Research on Drought Monitoring Based on Deep Learning: A Case Study of the Huang-Huai-Hai Region in China
Abstract
1. Introduction
2. Materials and Methods
2.1. Study Area
2.2. Data Preparation and Processing
2.2.1. CRU_TS Data
2.2.2. Land Use Data
2.2.3. Meteorological Data
2.2.4. Other Data
2.2.5. Data Preprocessing
- (1)
- CRU_TS Data Processing
- (2)
- Land Use Data Processing
2.3. Modelling of Attention-Weighted Long- and Short-Term Memory Networks
- (1)
- The first part is the channel attention mechanism, which emphasizes key features and weakens others by assigning weights to the feature sequence. The weight coefficients are calculated through two fully connected layers after average pooling. The first fully connected layer uses a RELU activation function and the second uses a Sigmoid activation function. Initially, the average pooling layer reduces the dimensions and captures global features; then, two fully connected layers process the pooled data, where the first layer reduces dimensions and the second restores them, outputting attention scores for each channel.
- (2)
- The second part is the LSTM layer, a recurrent neural network layer for processing time series. In the model, the channel attention mechanism first weights the input data, which is then fed into a two-layer LSTM structure. The first layer has a hidden dimension of 50, utilizing the LSTM’s temporal processing capabilities to extract features from sequence data. The second layer, with a hidden dimension of 25, helps capture more complex temporal dependencies and enhances model performance. Finally, after passing through a fully connected layer, the output layer produces the predicted values. Repeated experiments have shown that this structural design achieves optimal predictive performance.
2.4. Precision Evaluation Index
3. Results
3.1. Model Accuracy Assessment
3.2. Correlation Analysis Based on Meteorological Drought
3.3. Correlation Analysis Based on Agricultural Drought
3.4. Characteristics of the Spatial Distribution of the Huang-Huai-Hai Plain
3.4.1. Spatial Distribution Characteristics of the Huang-Huai-Hai Plain
3.4.2. Temporal Distribution Characteristics of the Huang-Huai-Hai Plain
4. Discussion
4.1. Impact of Land Cover Type
4.2. The Impact of Different Factors on Drought
4.3. Limitations of Drought Monitoring Models
5. Conclusions
- (1)
- The AW-LSTM model outperforms traditional LSTM, SVM and ANN models in drought monitoring, with a consistency rate of 89.2% on the training set and 87.8% on the validation set. The model is suitably applicable for both meteorological and agricultural drought monitoring. The correlation coefficient with the 1-month SPEI scale, excluding June, was above 0.85 (p < 0.01); for the 3-month SPEI scale, it exceeded 0.9 (p < 0.01) and it also showed good correlation with 10 cm soil moisture, exceeding 0.7 in all months except July (p < 0.01), demonstrating the AW-LSTM model’s effectiveness in comprehensive agricultural drought monitoring.
- (2)
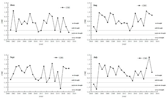
- Drought conditions in the Huang-Huai-Hai Plain show significant variability across different years and months. During the summer maize planting period, June and September are periods of relatively severe drought. In June, drought trends intensified in Shandong, Hebei, Beijing, Tianjin and northern Henan, while southern Henan and the Huai Bei area experienced drought relief; in July, August and September, as time progressed, drought trends intensified in Shandong, Henan and Huai Bei, but eased in Hebei, Beijing and Tianjin.
- (3)
- From 2001 to 2022, there has been a declining trend in cultivated land and forested areas, which has similarly contributed to the further occurrence of drought.
Author Contributions
Funding
Data Availability Statement
Conflicts of Interest
References
- Singh, W.R.; Barman, S.; Vijayakumar, S.V.; Hazarika, N.; Kalita, B.; Taggu, A. Drought Assessment in the Districts of Assam Using Standardized Precipitation Index. J. Earth Syst. Sci. 2024, 133, 43. [Google Scholar] [CrossRef]
- Khan, N.; Shahid, S.; Chung, E.-S.; Kim, S.; Ali, R. Influence of Surface Water Bodies on the Land Surface Temperature of Bangladesh. Sustainability 2019, 11, 6754. [Google Scholar] [CrossRef]
- Ezzine, H.; Bouziane, A.; Ouazar, D. Seasonal Comparisons of Meteorological and Agricultural Drought Indices in Morocco Using Open Short Time-Series Data. Int. J. Appl. Earth Obs. Geoinf. 2014, 26, 36–48. [Google Scholar] [CrossRef]
- Wang, Y.; Zhang, Q.; Wang, J.; Han, L.; Wang, S.; Zhang, L.; Yao, Y.; Hao, X.; Wang, S. New progress and prospect of drought research since the 21st century. J. Arid Meteorol. 2022, 40, 549–566. [Google Scholar]
- Zhang, Q.; Yao, Y.; Li, Y.; Huang, J.; Ma, Z.; Wang, Z.; Wang, S.; Wang, Y.; Zhang, Y. Progress and prospect on the study of causes and variation regularity of droughts in China. Acta Meteorol. Sin. 2020, 78, 500–521. [Google Scholar] [CrossRef]
- Zhang, J.; Qu, Y. Exploration of Drought Disaster Evolution Patterns and Drought Relief Strategies in China Over the Past 30 Years. China Flood Drought Manag. 2008, 18, 47–52. [Google Scholar] [CrossRef]
- Compilation Group of China Flood and Drought Disaster Prevention Bulletin. Summary of China Flood and Drought Disaster Prevention Bulletin 2022. China Flood Drought Manag. 2023, 33, 78–82. [Google Scholar] [CrossRef]
- Baniya, B.; Tang, Q.; Xu, X.; Haile, G.; Chhipi-Shrestha, G. Spatial and Temporal Variation of Drought Based on Satellite Derived Vegetation Condition Index in Nepal from 1982–2015. Sensors 2019, 19, 430. [Google Scholar] [CrossRef] [PubMed]
- Liu, C.; Yang, C.; Yang, Q.; Wang, J. Spatiotemporal Drought Analysis by the Standardized Precipitation Index (SPI) and Standardized Precipitation Evapotranspiration Index (SPEI) in Sichuan Province, China. Sci. Rep. 2021, 11, 1280. [Google Scholar] [CrossRef]
- Deng, H.; Cheng, F.; Wang, J.; Wang, C. Monitoring of Drought in Central Yunnan, China Based on TVDI Model. Pol. J. Environ. Stud. 2021, 30, 3511–3523. [Google Scholar] [CrossRef]
- Jiao, W.; Wang, L.; Novick, K.A.; Chang, Q. A New Station-Enabled Multi-Sensor Integrated Index for Drought Monitoring. J. Hydrol. 2019, 574, 169–180. [Google Scholar] [CrossRef]
- Zhang, Q.; Shi, R.; Xu, C.-Y.; Sun, P.; Yu, H.; Zhao, J. Multisource Data-Based Integrated Drought Monitoring Index: Model Development and Application. J. Hydrol. 2022, 615, 128644. [Google Scholar] [CrossRef]
- Saha, S.; Gogoi, P.; Gayen, A.; Paul, G.C. Constructing the Machine Learning Techniques Based Spatial Drought Vulnerability Index in Karnataka State of India. J. Clean. Prod. 2021, 314, 128073. [Google Scholar] [CrossRef]
- Prodhan, F.A.; Zhang, J.; Yao, F.; Shi, L.; Pangali Sharma, T.P.; Zhang, D.; Cao, D.; Zheng, M.; Ahmed, N.; Mohana, H.P. Deep Learning for Monitoring Agricultural Drought in South Asia Using Remote Sensing Data. Remote Sens. 2021, 13, 1715. [Google Scholar] [CrossRef]
- Wang, S.; Mo, X.; Hu, S.; Liu, S.; Liu, Z. Assessment of Droughts and Wheat Yield Loss on the North China Plain with an Aggregate Drought Index (ADI) Approach. Ecol. Indic. 2018, 87, 107–116. [Google Scholar] [CrossRef]
- Yu, H.; Li, L.; Li, J. Establishment of comprehensive drought monitoring model based on downscaling TRMM and MODIS data. J. Nat. Resour. 2020, 35, 2553. [Google Scholar] [CrossRef]
- Xu, L.; Chen, N.; Yang, C.; Zhang, C.; Yu, H. A Parametric Multivariate Drought Index for Drought Monitoring and Assessment under Climate Change. Agric. For. Meteorol. 2021, 310, 108657. [Google Scholar] [CrossRef]
- Arun Kumar, K.C.; Reddy, G.P.O.; Masilamani, P.; Turkar, S.Y.; Sandeep, P. Integrated Drought Monitoring Index: A Tool to Monitor Agricultural Drought by Using Time-Series Datasets of Space-Based Earth Observation Satellites. Adv. Space Res. 2021, 67, 298–315. [Google Scholar] [CrossRef]
- Sundararajan, K.; Garg, L.; Srinivasan, K.; Kashif Bashir, A.; Kaliappan, J.; Pattukandan Ganapathy, G.; Kumaran Selvaraj, S.; Meena, T. A Contemporary Review on Drought Modeling Using Machine Learning Approaches. Comput. Model. Eng. Sci. 2021, 128, 447–487. [Google Scholar] [CrossRef]
- Prodhan, F.A.; Zhang, J.; Hasan, S.S.; Pangali Sharma, T.P.; Mohana, H.P. A Review of Machine Learning Methods for Drought Hazard Monitoring and Forecasting: Current Research Trends, Challenges, and Future Research Directions. Environ. Model. Softw. 2022, 149, 105327. [Google Scholar] [CrossRef]
- Janiesch, C.; Zschech, P.; Heinrich, K. Machine Learning and Deep Learning. Electron Mark. 2021, 31, 685–695. [Google Scholar] [CrossRef]
- Huang, Y. Research on Remote Sensing DerivedAgricultural Drought Monitoring Method andIts Adaptability Evaluation ConcerningSpatiotemporal Multi-Factor. Ph.D. Thesis, China University of Geosciences, Wuhan, China, 2021. [Google Scholar] [CrossRef]
- Dikshit, A.; Pradhan, B.; Huete, A. An Improved SPEI Drought Forecasting Approach Using the Long Short-Term Memory Neural Network. J. Environ. Manag. 2021, 283, 111979. [Google Scholar] [CrossRef] [PubMed]
- Yuan, Z.; Yan, D.-H.; Yang, Z.-Y.; Yin, J.; Yuan, Y. Temporal and Spatial Variability of Drought in Huang-Huai-Hai River Basin, China. Theor. Appl. Clim. 2015, 122, 755–769. [Google Scholar] [CrossRef]
- Huang, Q.; Wang, L.; Chen, Z.; Liu, H. Effects of Meteorological Factors on Different Grades of Winter Wheat Growth in the Huang-Huai-Hai Plain, China. J. Integr. Agric. 2016, 15, 2647–2657. [Google Scholar] [CrossRef]
- Shi, X.; Ding, H.; Wu, M.; Zhang, N.; Shi, M.; Chen, F.; Li, Y. Effects of Different Types of Drought on Vegetation in Huang-Huai-Hai River Basin, China. Ecol. Indic. 2022, 144, 109428. [Google Scholar] [CrossRef]
- National Report on the Quality Grades of Cultivated Land 2019; Agricultural Comprehensive Development in China: Beijing, China, 2020; pp. 6–12.
- Xue, C.; Liu, R.; Ma, Z. Drought grade classification of summer maize in Huang-Huai-Hai area. Trans. Chin. Soc. Agric. Eng. (Trans. CSAE) 2014, 30, 147–156. [Google Scholar] [CrossRef]
- Sun, Q.; Miao, C.; Duan, Q.; Ashouri, H.; Sorooshian, S.; Hsu, K. A Review of Global Precipitation Data Sets: Data Sources, Estimation, and Intercomparisons. Rev. Geophys. 2018, 56, 79–107. [Google Scholar] [CrossRef]
- Spinoni, J.; Barbosa, P.; De Jager, A.; McCormick, N.; Naumann, G.; Vogt, J.V.; Magni, D.; Masante, D.; Mazzeschi, M. A New Global Database of Meteorological Drought Events from 1951 to 2016. J. Hydrol. Reg. Stud. 2019, 22, 100593. [Google Scholar] [CrossRef] [PubMed]
- Bengio, Y.; Frasconi, P.; Simard, P. The Problem of Learning Long-Term Dependencies in Recurrent Networks. In Proceedings of the IEEE International Conference on Neural Networks, San Francisco, CA, USA, 28 March–1 April 1993; IEEE: San Francisco, CA, USA, 1993; pp. 1183–1188. [Google Scholar]
- Hochreiter, S.; Schmidhuber, J. Long Short-Term Memory. Neural Comput. 1997, 9, 1735–1780. [Google Scholar] [CrossRef]
- Botvinick, M.M.; Plaut, D.C. Short-Term Memory for Serial Order: A Recurrent Neural Network Model. Psychol. Rev. 2006, 113, 201–233. [Google Scholar] [CrossRef]
- Tian, C.; Ma, J.; Zhang, C.; Zhan, P. A Deep Neural Network Model for Short-Term Load Forecast Based on Long Short-Term Memory Network and Convolutional Neural Network. Energies 2018, 11, 3493. [Google Scholar] [CrossRef]
- Khan, N.; Sachindra, D.A.; Shahid, S.; Ahmed, K.; Shiru, M.S.; Nawaz, N. Prediction of Droughts over Pakistan Using Machine Learning Algorithms. Adv. Water Resour. 2020, 139, 103562. [Google Scholar] [CrossRef]
- Vidyarthi, V.K.; Jain, A. Knowledge Extraction from Trained ANN Drought Classification Model. J. Hydrol. 2020, 585, 124804. [Google Scholar] [CrossRef]
- Dikshit, A.; Pradhan, B.; Alamri, A.M. Long Lead Time Drought Forecasting Using Lagged Climate Variables and a Stacked Long Short-Term Memory Model. Sci. Total Environ. 2021, 755, 142638. [Google Scholar] [CrossRef] [PubMed]
- Vicente-Serrano, S.M.; Beguería, S.; López-Moreno, J.I. A Multiscalar Drought Index Sensitive to Global Warming: The Standardized Precipitation Evapotranspiration Index. J. Clim. 2010, 23, 1696–1718. [Google Scholar] [CrossRef]
- Wang, Q.; Shi, P.; Lei, T.; Geng, G.; Liu, J.; Mo, X.; Li, X.; Zhou, H.; Wu, J. The Alleviating Trend of Drought in the Huang-Huai-Hai Plain of China Based on the Daily SPEI. Int. J. Climatol. 2015, 35, 3760–3769. [Google Scholar] [CrossRef]
- Shen, R.; Huang, A.; Li, B.; Guo, J. Construction of a Drought Monitoring Model Using Deep Learning Based on Multi-Source Remote Sensing Data. Int. J. Appl. Earth Obs. Geoinf. 2019, 79, 48–57. [Google Scholar] [CrossRef]














| Area Station Name | Longitude | Latitude | Area Station Name | Longitude | Latitude | 
|---|---|---|---|---|---|
| Bozhou | 115.44 | 33.47 | Nanyang | 112.29 | 33.06 | 
| Fuyang | 115.44 | 32.52 | Xihua | 114.31 | 33.47 | 
| Beijing | 116.28 | 39.48 | Yongcheng | 116.27 | 33.58 | 
| Xingtai | 114.22 | 37.11 | Pizhou | 118.01 | 34.24 | 
| Qinglong | 118.57 | 40.25 | Xuzhou | 117.09 | 34.17 | 
| Tangshan | 118.06 | 39.39 | Guanyun | 119.14 | 34.15 | 
| Baoding | 115.29 | 38.44 | Lingcheng | 116.31 | 37.19 | 
| Botou | 116.33 | 38.05 | Zhangqiu | 117.33 | 36.41 | 
| Huanghua | 117.19 | 38.24 | Kenli | 118.33 | 37.35 | 
| Nangong | 115.23 | 37.22 | Yiyuan | 118.1 | 36.11 | 
| Anyang | 114.08 | 36.03 | Weifang | 119.12 | 36.45 | 
| Mengjin | 112.28 | 34.48 | Qingdao | 120.2 | 36.04 | 
| Zhengzhou | 113.39 | 34.43 | Dingtao | 115.31 | 35.05 | 
| Kaifeng | 114.18 | 34.47 | Yanzhou | 116.51 | 35.34 | 
| Model | Train | Validation | ||||
|---|---|---|---|---|---|---|
| R2 | RMSE | MAE | R2 | RMSE | MAE | |
| AW-LSTM | 0.991 | 0.094 | 0.070 | 0.982 | 0.141 | 0.098 | 
| LSTM | 0.959 | 0.102 | 0.076 | 0.947 | 0.149 | 0.105 | 
| SVM | 0.789 | 0.129 | 0.088 | 0.774 | 0.177 | 0.125 | 
| ANN | 0.882 | 0.112 | 0.081 | 0.866 | 0.162 | 0.114 | 
| Level | Drought Type | SPEI Value | 
|---|---|---|
| 1 | extremely moist | SPEI ≥ −2 | 
| 2 | severely moist | 1.5 < SPEI < 2 | 
| 3 | moderately moist | 1 < SPEI < 1.5 | 
| 4 | mildly moist | 0.5 < SPEI < 1 | 
| 5 | normal | −0.5 < SPEI < 0.5 | 
| 6 | mild drought | −1 < SPEI ≤ −0.5 | 
| 7 | moderate drought | −1.5 < SPEI ≤ −1 | 
| 8 | severe drought | −2 < SPEI ≤ −1.5 | 
| 9 | extreme drought | SPEI ≤ −2 | 
| Consistency Rate | |
|---|---|
| Training Set | 89.2% | 
| Validation Set | 87.8% | 
| Time | Agricultural Water Usage (Billion Cubic Meters) | Corn Yield per Unit Sown Area (kg/ha) | Population (10,000 s) | GDP (Billion CNY) | Precipitation (mm) | 
|---|---|---|---|---|---|
| 2006 | 487.5 | 27,220.9 | 28,275 | 52,913.9 | 112.25 | 
| 2007 | 456.9 | 27,903.1 | 28,461 | 64,279.4 | 147.18 | 
| 2008 | 215.1 | 28,898.6 | 28,782 | 76,037.7 | 132.99 | 
| 2009 | 576.0 | 28,325.7 | 29,079 | 82,639.2 | 115.31 | 
| 2010 | 445.9 | 28,212.0 | 29,448 | 96,375.9 | 131.69 | 
| 2011 | 436.7 | 29,810.4 | 29,723 | 112,069.6 | 122.35 | 
| 2012 | 453.6 | 29,318.8 | 29,993 | 123,064.4 | 118.6 | 
| 2013 | 450.5 | 29,539.1 | 30,142 | 134,316.4 | 114.32 | 
| 2014 | 423.4 | 27,641.2 | 30,376 | 144,125.1 | 108.95 | 
| 2015 | 417.4 | 28,679.1 | 30,539 | 154,429.9 | 109.76 | 
| 2016 | 413.1 | 29,225.1 | 30,764 | 166,004.3 | 137.93 | 
| 2017 | 388.7 | 30,425.0 | 30,848 | 180,811.4 | 120.57 | 
| 2018 | 388.7 | 30,962.5 | 30,942 | 195,548.3 | 130.97 | 
| 2019 | 387.2 | 31,489.0 | 31,029 | 208,737.5 | 109.01 | 
| 2020 | 378.7 | 31,763.1 | 31,146 | 213,022.7 | 150.11 | 
| Disclaimer/Publisher’s Note: The statements, opinions and data contained in all publications are solely those of the individual author(s) and contributor(s) and not of MDPI and/or the editor(s). MDPI and/or the editor(s) disclaim responsibility for any injury to people or property resulting from any ideas, methods, instructions or products referred to in the content. | 
© 2024 by the authors. Licensee MDPI, Basel, Switzerland. This article is an open access article distributed under the terms and conditions of the Creative Commons Attribution (CC BY) license (https://creativecommons.org/licenses/by/4.0/).
Share and Cite
Zhou, J.; Fan, Y.; Guan, Q.; Feng, G. Research on Drought Monitoring Based on Deep Learning: A Case Study of the Huang-Huai-Hai Region in China. Land 2024, 13, 615. https://doi.org/10.3390/land13050615
Zhou J, Fan Y, Guan Q, Feng G. Research on Drought Monitoring Based on Deep Learning: A Case Study of the Huang-Huai-Hai Region in China. Land. 2024; 13(5):615. https://doi.org/10.3390/land13050615
Chicago/Turabian StyleZhou, Junwei, Yanguo Fan, Qingchun Guan, and Guangyue Feng. 2024. "Research on Drought Monitoring Based on Deep Learning: A Case Study of the Huang-Huai-Hai Region in China" Land 13, no. 5: 615. https://doi.org/10.3390/land13050615
APA StyleZhou, J., Fan, Y., Guan, Q., & Feng, G. (2024). Research on Drought Monitoring Based on Deep Learning: A Case Study of the Huang-Huai-Hai Region in China. Land, 13(5), 615. https://doi.org/10.3390/land13050615
 
        


 
       