Assessing the Impacts of Urbanization and Climate Change on NPP Under Different Habitat Quality Conditions over the Last Two Decades in the Tibetan Plateau, China
Abstract
1. Introduction
2. Data and Methods
2.1. Study Area
2.2. Data Sources and Processing
2.2.1. Remote Sensing Data for NPP Calculation and Influence Factor
2.2.2. NPP Verification Data
2.3. NPP Calculation Method
2.3.1. Fraction of Photosynthetically Active Radiation (FPAR)
2.3.2. Maximum Light Uses Efficiency (Emax)
2.3.3. Environmental Stresses
2.4. Calculation of Urbanization and Habitat Quality Indicators
2.4.1. Urban Sprawl Mapping
2.4.2. Calculation of Habitat Quality
2.5. Method for Assessing the Impacts of Urbanization and Climate Change on NPP Under Different HQ Conditions
2.5.1. Coupling Coordination Degree Model
2.5.2. Calculating the Relationship Between Driving Factors and NPP Variation
2.5.3. Calculating the Relative Contributions of Climate Change and Urbanization to NPP
3. Results
3.1. NPP Calculation and Validation
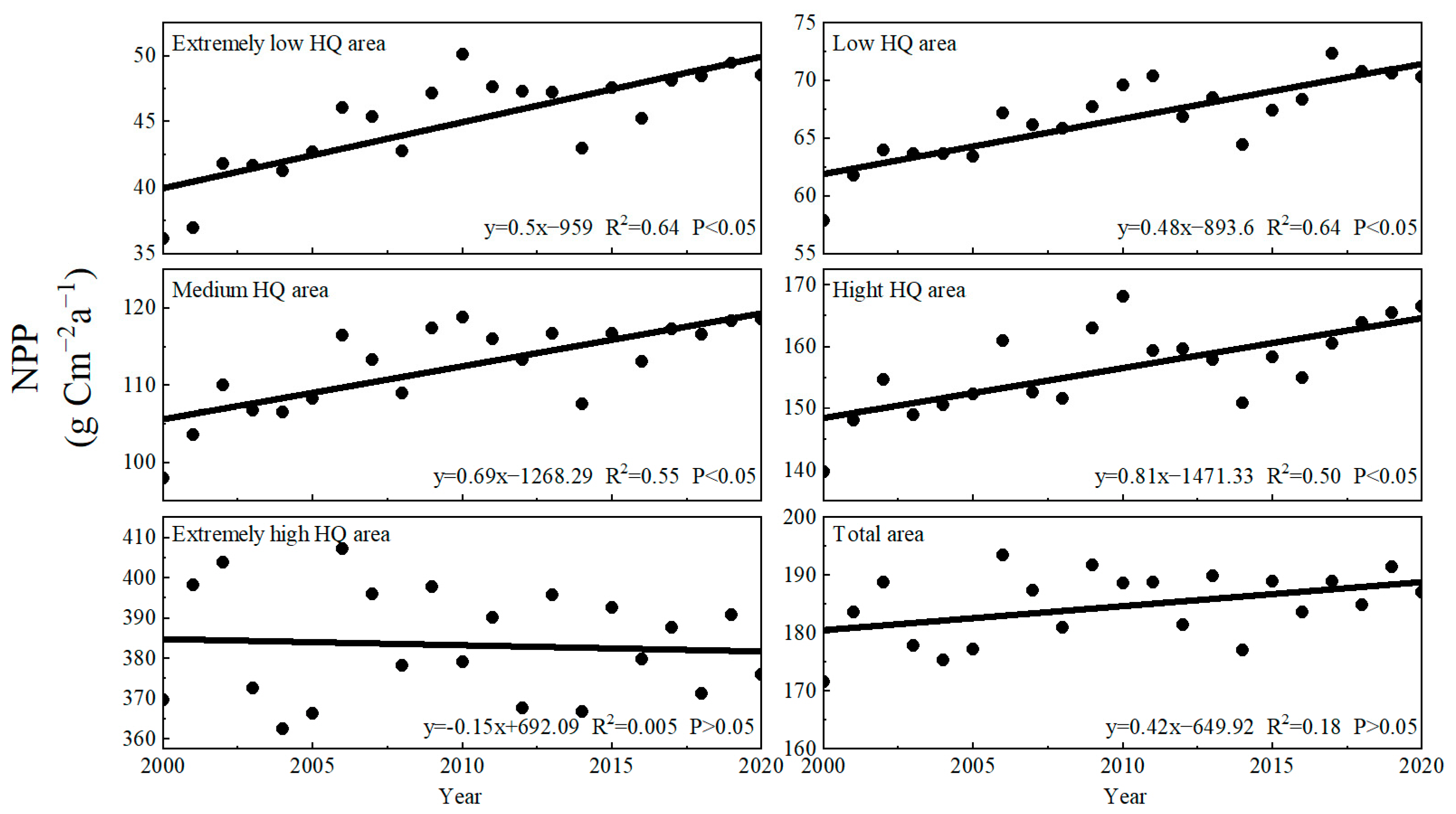
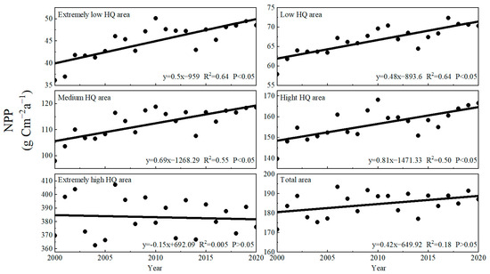
3.2. NPP Variations Under Different HQ and Coordination of HQ and NPP
3.3. Urbanization Process and Its Influence on NPP Change Under Different HQ
3.3.1. Urbanization Process
3.3.2. Impact of Urbanization on NPP Change Under Different HQ
3.4. Impact of Climate on NPP Change Under Different HQ
3.4.1. Time and Space Variations in Temperature, Precipitation, and Solar Radiation
3.4.2. Impact of Climate on NPP Change Under Different HQ Regions
3.5. Relative Contributions of Urbanization and Climate Change Under Different HQ
4. Discussion
4.1. Factors Affecting NPP Accuracy from Remote Sensing
4.2. Effects of Urbanization and Climate Change on NPP Under Different HQ
4.3. Research Limitations and Future Research Directions
5. Conclusions
Supplementary Materials
Author Contributions
Funding
Data Availability Statement
Acknowledgments
Conflicts of Interest
References
- Liu, Y.; Han, X.; Weng, F.; Xu, Y.; Zhang, Y.; Tang, S. Estimation of terrestrial net primary productivity in China from Fengyun-3D satellite data. J. Meteorol. Res. 2022, 36, 401–416. [Google Scholar] [CrossRef]
- Park, J.H.; Gan, J.; Park, C. Discrepancies between global forest net primary productivity estimates derived from MODIS and forest inventory data and underlying factors. Remote Sens. 2021, 13, 1441. [Google Scholar] [CrossRef]
- Hao, R.; Yu, D.; Huang, T.; Li, S.; Qiao, J. NPP plays a constraining role on water-related ecosystem services in an alpine ecosystem of Qinghai, China. Ecol. Indic. 2022, 138, 108846. [Google Scholar] [CrossRef]
- Naeem, S.; Zhang, Y.; Tian, J.; Qamer, F.M.; Latif, A.; Paul, P.K. Quantifying the impacts of anthropogenic activities and climate variations on vegetation productivity changes in China from 1985 to 2015. Remote Sens. 2020, 12, 1113. [Google Scholar] [CrossRef]
- Fokeng, R.M.; Fogwe, Z.N. Landsat NDVI-based vegetation degradation dynamics and its response to rainfall variability and anthropogenic stressors in Southern Bui Plateau, Cameroon. Geosystems Geoenvironment 2022, 1, 100075. [Google Scholar] [CrossRef]
- Sun, H.; Chen, Y.; Xiong, J.; Ye, C.; Yong, Z.; Wang, Y.; He, D.; Xu, S. Relationships between climate change, phenology, edaphic factors, and net primary productivity across the Tibetan Plateau. Int. J. Appl. Earth Obs. Geoinf. 2022, 107, 102708. [Google Scholar] [CrossRef]
- Boussema SB, F.; Allouche, F.K.; Ajmi, R.; Chaabane, B.; Gad, A.A. Assessing and monitoring the effects of land cover changes in biodiversity. Case study: Mediterranean coastal region, Sousse, Tunisia. Egypt. J. Remote Sens. Space Sci. 2023, 26, 185–196. [Google Scholar] [CrossRef]
- Chen, Y.; Feng, X.; Tian, H.; Wu, X.; Gao, Z.; Feng, Y.; Piao, S.; Lv, N.; Pang, N.; Fu, B. Accelerated increase in vegetation carbon sequestration in China after 2010: A turning point resulting from climate and human interaction. Glob. Chang. Biol. 2021, 27, 5848–5864. [Google Scholar] [CrossRef]
- Jha, S.; Srivastava, R. Impact of drought on vegetation carbon storage in arid and semi-arid regions. Remote Sens. Appl. Soc. Environ. 2018, 11, 22–29. [Google Scholar] [CrossRef]
- Li, H.; Ding, J.; Zhang, J.; Yang, Z.; Yang, B.; Zhu, Q.; Peng, C. Effects of land cover changes on net primary productivity in the terrestrial ecosystems of China from 2001 to 2012. Land 2020, 9, 480. [Google Scholar] [CrossRef]
- Hu, Q.; Li, T.; Deng, X.; Wu, T.; Zhai, P.; Huang, D.; Fan, X.; Zhu, Y.; Lin, Y.; Xiao, X.; et al. Intercomparison of global terrestrial carbon fluxes estimated by MODIS and Earth system models. Sci. Total Environ. 2022, 810, 152231. [Google Scholar] [CrossRef] [PubMed]
- Chirici, G.; Chiesi, M.; Fibbi, L.; Giannetti, F.; Corona, P.; Maselli, F. High spatial resolution modelling of net forest carbon fluxes based on ground and remote sensing data. Agric. For. Meteorol. 2022, 316, 108866. [Google Scholar] [CrossRef]
- Ma, F.; Jiang, Q.O.; Xu, L.; Lv, K.; Chang, G. Processes, potential, and duration of vegetation restoration under different modes in the eastern margin ecotone of Qinghai-Tibet Plateau. Ecol. Indic. 2021, 132, 108267. [Google Scholar] [CrossRef]
- Zhang, J.; Hao, X.; Hao, H.; Fan, X.; Li, Y. Climate change decreased net ecosystem productivity in the arid region of central Asia. Remote Sens. 2021, 13, 4449. [Google Scholar] [CrossRef]
- Gwal, S.; Singh, S.; Gupta, S.; Anand, S. Understanding forest biomass and net primary productivity in Himalayan ecosystem using geospatial approach. Model. Earth Syst. Environ. 2020, 6, 2517–2534. [Google Scholar] [CrossRef]
- Guo, D.; Song, X.; Hu, R.; Zhu, X.; Jiang, Y.; Cai, S.; Zhang, Y.; Cui, X. Large-scale analysis of the spatiotemporal changes of Net Ecosystem Production in Hindu Kush Himalayan Region. Remote Sens. 2021, 13, 1180. [Google Scholar] [CrossRef]
- Sun, J.; Yue, Y.; Niu, H. Evaluation of NPP using three models compared with MODIS-NPP data over China. PLoS ONE 2021, 16, e0252149. [Google Scholar]
- Liu, Z.; Hu, M.; Hu, Y.; Wang, G. Estimation of net primary productivity of forests by modified CASA models and remotely sensed data. Int. J. Remote Sens. 2018, 39, 1092–1116. [Google Scholar] [CrossRef]
- Benedetti, Y.; Callaghan, C.T.; Ulbrichová, I.; Galanaki, A.; Kominos, T.; Abou Zeid, F.; Ibáñez-Álamo, J.D.; Suhonen, J.; Díaz, M.; Bussière, R.; et al. EVI and NDVI as proxies for multifaceted avian diversity in urban areas. Ecol. Appl. 2023, 33, e2808. [Google Scholar] [CrossRef]
- Liu, H.Q.; Huete, A. A feedback based modification of the NDVI to minimize canopy background and atmospheric noise. IEEE Trans. Geosci. Remote Sens. 1995, 33, 457–465. [Google Scholar] [CrossRef]
- Li, H.; He, Y.; Zhang, L.; Cao, S.; Sun, Q. Spatiotemporal changes of Gross Primary Production in the Yellow River Basin of China under the influence of climate-driven and human-activity. Glob. Ecol. Conserv. 2023, 46, e02550. [Google Scholar] [CrossRef]
- Guo, B.; Yang, F.; Fan, Y.; Zang, W. The dominant driving factors of rocky desertification and their variations in typical mountainous karst areas of Southwest China in the context of global change. Catena 2023, 220, 106674. [Google Scholar] [CrossRef]
- Zhang, J.; Yuan, M.S.; Zhang, J.; Li, H.; Wang, J.; Zhang, X.; Ju, J.; Jiang, B.; Chen, H.; Zhu, Q. Responses of the NDVI of alpine grasslands on the Qinghai-Tibetan Plateau to climate change and human activities over the last 30 years. Acta Ecol. Sin. 2020, 40, 6269–6281. [Google Scholar]
- Liu, Z.Y.; Zhang, J.; Chen, L. The latest change in the Qinghai-Tibetan Plateau vegetation index and its relationship with climate factors. Clim. Environ. Res. 2017, 22, 289. [Google Scholar]
- Li, L.; Zhang, Y.; Wu, J.; Li, S.; Zhang, B.; Zu, J.; Zhang, H.; Ding, M.; Paudel, B. Increasing sensitivity of alpine grasslands to climate variability along an elevational gradient on the Qinghai-Tibet Plateau. Sci. Total Environ. 2019, 678, 21–29. [Google Scholar] [CrossRef]
- Guo, B.; Lu, M.; Fan, Y.; Wu, H.; Yang, Y.; Wang, C. A novel remote sensing monitoring index of salinization based on three-dimensional feature space model and its application in the Yellow River Delta of China. Geomat. Nat. Hazards Risk 2023, 14, 95–116. [Google Scholar] [CrossRef]
- Xiong, Q.; Xiao, Y.; Halmy, M.W.A.; Dakhil, M.A.; Liang, P.; Liu, C.; Zhang, L.; Pandey, B.; Pan, K.; Kafraway, S.B.E.; et al. Monitoring the impact of climate change and human activities on grassland vegetation dynamics in the northeastern Qinghai-Tibet Plateau of China during 2000–2015. J. Arid Land 2019, 11, 637–651. [Google Scholar] [CrossRef]
- Wei, Y.Q.; Lu, H.Y.; Wang, J.N.; Sun, J.; Wang, X.F. Responses of vegetation zones, in the Qinghai-Tibetan Plateau, to climate change and anthropogenic influences over the last 35 years. Pratacultural Sci. 2019, 36, 1163–1176. [Google Scholar]
- Yu, G.R.; Yang, M. Ecological economics foundation research on ecological values, ecological asset management, and value realization: Scientific concepts, basic theories, and realization paths. J. Appl. Ecol. 2022, 33, 1153–1165. [Google Scholar]
- Aznarez, C.; Svenning, J.C.; Taveira, G.; Baró, F.; Pascual, U. Wildness and habitat quality drive spatial patterns of urban biodiversity. Landsc. Urban. Plan. 2022, 228, 104570. [Google Scholar] [CrossRef]
- Mengist, W.; Soromessa, T.; Feyisa, G.L. Landscape change effects on habitat quality in a forest biosphere reserve: Implications for the conservation of native habitats. J. Clean. Prod. 2021, 329, 129778. [Google Scholar] [CrossRef]
- Field, C.B.; Randerson, J.T.; Malmström, C.M. Global net primary production: Combining ecology and remote sensing. Remote Sens. Environ. 1995, 51, 74–88. [Google Scholar] [CrossRef]
- Biggs, R.; Schlüter, M.; Biggs, D.; Bohensky, E.L.; BurnSilver, S.; Cundill, G.; Dakos, V.; Daw, T.M.; Evans L s Kotschy, K.; Leitch, A.M.; et al. Toward principles for enhancing the resilience of ecosystem services. Annu. Rev. Environ. Resour. 2012, 37, 421–448. [Google Scholar] [CrossRef]
- Yang, J.; Xie, B.; Zhang, D. The trade-offs and synergistic relationships between grassland ecosystem functions in the yellow river basin. Diversity 2021, 13, 505. [Google Scholar] [CrossRef]
- Peng, Q.; Wang, R.; Jiang, Y.; Li, C. Contributions of climate change and human activities to vegetation dynamics in Qilian Mountain National Park, northwest China. Glob. Ecol. Conserv. 2021, 32, e01947. [Google Scholar] [CrossRef]
- Chen, T.; Tang, G.; Yuan, Y.; Guo, H.; Xu, Z.; Jiang, G.; Chen, X. Unraveling the relative impacts of climate change and human activities on grassland productivity in Central Asia over last three decades. Sci. Total Environ. 2020, 743, 140649. [Google Scholar] [CrossRef]
- Wen, Y.; Liu, X.; Bai, Y.; Sun, Y.; Yang, J.; Lin, K.; Pei, F.; Yan, Y. Determining the impacts of climate change and urban expansion on terrestrial net primary production in China. J. Environ. Manag. 2019, 240, 75–83. [Google Scholar] [CrossRef]
- Xin, Z.; Xu, J.; Zheng, W. Spatiotemporal variations of vegetation cover on the Chinese Loess Plateau (1981–2006): Impacts of climate changes and human activities. Sci. China Ser. D Earth Sci. 2008, 51, 67–78. [Google Scholar] [CrossRef]
- Wen, Y.; Yang, J.; Liao, W.; Xiao, J.; Yan, S. Refined assessment of space-time changes, influencing factors and socio-economic impacts of the terrestrial ecosystem quality: A case study of the GBA. J. Environ. Manag. 2023, 345, 118869. [Google Scholar] [CrossRef]
- Yu, Q.; Lu, H.; Yao, T.; Xue, Y.; Feng, W. Enhancing sustainability of vegetation ecosystems through ecological engineering: A case study in the Qinghai-Tibet Plateau. J. Environ. Manag. 2023, 325, 116576. [Google Scholar] [CrossRef]
- Sun, J.; Ye, C.; Liu, M.; Wang, Y.; Chen, J.; Wang, S.; Liu, X.; Liu, G.; Xu, M.; Li, R.; et al. Response of net reduction rate in vegetation carbon uptake to climate change across a unique gradient zone on the Tibetan Plateau. Environ. Res. 2022, 203, 111894. [Google Scholar] [CrossRef] [PubMed]
- Liu, H.; Fan, J.; Zhou, K.; Xu, X.; Zhang, H.; Guo, R.; Chen, S. Assessing the dynamics of human activity intensity and its natural and socioeconomic determinants in Qinghai–Tibet Plateau. Geogr. Sustain. 2023, 4, 294–304. [Google Scholar] [CrossRef]
- Shi, F.; Liu, S.; An, Y.; Sun, Y.; Zhao, S.; Liu, Y.; Li, M. Climatic factors and human disturbance influence ungulate species distribution on the Qinghai-Tibet Plateau. Sci. Total Environ. 2023, 869, 161681. [Google Scholar] [CrossRef] [PubMed]
- Liu, J.; Xin, Z.; Huang, Y.; Yu, J. Climate suitability assessment on the Qinghai-Tibet Plateau. Sci. Total Environ. 2022, 816, 151653. [Google Scholar] [CrossRef]
- Geng, X.; Wang, X.; Fang, H.; Ye, J.; Han, L.; Gong, Y.; Cai, D. Vegetation coverage of desert ecosystems in the Qinghai-Tibet Plateau is underestimated. Ecol. Indic. 2022, 137, 108780. [Google Scholar] [CrossRef]
- Zhu, H.; Su, D.; Yao, F. Spatio-Temporal Differences in Economic Security of the Prefecture-Level Cities in Qinghai–Tibet Plateau Region of China: Based on a Triple-Dimension Analytical Framework of Economic Geography. Int. J. Environ. Res. Public Health 2022, 19, 10605. [Google Scholar] [CrossRef]
- Zhang, Y.; Yu, G.; Yang, J.; Wimberly, M.C.; Zhang, X.; Tao, J.; Jiang, Y.; Zhu, J. Climate-driven global changes in carbon use efficiency. Glob. Ecol. Biogeogr. 2014, 23, 144–155. [Google Scholar] [CrossRef]
- Wang, X.; Tan, K.; Chen, B.; Du, P. Assessing the spatiotemporal variation and impact factors of net primary productivity in China. Sci. Rep. 2017, 7, 44415. [Google Scholar] [CrossRef]
- Huang, C.; Sun, C.; Nguyen, M.; Wu, Q.; He, C.; Yang, H.; Tu, P.; Hong, S. Spatio-temporal dynamics of terrestrial Net ecosystem productivity in the ASEAN from 2001 to 2020 based on remote sensing and improved CASA model. Ecol. Indic. 2023, 154, 110920. [Google Scholar] [CrossRef]
- Zhu, W.Q.; Pan, Y.Z.; Zhang, J.S. Estimation of net primary productivity of Chinese terrestrial vegetation based on remote sensing. Chin. J. Plant Ecol. 2007, 31, 413. [Google Scholar]
- Zhu, W.; Pan, Y.; He, H.; Yu, D.; Hu, H. Simulation of maximum light use efficiency for some typical vegetation types in China. Chin. Sci. Bull. 2006, 51, 457–463. [Google Scholar] [CrossRef]
- Zhou, N.; Hubacek, K.; Roberts, M. Analysis of spatial patterns of urban growth across South Asia using DMSP-OLS nighttime lights data. Appl. Geogr. 2015, 63, 292–303. [Google Scholar] [CrossRef]
- Ma, T.; Zhou, Y.; Zhou, C.; Haynie, S.; Pei, T.; Xu, T. Night-time light derived estimation of spatio-temporal characteristics of urbanization dynamics using DMSP/OLS satellite data. Remote Sens. Environ. 2015, 158, 453–464. [Google Scholar] [CrossRef]
- Lin, Y.P.; Lin, W.C.; Wang, Y.C.; Lien, W.Y.; Huang, T.; Hsu, C.C.; Schmeller, D.S.; Crossman, N.D. Systematically designating conservation areas for protecting habitat quality and multiple ecosystem services. Environ. Model. Softw. 2017, 90, 126–146. [Google Scholar] [CrossRef]
- Wu, J.; Luo, J.; Zhang, H.; Qin, S.; Yu, M. Projections of land use change and habitat quality assessment by coupling climate change and development patterns. Sci. Total Environ. 2022, 847, 157491. [Google Scholar] [CrossRef]
- Li, L.; Fan, Z.; Feng, W.; Yuxin, C.; Keyu, Q. Coupling coordination degree spatial analysis and driving factor between socio-economic and eco-environment in northern China. Ecol. Indic. 2022, 135, 108555. [Google Scholar] [CrossRef]
- Zhang, Y.; Li, Y.; Wei, X.; Yang, Y.; Liu, L.; Murphey, Y.L. Graph matching for knowledge graph alignment using edge-coloring propagation. Pattern Recognit. 2023, 144, 109851. [Google Scholar] [CrossRef]
- Feng, Y.; He, S.; Li, G. Interaction between urbanization and the eco-environment in the Pan-Third Pole region. Sci. Total Environ. 2021, 789, 148011. [Google Scholar] [CrossRef]
- Naikoo, M.W.; Talukdar, S.; Ishtiaq, M.; Rahman, A. Modelling built-up land expansion probability using the integrated fuzzy logic and coupling coordination degree model. J. Environ. Manag. 2023, 325, 116441. [Google Scholar] [CrossRef]
- Fan, W.; Wang, H.; Liu, Y.; Liu, H. Spatio-temporal variation of the coupling relationship between urbanization and air quality: A case study of Shandong Province. J. Clean. Prod. 2020, 272, 122812. [Google Scholar] [CrossRef]
- Zhu, P.; Liu, G.; He, J. Spatio-temporal variation and impacting factors of NPP from 2001 to 2020 in Sanjiangyuan region, China: A deep neural network-based quantitative estimation approach. Ecol. Inform. 2023, 78, 102345. [Google Scholar] [CrossRef]
- Wang, G.; Peng, W.; Zhang, L.; Zhang, J. Quantifying the impacts of natural and human factors on changes in NPP using an optimal parameters-based geographical detector. Ecol. Indic. 2023, 155, 111018. [Google Scholar] [CrossRef]
- Mu, W.; Zhu, X.; Ma, W.; Han, Y.; Huang, H.; Huang, X. Impact assessment of urbanization on vegetation net primary productivity: A case study of the core development area in central plains urban agglomeration, China. Environ. Res. 2023, 229, 115995. [Google Scholar] [CrossRef]
- Sharma, S.; Joshi, P.K.; Fürst, C. Unravelling net primary productivity dynamics under urbanization and climate change in the western Himalaya. Ecol. Indic. 2022, 144, 109508. [Google Scholar] [CrossRef]
- Wu, S.; Zhou, S.; Chen, D.; Wei, Z.; Dai, L.; Li, X. Determining the contributions of urbanisation and climate change to NPP variations over the last decade in the Yangtze River Delta, China. Sci. Total Environ. 2014, 472, 397–406. [Google Scholar] [CrossRef] [PubMed]
- Li, M.; Li, Q.; Xue, M. Spatio-Temporal Changes of Vegetation Net Primary Productivity and Its Driving Factors on the Ti-betan Plateau from 1979 to 2018. Atmosphere 2024, 15, 579. [Google Scholar] [CrossRef]
- Ye, C.; Sun, J.; Liu, M.; Xiong, J.; Zong, N.; Hu, J.; Huang, Y.; Duan, X.; Tsunekawa, A. Concurrent and lagged effects of ex-treme drought induce net reduction in vegetation carbon uptake on Tibetan Plateau. Remote Sens. 2020, 12, 2347. [Google Scholar] [CrossRef]
- Wang, W.; Yang, J.; Yang, G. Coordination characteristics and influencing mechanisms of habitat quality, ecological sensi-tivity and net primary production: A case study on Yangtze river economic belt in China. Environ. Dev. 2024, 49, 100969. [Google Scholar] [CrossRef]
- Fang, C. How to promote the green development of urbanization in the Tibetan Plateau? J. Geogr. Sci. 2023, 33, 639–654. [Google Scholar] [CrossRef]
- Tian, M.; Wei, J.; Liu, J. A comparative ethnic study on the urban integration of the migrant populations in the Qinghai-Tibet Plateau during the process of urbanization. J. Urban. Aff. 2023, 22, 1–18. [Google Scholar] [CrossRef]
- Meng, M.; Fan, W.; Lu, J.; Dong, X.; Wei, H. Research on the influence of energy utilization and economic development on human well-being in Qinghai-Tibet Plateau. Sustainability 2020, 13, 196. [Google Scholar] [CrossRef]
- Fu, S.; Zhang, X.; Kuang, W.; Guo, C. Characteristics of Changes in Urban Land Use and Efficiency Evaluation in the Qing-hai–Tibet Plateau from 1990 to 2020. Land 2022, 11, 757. [Google Scholar] [CrossRef]
- Post, E.; Alley, R.B.; Christensen, T.R.; Macias-Fauria, M.; Forbes, B.C.; Gooseff, M.N.; Iler, A.; Kerby, J.T.; Laidre, K.L.; Mann, M.E.; et al. The polar regions in a 2 C warmer world. Sci. Adv. 2019, 5, eaaw9883. [Google Scholar] [CrossRef]
- Wang, Z.; Wu, J.; Niu, B.; He, Y.; Zu, J.; Li, M.; Zhang, X. Vegetation expansion on the Tibetan Plateau and its relationship with climate change. Remote Sens. 2020, 12, 4150. [Google Scholar] [CrossRef]
- Zhang, M.; Liu, X.; Nazieh, S.; Wang, X.; Nkrumah, T.; Hong, S. Spatiotemporal distribution of grassland NPP in Gansu province, China from 1982 to 2011 and its impact factors. PLoS ONE 2020, 15, e0242609. [Google Scholar] [CrossRef]
- Augustine, J.A.; Capotondi, A. Forcing for multidecadal surface solar radiation trends over Northern Hemisphere conti-nents. J. Geophys. Res. Atmos. 2022, 127, e2021JD036342. [Google Scholar] [CrossRef]
- Yu, L.; Zhang, M.; Wang, L.; Qin, W.; Jiang, D.; Li, J. Variability of surface solar radiation under clear skies over Qing-hai-Tibet Plateau: Role of aerosols and water vapor. Atmos. Environ. 2022, 287, 119286. [Google Scholar] [CrossRef]
- Liu, X.; Pei, F.; Wen, Y.; Li, X.; Wang, S.; Wu, C.; Wu, C.; Cai, Y.; Wu, J.; Chen, J.; et al. Global urban expansion offsets climate-driven increases in terrestrial net primary productivity. Nat. Commun. 2019, 10, 5558. [Google Scholar] [CrossRef]
- Yang, F.; He, P.; Ding, H.; Shi, Y. A monthly high-resolution net primary productivity dataset (30 m) of Qinghai Plateau from 1987 to 2021. IEEE J. Sel. Top. Appl. Earth Obs. Remote Sens. 2023, 16, 8262–8273. [Google Scholar] [CrossRef]
- Pang, Y.; Chen, C.; Guo, B.; Qi, D.; Luo, Y. Impacts of Climate Change and Anthropogenic Activities on the Net Primary Productivity of Grassland in the Southeast Tibetan Plateau. Atmosphere 2023, 14, 1217. [Google Scholar] [CrossRef]
- Zhang, Y.; Song, C.; Zhang, K.; Cheng, X.; Band, L.E.; Zhang, Q. Effects of land use/land cover and climate changes on terrestrial net primary productivity in the Yangtze River Basin, China, from 2001 to 2010. J. Geophys. Res. Biogeosciences 2014, 119, 1092–1109. [Google Scholar] [CrossRef]
- Meraj, G.; Kanga, S.; Ambadkar, A.; Kumar, P.; Singh, S.K.; Farooq, M.; Johnson, B.A.; Rai, A.; Sahu, N. Assessing the yield of wheat using satellite remote sensing-based machine learning algorithms and simulation modeling. Remote Sens. 2022, 14, 3005. [Google Scholar] [CrossRef]
- Qin, Z.; Sha, Z. Modeling the impact of urbanization and climate changes on terrestrial vegetation productivity in China by a neighborhood substitution analysis. Ecol. Model. 2023, 482, 110405. [Google Scholar] [CrossRef]
- Wei, X.; Yang, J.; Luo, P.; Lin, L.; Lin, K.; Guan, J. Assessment of the variation and influencing factors of vegetation NPP and carbon sink capacity under different natural conditions. Ecol. Indic. 2022, 138, 108834. [Google Scholar] [CrossRef]
- Gang, C.; Zhang, Y.; Wang, Z.; Chen, Y.; Yang, Y.; Li, J.; Cheng, J.; Qi, J.; Odeh, I. Modeling the dynamics of distribution, extent, and NPP of global terrestrial ecosystems in response to future climate change. Glob. Planet. Chang. 2017, 148, 153–165. [Google Scholar] [CrossRef]
- Guan, X.; Shen, H.; Li, X.; Gan, W.; Zhang, L. A long-term and comprehensive assessment of the urbanization-induced impacts on vegetation net primary productivity. Sci. Total Environ. 2019, 669, 342–352. [Google Scholar] [CrossRef]
- Fu, Y.; Lu, X.; Zhao, Y.; Zeng, X.; Xia, L. Assessment impacts of weather and land use/land cover (LULC) change on urban vegetation net primary productivity (NPP): A case study in Guangzhou, China. Remote Sens. 2013, 5, 4125–4144. [Google Scholar] [CrossRef]
- Zhong, J.; Liu, J.; Jiao, L.; Lian, X.; Xu, Z.; Zhou, Z. Assessing the comprehensive impacts of different urbanization process on vegetation net primary productivity in Wuhan, China, from 1990 to 2020. Sustain. Cities Soc. 2021, 75, 103295. [Google Scholar] [CrossRef]
- Geng, Y.; Wang, Y.; Yang, K.; Wang, S.; Zeng, H.; Baumann, F.; Kuehn, P.; Scholten, T.; He, J.S. Soil respiration in Tibetan alpine grasslands: Belowground biomass and soil moisture, but not soil temperature, best explain the large-scale patterns. PLoS ONE 2012, 7, e34968. [Google Scholar] [CrossRef]
- Li, C.; Sun, H.; Liu, L.; Dou, T.; Zhou, M.; Li, W.; Wu, X. The importance of permafrost in the steady and fast increase in net primary production of the grassland on the Qinghai–Tibet Plateau. Catena 2022, 211, 105964. [Google Scholar] [CrossRef]
- Luo, Z.; Wu, W.; Yu, X.; Song, Q.; Yang, J.; Wu, J.; Zhang, H. Variation of net primary production and its correlation with climate change and anthropogenic activities over the Tibetan Plateau. Remote Sens. 2018, 10, 1352. [Google Scholar] [CrossRef]
- Peng, J.; Shen, H.; Wu, W.; Liu, Y.; Wang, Y. Net primary productivity (NPP) dynamics and associated urbanization driving forces in metropolitan areas: A case study in Beijing City, China. Landsc. Ecol. 2016, 31, 1077–1092. [Google Scholar] [CrossRef]
- Gao, J.; Liu, M.; Wang, X. Unveiling the Impact of Urbanization on Net Primary Productivity: Insights from the Yangtze River Delta Urban Agglomeration. Land. 2024, 13, 562. [Google Scholar] [CrossRef]
- Seto, K.C.; Güneralp, B.; Hutyra, L.R. Global forecasts of urban expansion to 2030 and direct impacts on biodiversity and carbon pools. Proc. Natl. Acad. Sci. USA 2012, 109, 16083–16088. [Google Scholar] [CrossRef]
- Zhou, J.; Lu, T. Relative contributions of climate change and human activities on vegetation productivity variation in na-tional nature reserves on the Qinghai–Tibetan Plateau. Remote Sens. 2022, 14, 4626. [Google Scholar] [CrossRef]
- Hu, L.; Fan, W.; Yuan, W.; Ren, H.; Cui, Y. Spatiotemporal variation of vegetation productivity and its feedback to climate change in Northeast China over the last 30 years. Remote Sens. 2021, 13, 951. [Google Scholar] [CrossRef]
- Klemm, T.; Briske, D.D.; Reeves, M.C. Potential natural vegetation and NPP responses to future climates in the US Great Plains. Ecosphere 2020, 11, e03264. [Google Scholar] [CrossRef]
- Azhdari, Z.; Rafeie Sardooi, E.; Bazrafshan, O.; Zamani, H.; Singh, V.P.; Mohseni Saravi, M.; Ramezani, M. Impact of climate change on net primary production (NPP) in south Iran. Environ. Monit. Assess. 2020, 192, 409. [Google Scholar] [CrossRef] [PubMed]
- Cui, J.; Wang, Y.; Zhou, T.; Jiang, L.; Qi, Q. Temperature mediates the dynamic of MODIS NPP in alpine grassland on the Tibetan Plateau, 2001–2019. Remote Sens. 2022, 14, 2401. [Google Scholar] [CrossRef]
- Stampfli, A.; Bloor, J.M.; Fischer, M.; Zeiter, M. High land-use intensity exacerbates shifts in grassland vegetation composi-tion after severe experimental drought. Glob. Chang. Biol. 2018, 24, 2021–2034. [Google Scholar] [CrossRef]
- Stuart-Haëntjens, E.; De Boeck, H.J.; Lemoine, N.P.; Mänd, P.; Kröel-Dulay, G.; Schmidt, I.K.; Jentsch, A.; Stampfli, A.; An-deregg WR, L.; Bahn, M.; et al. Mean annual precipitation predicts primary production resistance and resilience to extreme drought. Sci. Total Environ. 2018, 636, 360–366. [Google Scholar] [CrossRef] [PubMed]
- Du, R.; Wu, J.; Tian, F.; Yang, J.; Han, X.; Chen, M.; Zhao, B.; Lin, J. Reversal of soil moisture constraint on vegetation growth in North China. Sci. Total Environ. 2023, 865, 161246. [Google Scholar] [CrossRef]
- Chen, A.; Huang, L.; Liu, Q.; Piao, S. Optimal temperature of vegetation productivity and its linkage with climate and ele-vation on the Tibetan Plateau. Glob. Chang. Biol. 2021, 27, 1942–1951. [Google Scholar] [CrossRef] [PubMed]
- Blal, M.; Khelifi, S.; Dabou, R.; Sahouane, N.; Slimani, A.; Rouabhia, A.; Ziane, A.; Neçaibia, A.; Bouraiou, A.; Tidjar, B. A prediction models for estimating global solar radiation and evaluation meteorological effect on solar radiation potential under several weather conditions at the surface of Adrar environment. Measurement 2020, 152, 107348. [Google Scholar] [CrossRef]
- Liao, Y.; Cao, H.X.; Liu, X.; Li, H.T.; Hu, Q.Y.; Xue, W.K. By increasing infiltration and reducing evaporation, mulching can improve the soil water environment and apple yield of orchards in semiarid areas. Agric. Water Manag. 2021, 253, 106936. [Google Scholar] [CrossRef]
- Gang, C.; Zhou, W.; Li, J.; Chen, Y.; Mu, S.; Ren, J.; Chen, J.; Groisman, P.Y. Assessing the spatiotemporal variation in distribution, extent and NPP of terrestrial ecosystems in response to climate change from 1911 to 2000. PLoS ONE 2013, 8, e80394. [Google Scholar] [CrossRef] [PubMed]
- Beerens, J.M.; Frederick, P.C.; Noonburg, E.G.; Gawlik, D.E. Determining habitat quality for species that demonstrate dynamic habitat selection. Ecol. Evol. 2015, 5, 5685–5697. [Google Scholar] [CrossRef]
- Fan, X.; Gu, X.; Yu, H.; Long, A.; Tiando, D.S.; Ou, S.; Li, J.; Rong, Y.; Tang, G.; Zheng, Y.; et al. The spatial and temporal evolution and drivers of habitat quality in the Hung River Valley. Land. 2021, 10, 1369. [Google Scholar] [CrossRef]
- Zhang, H.; Chen, M.; Liang, C. Urbanization of county in China: Spatial patterns and influencing factors. J. Geogr. Sci. 2022, 32, 1241–1260. [Google Scholar] [CrossRef]
- Liu, Y.; Xu, M.; Guo, B.; Yang, G.; Li, J.; Yu, Y. Changes in the Vegetation NPP of Mainland China under the Combined Actions of Climatic-Socioeconomic Factors. Forests 2023, 14, 2341. [Google Scholar] [CrossRef]












| Serial Number | Data Name | Brief Description | Unit | Time |
|---|---|---|---|---|
| 1 | NDVI | Monthly data, from the MOD13A3 dataset, for CASA model NPP calculations | 1 km | 2000–2020 |
| 2 | EVI | Wuhan University based on MODIS monthly Long Short-Term Memory (LSTM) data for NPP calculations | 0.25° | 2000–2020 |
| 3 | Temperature | Monthly data from the National Earth Sciences Data Center for NPP calculations and impact factor analysis | 0.0083333° (about 1 km) | 2000–2020 |
| 4 | Precipitation | Qinghai–Tibet Plateau National Scientific Data Center, monthly data for NPP calculation and impact factor analysis | 0.0083333° (about 1 km) | 2000–2020 |
| 5 | Solar radiation | Monthly data from the National Earth Sciences Data Center for NPP calculations and impact factor analysis, verified against data from multiple sites | 0.05° | 2000–2020 |
| 6 | CLCD | Obtained by Zenodo, this dataset is based on the Google Earth Engine for NPP calculations and habitat quality calculations | 30 m | 2000–2020 |
| 7 | DMSP | Paper from the IEEE Journal of Earth Sciences and Remote Sensing used as an indicator of urbanization | 1 km | 2000–2020 |
| 8 | NPP | 8 days of NPP data (MOD17A3) provided by NASA for CASA model validation | 0.0083° | 2000–2020 |
| 9 | FLUXNET data set | Field-measured data for CASA model validation | 2003–2005 | |
| 10 | ChinaFlux data set | Field-measured data for CASA model validation | 2003–2010, 2012–2016 |
| Region Name | HQ Range |
|---|---|
| Extremely low HQ area. | 0–0.2 |
| Low HQ area | 0.2–0.4 |
| Medium HQ area | 0.4–0.6 |
| High HQ area | 0.6–0.8 |
| Extremely high HQ area. | 0.8–1.0 |
| Items | Extremely Low Hq Area | Low HQ Area | Medium HQ Area | High HQ Area | Extremely High HQ Area | Total Area | |
|---|---|---|---|---|---|---|---|
| NPP change rate (g Cm−2a−1) | ΔU.NPP | 0.018 | 0.0122 | −0.0066 | −0.0133 | −0.4957 | −0.1426 |
| ΔC.NPP | 0.4995 | 0.4778 | 0.687 | 0.8099 | −0.1536 | 0.4152 | |
| Residua | 0 | −0.0351 | −0.0401 | −0.1118 | −0.2293 | −0.1066 | |
| Contribution ratio (%) | Urban-driven | 14 | 16 | 16 | 16 | 21 | 17 |
| Climatic-driven | 75 | 71 | 71 | 70 | 63 | 69 | |
| Residual | 11 | 13 | 13 | 14 | 16 | 14 |
Disclaimer/Publisher’s Note: The statements, opinions and data contained in all publications are solely those of the individual author(s) and contributor(s) and not of MDPI and/or the editor(s). MDPI and/or the editor(s) disclaim responsibility for any injury to people or property resulting from any ideas, methods, instructions or products referred to in the content. |
© 2024 by the authors. Licensee MDPI, Basel, Switzerland. This article is an open access article distributed under the terms and conditions of the Creative Commons Attribution (CC BY) license (https://creativecommons.org/licenses/by/4.0/).
Share and Cite
Xia, T.; Han, L.; Ren, C.; Xu, Q.; Zhang, D.; Sun, G.; Feng, Z. Assessing the Impacts of Urbanization and Climate Change on NPP Under Different Habitat Quality Conditions over the Last Two Decades in the Tibetan Plateau, China. Land 2024, 13, 2139. https://doi.org/10.3390/land13122139
Xia T, Han L, Ren C, Xu Q, Zhang D, Sun G, Feng Z. Assessing the Impacts of Urbanization and Climate Change on NPP Under Different Habitat Quality Conditions over the Last Two Decades in the Tibetan Plateau, China. Land. 2024; 13(12):2139. https://doi.org/10.3390/land13122139
Chicago/Turabian StyleXia, Tanlong, Liusheng Han, Chen Ren, Qian Xu, Dafu Zhang, Guangwei Sun, and Zhaohui Feng. 2024. "Assessing the Impacts of Urbanization and Climate Change on NPP Under Different Habitat Quality Conditions over the Last Two Decades in the Tibetan Plateau, China" Land 13, no. 12: 2139. https://doi.org/10.3390/land13122139
APA StyleXia, T., Han, L., Ren, C., Xu, Q., Zhang, D., Sun, G., & Feng, Z. (2024). Assessing the Impacts of Urbanization and Climate Change on NPP Under Different Habitat Quality Conditions over the Last Two Decades in the Tibetan Plateau, China. Land, 13(12), 2139. https://doi.org/10.3390/land13122139

