Abstract
The development and application of urban digital infrastructure can alter land use patterns and facilitate the aggregation of factors such as labor and capital, thereby influencing the land use efficiency in cities. Based on statistical data from 279 cities in China spanning from 2004 to 2019, this study employs fixed-effects and mediation models to analyze the impact of urban digital infrastructure on land use efficiency. The findings reveal that the construction of urban digital infrastructure significantly promotes the enhancement of land use efficiency, with technological innovation levels and industrial structural transformation serving as mediators between urban digital infrastructure and land use efficiency. The impact of urban digital infrastructure on land use efficiency exhibits heterogeneity across different city scales, urban tiers, geographic locations, and policy implementation batches. Its effects are more pronounced in larger-scale cities, higher-tier cities, those located in the central and western regions, and the first two batches of pilot cities. The research findings contribute to providing theoretical references and a decision-making basis for enhancing land use efficiency, advocating for increased investment in urban digital infrastructure construction, encouraging technological innovation levels, and facilitating the upgrading of industrial structural transformation.
1. Introduction
During the period from 1950 to 2019, the world experienced a substantial surge in its urban populace, escalating from 750 million to nearly 4.2 billion individuals. This trend reflects an era of profound urbanization that has unfolded over seven decades. It is projected that by the year 2050, the global urban population will exceed 6 billion, with an urbanization rate surpassing 70% [1]. In this context, the judicious allocation and management of land—a finite and indispensable natural asset—emerge as pivotal factors in propelling sustainable development and meeting the escalating demands of urban areas [2]. Land use efficiency is thus imperative for accommodating the expanding needs of urban populations while preserving ecological integrity and fostering economic growth. Land use efficiency is a critical measure of how effectively land is utilized to generate economic activity. This metric has a direct bearing on the overall quality and sustainability of urban development. As cities expand rapidly, there is often a concomitant increase in the misallocation and waste of land resources, which can result in suboptimal land use efficiency [3]. This phenomenon is exacerbated by the sprawling patterns of urban growth that frequently characterize developing economies, where the pressure to accommodate a burgeoning population and industrial activities leads to the haphazard conversion of agricultural and natural landscapes into urban spaces. Therefore, enhancing land use efficiency has become more urgent than ever before.
Currently, a new wave of technological, industrial, and energy revolutions is underway globally, with digital infrastructure rapidly gaining traction in fields such as land use. Urban digital infrastructure plays a foundational role in the development of digital technology and the digital economy, shifting resource allocation from physical space to digital space and effectively integrating the distribution of resources across spatial territories. Land use, as a mapping of economic activities in territorial space, runs through the inception, process, and end of urban digital infrastructure construction. Enhancing urban land use efficiency requires advancing the application of urban digital infrastructure to accelerate the transformation of production, living, and management methods. Moreover, as a crucial infrastructure in the digitalization process, the most direct impact of urban digital infrastructure is the utilization of land area. Therefore, there is connection between urban digital infrastructure and land use efficiency. However, existing literature does not provide conclusive evidence on how urban digital infrastructure affects land use efficiency. While some scholars have made preliminary explorations into the relationship between urban digital infrastructure and land use, few studies focused on their interaction in terms of land use efficiency. Furthermore, there is a lack of discussion on how urban digital infrastructure affects land use efficiency. In light of this, this study aims to address this question.
To address the existing research gap, this study utilizes panel data from 279 Chinese cities spanning from 2004 to 2019 to delve into the mechanisms and spillover effects of urban digital infrastructure on land use efficiency. Additionally, this study examines the mediating role of technological innovation and industrial structure in the process by which urban digital infrastructure affects land use efficiency. To achieve these objectives, this study employs a multi-period difference-in-differences analysis and mediation effect models to test the research hypotheses.
The potential contributions of this study mainly lie in the following four aspects. Firstly, this study reveals the relationship between urban digital infrastructure and land use efficiency, for which a consistent conclusion has not been reached in previous research. By employing empirical methods, this study contributes to enriching previous studies. Secondly, this study treats the “Broadband China” Policy as a quasi-natural experiment and employs a multi-period difference-in-differences analysis to identify the causal effect of urban digital infrastructure on land use efficiency. In comparison to previous studies that construct indices related to internet development to measure digital infrastructure, this approach helps alleviate endogeneity issues that may arise from using indices to measure digital infrastructure due to indicator errors to some extent. Thirdly, this study contributes to the literature by identifying the underlying mechanisms through which digital infrastructure affects land use efficiency. It investigates from the production side, such as technological progress and production structure, providing policy implications for the impact of urban digital infrastructure on land use efficiency. Lastly, this study identifies the key regional characteristics that drive urban digital infrastructure to empower land use efficiency. It explores the heterogeneity of the impact of urban digital infrastructure on land use efficiency across different city scales, urban tiers, geographic locations, and policy implementation batches, explaining the spatial spillover effects of urban digital infrastructure and providing empirical evidence for the spatial optimization of urban digital infrastructure layout. The research findings contribute to expanding the theoretical understanding of the impact of urban digital infrastructure on land use efficiency.
The organization of the remainder of this study is put up as follows. In Section 2, we focus on the theoretical framework of this study, and emphasis is stressed on the literature review and research hypotheses. The model, variables, and data sources are presented in Section 3. Section 4 analyzes the empirical results. Section 5 examines the mechanisms of action. Section 6 conducts heterogeneity analysis, while Section 7 concludes.
2. Literature Review and Research Hypotheses
2.1. Literature Review
2.1.1. Research on the Effects of Urban Digital Infrastructure
The economic concept of “infrastructure” can be traced back to theoretical literature in development economics. Initially, infrastructure referred to social overhead capital, encompassing aspects such as electricity, highways, railways, water supply, and communication [4]. Subsequently, it further expanded to include areas such as schools and hospitals. Nowadays, with the enrichment of the academic discourse on infrastructure, most scholars have arrived at a relatively unified conclusion. They believe that digital infrastructure refers to industries, organizations, and institutions that provide fundamental public services to guarantee social production and residents’ livelihoods. This mainly includes various fields such as transportation, water and power supply, commercial services, and scientific and technological services [5].
As an important foundation and engine driving the development of digital technology, the significance of urban digital infrastructure is increasingly prominent. The macro and microeconomic effects of urban digital infrastructure have also become one of hot research topics in recent years. At the micro level, Sun et al. (2023) [6] utilized the “Broadband China” Policy as a shock and employed the difference-in-differences analysis to investigate the impact. They found that urban digital infrastructure can significantly increase corporate mergers and acquisitions. Zhai et al. (2023) [7] conducted an empirical analysis based on comprehensive panel data of A-share listed companies from 2011 to 2021. The study found that urban digital infrastructure can promote corporate ESG performance by increasing research and development investment, enhancing corporate management, and improving information transparency. Tian et al. (2023) [8] utilized the recently launched nationwide “Broadband China” Policy as a natural experiment to empirically study how digital infrastructure can promote inter-regional collaborative innovation among enterprises by reducing transaction costs. At the macro level, Aschauer (1989) [9] argues that the significant decline in productivity in the United States during the 1970s and 1980s was caused by reduced infrastructure investment. This study advocates for increased attention and investment in infrastructure to address the issues of declining productivity and slowing economic growth. Xiao et al. (2024) [10] conducted empirical research using comprehensive panel data from 240 cities in China spanning from 2009 to 2019. They found that urban digital infrastructure can effectively reduce urban carbon dioxide emissions and promote regional economic low-carbon sustainable development. At the macro level, research on urban digital infrastructure also focuses on its impact on economic policies [11], employment structure [12], industrial structure upgrading [13], resource curse [6], labor market [14], and trade [15,16].
2.1.2. Research on the Effects of Land Use Efficiency
Land use refers to the human management and alteration of natural landscapes for various purposes, including agriculture, forestry, urban development, and other activities [17]. Due to the finite nature and the growing demand of land resources, particularly in regions facing land scarcity, there is a pressing need to optimize land use efficiency [18]. Enhancing land use efficiency involves employing strategies and practices that maximize the productivity and sustainability of land resources, ensuring that the available land can support multiple uses while preserving ecological balance and promoting economic growth. Improving land use efficiency is essential for meeting the food security needs of a growing population, mitigating the impacts of climate change, and conserving biodiversity. In many countries, there are restrictions on foreigners acquiring ownership of agricultural land due to the scarcity of land [19]. Therefore, it is imperative to enhance land use efficiency. The concept of land use efficiency originally stemmed from agricultural land use efficiency. In recent years, with the development of urbanization, scholars have begun to focus on urban land use efficiency. There is no consensus in the academic community regarding the concept and connotation of land use efficiency. Some scholars only consider the economic benefits of land and define land use efficiency as the ratio of actual land area input when economic, social, and environmental factors are at their optimum levels [20]. In addition, some scholars propose that land use efficiency can directly reflection of the coupling level between urban systems and land use systems, serving as a key indicator for measuring the rational allocation and efficient utilization of production factors under the backdrop of high-quality economic development. These concepts all indicate the academic research has extensively explored methods to enhance land use efficiency. As early as 1957, Edward West proposed the concept of intensive land use, which involves specific production activities aimed at increasing output and yield per unit of land area. This approach serves to improve land use efficiency by maximizing productivity within a given land area [21]. As theoretical frameworks continue to evolve, research has incorporated new elements such as urbanization [22], land resource allocation [23], residents’ economic activities [24], industrial structure [25], transportation facilities [26,27], and environmental resources [28] into the scope of the investigation. The aim is to explore the relationship between these factors and land use efficiency, seeking to identify underlying patterns. Some scholars also utilize specific domain-specific econometric models, such as the Watershed Health Index Model [29], the Global Economic Model [30], etc. to analyze the impact patterns of various factors in different domains on land use efficiency. Scholars have not only conducted research in theoretical aspects but have also undertaken numerous relevant studies in applied practice. Erik improves the utilization rate of urban land through institutional means such as land banking and land consolidation [31]. Jean-Claude monitors the urban land market and suggests that establishing a sound land price system is a feasible approach to enhancing the utilization rate of urban land [32].
The above-mentioned studies have deepened our understanding of land utilization, yet there are still the following shortcomings: (1) The relationship between urban digital infrastructure and land use efficiency remains unclear. (2) Most studies are concentrated on provincial capital cities in China or focus on mega-cities, lacking comprehensive analyses of the prefecture-level cities in China.
2.2. Research Hypotheses
Land use efficiency is the result of the combined effects of policy, funding, technology, and the market. From the perspective of government policies and service levels, urban digital infrastructure is mostly applied in public administration, significantly enhancing the transparency of government policies and the efficiency of services, as well as improving the level and quality of public services. From the perspective of the direct impact of urban digital infrastructure on enterprises, urban digital infrastructure can alleviate corporate financing constraints [33], enhance innovation levels [6], accelerate the digital transformation of enterprises, and drive high-quality economic development. Especially for comparatively underdeveloped regions, digital technology can be widely applied, leading to breakthrough effects on the comprehensive capacity and level of urban development. From the comprehensive perspective of urban digital infrastructure’s impact on regions, it blurs the boundaries of time and space, breaking down market segmentation between different regions, promoting the improvement of regional marketization levels, and facilitating the coordinated development of regions. In addition, urban digital infrastructure, with data interoperability and open sharing as its development prerequisites, enables the full realization of network effects under Metcalfe’s Law. This greatly enhances the collective benefits of unit land factor inputs and reduces the loss of land use efficiency. Urban land use efficiency is influenced by various factors. In the digital technology era, the level of technological innovation and the upgrading of industrial structure serve as prominent channels through which urban digital infrastructure affects land use efficiency.
2.2.1. Urban Digital Infrastructure, Technological Innovation, and Land Use Efficiency
The use of urban digital infrastructure facilitates communication and collaboration among innovative entities, thereby providing a convenient avenue for accessing innovation resources. Essentially, urban digital infrastructure can reduce the costs of information and technology transmission, enhance dissemination speed, and effectively facilitate the diffusion of existing technologies and the emergence of new ones [34]. According to the marginal cost theory, digital technology minimizes market information costs and allows for the fastest acquisition of information. Therefore, it is inevitable that urban digital infrastructure accelerates the pace of technological innovation and diffusion, consequently enhancing resource allocation efficiency and driving the improvement of overall factor productivity of enterprises. This, in turn, optimizes the structure of land resource allocation and enhances land use efficiency. Furthermore, urban digital infrastructure strengthens government supervisory capabilities, compelling enterprises to enhance their level of technological innovation through strengthened regulatory oversight [35].
The improvement of land use efficiency through technological innovation can be divided into two aspects [8]. First, it is aimed at the underlying logic of digital technology. The digital economy relies on the application of new digital technologies such as the Internet of Things, big data, cloud computing, and artificial intelligence, affecting land factors through data elements from the source. For example, the gradual improvement of urban digital infrastructure will significantly reduce transaction costs [8], and broaden the mobility range of capital, labor, and other factors. This, in turn, will intensify the diffusion of advanced knowledge and information, strengthening regional technological innovation and enhancing land use efficiency. Secondly, it is oriented towards the production process. Compared to traditional infrastructure, urban digital infrastructure can significantly reduce human reliance on time and space in the production process through the scale application of communication technology and information networks. At this point, a variety of functions such as residence, work, and leisure coexist on the same unit of land, showing a trend of compatible land use functions. The intensification and diversification of land use increase, significantly improving the efficiency level of urban land use.
Based on the above analysis, the following hypothesis is proposed:
Hypothesis H1a:
Urban digital infrastructure enhances land use efficiency by increasing the level of technological innovation.
2.2.2. Urban Digital Infrastructure, Industrial Structure Transformation, and Land Use Efficiency
Urban digital infrastructure plays a positive role in promoting industrial structural transformation [36,37,38]. In terms of industrial structure, urban digital infrastructure plays a pivotal role in promoting the development of industrial patterns by integrating traditional industries and introducing entirely new formats. Digital urban infrastructure such as digitized production processes, automated systems, and IOT (Internet of Things) technology can significantly enhance production efficiency. Through real-time data monitoring, intelligent control, and automated operations, enterprises can manage production processes more efficiently, and reduce resource wastage, thereby driving industrial structures towards more efficient and advanced directions. Additionally, urban digital infrastructure serves as the foundation of the digital economy, driving industrial structures towards digitization and informatization. Emerging industries such as e-commerce, online services, and digital creative industries are flourishing, bringing greater diversification and higher value-added elements to industrial structures.
The transformation of industrial structures can improve land use efficiency from multiple aspects [39,40]. From the perspective of industrial mobility, the transformation of industrial structure can drive factors that meet social and economic demands to become important driving forces for improving land use efficiency [41,42]. From a spatial perspective, industrial structural transformation can affect the spatial layout of various industries, promoting the coordination of land resources, employment, real estate, and other functional spaces [43]. According to Alonso’s bid-rent theory, each land use type in a city has its own bid-rent curve [44] and optimization of industrial structure will continuously drive changes in land use patterns. From the perspective of industrial clustering, industrial structural transformation can significantly reduce the difficulty and cost of geographic dissemination of knowledge and technology through agglomeration effects [45]. By facilitating multi-level learning, communication, and simulation, it promotes the sharing of information and technology among industry employees [46], thereby enhancing the economic efficiency of land use.
Based on the above analysis, we propose Hypothesis H1b.
Hypothesis H1b:
Urban digital infrastructure enhances land use efficiency by facilitating industrial structural transformation.
2.2.3. Heterogeneous Impact of Urban Digital Infrastructure on Land Use Efficiency
There are certain differences in land use efficiency between different types of digital infrastructure in different types of cities. This study analyzes its heterogeneity from four perspectives and explores the potential of improving land use efficiency for various types of urban digital infrastructure.
First, differences in city scales. Larger cities often have more people and businesses, which creates a huge demand for information flows. In this environment, digital infrastructure can provide a high-speed and efficient platform for information exchange, facilitate the flow of information, and help people use land resources more efficiently. In contrast, small-scale cities usually have low population density and relatively scattered economic activities, making it difficult to form scale effects, and the industrial structure is relatively simple, the need for information exchange and data sharing may not be as urgent as in large cities, and there is less room for digital infrastructure to play.
Based on the above analysis, the following hypothesis is proposed:
Hypothesis H2a:
For larger city scales, urban digital infrastructure plays a more significant role in improving land use efficiency.
Second, differences in urban tiers. High-tier cities face more management challenges, for example, traffic congestion, waste of resources, and so on. Digital infrastructure can provide intelligent management tools, helping city managers make better use of land and improve resource efficiency. Compared to higher-tier cities, lower-tier cities cover fewer industries, shorter industrial chains, and less demand for information flow, therefore, the effect was not significant in cities with lower-tier cities.
Based on the above analysis, the following hypothesis is proposed:
Hypothesis H2b:
For the higher the level of the city, the more significant the role of urban digital infrastructure in improving land use efficiency.
Third, differences in the geographical location of the city. Cities in the central and western regions have uneven levels of development, and some areas are facing a lack of resources and a relatively backward economy. Urban digital infrastructure can provide important support for urban layout. Digital urban planning and land use models help city managers formulate scientific and reasonable development strategies, optimize urban layout, and improve land use efficiency. The eastern region usually has a relatively stable economy and a relatively more mature market. Therefore, compared with the central and western regions, the demand and application scenarios of digital infrastructure in eastern cities are likely to be relatively stable.
Based on the above analysis, the following hypothesis is proposed:
Hypothesis H2c:
For cities located in the central and western regions, the role of urban digital infrastructure in improving land use efficiency is more significant.
Fourth, differences in policy implementation batches. The first two batches of pilot cities started earlier in the investment and construction of digital infrastructure and have better capital accumulation and richer experience. It has demonstrated strong strength in digital governance, data analysis, and intelligent decision-making, this enables them to make more effective use of digital means to optimize the land use structure and improve land use efficiency. The third batch of pilot cities started late, and the application of digital infrastructure needs to be timely and mature over a period of time, and the policy effect has a certain lag. In the initial stage, it may be necessary to carry out tedious work such as system debugging and manual training making the application of technology at its best.
Based on the above analysis, the following hypothesis is proposed:
Hypothesis H2d:
For cities in the first two batches of pilots, the more significant the role of urban digital infrastructure in improving land use efficiency.
3. Research Design
3.1. Model Construction
3.1.1. Fixed Effects Model
To verify the impact of urban digital infrastructure on land resource use efficiency, this study adopts a relatively simple method. It compares the differences in land use efficiency before and after cities become “Broadband China” pilot cities. This is conducted to assess the influence of this infrastructure on land use efficiency using the difference-in-differences analysis. However, conclusions drawn from this type of difference-in-differences analysis may not be accurate because other factors may also influence land use efficiency before and after the establishment of “Broadband China” cities. Furthermore, other policies released during the same period may also affect the land use efficiency of cities that have not become “Broadband China” cities. These factors can influence the accuracy of the conclusions drawn. The difference-in-differences analysis may not account for all these factors and could lead to overestimation of results. Therefore, the impact of urban digital infrastructure needs to be assessed using a more scientifically rigorous approach, such as the difference-in-differences analysis.
To explore the impact of urban digital infrastructure on urban land use efficiency (ulue), this study takes the “Broadband China” Policy as a quasi-natural experiment, drawing on the research of Wang et al. (2022) [47]. We employ a multi-period difference-in-differences analysis to elucidate the relationship between these two variables and construct the following panel data model with fixed effects in both directions:
where subscript i denotes a specific city, and subscript t denotes a specific time period. represents the land-use efficiency of city i in year t. indicates whether city i is a “Broadband China” city in year t. represents the intercept term. represents the control variable set. and denote city fixed effects and time fixed effects. is the random disturbance term. represents the average impact effect of urban digital infrastructure on land use efficiency; if is greater than 0, it indicates that urban digital infrastructure can improve urban land use efficiency; if is less than 0, it indicates that urban digital infrastructure reduces urban land use efficiency.
3.1.2. Mediation Effects Model
The urban digital infrastructure utilizes big data cloud technology and digital management methods to enhance land use efficiency through technological innovation and industrial structure transformation as intermediaries. To validate this assertion, this study further constructs a mediation effects model to examine whether technological innovation and industrial structure transformation play a mediating role in the impact of urban digital infrastructure on land use efficiency.
Drawing on existing research [48], mediation model is adopted for linear regression analysis, constructed as follows:
In this equation, represents the direct effect of the independent variable on the dependent variable represents the mediating effect of the independent variable on the dependent variable . and represent the residual term.
Selecting land use efficiency () as the dependent variable, urban digital infrastructure (e) as the explanatory variable, and technological innovation () and industrial structure transformation () as mediating variables, the following model is constructed.
In this equation, represents the land use efficiency of city at time period , stands for technological innovation or industrial structure transformation in city at time period denotes the value of control variables in city at time period . and represent the coefficient to be estimated. represents the random disturbance term.
3.2. Data Source
3.2.1. Explained Variable
Most literature currently utilizes Data Envelopment Analysis (DEA) to measure land use efficiency [49]. Its advantages lie in its flexibility compared to other methods, as DEA can assign weights to input-output indicators across different dimensions and variables [50]. Therefore, this study employs the DEA method to calculate the land use efficiency of 279 cities from 2004 to 2019. Drawing on existing research [51,52], this study constructs an indicator system for land use efficiency from the perspectives of input and output factors.
(1) Input Indicators: In accordance with the production function, land factors are incorporated into the production function model. At the input level, this study mainly selects indicators from three aspects: land, capital, and labor [53]. Specifically, the land indicator is represented by the urban construction area. Capital is represented by the total investment in fixed assets. Labor is represented by the number of employees in the secondary and tertiary industries.
(2) Output indicators: These indicators are selected from three aspects: economic, social, and environmental. Economic indicators are represented by the added value of the secondary and tertiary industries. Social indicators are represented by the total urban population. Environmental indicators are represented by the concentration of PM2.5. Among them, the environmental indicator belongs to non-desired output.
Table 1 lists the specific components of the variables.
Table 1.
Indicator system of land use efficiency.
3.2.2. Explanatory Variables
In this study, there are a total of 279 samples of prefecture-level cities. Among them, 105 cities became “Broadband China” cities between 2014 and 2016. This provides a good quasi-natural experiment for adopting the difference-in-differences analysis. Specifically, the 105 “Broadband China” cities constitute the treatment group, while the remaining cities that did not receive approval form the control group. Referring to the study by Hong et al. (2023) [54], a dummy variable dige is set based on the event of different cities being selected as “Broadband China” cities at different times. If a city was selected as a “Broadband China” city during the sample period (i.e., treatment group), and the observation time is after the year of selection, the dige variable takes the value of 1; otherwise, it takes the value of 0.
3.2.3. Control Variables
Based on previous studies on land use efficiency [55,56], this study selects research investment (rd), population density (pop), industrial structure (is), economic development level (eco), and education investment (edu) as control variables.
Table 2 lists the detailed information of the variables.
Table 2.
Main variable definition.
3.2.4. Mediating Variables
This study selects technological innovation level (inno) and industrial structure transformation (stru) as the mediating variables. Among them, the number of regional patent authorizations is used to measure regional innovation capacity, which can better reflect the level of technological innovation. Industrial structure transformation is measured by the proportion of the tertiary industry to the regional gross domestic product.
This study employs panel data encompassing 279 cities at the prefecture level and above across China, spanning the years 2004 to 2019. Given that the Broadband China policy was enacted from 2014 to 2016, this study covers this interval to evaluate the policy’s effects on land use efficiency. Furthermore, the inclusion of data up to 2019 allows for the examination of land use trends in the context of broader socioeconomic changes, including the unprecedented influence of the COVID-19 pandemic, thereby providing a more holistic understanding of land use dynamics in China. Data on urban construction land area, economic, social, and other aspects were sourced from databases such as the “China Urban Construction Statistical Yearbook”, “China Urban Statistical Yearbook”, and “China Statistical Yearbook.” PM2.5 data were obtained from the Social Economic Data and Application Center at Columbia University in the United States. Land use efficiency was calculated based on collected existing data using the DEA method. Missing data for some variables were filled by referring to various city statistical yearbooks or using the linear interpolation method, and cities with severe missing data for individual variables were excluded. All empirical results in this study are obtained using Stata 17.0 for regression analysis.
4. Analysis of Empirical Results
4.1. Descriptive Statistics
Urban areas, as evidenced by the data presented in Table 3, exhibit considerable variation in land use efficiency, with an average of 0.294. The disparity is further highlighted by the extreme values of 0.754 and 0.065, suggesting that some urban centers are highly efficient in their land utilization, while others lag behind considerably. The standard deviation of 0.144 reflects this widespread, indicating a high degree of variability in land use efficiency among the sampled urban areas. Similarly, the digital infrastructure, represented by the index ‘rd’, displays a range from a maximum of 0.097 to a minimum of −0.002, with a median of 0.014. These figures reveal a mixed landscape of digital infrastructure development within the urban context, with some cities showing substantial investment and advancement, and others showing negligible progress or even decline. Both sets of statistics underscore the heterogeneity in resource allocation and development priorities across different urban locales, which could be influenced by a variety of factors, including economic policies, technological capabilities, population density, and governance structures. The descriptive statistics for additional variables correspond with findings from previous studies.
Table 3.
Descriptive statistics.
4.2. Baseline Return
This study first estimates the direct impact of urban digital infrastructure on land use efficiency. Due to the difference in the timing of the establishment of “Broadband China” cities, it provides us with a good “quasi-natural experiment”. Therefore, this study uses the difference-in-difference analysis to evaluate the net effect of urban digital infrastructure on land use resources. The regression results are shown in Table 4.
Table 4.
Baseline regression.
In Table 4, the regression results without adding control variables are depicted in column (1), while the effects of incrementally incorporating control variables are displayed across columns (2) to (6). The table reveals that irrespective of the number of control variables included or their absence, the regression coefficient for “dige” remains consistently and significantly positive. This suggests that urban digital infrastructure exerts a substantial positive influence on land use efficiency. The findings presented in Table 4 affirm the substantial and significant effect of urban digital infrastructure on land use efficiency.
4.3. Robustness Test
In order to ensure the stability of the core assumptions above, in this study, the robustness test is carried out from several aspects, such as parallel trend test, placebo effect, exclusion of some samples, exclusion of interference and promotion effect evaluation of other policies affecting land use efficiency.
4.3.1. Parallel Trend Analysis
The difference-in-difference (DID) analysis is used on the premise that the parallel trend test must be satisfied. That is, there was no significant difference in time trend between the treatment group and the control group before the policy intervention. This study draws on the practices of Beck et al. (2010) [57] and Jacobson et al. (1993) [58]. Parallel trend testing was performed by the Event Study Approach. The model settings are as follows:
is a dummy variable representing the year after the implementation of the “Broadband China” Policy. Specifically, represents the first year of the implementation of the “Broadband China” Policy in pilot cities, and represents the k-th year of the pilot implementation of the “Broadband China” Policy. Corresponding to the baseline regression model, the year before the implementation of the “Broadband China” Policy is taken as the baseline year. In Equation (2), ≠ 1. The coefficient is the key variable of interest in the parallel trends test. This coefficient reflects the degree of difference in land use efficiency between the treatment group and the control group cities before and after the pilot implementation of the “Broadband China” Policy. If is not significantly different from 0 during the period < 0, indicating a relatively flat trend; it is considered to pass the parallel trend test.
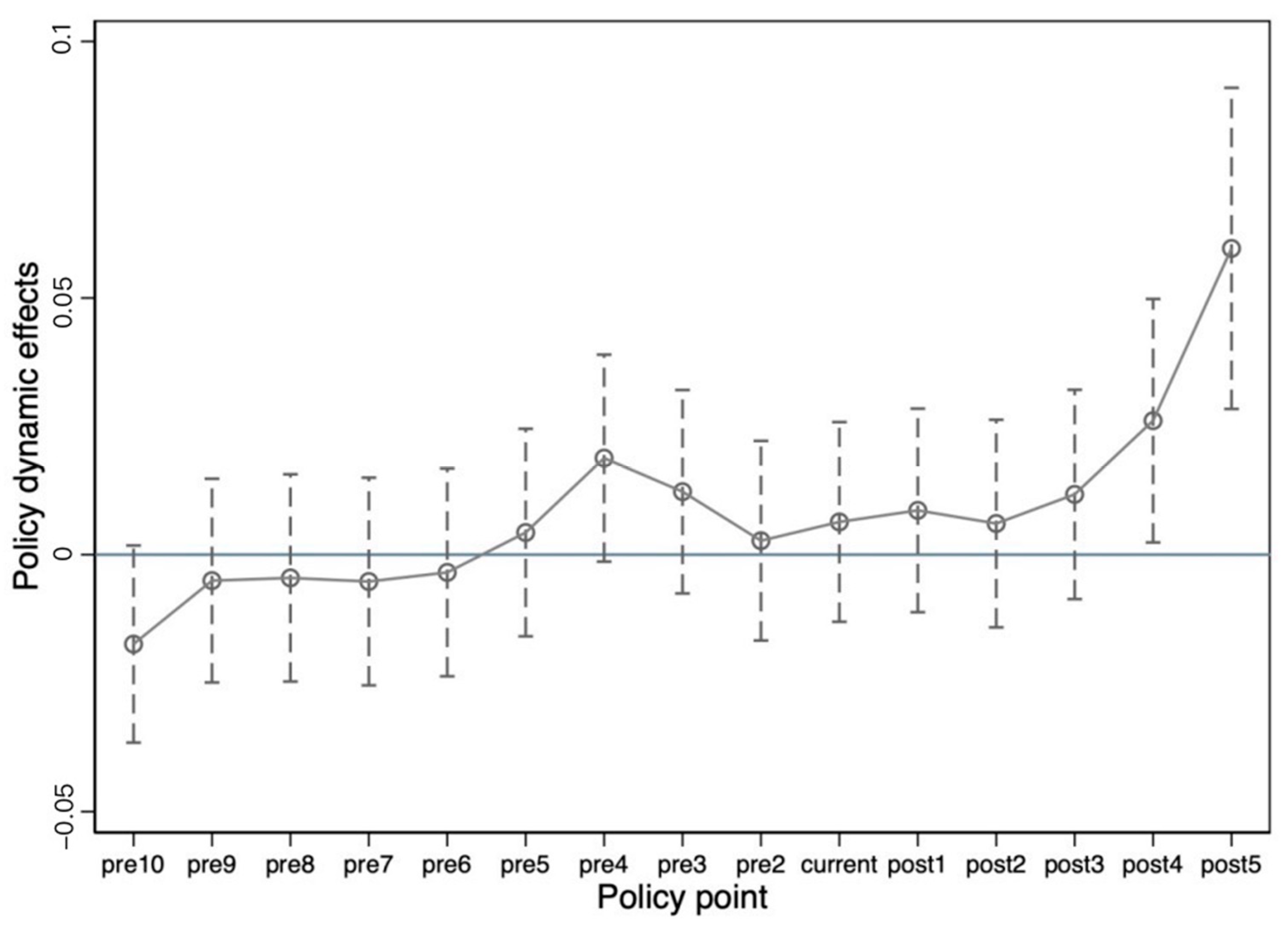
The regression results obtained by Equation (6) are shown in Figure 1. The regression coefficients before the policy were not significant. Thus, there was no significant difference between the experimental group and the control group during this period, and the parallel trend hypothesis is valid. The test of dynamic effects shows that on the one hand, the impact of urban digital infrastructure on land use efficiency has a short-term lag. It is reflected in the policy effect, and there is no significant impact from the current period to the third year after that. From the fourth year onwards, it showed a significant positive effect. On the other hand, the policy impact is long-term. Judging by the regression coefficient, the growth trend has been maintained since the 2nd~5th year, indicating that the positive impact effect of the policy effect has been increasing with the passage of time. This may be due to the fact that in the early days of urban digital infrastructure construction. Although the land area, energy consumption, and personnel input have increased to varying degrees, it is difficult to reflect in the short term. There is a certain time lag. With the continuous improvement of the overall planning and integrated development within the city, more comprehensive and long-term hidden dividends have begun to continue to promote the efficient use of catalyzed land, which in turn is reflected in the long-term impact effect.
Figure 1.
Parallel trend analysis.
4.3.2. Placebo Effect
In this study, a placebo test is used to further verify whether the impact of urban digital infrastructure on land use efficiency is due to other unobservable factors [27,59]. The specific operation is to randomly select the “pseudo-experimental group” with the same number as the original experimental group in the sample. It is assumed that these cities are “Broadband China” cities, and other cities are used as control groups. The sample was repeatedly estimated after 1000 replicates, and finally the regression results of 1000 times “as policy dummy variables” were obtained. The regression coefficients of the randomly selected samples were compared with the baseline regression estimation coefficients. If there are significant differences, it is considered that the policy effects studied in this study are not due to other unobservable factors. The results are shown in Figure 2, the regression coefficients were centrally distributed around the value of coefficient 0, which was significantly different from the coefficient of benchmark regression 0.012. It shows that the target of the “Broadband China” city treatment group set up immediately has no impact on land use efficiency, and it can be deduced that the policy effect is real. The conclusion remains robust.
Figure 2.
Placebo effect.
4.3.3. Exclude Partial Samples
Considering that the level of urban digital infrastructure construction in megacities and provincial capitals is much higher than that of other prefecture-level cities, In this study, re-entry was performed after excluding these cities to remove bias from the population estimates. The estimates are shown in column (1) of Table 5. Clearly, the construction of urban digital infrastructure can significantly improve the land use efficiency. The conclusion remains solid.
Table 5.
Exclusion of partial sample regression results.
4.3.4. Eliminate Interference from Other Policies That Affect Land Use Efficiency
In addition to the “Broadband China” Policy, there may also be other policies that affect land use efficiency in cities during 2004~2019. For example, the “National Big Data Comprehensive Experimental Zone”, the Smart City Pilot Policy, and the Low-Carbon City Pilot Policy. In order to accurately identify the policy effects of the “Broadband China” Policy, it is necessary to further exclude other policies that affect land use efficiency. Therefore, this study sets the above three policies as controls separately. Specifically, dummy variables are used to reflect the impact of the above policies, and the dummy variables representing these three policies are used as the control variables of model (1) for control and estimation, the regression results are shown in Table 6. Columns (1) to (3) are the regression results of joining the “National Big Data Comprehensive Experimental Zone”, the smart city pilot policy, and the low-carbon city pilot policy, respectively, column (4) is the regression result of adding all of the above policies to model (1). The coefficients of the explanatory variables are all significantly positive, which shows that the conclusion of the benchmark regression is still robust after excluding policy interference.
Table 6.
Exclude other policies from interfering with the regression results.
4.3.5. Evaluation of Promotion Effect
The “Broadband China” Policy is piloted in some cities and then extended to more places. The test of the effect of policy promotion is the basis for the overall promotion of the pilot policy, and it is also one of the meanings of the three batches of policy pilots of the “Broadband China” Policy. With the promotion of the pilot policy, the policy advantages and dividends enjoyed by urban digital infrastructure have declined comparatively. Whether urban digital infrastructure can continuously improve land use efficiency, that is, its promotion effect, is an important question to be examined in this study, as the “Broadband China” Policy is piloted in batches in different years. This study examines the effect of different batches of policies, identifying the diffusion effect of urban digital infrastructure. Specifically, multiplying the policy variables of the first batch, the first two batches, and all three batches of pilot cities by the temporal dummy variables, respectively, to get the interaction item dige. Under the setting of the benchmark model, the regression results of this variable in different batches reflect the promotion effect of the pilot policy. The estimates were made according to the settings of model (1) and the results are shown in Table 7.
Table 7.
Results of the “Broadband China” policy promotion effect.
As shown in Table 7, with the pilot policy extended to more cities, the impact of urban digital infrastructure on land use efficiency remains significantly positive. Judging from the magnitude of the coefficients, the policy has a promotion effect. However, with the increase in the number of cities and the scope of promotion, the impact of the policy has weakened. This may be because the second and third batches of pilot cities have relatively shorter periods of policy implementation. The policy effects exhibit lags and longer cycles, and the policy dividends have not been fully realized yet. With the increase in implementation years, the promotion effect of urban digital infrastructure on land use efficiency may further strengthen.
5. Mechanism Analysis
5.1. Technological Innovation
In order to further explore the mechanism of urban digital infrastructure on land use efficiency, based on the theoretical analysis in previous sections, this study takes technological innovation as the mediator variable and adopts a step-by-step testing approach to verify the existence of the mediation effect. The results of the mediation test are shown in Table 8. In column (1) of Table 8, the coefficient of urban digital infrastructure is 0.01, passing the 10% significance level test. In column (2), the coefficient of urban digital infrastructure is 0.344, passing the 10% significance level test, indicating that urban digital infrastructure enhances the level of technological innovation. In column (3), after adding the technological innovation mediator variable, the coefficient of technological innovation is 0.025, and it is significant at the 10% level. This indicates that technological innovation is the mechanism through which urban digital infrastructure enhances land use efficiency, effectively validating Hypothesis H1a.
Table 8.
Mediation test results of technological innovation.
5.2. Industrial Structure
Regression results are presented in Table 9 using industrial structure as a mediator variable. In column (1), the coefficient of urban digital infrastructure is 0.012, significant at the 10% level. In column (2), the coefficient of urban digital infrastructure is 0.006, significantly positive. This indicates that urban digital infrastructure can promote industrial structure transformation. Column (3) reports the regression results when both digital infrastructure and industrial structure are included in the model simultaneously. It can be observed that digital infrastructure can enhance land use efficiency by promoting industrial structure transformation, validating Hypothesis H1b.
Table 9.
Mediation test results of industrial structure transformation.
6. Heterogeneity Analysis
Through multiple robustness tests, this study validates the impact and mechanism of urban digital infrastructure on land use efficiency under the full sample status. However, it is worth noting that there may be differences in the utility of urban digital infrastructure on land use efficiency across different regional attributes and institutional settings. To investigate the potential heterogeneity in the promoting effect of urban digital infrastructure on land use efficiency, this study primarily examines several dimensions including city scales, urban tiers, geographic locations, and policy implementation batches.
6.1. City Scales
To further examine whether the effect of urban digital infrastructure on land use efficiency varies with different urban scales, this study categorizes cities with a permanent population greater than 5 million as large cities, and cities with a permanent population less than or equal to 5 million as medium and small cities. The regression results are shown in columns (1) and (2) of Table 10. It can be observed that for medium and small cities, the effect of urban digital infrastructure on land use efficiency is not statistically significant. However, in large cities, urban digital infrastructure can significantly promote land use efficiency. It can be observed that for medium and small cities, the effect of urban digital infrastructure on land use efficiency is not statistically significant. However, in large cities, urban digital infrastructure can significantly promote land use efficiency. The reason may be that in large cities, owing to their larger economic scales, greater resources, more complex urban systems, and increased government support and investment, urban digital infrastructure is more likely to have a significant impact on their land use. The diversified industrial structure and complex land use requirements in large cities enable digital technologies to optimize resource utilization, enhancing the multifunctionality and comprehensive utilization benefits of the land. On the contrary, medium and small cities may face challenges such as relatively limited resources, smaller scales, and lower levels of digital literacy among residents. This leads to urban digital infrastructure having a less significant impact on land use in these cities. Therefore, the influence of urban digital infrastructure on urban land use efficiency is significantly affected by the city scale. Hypothesis 2a is valid.
Table 10.
Heterogeneity analysis of urban scale.
6.2. Urban Tiers
Generally speaking, municipalities directly under the central government, sub-provincial cities, and provincial capitals serve as regional political and economic centers. They are also hubs for capital, talent, data, and other technological innovation elements. These factors may lead to differences in the impact of urban digital infrastructure on land use efficiency across different city grades. Table 11 divides sample cities into two groups for grouped regression analysis: ordinary cities and core major cities. Core major cities include municipalities directly under the central government, sub-provincial cities, and provincial capitals, while other cities are categorized as ordinary cities. The estimation results indicate that the impact of urban digital infrastructure on land use efficiency in core major cities is significantly positive, while in ordinary cities, it is not statistically significant due to policy influence. The significant positive impact of urban digital infrastructure on land use efficiency in core major cities can be attributed to various factors. Firstly, large cities have a more complex and diverse industrial structure. Digital technologies are more easily coordinated and integrated within them, enhancing the multifunctionality of land. Secondly, core major cities possess larger economic scales and higher population densities. Urban digital infrastructure is more likely to achieve economies of scale in such cities, better supporting urban management, public services, and industrial development, significantly enhancing land use efficiency. Additionally, large cities typically receive more government policy support and investment. Governments in these cities are more likely to enact proactive digital policies, effectively promoting the application of digital technologies in land use. In terms of innovation and development needs, large cities place greater emphasis on the development of high-end industries, where urban digital infrastructure exhibits more significant applications in these areas. On the contrary, some ordinary cities may experience relatively smaller impacts on land use efficiency improvement from urban digital infrastructure due to factors such as a more singular industrial structure, lower government investments, and lower digital demands from residents and businesses. The Hypothesis H2b has been validated as correct.
Table 11.
Analysis of urban grade heterogeneity.
6.3. Geographic Locations
Given the vast geographical expanse of China and significant disparities in natural resources and economic development levels between the eastern, central, and western regions, this study explores whether the impact of urban digital infrastructure on land use efficiency exhibits regional heterogeneity. As indicated by Table 12, there is clear regional heterogeneity in the impact of urban digital infrastructure on land use efficiency. Specifically, in central and western regions, the enhancement of urban digital infrastructure has a greater effect on land use efficiency. Possible reasons include, firstly, that cities in the central and western regions are relatively in earlier stages of development compared to those in the eastern region. The introduction of urban digital infrastructure can significantly propel the digital transformation of these cities. Secondly, the central and western regions face stronger government policy directives. Governments in these regions are more actively supportive of the development of urban digital infrastructure, thereby significantly enhancing land use efficiency. Furthermore, cities in the central and western regions exhibit relatively more flexible land demands and planning. Urban digital infrastructure can better meet the increasing land demands in these areas and enhance the multifunctionality of land. In contrast, due to their higher development levels and more mature policy frameworks, the impact of urban digital infrastructure on land use efficiency in eastern cities is relatively smaller. Overall, urban digital infrastructure is more likely to significantly enhance land use efficiency in central and western cities, while its impact in eastern cities is less significant due to policy and development level influences. The Hypothesis H2c is correct.
Table 12.
Regional heterogeneity regression results.
6.4. Policy Implementation Batches
As mentioned earlier, there are differences in the requirements for applying cities for the pilot policies of “Broadband China” cities in different batches. That is, the pilot policies of different batches not only have differences in the impact of urban digital infrastructure on land use efficiency over time but also imply heterogeneity in individual city characteristics and their effects. This study constructs dummy variables for different batches and interaction terms with the core explanatory variables dige and uses a triple difference model to test the heterogeneity of batches. As shown in Table 13, the coefficient of the first batch of pilots is significantly positive, the second batch is significantly negative, and the coefficient of the third batch is positive but not significant. This indicates a nonlinear trend of “promoting effect–inhibiting effect–no promoting effect” in the impact of urban digital infrastructure on land use efficiency. The Hypothesis H2d has been validated as effective.
Table 13.
The regression results of batch heterogeneity.
7. Conclusions and Policy Implications
This study first theoretically analyzes how urban digital infrastructure affects land use efficiency and the mediating role of technological innovation and industrial structure. It is believed that urban digital infrastructure has a positive impact on land use efficiency. Based on the panel data of 279 prefecture-level cities in China from 2004~2019, this study uses the multi-period difference-in-difference analysis and the Difference-in-Difference-in-Difference method to carry out an empirical study and draws the following conclusions: (1) Urban digital infrastructure has a significant role in promoting land use efficiency. This conclusion is still valid under multiple robustness strategies such as parallel trend hypothesis test, placebo test, exclusion of some samples, exclusion of interference from other policies affecting land use efficiency, and evaluation of promotion effect. (2) At the current stage of development, technological innovation and industrial structure upgrading showed a mediating effect in the impact of urban digital infrastructure on land use efficiency. (3) The impact of urban digital infrastructure on land use efficiency is heterogeneous in different city scales, urban tiers, geographic locations, and policy implementation batches.
Land is a fundamental resource vital to human existence and progress, ranking among the most precious assets. Its usage is safeguarded by stringent legal regulations. Efficient land management and the enhancement of land use efficiency are critical not only in satisfying societal demands for habitation, industrial output, and daily life but also in preserving the ecological balance and advancing sustainable economic growth. Consequently, fortifying land use efficiency is of utmost importance. Enhancing land use efficiency is imperative and necessitates collaborative endeavors from governments, corporations, and civil society. These stakeholders must work together to formulate and enact comprehensive policies and legislation aimed at ensuring the prudent utilization and conservation of land resources. Drawing upon the insights gleaned from the aforementioned research findings, this study presents several key observations.
Accelerate the application and popularization of urban digital infrastructure. Urban digital infrastructure has become an important driving force for urban economic development. Based on the development foundation of cities, promoting the orderly application and popularization of urban digital infrastructure in urban economic development, corporate innovation cooperation, and residents’ production and living is crucial. This facilitates rapid development and enhancement of various places within the urban area along the industrial chain.
Elevating land use efficiency should be given priority in urban digital infrastructure planning. Currently, the enhancement of land use efficiency is not explicitly listed as a core objective in the development of urban digital infrastructure. However, its significance for deepening reform and achieving high-quality development in urban digital infrastructure cannot be overlooked. It is recommended that the government strengthen the emphasis on land use efficiency when planning and formulating policies for the development of urban digital infrastructure.
To address the issue of uneven effects of urban digital infrastructure on land use efficiency due to variations in city scales, urban tiers, geographic locations, and policy implementation batches, efforts should be made to facilitate the dissemination of experiences and sharing of achievements in the development effects of urban digital infrastructure across different regions. This entails coordinating digital economic development policies at different stages, including targeted resource allocation, policy goal setting, and their alignment.
This study has some limitations. Firstly, due to constraints in data acquisition, the construction of indicators for land use efficiency is not perfect. In future research, we will keep pace with the times and improve these indicators by incorporating the latest studies. Secondly, regarding the influencing mechanisms, this study only considers factors from the production side, such as technological progress and industrial structure. In the future, we will expand our analysis to encompass both production and consumption dimensions, thereby gaining a more nuanced understanding of the influence exerted by urban digital infrastructure on land use efficiency. Moreover, as we collectively transition into the digital economy era, the role of urban digital infrastructure in shaping both our production methods and lifestyle choices is becoming increasingly prominent.
Author Contributions
Conceptualization, C.Z. and S.W.; methodology, C.Z.; software, Y.Z.; validation, C.Z., S.W. and Y.Z.; formal analysis, Y.Z.; investigation, S.W.; resources, C.Z.; data curation, S.W.; writing—original draft preparation, S.W.; writing—review and editing, Y.Z.; visualization, Y.Z.; supervision, S.W.; project administration, Y.Z.; funding acquisition, Y.Z. All authors have read and agreed to the published version of the manuscript.
Funding
This work was supported by the National Natural Science Foundations of China (72103022, 72174111), The Taishan Scholar Youth Expert Program of Shandong Province (NO. tsqnz20221106), and China Postdoctoral Science Foundation (2020TQ0048, 2021M700460).
Data Availability Statement
The original contributions presented in the study are included in the article, further inquiries can be directed to the corresponding author.
Conflicts of Interest
The authors declare no conflicts of interest.
References
- Roberts, M.; Mukim, M. (Eds.) Thriving: Making Cities Green, Resilient, and Inclusive in a Changing Climate; World Bank Publications: Washington, DC, USA, 2023. [Google Scholar]
- Popp, A.; Calvin, K.; Fujimori, S.; Havlik, P.; Humpenöder, F.; Stehfest, E.; Bodirsky, B.L.; Dietrich, J.P.; Doelmann, J.C.; Gusti, M.; et al. Land-use futures in the shared socio-economic pathways. Glob. Environ. Chang. 2017, 42, 331–345. [Google Scholar] [CrossRef]
- Zhang, H.; Zheng, J.; Hunjra, A.I.; Havlik, P.; Humpenöder, F.; Stehfest, E.; Bodirsky, B.L.; Dietrich, J.P.; Doelmann, J.C.; Gusti, M. How does urban land use efficiency improve resource and environment carrying capacity? Socio-Econ. Plan. Sci. 2024, 91, 101760. [Google Scholar] [CrossRef]
- Rosenstein-Rodan, P.N. Problems of industrialisation of eastern and south-eastern Europe. Econ. J. 1943, 53, 202–211. [Google Scholar] [CrossRef]
- Shi, Y.; Guo, S.; Sun, P. The role of infrastructure in China’s regional economic growth. J. Asian Econ. 2017, 49, 26–41. [Google Scholar] [CrossRef]
- Sun, J.; Zhai, C.; Dong, X.; Li, C.; Wang, Z.; Li, D.; Sun, Y. How does digital infrastructure break the resource curse of cities? Evidence from a quasi-natural experiment in China. Resour. Policy 2023, 86, 104302. [Google Scholar] [CrossRef]
- Zhai, C.; Ding, X.; Zhang, X.; Jiang, S.; Zhang, Y.; Li, C. Assessing the Effects of Urban Digital Infrastructure on Corporate Environmental, Social and Governance (ESG) Performance: Evidence from the Broadband China Policy. Systems 2023, 11, 515. [Google Scholar] [CrossRef]
- Tian, X.; Lu, H. Digital infrastructure and cross-regional collaborative innovation in enterprises. Financ. Res. Lett. 2023, 58, 104635. [Google Scholar] [CrossRef]
- Aschauer, D.A. Is public expenditure productive? J. Monet. Econ. 1989, 23, 177–200. [Google Scholar] [CrossRef]
- Xiao, X.; Liu, C.; Li, S. How the digital infrastructure construction affects urban carbon emissions—A quasi-natural experiment from the “Broadband China” policy. Sci. Total Environ. 2024, 912, 169284. [Google Scholar] [CrossRef] [PubMed]
- Wang, Q.; Xia, X.; Lan, S.; Li, M. Rural digital infrastructure and labor market: Evidence from universal telecommunication service. Asian Econ. J. 2023, 37, 293–325. [Google Scholar] [CrossRef]
- Ndubuisi, G.; Otioma, C.; Tetteh, G.K. Digital infrastructure and employment in services: Evidence from Sub-Saharan African countries. Telecommun. Policy 2021, 45, 102153. [Google Scholar] [CrossRef]
- Cen, T.; Lin, S.; Wu, Q. How Does Digital Economy Affect Rural Revitalization? The Mediating Effect of Industrial Upgrading. Sustainability 2022, 14, 16987. [Google Scholar] [CrossRef]
- Wang, Z.; Fu, H.; Liu, H.; Liao, C. Urban development sustainability, industrial structure adjustment, and land use efficiency in China. Sustain. Cities Soc. 2023, 89, 104338. [Google Scholar] [CrossRef]
- Park, C.; Heo, W. Review of the changing electricity industry value chain in the ICT convergence era. J. Clean. Prod. 2020, 258, 120743. [Google Scholar] [CrossRef]
- Zhou, F.; Wen, H.; Lee, C.C. Broadband infrastructure and export growth. Telecommun. Policy 2022, 46, 102347. [Google Scholar] [CrossRef]
- Sihlangu, P.; Odeku, K.O. Exploring the Intrinsic Roles of International Financial Institutions Fostering Redistributed Land for Development and Economic Growth in South Africa. Perspect. Law Pub. Admin. 2021, 10, 32. [Google Scholar]
- Peráček, T.; Srebalová, M.; Srebala, A. The Valuation of Land in Land Consolidation and Relevant Administrative Procedures in the Conditions of the Slovak Republic. Adm. Sci. 2022, 12, 174. [Google Scholar] [CrossRef]
- Fedchyshyn, D.; Ignatenko, I. Protection of land ownership of foreigners in Ukraine. Jurid. Trib. J.=Trib. Jurid. 2018, 8, 27–38. [Google Scholar]
- Jin, G.; Shi, X.; He, D.; Guo, B.; Li, Z.; Shi, X. Designing a spatial pattern to rebalance the orientation of development and protection in Wuhan. J. Geogr. Sci. 2020, 30, 569–582. [Google Scholar] [CrossRef]
- Northam, R.M. Urban Geography; John Wiley & Sons: New York, NY, USA, 1975. [Google Scholar]
- Barbosa, J.A.; Bragança, L.; Mateus, R. Assessment of land use efficiency using BSA tools: Development of a new index. J. Urban Plan. Dev. 2015, 141, 04014020. [Google Scholar] [CrossRef]
- Harrison, C.; Haklay, M. The potential of public participation geographic information systems in UK environmental planning: Appraisals by active publics. J. Environ. Plan. Manag. 2002, 45, 841–863. [Google Scholar] [CrossRef]
- Łowicki, D. Land use changes in Poland during transformation: Case study of Wielkopolska region. Landsc. Urban Plan. 2008, 87, 279–288. [Google Scholar] [CrossRef]
- Bin, Q.; Jian-Fei, C.H.; Hong-Lie, Q.I.; Römkens, M.J.; Xiao-Qi, Y.A.; Jiang, S.F.; Bi-Cheng, L.I. Spatial-temporal pattern and driving forces of land use changes in Xiamen. Pedosphere 2006, 16, 477–488. [Google Scholar]
- Osman, T.; Divigalpitiya, P.; Arima, T. Driving factors of urban sprawl in Giza Governorate of Greater Cairo Metropolitan Region using AHP method. Land Use Policy 2016, 58, 21–31. [Google Scholar] [CrossRef]
- DeSalvo, J.S.; Su, Q. Determinants of urban sprawl: A panel data approach. Int. J. Reg. Dev. 2017, 4, 1–25. [Google Scholar] [CrossRef]
- Burak, S.; Dogan, E.; Gazioglu, C. Impact of urbanization and tourism on coastal environment. Ocean Coast. Manag. 2004, 47, 515–527. [Google Scholar] [CrossRef]
- Langpap, C.; Hascic, I.; Wu, J. Protecting watershed ecosystems through targeted local land use policies. Am. J. Agric. Econ. 2008, 90, 684–700. [Google Scholar] [CrossRef]
- Verburg, P.H.; van Berkel, D.B.; van Doorn, A.M.; van Eupen, M.; van den Heiligenberg, H.A. Trajectories of land use change in Europe: A model-based exploration of rural futures. Landsc. Ecol. 2010, 25, 217–232. [Google Scholar] [CrossRef]
- Louw, E. Land assembly for urban transformation—The case of‘s-Hertogenbosch in The Netherlands. Land Use Policy 2008, 25, 69–80. [Google Scholar] [CrossRef]
- Du, J.; Thill, J.C.; Peiser, R.B. Land pricing and its impact on land use efficiency in post-land-reform China: A case study of Beijing. Cities 2016, 50, 68–74. [Google Scholar] [CrossRef]
- Guo, B.; Hu, P.; Lin, J. The effect of digital infrastructure development on enterprise green transformation. Int. Rev. Financ. Anal. 2024, 92, 103085. [Google Scholar] [CrossRef]
- Xu, X.; Watts, A.; Reed, M. Does access to internet promote innovation? A look at the US broadband industry. Growth Chang. 2019, 50, 1423–1440. [Google Scholar] [CrossRef]
- Li, Y.; Zhang, J.; Yang, X.; Wang, W.; Wu, H.; Ran, Q.; Luo, R. The impact of innovative city construction on ecological efficiency: A quasi-natural experiment from China. Sustain. Prod. Consum. 2021, 28, 1724–1735. [Google Scholar] [CrossRef]
- Guo, Q.; Wang, Y.; Dong, X. Effects of smart city construction on energy saving and CO2 emission reduction: Evidence from China. Appl. Energy 2022, 313, 118879. [Google Scholar] [CrossRef]
- Su, C.W.; Pang, L.D.; Tao, R.; Shao, X.; Umar, M. Renewable energy and technological innovation: Which one is the winner in promoting net-zero emissions? Technol. Forecast. Soc. Chang. 2022, 182, 121798. [Google Scholar] [CrossRef]
- Zhang, W.; Fan, H.; Zhao, Q. Seeing green: How does digital infrastructure affect carbon emission intensity? Energy Econ. 2023, 127, 107085. [Google Scholar] [CrossRef]
- Wang, B.; Wang, L.; Gong, B.; Yan, Z.; Hu, P. Does broadband internet infrastructure mitigate firm-level economic policy uncertainty? Evidence from the Broadband China Pilot Policy. Econ. Lett. 2023, 232, 111325. [Google Scholar] [CrossRef]
- Gao, X.; Zhang, A.; Sun, Z. How regional economic integration influence on urban land use efficiency? A case study of Wuhan metropolitan area, China. Land Use Policy 2020, 90, 104329. [Google Scholar] [CrossRef]
- Liu, J.; Hou, X.; Wang, Z.; Shen, Y. Study the effect of industrial structure optimization on urban land-use efficiency in China. Land Use Policy 2021, 105, 105390. [Google Scholar] [CrossRef]
- Saavedra, Y.M.; Iritani, D.R.; Pavan, A.L.; Ometto, A.R. Theoretical contribution of industrial ecology to circular economy. J. Clean. Prod. 2018, 170, 1514–1522. [Google Scholar] [CrossRef]
- Duranton, G.; Puga, D. From sectoral to functional urban specialisation. J. Urban Econ. 2005, 57, 343–370. [Google Scholar] [CrossRef]
- Alonso, W. Location and Land Use: Toward a General Theory of Land Rent; Harvard University Press: Cambridge, MA, USA, 1964. [Google Scholar]
- Krugman, P. Geography and Trade; MIT Press: Cambridge, MA, USA, 1992. [Google Scholar]
- Pessoa, A. Agglomeration and regional growth policy: Externalities versus comparative advantages. Ann. Reg. Sci. 2014, 53, 1–27. [Google Scholar] [CrossRef]
- Wang, Q.; Hu, A.; Tian, Z. Digital transformation and electricity consumption: Evidence from the Broadband China pilot policy. Energy Econ. 2022, 115, 106346. [Google Scholar] [CrossRef]
- Judd, C.M.; Kenny, D.A. Process analysis: Estimating mediation in treatment evaluations. Eval. Rev. 1981, 5, 602–619. [Google Scholar] [CrossRef]
- Zhang, W.; Wang, B.; Wang, J.; Wu, Q.; Wei, Y.D. How does industrial agglomeration affect urban land use efficiency? A spatial analysis of Chinese cities. Land Use Policy 2022, 119, 106178. [Google Scholar] [CrossRef]
- Zhu, X.; Li, Y.; Zhang, P.; Wei, Y.; Zheng, X.; Xie, L. Temporal–spatial characteristics of urban land use efficiency of China’s 35mega cities based on DEA: Decomposing technology and scale efficiency. Land Use Policy 2019, 88, 104083. [Google Scholar] [CrossRef]
- Dong, Z.; Ran, R. Evaluation on input-output efficiency of land consolidation project based on DEA-a case study of land consolidation project in Chongyang County, Hubei Province. Asian Soc. Sci. 2012, 8, 72. [Google Scholar] [CrossRef][Green Version]
- Deilmann, C.; Lehmann, I.; Reißmann, D.; Hennersdorf, J. Data envelopment analysis of cities–Investigation of the ecological and economic efficiency of cities using a benchmarking concept from production management. Ecol. Indic. 2016, 67, 798–806. [Google Scholar] [CrossRef]
- Jiang, X.; Lu, X.; Liu, Q.; Chang, C.; Qu, L. The effects of land transfer marketization on the urban land use efficiency: An empirical study based on 285 cities in China. Ecol. Indic. 2021, 132, 108296. [Google Scholar] [CrossRef]
- Hong, J.; Shi, F.; Zheng, Y. Does network infrastructure construction reduce energy intensity? Based on the “Broadband China” strategy. Technol. Forecast. Soc. Chang. 2023, 190, 122437. [Google Scholar] [CrossRef]
- Wang, J.; Wang, Y.; Sun, C.; Chen, X. Does mandatory air quality information disclosure raise happiness? Evidence from China. Energy Econ. 2021, 94, 105094. [Google Scholar] [CrossRef]
- Yu, B.; Zhou, X. Urban administrative hierarchy and urban land use efficiency: Evidence from Chinese cities. Int. Rev. Econ. Financ. 2023, 88, 178–195. [Google Scholar] [CrossRef]
- Beck, T.; Levine, R.; Levkov, A. Big bad banks? The winners and losers from bank deregulation in the United States. J. Financ. 2010, 65, 1637–1667. [Google Scholar] [CrossRef]
- Jacobson, L.S.; LaLonde, R.J.; Sullivan, D.G. Earnings losses of displaced workers. Am. Econ. Rev. 1993, 83, 685–709. [Google Scholar]
- Li, C.; Zhang, X.; Dong, X.; Yan, Q.; Zeng, L.; Wang, Z. The impact of smart cities on entrepreneurial activity: Evidence from a quasi-natural experiment in China. Resour. Policy 2023, 81, 103333. [Google Scholar] [CrossRef]
Disclaimer/Publisher’s Note: The statements, opinions and data contained in all publications are solely those of the individual author(s) and contributor(s) and not of MDPI and/or the editor(s). MDPI and/or the editor(s) disclaim responsibility for any injury to people or property resulting from any ideas, methods, instructions or products referred to in the content. |
© 2024 by the authors. Licensee MDPI, Basel, Switzerland. This article is an open access article distributed under the terms and conditions of the Creative Commons Attribution (CC BY) license (https://creativecommons.org/licenses/by/4.0/).

