the northern Jiangsu coast. The physicochemical indexes and OC distribution characteristics of the sediments were studied. The main factors influencing OC were identified, and the response mechanism of OC to various influencing factors was investigated. Overall, the OC content decreased with increasing depth, from 0.93% in the surface layer to 0.28% in the bottom layer. Furthermore, PLSR analysis revealed that TN, pH, MC, TP, and burial depth were important factors affecting the OC content. The clay content and TS also had marked effects on the OC content. The effects of slit, sand, and Sal on OC were not statistically significant. In particular, TN, MC, TP, TS, and clay positively impacted OC, and the increase in these indicators is conducive to the accumulation of OC. In contrast, burial depth, pH, silt, BD, sand, and Sal had negative effects on OC, and the increase in these indicators is not conducive to the burial of OC. In the context of global warming, the carbon sequestration potential of coastal wetlands should be fully utilized. Important carbon sinks such as these should be preserved and expanded to reduce the concentration of carbon dioxide in the atmosphere as a global warming mitigation measure.

Author Contributions

Conceptualization, Q.S. and A.Z.; methodology, A.Z. and W.L.; software, W.L.; investigation, Q.S., A.Z., W.L., Z.C., Y.D., H.Y., L.X. and S.L.; data curation, Q.S. and A.Z.; writing—original draft preparation, A.Z.; writing—review and editing, Q.S.; project administration, Q.S. All authors have read and agreed to the published version of the manuscript.

Funding

This work was supported by the research project of Ecology and Environment Department of Jiangsu Province (No. JSZC-G2021-291) and Interdisciplinary research projects of Nanjing Normal University.

Institutional Review Board Statement

Not applicable.

Informed Consent Statement

Not applicable.

Data Availability Statement

The data that support the findings of this study are available from the corresponding author upon request.

Conflicts of Interest

The authors declare no conflicts of interest.

References

  1. Pörtner, H.O.; Scholes, R.J.; Agard, J.; Archer, E.; Arneth, A.; Bai, X.; Barnes, D.; Burrows, M.; Chan, L.; Cheung, W.; et al. Scientific Outcome of the IPBES-IPCC Cosponsored Workshop on Biodiversity and Climate Change (Version 5); IPBES Secretariat: Bonn, Germany, 2021. [Google Scholar]
  2. Ciais, P.; Dolman, A.J.; Bombelli, A.; Duren, R.; Peregon, A.; Rayner, P.J.; Miller, C.; Gobron, N.; Kinderman, G.; Marland, G.; et al. Current systematic carbon-cycle observations and the need for implementing a policy-relevant carbon observing system. Biogeosciences 2014, 11, 3547–3602. [Google Scholar] [CrossRef]
  3. Nellemann, C.; Corcoran, E.; Duarte, C.M.; Valdes, L.; Deyoung, C.; Fonseca, L.; Grimsditch, G. (Eds.) Blue Carbon. The Role of Healthy Oceans in Binding Carbon. A Rapid Response Assessment; United Nations Environment Programme, GRID-Arendal: Arendal, Norway, 2009. [Google Scholar]
  4. Frolking, S.; Roulet, N.T.; Moore, T.R.; Richard, P.J.H.; Lavoie, M.; Muller, S.D. Modeling northern peatland decomposition and peat accumulation. Ecosystems 2001, 4, 479–498. [Google Scholar] [CrossRef]
  5. Tian, P.; Cao, L.; Li, J.; Pu, R.; Liu, Y.; Zhang, H.; Wang, C. Ecosystem Stability Assessment of Yancheng Coastal Wetlands, a World Natural Heritage Site. Land 2022, 11, 564. [Google Scholar] [CrossRef]
  6. Jin, B.; Yan, H.; Zhang, L.; Zeng, C. Spartina-temporal variations and theirs influence factors of soil organic carbon under the Spartina alterniflora wetland in China. Ecol. Environ. Sci. 2016, 25, 2021–2027, (In Chinese with English Abstract). [Google Scholar]
  7. Xie, X.F.; Sun, X.M.; Wu, T.; Jiang, G.J.; Xiang, Q. Impacts of Spartina alterniflora invasion on coastal wetland ecosystem: Advances and prospects. J. Appl. Ecol. 2020, 31, 2119–2128. [Google Scholar]
  8. Tong, X.; Sun, Z.; Zeng, A.; Chen, B.; Wang, H. Effects of Spartina alterniflora invasion in a seaward direction on variations of inorganic sulfur forms in marsh soils of the Minjiang River estuary, China. Chin. J. Appl. Ecol. 2019, 30, 3518–3526, (In Chinese with English Abstract). [Google Scholar]
  9. Gao, S.; Du, Y.; Xie, W.; Gao, W.; Wang, D.; Wu, X. Environment-ecosystem dynamic processes of Spartina alterniflora salt-marshes along the eastern China coastlines. Sci. China Earth Sci. 2014, 57, 2567–2586. [Google Scholar] [CrossRef]
  10. Failon, C.M.; Wittyngham, S.S.; Johnson, D.S. Ecological Associations of Littoraria irrorata with Spartina cynosuroides and Spartina alterniflora. Wetlands 2020, 40, 1317–1325. [Google Scholar] [CrossRef]
  11. Yu, C.; Chen, P.; Liu, C.; Zhang, Y.; Han, M.; Zhou, S.; Lu, W. Research progress on carbon storage and carbon sink of Spartina alterniflora wetland. Ocean. Deve. Manag. 2014, 31, 85–89, (In Chinese with English Abstract). [Google Scholar]
  12. Li, B.; Liao, C.; Zhang, X.; Chen, H.; Wang, Q.; Chen, Z.; Gan, X.; Wu, J.; Zhao, B.; Ma, Z.; et al. Spartina alterniflora invasions in the Yangtze River estuary, China: An overview of current status and ecosystem effects. Ecol. Eng. 2009, 35, 511–520. [Google Scholar] [CrossRef]
  13. Yang, R.M. Interacting Effects of Plant Invasion, Climate, and Soils on Soil Organic Carbon Storage in Coastal Wetlands. J. Geophys. Res. Biogeosci. 2019, 124, 2554–2564. [Google Scholar] [CrossRef]
  14. Liu, J.; Deng, D.; Zou, C.; Han, R.; Xin, Y.; Shu, Z.; Zhang, L. Spartina alterniflora saltmarsh soil organic carbon properties and sources in coastal wetlands. J. Soils Sediments 2021, 21, 3342–3351. [Google Scholar] [CrossRef]
  15. Schuerch, M.; Spencer, T.; Temmerman, S.; Kirwan, M.L.; Wolff, C.; Lincke, D.; McOwen, C.J.; Pickering, M.D.; Reef, R.; Vafeidis, A.T.; et al. Future response of global coastal wetlands to sea-level rise. Nature 2018, 561, 231–234. [Google Scholar] [CrossRef]
  16. Hang, Z.; Wang, G.; Liu, J.; Wang, G.; Wang, H. Characterization of soil organic carbon fractions at Spartina alterniflora saltmarsh in North Jiangsu. Acta. Ecol. Sin. 2014, 34, 4175–4182, (In Chinese with English Abstract). [Google Scholar]
  17. Huang, X.; Liang, S.; Tao, Y.; Wang, X.; Duan, Y. Distribution characteristics of organic carbon stocks of Spartina alterniflora in Dafeng River Estuary, Beibu Gulf. Guihaia 2021, 41, 853–861, (In Chinese with English Abstract). [Google Scholar]
  18. Bu, N.; Yang, X.; Li, G.; Ma, X.; Song, Y.; Ma, F.; Li, B.; Fang, C.; Yan, Z. Effects of Spartina alterniflora invasion on soil carbon dynamics in wetlands of the Yangtze River estuary. China Environ. Sci. 2018, 38, 2671–2679, (In Chinese with English Abstract). [Google Scholar]
  19. Dan, S.; Wang, T.; Jin, Q. Geography of Jiangsu Province; Jiangsu Education Publishing House: Nanjing, China, 1986. [Google Scholar]
  20. Jiangsu Climate Compilation Group. Jiangsu Climate; China Meteorological Press: Beijing, China, 1991. [Google Scholar]
  21. Lu, W.; Yang, S.; Chen, L.; Wang, W.; Du, X.; Wang, C.; Ma, Y.; Lin, G. Changes in Carbon Pool and Stand Structure of a Native Subtropical Mangrove Forest after Inter-Planting with Exotic Species Sonneratia apetala. PLoS ONE 2014, 9, 91238. [Google Scholar] [CrossRef]
  22. Chen, Q.; Liu, Y.; Li, Q.; Huang, J. Use of stable isotopes to understand food webs in Macao wetlands. Wetlands Ecol. Manage 2017, 25, 59–66. [Google Scholar] [CrossRef]
  23. Yang, P.; Shu, Q.; Liu, Q.; Hu, Z.; Zhang, S.; Ma, Y. Distribution and factors influencing organic and inorganic carbon in surface sediments of tidal flats in northern Jiangsu, China. Ecol. Indic. 2021, 126, 107633. [Google Scholar] [CrossRef]
  24. Wold, H. Soft modelling, the basic design and some extensions. In Systems under Indirect Observation: Causality-Structure Prediction; Wold, H., Jöreskog, K.G., Eds.; North-Holland Publishing Company: Amsterdam, The Netherlands, 1982; Part II; pp. 1–54. [Google Scholar]
  25. Wold, S.; Sjöström, M.; Eriksson, L. PLS-regression: A basic tool of chemometrics. Chemom. Intell. Lab. Syst. 2001, 58, 109–130. [Google Scholar] [CrossRef]
  26. Fang, N.; Shi, Z.; Chen, F.; Wang, Y. Partial Least Squares Regression for Determining the Control Factors for Runoff and Suspended Sediment Yield during Rainfall Events. Water 2015, 7, 3925–3942. [Google Scholar] [CrossRef]
  27. Tong, L.; Fang, N.; Xiao, H.; Shi, Z. Sediment deposition changes the relationship between soil organic and inorganic carbon: Evidence from the Chinese Loess Plateau. Agric. Ecosyst. Environ. 2020, 302, 107076. [Google Scholar] [CrossRef]
  28. Yan, B.; Fang, N.; Zhang, P.; Shi, Z. Impacts of land use change on watershed streamflow and sediment yield: An assessment using hydrologic modelling and partial least squares regression. J. Hydrol. 2013, 484, 26–37. [Google Scholar] [CrossRef]
  29. Shi, Z.; Ai, L.; Li, X.; Huang, X.; Wu, G.; Liao, W. Partial least-squares regression for linking land-cover patterns to soil erosion and sediment yield in watersheds. J. Hydrol. 2013, 498, 165–176. [Google Scholar] [CrossRef]
  30. Carrascal, L.M.; Galván, I.; Gordo, O. Partial least squares regression as an alternative to current regression methods used in ecology. Oikos 2009, 118, 681–690. [Google Scholar] [CrossRef]
  31. Zhou, Y.; Xu, J.; Yin, W.; Ai, L.; Fang, N.; Tan, W.; Yan, F.; Shi, Z. Hydrological and environmental controls of the stream nitrate concentration and flux in a small agricultural watershed. J. Hydrol. 2017, 545, 355–366. [Google Scholar] [CrossRef]
  32. Onderka, M.; Wrede, S.; Rodný, M.; Pfister, L.; Hoffmann, L. Hydrogeologic and landscape controls of dissolved inorganic nitrogen (DIN) and dissolved silica (DSi) fluxes in heterogeneous catchments. J. Hydrol. 2012, 450–451, 36–47. [Google Scholar] [CrossRef]
  33. Chambers, R.M.; Mozdzer, T.J.; Ambrose, J.C. Effects of salinity and sulfide on the distribution of Phragmites australis and Spartina alterniflora in a tidal saltmarsh. Aquat. Bot. 1998, 62, 161–169. [Google Scholar] [CrossRef]
  34. Wang, Z.; Zhang, H.; He, C.; Liu, G.; Liang, X.; Chen, X. Spatiotemporal variability in soil sulfur storage is changed by exotic Spartina alterniflora in the Jiuduansha Wetland, China. Ecol. Eng. 2019, 133, 160–166. [Google Scholar] [CrossRef]
  35. Zhang, G.; Bai, J.; Jia, J.; Wang, X.; Wang, W.; Zhao, Q.; Zhang, S. Soil Organic Carbon Contents and Stocks in Coastal Salt Marshes with Spartina alterniflora Following an Invasion Chronosequence in the Yellow River Delta, China. Chin. Geogr. Sci. 2018, 28, 374–385. [Google Scholar] [CrossRef]
  36. Huang, M.; Ge, C.; Zuo, P.; Ji, Z.; Fang, W.; Zhou, M. The contribution of Spartina introduction on organic matter and its effects on carbon burial in tidal flat. J. Nanjing Univ. Nat. Sci. 2018, 54, 655–664, (In Chinese with English Abstract). [Google Scholar]
  37. Liu, J.; Duan, X.; Li, G.; Cai, Z.; Wei, S. Changes in Bacterial Communities and Their Effects on Soil Carbon Storage in Spartina alterniflora Invasion Areas, Coastal Wetland Bare Flats, and Sueada salsa Areas. Int. J. Environ. Res. Public Health 2023, 20, 4308. [Google Scholar] [CrossRef]
  38. Crnobrna, B.; Llanqui, I.B.; Cardenas, A.D.; Panduro Pisco, G. Relationships between Organic Matter and Bulk Density in Amazonian Peatland Soils. Sustainability 2022, 14, 12070. [Google Scholar] [CrossRef]
  39. Yao, X.; Yan, D.; Li, J.; Liu, Y.; Sheng, Y.; Xie, S.; Luan, Z. Spatial Distribution of Soil Organic Carbon and Total Nitrogen in a Ramsar Wetland, Dafeng Milu National Nature Reserve. Water 2022, 14, 197. [Google Scholar] [CrossRef]
  40. Huang, X.; Duan, Y.; Tao, Y.; Tao, Y.; Wang, X.; Long, H.; Luo, C.; Lai, Y. Effects of Spartina alterniflora Invasion on Soil Organic Carbon Storage in the Beihai Coastal Wetlands of China. Front. Mar. Sci. 2022, 9, 890811. [Google Scholar] [CrossRef]
  41. Qi, Q.; Zhang, D.; Zhang, M.; Tong, S.; Wang, W.; An, Y. Spatial distribution of soil organic carbon and total nitrogen in disturbed Carex tussock wetland. Ecol. Indic. 2021, 120, 106930. [Google Scholar] [CrossRef]
  42. Liu, J.; Han, R.; Su, H.; Wu, Y.; Zhang, L.; Richardson, C.; Wang, G. Effects of exotic Spartina alterniflora on vertical soil organic carbon distribution and storage amount in coastal salt marshes in Jiangsu, China. Ecol. Eng. 2017, 106, 132–139. [Google Scholar] [CrossRef]
  43. Alongi, D.M. Carbon cycling and storage in mangrove forests. Annu. Rev. Mar. Sci. 2014, 6, 195–219. [Google Scholar] [CrossRef]
  44. Barr, J.G.; Fuentes, J.D.; DeLonge, M.S.; O’Halloran, T.L.; Barr, D.; Zieman, J.C. Summertime influences of tidal energy advection on the surface energy balance in a mangrove forest. Biogeosciences 2013, 10, 501–511. [Google Scholar] [CrossRef]
  45. Li, S.; Chen, P.; Huang, J.; Hsueh, M.L.; Lee, C.L.; Lin, H. Factors regulating carbon sinks in mangrove ecosystems. Global Chang. Biol. 2018, 24, 4195–4210. [Google Scholar] [CrossRef]
  46. Xia, S.; Wang, W.; Song, Z.; Kuzyakov, Y.; Guo, L.; Van Zwieten, L.; Li, Q.; Hartley, L.P.; Yang, Y.; Wang, Y.; et al. Spartina alterniflora invasion controls organic carbon stocks in coastal marsh and mangrove soils across tropics and subtropics. Global Chang. Biol. 2021, 27, 1627–1644. [Google Scholar] [CrossRef] [PubMed]
  47. Donato, D.C.; Kauffman, J.B.; Murdiyarso, D.; Kurnianto, S.; Stidham, M.; Kanninen, M. Mangroves among the most carbon-rich forests in the tropics. Nat. Geosci. 2011, 4, 293–297. [Google Scholar] [CrossRef]
  48. Wu, L.; Li, L.; Yao, Y.; Qin, F.; Guo, Y.; Gao, Y.; Zhang, M. Spatial distribution of soil organic carbon and its influencing factors at different soil depths in a semiarid region of China. Environ. Earth Sci. 2017, 76, 654. [Google Scholar] [CrossRef]
  49. Gao, Y.; Zhou, J.; Wang, L.M.; Guo, J.; Feng, J.; Wu, H.; Lin, G. Distribution patterns and controlling factors for the soil organic carbon in four mangrove forests of China. Glob. Ecol. Conserv. 2019, 17, e00575. [Google Scholar] [CrossRef]
  50. Batjes, N.H. Carbon and nitrogen stocks in the soils of Central and Eastern Europe. Soil Use Manag. 2002, 18, 324–329. [Google Scholar] [CrossRef]
  51. Zhang, Y.; Zhang, F.; Li, X.; Xie, X.; Zhou, X.; Li, Q.; Lei, J. Influence of exogenous N import on growth and leaf character of Spartina alterniflora. Ecol. Environ. Sci. 2010, 19, 2297–2301, (In Chinese with English Abstract). [Google Scholar]
  52. Stevenson, F.J. Organic form of soil nitrogen. In Nitrogen in Agricultural Soils; Stevenson, F.J., Ed.; American Society of Agronomy: Madison, WI, USA, 1982; pp. 101–104. [Google Scholar]
  53. Zhang, H.; Wu, P.; Fan, M.; Zheng, S.; Wu, J.; Yang, X.; Zhang, M.; Yin, A.; Gao, C. Dynamics and driving factors of the organic carbon fractions in agricultural land reclaimed from coastal wetlands in eastern China. Ecol. Indic. 2018, 89, 639–647. [Google Scholar] [CrossRef]
  54. Zhang, H.; Yin, A.; Yang, X.; Wu, P.; Fan, M.; Wu, J.; Zhang, M.; Gao, C. Changes in surface soil organic/inorganic carbon concentrations and their driving forces in reclaimed coastal tidal flats. Geoderma 2019, 352, 150–159. [Google Scholar] [CrossRef]
  55. Duan, L.; Li, Z.; Xie, H.; Yuan, H.; Li, Z.; Zhou, Q. Regional pattern of soil organic carbon density and its influence upon the plough layers of cropland. Land Degrad. Dev. 2020, 31, 2197–2515. [Google Scholar] [CrossRef]
  56. Zhang, S.; Wang, L.; Hu, J.; Zhang, W.; Fu, X.; Le, Y.; Jin, F. Organic carbon accumulation capability of two typical tidal wetland soils in Chongming Dongtan, China. J. Environ. Sci. 2011, 23, 87–94. [Google Scholar] [CrossRef]
  57. Wang, L.; Ying, R.; Shi, J.; Long, T.; Lin, Y. Research progress on the adsorption and fixation mechanism of soil minerals on organic matter. Acta Pedol. Sin. 2017, 54, 805–818, (In Chinese with English Abstract). [Google Scholar]
  58. Wan, S.; Liu, X.; Mou, X.; Zhao, Y. Comparison of Carbon, Nitrogen, and Sulfur in Coastal Wetlands Dominated by Native and Invasive Plants in the Yancheng National Nature Reserve, China. Chin. Geogr. Sci. 2020, 30, 202–216. [Google Scholar] [CrossRef]
  59. Wang, H.; Qian, H.; Gao, Y.; Li, Y. Classification and physical characteristics of bound water in loess and its main clay minerals. Engin. Geol. 2020, 265, 105394. [Google Scholar] [CrossRef]
  60. Gui, H.; Li, F.; Wei, Y.; Yamada, T. Adsorption characteristics of natural organic matter on activated carbons with different pore size distribution. Int. J. Environ. Sci. Technol. 2018, 15, 1619–1628. [Google Scholar] [CrossRef]
  61. Li, Z. Distribution Characteristics of Soil Organic Carbon in Mangrove Wetland in Hainan Island. Master’s Thesis, Hainan Normal University, Haikou, China, 2013. (In Chinese with English Abstract). [Google Scholar]
  62. Feng, D.; Gao, Q.; Liu, J.; Tang, J.; Hua, Z.; Sun, X. Categories of exogenous substances and their effect on alleviation of plant salt stress. Eur. J. Agron. 2023, 142, 126656. [Google Scholar] [CrossRef]
  63. Bai, J.; Yan, J.; He, D.; Cai, J.; Wang, R.; You, W.; Xiao, S.; Hou, D.; Li, W. Effects of spartina alterniflora invasion in eastern Fujian coastal wetland on the physicochemical properties and enzyme activities of mangrove soil. J. Beijing For. Univ. 2017, 39, 70–77, (In Chinese with English Abstract). [Google Scholar]
Figure 1. Location of the study area and four sampling points.
Figure 1. Location of the study area and four sampling points.
Land 13 00741 g001
Figure 2. The particle size of columnar sediments at four sampling points varies with depth.
Figure 2. The particle size of columnar sediments at four sampling points varies with depth.
Land 13 00741 g002
Figure 3. The bulk density (BD) of columnar sediments at four sampling points varies with depth.
Figure 3. The bulk density (BD) of columnar sediments at four sampling points varies with depth.
Land 13 00741 g003
Figure 4. The moisture content (MC) of columnar sediments at four sampling points varies with depth.
Figure 4. The moisture content (MC) of columnar sediments at four sampling points varies with depth.
Land 13 00741 g004
Figure 5. The pH and salinity (Sal) of columnar sediments at four sampling points varies with depth.
Figure 5. The pH and salinity (Sal) of columnar sediments at four sampling points varies with depth.
Land 13 00741 g005
Figure 6. The total nitrogen (TN), total phosphorus (TP), and total sulfur (TS) of columnar sediments at four sampling points varies with depth.
Figure 6. The total nitrogen (TN), total phosphorus (TP), and total sulfur (TS) of columnar sediments at four sampling points varies with depth.
Land 13 00741 g006
Figure 7. The organic carbon (OC) content of columnar sediments at four sampling points varies with depth.
Figure 7. The organic carbon (OC) content of columnar sediments at four sampling points varies with depth.
Land 13 00741 g007
Figure 8. The projection importance value (VIP; bar) and regression coefficient (RC; line) of each predictor variable (sediment physicochemical indexes) affecting the distribution of organic carbon (OC) (the black solid line represents the threshold, and the predicted value above the threshold is considered to be important for prediction). Sal: salinity; BD: bulk density; MC: moisture content; TN: total nitrogen; TP: total phosphorus; TS: total sulfur.
Figure 8. The projection importance value (VIP; bar) and regression coefficient (RC; line) of each predictor variable (sediment physicochemical indexes) affecting the distribution of organic carbon (OC) (the black solid line represents the threshold, and the predicted value above the threshold is considered to be important for prediction). Sal: salinity; BD: bulk density; MC: moisture content; TN: total nitrogen; TP: total phosphorus; TS: total sulfur.
Land 13 00741 g008
Table 1. Physicochemical indexes of columnar sediments in four study areas.
Table 1. Physicochemical indexes of columnar sediments in four study areas.
Sampling AreaArea-1Area-2Area-3Area-4
MinMaxMeanCVMinMaxMeanCVMinMaxMeanCVMinMaxMeanCV
OC (%)0.350.830.620.270.240.700.470.310.240.670.440.330.301.520.640.64
Sal (g/kg)2.373.563.010.121.471.691.610.041.532.071.790.091.082.061.390.23
pH7.507.767.610.017.727.977.830.017.667.987.870.017.137.877.650.03
BD (g/cm3)1.091.501.240.101.241.491.370.071.491.801.620.061.341.841.670.10
MC (%)36.1051.2044.460.1227.8045.1934.150.1725.7344.3032.710.1727.5855.6735.160.27
TN (%)0.040.080.070.190.030.070.050.290.030.080.050.370.030.150.060.65
TP (%)0.060.060.060.030.060.060.060.010.050.060.060.050.060.070.060.08
TS (%)0.010.080.060.340.030.050.040.160.040.070.050.200.030.100.050.55
Clay (%)10.9321.4916.540.205.8914.7411.440.267.4313.1710.770.214.3015.8510.320.31
Silt (%)73.9281.6378.540.0382.5886.5384.680.0279.5582.9081.050.0171.8081.3776.280.04
Sand (%)2.988.354.930.340.007.583.890.595.9112.508.180.308.1522.1813.410.28
D50 (μm)8.7321.4012.480.3612.1726.4218.790.2714.5728.5220.640.3313.4837.4523.510.30
Note: OC, organic carbon; Sal, salinity; pH, potential of hydrogen; BD, bulk density; MC, moisture content; TN, total nitrogen; TP, total phosphorus; TS, total sulfur; D50, median particle size; CV, coefficient of variation.
Table 2. Correlation coefficients between organic carbon content and physicochemical parameters of columnar sediments at four sampling points.
Table 2. Correlation coefficients between organic carbon content and physicochemical parameters of columnar sediments at four sampling points.
Area-1Area-2Area-3Area-4
OC (%)OC (%)OC (%)OC (%)
OC (%)1.00 ***1.00 ***1.00 ***1.00 ***
Depth−0.92 ***−0.98 ***−0.82 ***−0.86 ***
Sal (g/kg)−0.46−0.52−0.58 *−0.51
pH−0.77 ***−0.94 ***−0.93 ***−0.93 ***
BD (g/cm3)−0.88 ***−0.83 ***−0.77 ***−0.94 ***
MC (%)0.78 ***0.94 ***0.86 ***0.99 ***
TN (%)0.97 ***0.99 ***0.99 ***1.00 ***
TP (%)0.90 ***0.420.88 ***0.89 ***
TS (%)0.290.91 ***0.54 *0.98 ***
Clay (%)0.87 ***0.91 ***0.72 ***0.84 ***
Silt (%)−0.64 **−0.64 **−0.49−0.56 *
Sand (%)−0.87 ***−0.82 ***−0.56 *−0.30
Note: ***, ** and * represent significance levels of 0.001, 0.05, 0.01, respectively. OC, organic carbon; Sal, salinity; pH, potential of hydrogen; BD, bulk density; MC, moisture content; TN, total nitrogen; TP, total phosphorus; TS, total sulfur.
Table 3. Summary of the partial least squares regression models established for organic carbon (OC) along northern Jiangsu coast.
Table 3. Summary of the partial least squares regression models established for organic carbon (OC) along northern Jiangsu coast.
VariableR2Q2ComponentsExplained
Variation in Y (%)
Cum Explained
Variation in Y (%)
Q2cum
OC0.94370.9180189.6289.820.8475
24.7594.370.9180
Disclaimer/Publisher’s Note: The statements, opinions and data contained in all publications are solely those of the individual author(s) and contributor(s) and not of MDPI and/or the editor(s). MDPI and/or the editor(s) disclaim responsibility for any injury to people or property resulting from any ideas, methods, instructions or products referred to in the content.

Share and Cite

MDPI and ACS Style

Zhang, A.; Lv, W.; Shu, Q.; Chen, Z.; Du, Y.; Ye, H.; Xu, L.; Liu, S. Distribution Characteristics and Main Influencing Factors of Organic Carbon in Sediments of Spartina Alterniflora Wetlands along the Northern Jiangsu Coast, China. Land 2024, 13, 741. https://doi.org/10.3390/land13060741

AMA Style

Zhang A, Lv W, Shu Q, Chen Z, Du Y, Ye H, Xu L, Liu S. Distribution Characteristics and Main Influencing Factors of Organic Carbon in Sediments of Spartina Alterniflora Wetlands along the Northern Jiangsu Coast, China. Land. 2024; 13(6):741. https://doi.org/10.3390/land13060741

Chicago/Turabian Style

Zhang, Aijuan, Wenlong Lv, Qiang Shu, Zhiling Chen, Yifan Du, Hui Ye, Linlu Xu, and Shengzhi Liu. 2024. "Distribution Characteristics and Main Influencing Factors of Organic Carbon in Sediments of Spartina Alterniflora Wetlands along the Northern Jiangsu Coast, China" Land 13, no. 6: 741. https://doi.org/10.3390/land13060741

APA Style

Zhang, A., Lv, W., Shu, Q., Chen, Z., Du, Y., Ye, H., Xu, L., & Liu, S. (2024). Distribution Characteristics and Main Influencing Factors of Organic Carbon in Sediments of Spartina Alterniflora Wetlands along the Northern Jiangsu Coast, China. Land, 13(6), 741. https://doi.org/10.3390/land13060741

Note that from the first issue of 2016, this journal uses article numbers instead of page numbers. See further details here.

Article Metrics

Back to TopTop